Neuromodulatory Effects of Transcranial Pulse Stimulation (TPS) in Neurological and Psychiatric Disorders—A Systematic Review and Meta-Analysis
Abstract
1. Introduction
2. Materials and Methods
2.1. Eligibility Criteria
2.2. Search Methods for Identification of Studies
Electronic Searches
2.3. Data Collection and Analysis
2.3.1. Data Extraction (Selection and Coding)
Assessment of Risk of Bias in Included Studies
3. Results
3.1. Search Results
3.2. Characteristics of Included Studies
3.3. Ongoing Clinical Trials
3.4. Systematic Review
3.4.1. Alzheimer’s Disease
Clinical–Behavioral Outcomes
- Cognitive Outcomes
- Mental Health Outcomes
Neuroimaging Outcomes
Neurophysiological Outcomes
3.4.2. Mild Cognitive Impairment
3.4.3. Parkinson’s Disease
3.4.4. Major Depressive Disorder
3.4.5. Autism Spectrum Disorder
3.4.6. Attention-Deficit Hyperactivity Disorder
3.4.7. Adverse Events
3.5. Risk of Bias Assessment
3.6. Meta-Analysis
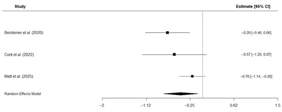
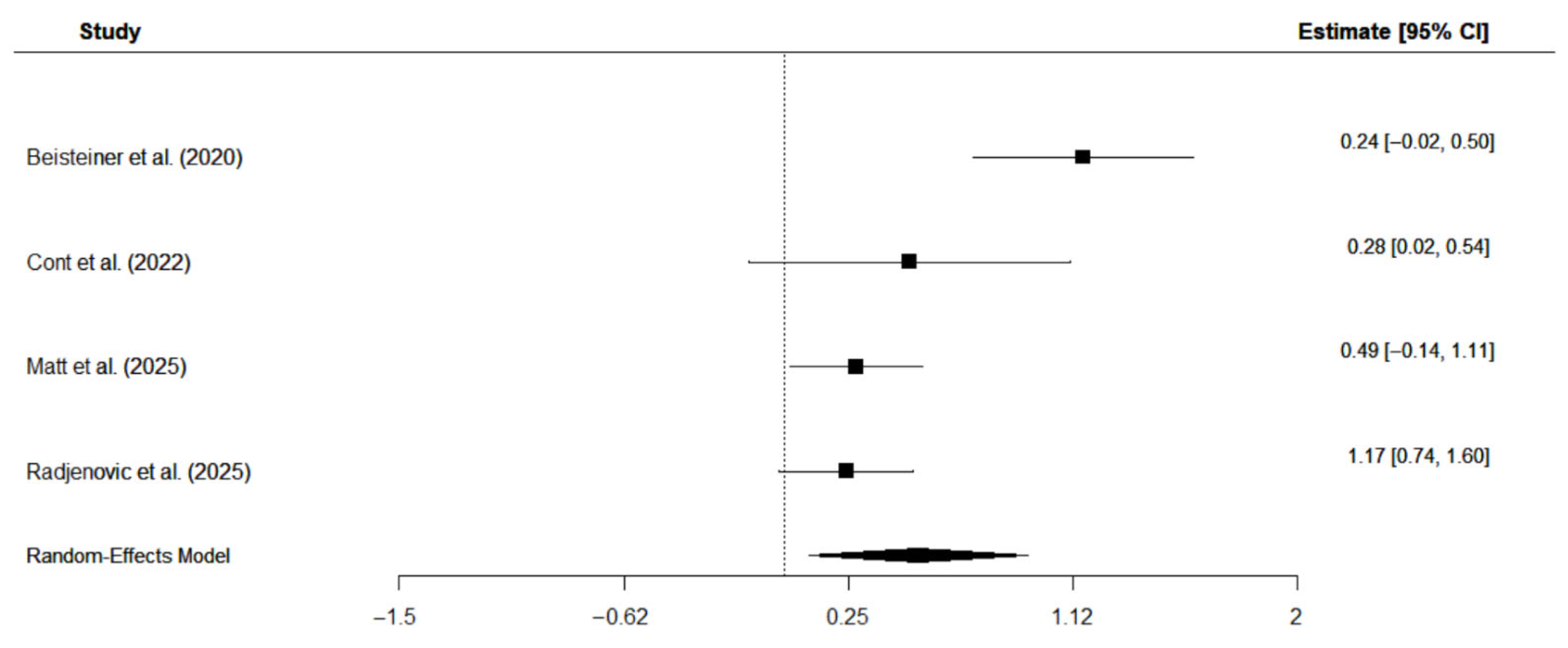
3.6.1. Meta-Analysis on TPS Effects on Cognitive Functions in Patients with Alzheimer’s Disease
3.6.2. Meta-Analysis on TPS Effects on Depressive Symptoms in Patients with Alzheimer’s Disease
4. Discussion
Strengths and Limitations of This Systematic Review
5. Conclusions
Supplementary Materials
Author Contributions
Funding
Institutional Review Board Statement
Informed Consent Statement
Data Availability Statement
Conflicts of Interest
Appendix A. Used Search Strings
- MEDLINE: ((“transcranial pulse stimulation” OR “TPS” OR “transcranial ultrasound pulse stimulation” OR “ultrasound neuromodulation” OR “transcranial stimulation”) AND (“Alzheimer’s disease” OR “Parkinson’s disease” OR “depression” OR “autism” OR “ADHD” OR “neurocognitive disorders” OR “cognitive impairment” OR “neurodegenerative diseases” OR “mild cognitive impairment” OR “attention deficit hyperactivity disorder” OR “neuropsychiatric disorders”) AND (“clinical trial” OR “randomized controlled trial” OR “RCT” OR “pilot study” OR “observational study” OR “neurology” OR “neurophysiology” OR “neuropsychology”)) NOT (systematic review OR meta-analysis)
- Google Scholar: (“transcranial pulse stimulation” OR “transcranial ultrasound pulse stimulation” OR „ultrasound neuromodulation”) AND (“Alzheimer’s disease” OR “Parkinson’s disease” OR “depression” OR “autism” OR “ADHD” OR “neurodegenerative diseases”) NOT (systematic review OR meta-analysis)
- CENTRAL: *(“transcranial pulse stimulation” OR “TPS” OR “transcranial ultrasound pulse stimulation” OR “ultrasound neuromodulation” OR “transcranial stimulation”) AND (“Alzheimer* disease” OR “Parkinson* disease” OR “depress*” OR “autism” OR “ADHD” OR “neurocognitive disorders” OR “cognitive impairment*” OR “neurodegenerat* diseases” OR “mild cognitive impairment*” OR “attention deficit hyperactivity disorder” OR “neuropsychiatric disorders”) AND (“randomized controlled trial” OR “RCT” OR “clinical trial” OR “pilot study”) NOT (“systematic review” OR “meta-analysis”)
- PsycInfo: ((“transcranial pulse stimulation” OR “TPS” OR “transcranial ultrasound pulse stimulation” OR “ultrasound neuromodulation” OR “transcranial stimulation”) AND (“Alzheimer’s disease” OR “Parkinson’s disease” OR “depression” OR “autism” OR “ADHD” OR “neurocognitive disorders” OR “cognitive impairment” OR “neurodegenerative diseases” OR “mild cognitive impairment” OR “attention deficit hyperactivity disorder” OR “neuropsychiatric disorders”) AND (“clinical trial” OR “randomized controlled trial” OR “RCT” OR “pilot study” OR “observational study” OR “neurology” OR “neurophysiology” OR “neuropsychology”)) NOT (systematic review OR meta-analysis)
- Web of Science: ((“transcranial pulse stimulation” OR “TPS” OR “transcranial ultrasound pulse stimulation” OR “ultrasound neuromodulation” OR “transcranial stimulation”) AND (“Alzheimer* disease” OR “Parkinson* disease” OR “depress*” OR “autism” OR “ADHD” OR “neurocognitive disorders” OR “cognitive impairment*” OR “neurodegenerat* diseases” OR “mild cognitive impairment*” OR “attention deficit hyperactivity disorder” OR “neuropsychiatric disorders”) AND (“clinical trial” OR “randomized controlled trial” OR “RCT” OR “pilot study” OR “observational study” OR “neurology*” OR “neurophysiology*” OR “neuropsychology*”)) NOT (“systematic review” OR “meta-analysis”)
References
- Vosskuhl, J.; Strüber, D.; Herrmann, C.S. Non-invasive brain stimulation: A paradigm shift in understanding brain oscillations. Front. Hum. Neurosci. 2018, 12, 211. [Google Scholar] [CrossRef]
- Kricheldorff, J.; Göke, K.; Kiebs, M.; Kasten, F.H.; Herrmann, C.S.; Witt, K.; Hurlemann, R. Evidence of neuroplastic changes after transcranial magnetic, electric, and deep brain stimulation. Brain Sci. 2022, 12, 929. [Google Scholar] [CrossRef]
- Elyamany, O.; Leicht, G.; Herrmann, C.S.; Mulert, C. Transcranial alternating current stimulation (tACS): From basic mechanisms towards first applications in psychiatry. Eur. Arch. Psychiatry Clin. Neurosci. 2021, 271, 135–156. [Google Scholar] [CrossRef] [PubMed]
- Roheger, M.; Riemann, S.; Brauer, A.; McGowan, E.; Grittner, U.; Flöel, A.; Meinzer, M. Non-pharmacological interventions for improving language and communication in people with primary progressive aphasia. Cochrane Database Syst. Rev. 2024, 5, CD015067. [Google Scholar] [CrossRef] [PubMed]
- Dayan, E.; Censor, N.; Buch, E.R.; Sandrini, M.; Cohen, L.G. Noninvasive brain stimulation: From physiology to network dynamics and back. Nat. Neurosci. 2013, 16, 838–844. [Google Scholar] [CrossRef]
- Polanía, R.; Nitsche, M.A.; Ruff, C.C. Studying and modifying brain function with non-invasive brain stimulation. Nat. Neurosci. 2018, 21, 174–187. [Google Scholar] [CrossRef]
- Folloni, D.; Verhagen, L.; Mars, R.B.; Fouragnan, E.; Constans, C.; Aubry, J.-F.; Rushworth, M.F.; Sallet, J. Manipulation of subcortical and deep cortical activity in the primate brain using transcranial focused ultrasound stimulation. Neuron 2019, 101, 1109–1116. [Google Scholar] [CrossRef]
- Beisteiner, R.; Lozano, A.M. Transcranial ultrasound innovations ready for broad clinical application. Adv. Sci. 2020, 7, 2002026. [Google Scholar] [CrossRef]
- Murphy, K.; Fouragnan, E. The future of transcranial ultrasound as a precision brain interface. PLoS Biol. 2024, 22, e3002884. [Google Scholar] [CrossRef]
- Haar, G.t. Ultrasound bioeffects and safety. Proc. Inst. Mech. Eng. H 2010, 224, 363–373. [Google Scholar] [CrossRef]
- Radjenovic, S.; Bender, L.; Gaal, M.; Grigoryeva, D.; Mitterwallner, M.; Osou, S.; Zettl, A.; Plischek, N.; Lachmair, P.; Herzhauser, K.; et al. A retrospective analysis of ultrasound neuromodulation therapy using transcranial pulse stimulation in 58 dementia patients. Psychol. Med. 2025, 55, e70. [Google Scholar] [CrossRef] [PubMed]
- Sarica, C.; Nankoo, J.-F.; Fomenko, A.; Grippe, T.C.; Yamamoto, K.; Samuel, N.; Milano, V.; Vetkas, A.; Darmani, G.; Cizmeci, M.N.; et al. Human studies of transcranial ultrasound neuromodulation: A systematic review of effectiveness and safety. Brain Stimulat. 2022, 15, 737–746. [Google Scholar] [CrossRef] [PubMed]
- Darrow, D.P. Focused ultrasound for neuromodulation. Neurotherapeutics 2019, 16, 88–99. [Google Scholar] [CrossRef] [PubMed]
- Jenne, J.W.; Preusser, T.; Günther, M. High-intensity focused ultrasound: Principles, therapy guidance, simulations and applications. Z. Med. Phys. 2012, 22, 311–322. [Google Scholar] [CrossRef]
- Elias, W.J.; Huss, D.; Voss, T.; Loomba, J.; Khaled, M.; Zadicario, E.; Frysinger, R.C.; Sperling, S.A.; Wylie, S.; Monteith, S.J. A pilot study of focused ultrasound thalamotomy for essential tremor. N. Engl. J. Med. 2013, 369, 640–648. [Google Scholar] [CrossRef] [PubMed]
- Lipsman, N.; Meng, Y.; Bethune, A.J.; Huang, Y.; Lam, B.; Masellis, M.; Herrmann, N.; Heyn, C.; Aubert, I.; Boutet, A.; et al. Blood–brain barrier opening in Alzheimer’s disease using MR-guided focused ultrasound. Nat. Commun. 2018, 9, 2336. [Google Scholar] [CrossRef]
- Dell’Italia, J.; Sanguinetti, J.L.; Monti, M.M.; Bystritsky, A.; Reggente, N. Current state of potential mechanisms supporting low intensity focused ultrasound for neuromodulation. Front. Hum. Neurosci. 2022, 16, 872639. [Google Scholar] [CrossRef]
- Zeng, K.; Darmani, G.; Fomenko, A.; Xia, X.; Tran, S.; Nankoo, J.; Shamli Oghli, Y.; Wang, Y.; Lozano, A.M.; Chen, R. Induction of human motor cortex plasticity by theta burst transcranial ultrasound stimulation. Ann. Neurol. 2022, 91, 238–252. [Google Scholar] [CrossRef]
- Beisteiner, R.; Matt, E.; Fan, C.; Baldysiak, H.; Schönfeld, M.; Philippi Novak, T.; Amini, A.; Aslan, T.; Reinecke, R.; Lehrner, J.; et al. Transcranial pulse stimulation with ultrasound in Alzheimer’s disease—A new navigated focal brain therapy. Adv. Sci. 2020, 7, 1902583. [Google Scholar] [CrossRef]
- Matt, E.; Kaindl, L.; Tenk, S.; Egger, A.; Kolarova, T.; Karahasanović, N.; Amini, A.; Arslan, A.; Sariçiçek, K.; Weber, A.; et al. First evidence of long-term effects of transcranial pulse stimulation (TPS) on the human brain. J. Transl. Med. 2022, 20, 26. [Google Scholar] [CrossRef]
- Karakatsani, M.E.; Nozdriukhin, D.; Tiemann, S.; Yoshihara, H.A.; Storz, R.; Belau, M.; Ni, R.; Razansky, D.; Deán-Ben, X.L. Multimodal imaging of murine cerebrovascular dynamics induced by transcranial pulse stimulation. Alzheimers Dement. 2025, 21, e14511. [Google Scholar] [CrossRef]
- Chen, H.; Wang, L.; Chen, F.; Sun, W.; Wang, S.; Zhang, N. Performance of the Benton Judgment of Line Orientation test across patients with different types of dementia. J. Alzheimer’s Dis. 2024, 102, 437–448. [Google Scholar] [CrossRef] [PubMed]
- Cont, C.; Stute, N.; Galli, A.; Schulte, C.; Logmin, K.; Trenado, C.; Wojtecki, L. Retrospective real-world pilot data on transcranial pulse stimulation in mild to severe Alzheimer’s patients. Front. Neurol. 2022, 13, 948204. [Google Scholar] [CrossRef] [PubMed]
- Popescu, T.; Pernet, C.; Beisteiner, R. Transcranial ultrasound pulse stimulation reduces cortical atrophy in Alzheimer’s patients: A follow-up study. Alzheimers Dement. Transl. Res. Clin. Interv. 2021, 7, e12121. [Google Scholar] [CrossRef] [PubMed]
- Osou, S.; Radjenovic, S.; Bender, L.; Gaal, M.; Zettl, A.; Dörl, G.; Matt, E.; Beisteiner, R. Novel ultrasound neuromodulation therapy with transcranial pulse stimulation (TPS) in Parkinson’s disease: A first retrospective analysis. J. Neurol. 2024, 271, 1462–1468. [Google Scholar] [CrossRef]
- Cheung, T.; Li, T.M.H.; Ho, Y.S.; Kranz, G.; Fong, K.N.; Leung, S.F.; Lam, S.C.; Yeung, W.F.; Lam, J.Y.T.; Fong, K.H.; et al. Effects of transcranial pulse stimulation (TPS) on adults with symptoms of depression—A pilot randomized controlled trial. Int. J. Environ. Res. Public Health 2023, 20, 2333. [Google Scholar] [CrossRef]
- Cheung, T.; Li, T.M.H.; Lam, J.Y.T.; Fong, K.H.; Chiu, L.Y.; Ho, Y.S.; Tse, A.C.-Y.; Li, C.-T.; Cheng, C.P.-W.; Beisteiner, R. Effects of transcranial pulse stimulation on autism spectrum disorder: A double-blind, randomized, sham-controlled trial. Brain Commun. 2023, 5, fcad226. [Google Scholar] [CrossRef]
- Cheung, T.; Yee, B.K.; Chau, B.; Lam, J.Y.T.; Fong, K.H.; Lo, H.; Li, T.M.H.; Li, A.M.; Sun, L.; Beisteiner, R. Efficacy and safety of transcranial pulse stimulation in young adolescents with attention-deficit/hyperactivity disorder: A pilot, randomized, double-blind, sham-controlled trial. Front. Neurol. 2024, 15, 1364270. [Google Scholar] [CrossRef]
- Moher, D.; Liberati, A.; Tetzlaff, J.; Altman, D.G. Preferred reporting items for systematic reviews and meta-analyses: The PRISMA statement. BMJ 2009, 339, b2535. [Google Scholar] [CrossRef]
- Page, M.J.; McKenzie, J.E.; Bossuyt, P.M.; Boutron, I.; Hoffmann, T.C.; Mulrow, C.D.; Shamseer, L.; Tetzlaff, J.M.; Akl, E.A.; Brennan, S.E.; et al. The PRISMA 2020 statement: An updated guideline for reporting systematic reviews. BMJ 2021, 372, n71. [Google Scholar] [CrossRef]
- Cahn, D.A.; Sullivan, E.V.; Shear, P.K.; Pfefferbaum, A.; Heit, G.; Silverberg, G. Differential contributions of cognitive and motor component processes to physical and instrumental activities of daily living in Parkinson’s disease. Arch. Clin. Neuropsychol. 1998, 13, 575–583. [Google Scholar] [CrossRef]
- Günal, A.; Bumin, G.; Huri, M. The effects of motor and cognitive impairments on daily living activities and quality of life in children with autism. J. Occup. Ther. Sch. Early Interv. 2019, 12, 444–454. [Google Scholar] [CrossRef]
- Lee, G. Impaired cognitive function is associated with motor function and activities of daily living in mild to moderate Alzheimer’s dementia. Curr. Alzheimer Res. 2020, 17, 680–686. [Google Scholar] [CrossRef] [PubMed]
- Mercier, L.; Audet, T.; Hébert, R.; Rochette, A.; Dubois, M.-F. Impact of motor, cognitive, and perceptual disorders on ability to perform activities of daily living after stroke. Stroke 2001, 32, 2602–2608. [Google Scholar] [CrossRef] [PubMed]
- Ernst, M.; Folkerts, A.-K.; Gollan, R.; Lieker, E.; Caro-Valenzuela, J.; Adams, A.; Cryns, N.; Monsef, I.; Dresen, A.; Roheger, M.; et al. Physical exercise for people with Parkinson’s disease: A systematic review and network meta-analysis. Cochrane Database Syst. Rev. 2024, 1, CD013856. [Google Scholar]
- Sterne, J.A.; Hernán, M.A.; Reeves, B.C.; Savović, J.; Berkman, N.D.; Viswanathan, M.; Henry, D.; Altman, D.G.; Ansari, M.T.; Boutron, I.; et al. ROBINS-I: A tool for assessing risk of bias in non-randomised studies of interventions. BMJ 2016, 355, i4919. [Google Scholar] [CrossRef]
- Dörl, G.; Matt, E.; Beisteiner, R. Functional specificity of TPS brain stimulation effects in patients with Alzheimer’s disease: A follow-up fMRI analysis. Neurol. Ther. 2022, 11, 1391–1398. [Google Scholar] [CrossRef]
- Matt, E.; Mitterwallner, M.; Radjenovic, S.; Grigoryeva, D.; Weber, A.; Stögmann, E.; Domitner, A.; Zettl, A.; Osou, S.; Beisteiner, R. Ultrasound Neuromodulation With Transcranial Pulse Stimulation in Alzheimer Disease: A Randomized Clinical Trial. JAMA Netw. Open 2025, 8, e2459170. [Google Scholar] [CrossRef]
- Radjenovic, S.; Dörl, G.; Gaal, M.; Beisteiner, R. Safety of clinical ultrasound neuromodulation. Brain Sci. 2022, 12, 1277. [Google Scholar] [CrossRef]
- Shinzato, G.T.; Assone, T.; Sandler, P.C.; Pacheco-Barrios, K.; Fregni, F.; Radanovic, M.; Forlenza, O.V.; Battistella, L.R. Non-invasive sound wave brain stimulation with Transcranial Pulse Stimulation (TPS) improves neuropsychiatric symptoms in Alzheimer’s disease. Brain Stimulat. 2024, 17, 413–415. [Google Scholar] [CrossRef]
- Wojtecki, L.; Cont, C.; Stute, N.; Galli, A.; Schulte, C.; Trenado, C. Electrical brain networks before and after transcranial pulsed shockwave stimulation in Alzheimer’s patients. GeroScience 2025, 47, 953–964. [Google Scholar] [CrossRef]
- Fong, T.K.H.; Cheung, T.; Ngan, S.T.J.; Tong, K.; Lui, W.Y.V.; Chan, W.C.; Wong, C.S.M.; Cheng, C.P.W. Transcranial pulse stimulation in the treatment of mild neurocognitive disorders. Ann. Clin. Transl. Neurol. 2023, 10, 1885–1890. [Google Scholar] [CrossRef]
- Manganotti, P.; Liccari, M.; Lombardo, T.M.I.; Della Toffola, J.; Cenacchi, V.; Catalan, M.; Busan, P. Effect of a single session of transcranial pulse stimulation (TPS) on resting tremor in patients with Parkinson’s disease. Brain Res. 2025, 1850, 149405. [Google Scholar] [CrossRef]
- Sachs-Ericsson, N.; Blazer, D.G. The new DSM-5 diagnosis of mild neurocognitive disorder and its relation to research in mild cognitive impairment. Aging Ment. Health 2015, 19, 2–12. [Google Scholar] [CrossRef] [PubMed]
- Moustafa, A.A.; Chakravarthy, S.; Phillips, J.R.; Gupta, A.; Keri, S.; Polner, B.; Frank, M.J.; Jahanshahi, M. Motor symptoms in Parkinson’s disease: A unified framework. Neurosci. Biobehav. Rev. 2016, 68, 727–740. [Google Scholar] [CrossRef] [PubMed]
- Otte, C.; Gold, S.M.; Penninx, B.W.; Pariante, C.M.; Etkin, A.; Fava, M.; Mohr, D.C.; Schatzberg, A.F. Major depressive disorder. Nat. Rev. Dis. Primer 2016, 2, 16065. [Google Scholar] [CrossRef]
- Lord, C.; Cook, E.H.; Leventhal, B.L.; Amaral, D.G. Autism spectrum disorders. Neuron 2000, 28, 355–363. [Google Scholar] [CrossRef]
- Braconnier, M.L.; Siper, P.M. Neuropsychological assessment in autism spectrum disorder. Curr. Psychiatry Rep. 2021, 23, 63. [Google Scholar] [CrossRef]
- Hurtig, T.; Ebeling, H.; Taanila, A.; Miettunen, J.; Smalley, S.L.; McGOUGH, J.J.; Loo, S.K.; Jaervelin, M.-R.; Moilanen, I.K. ADHD symptoms and subtypes: Relationship between childhood and adolescent symptoms. J. Am. Acad. Child Adolesc. Psychiatry 2007, 46, 1605–1613. [Google Scholar] [CrossRef]
- Chandler, M.J.; Lacritz, L.H.; Hynan, L.S.; Barnard, H.D.; Allen, G.; Deschner, M.; Weiner, M.F.; Cullum, C.M. A total score for the CERAD neuropsychological battery. Neurology 2005, 65, 102–106. [Google Scholar] [CrossRef]
- Wang, Y.-P.; Gorenstein, C. Psychometric properties of the Beck Depression Inventory-II: A comprehensive review. Rev. Bras. Psiquiatr. 2013, 35, 416–431. [Google Scholar] [CrossRef]
- Martin, E.; Aubry, J.-F.; Schafer, M.; Verhagen, L.; Treeby, B.; Pauly, K.B. ITRUSST consensus on standardised reporting for transcranial ultrasound stimulation. Brain Stimulat. 2024, 17, 607–615. [Google Scholar] [CrossRef]
- Stenroos, M.; Nummenmaa, A. Incorporating and compensating cerebrospinal fluid in surface-based forward models of magneto-and electroencephalography. PLoS ONE 2016, 11, e0159595. [Google Scholar] [CrossRef]
- Burton, C.Z.; Garnett, E.O.; Capellari, E.; Chang, S.-E.; Tso, I.F.; Hampstead, B.M.; Taylor, S.F. Combined cognitive training and transcranial direct current stimulation in neuropsychiatric disorders: A systematic review and meta-analysis. Biol. Psychiatry Cogn. Neurosci. Neuroimaging 2023, 8, 151–161. [Google Scholar] [CrossRef]
- Moussavi, Z.; Kimura, K.; Kehler, L.; de Oliveira Francisco, C.; Lithgow, B. A novel program to improve cognitive function in individuals with dementia using transcranial alternating current stimulation (tACS) and tutored cognitive exercises. Front. Aging 2021, 2, 632545. [Google Scholar] [CrossRef] [PubMed]
- Bahr-Hosseini, M.; Bikson, M. Neurovascular-modulation: A review of primary vascular responses to transcranial electrical stimulation as a mechanism of action. Brain Stimulat. 2021, 14, 837–847. [Google Scholar] [CrossRef] [PubMed]
- Yang, F.-Y.; Chang, W.-Y.; Chen, J.-C.; Lee, L.-C.; Hung, Y.-S. Quantitative assessment of cerebral glucose metabolic rates after blood–brain barrier disruption induced by focused ultrasound using FDG-MicroPET. Neuroimage 2014, 90, 93–98. [Google Scholar] [CrossRef]
- Yang, F.-Y.; Lu, W.-W.; Lin, W.-T.; Chang, C.-W.; Huang, S.-L. Enhancement of neurotrophic factors in astrocyte for neuroprotective effects in brain disorders using low-intensity pulsed ultrasound stimulation. Brain Stimulat. 2015, 8, 465–473. [Google Scholar] [CrossRef]
- Cantone, M.; Lanza, G.; Ranieri, F.; Opie, G.M.; Terranova, C. Non-invasive brain stimulation in the study and modulation of metaplasticity in neurological disorders. Front. Neurol. 2021, 12, 721906. [Google Scholar] [CrossRef]






| Technology/ Terminus | Abbreviation | Frequency | Intensity (ISPTA) | Application |
|---|---|---|---|---|
| Diagnostic US | DUS | approx. 2–15 MHz | <1 W/cm2 | Diagnostic imaging of anatomical structures |
| Focused US (FUS) | ||||
| High-intensity US | HIFU | approx. 1–7 MHz | 100–1000 W/cm2 | Therapeutic use by creating permanent lesions through thermal destruction of tissue |
| Low-intensity US | LIFU | 200–1000 kHz | <100 W/cm2 | Therapeutic use by evoking neuromodulatory effects |
| Transcranial pulse stimulation | TPS | 1–5 Hz | 0.1 W/cm2 | |
| Transcranial ultrasound with theta burst | tbTUS | 5 Hz Bursts: 50 Hz | 0.23 W/cm2 | |
| Authors | Study Design | Sample Characteristics | TPS Protocol | Duration | Location of Stimulation | Side Effects |
|---|---|---|---|---|---|---|
| Alzheimer’s disease | ||||||
| Beisteiner et al. (2020) [19] * | NCT | N = 35 (20 females, 15 males); age = 72.38 (7.11); stable antidementia therapy (≥3 months) or none required | EFD = 0.20 mJ/mm2, PRF = 5 Hz, 6000 pulses/session | 6–12 sessions over 2–4 weeks | dlPFC, IFC, LPC, precuneus cortex, DMN | 93% no AEs, 4% headache, 3% mood deterioration |
| Cont et al. (2022) [23] | NCT | N = 11 (2 females, 9 males); age = 69.82; medication status NR | EFD = 0.20 mJ/mm2, PRF = 4 Hz, 6000 pulses/session | 6–12 sessions over 2 weeks | PFC, LPC, temporal cortex | 73% no AEs, 27 side effects (jaw pain, nausea, drowsiness) |
| Dörl et al. (2022) [37] * | NCT | N = 18 (11 females, 7 males), age = 69.90; stable antidementia therapy (≥3 months) or none required | EFD = 0.20 mJ/mm2, PRF = 5 Hz, 6000 pulses/session | 6–12 sessions over 2–4 weeks | dlPFC, IFC, LPC, precuneus cortex, DMN | NR |
| Matt et al. (2025) [38] | RCT | N = 60 (30 females, 30 males), age = 70.65 (8.16); all on standard antidementia therapy | EFD = 0.2 mJ/mm2, PRF = 5 Hz, 6000 pulses/session | 6 sessions over 2 weeks | dlPFC, IFC, LPC, precuneus | 70% no AEs, 12% depression, 7% headache, 5% dizziness, 2% anxiety, 2% sleep disorder, 2% fatigue |
| Matt et al. (2022) [20] * | NCT | N = 18 (11 females, 7 males); age = 69.90; stable antidementia therapy (≥3 months) or none required | EFD = 0.20 mJ/mm2, PRF = 5 Hz, 6000 pulses/session | 6–12 sessions over 2–4 weeks | dlPFC, IFC, LPC, precuneus cortex, DMN | NR |
| Popescu et al. (2020) [24] * | NCT | N = 17 (gender = NR), age = NR; stable antidementia therapy (≥3 months) or none required | EFD = 0.20 mJ/mm2, PRF = 5 Hz, 6000 pulses/session | 6–12 sessions over 2–4 weeks | dlPFC, IFC, LPC, precuneus cortex, DMN | NR |
| Radjenovic et al. (2022) [39] | NCT | N = 58 (26 females, 30 males), age = 71.72 (8.19); all on antidementia medication except one patient only taking dietary supplements | EFD = 0.15–0.25 mJ/mm2, PRF = 4 Hz, 2000–4000 pulses/session | 10 sessions | dlPFC, IFC, LPC, precuneus, anterior cingulate cortex, hippocampus | 81% no AEs, 7% fatigue, 4% transient pain, 3% pressure sensation, <3% dizziness, nausea, confusion, gait disturbances |
| Shinzato et al. (2024) [40] | NCT | N = 10 (6 females, 4 males); age = NR; on cholinesterase inhibitors and/or memantine at therapeutic doses | EFD = 0.20 mJ/mm2, PRF = 5 Hz, 6000 pulses/session | 10 sessions over 5 weeks | Frontotemporal | NR |
| Wojtecki et al. (2025) [41] | NCT | N = 10 (2 females, 8 males), age = 69.20 (7.10); medication status NR | EFD = 0.20 mJ/mm2, PRF = 4 Hz, 1004–6000 pulses/session | 1 session | PFC, LPC, precuneus cortex, temporal cortex | NR |
| Mild cognitive impairment | ||||||
| Fong et al. (2023) [42] | NCT | N = 19 (12 females, 7 males); Age = NR; on stable antidementia therapy ≥ 3 months | 6000 pulses/session | 6 sessions over 2 weeks | Frontal, parietal, temporal, and occipital lobes | No AEs |
| Parkinson’s disease | ||||||
| Manganotti et al. (2025) [43] | NRT | N = 16 (5 females, 11 males), age = 72.63 (8.00); on stable levodopa medication | EFD = 0.2 mJ/mm2, PRF = 4 Hz, 1500 pulses/session | 1 session | Motor cortex | No AEs |
| Osou et al. (2024) [25] | NCT | N = 20 (5 females, 15 males), age = 67.6 (7.50); on standard-of-care antiparkinsonian therapy | EFD = 0.25 mJ/mm2, PRF = 4 Hz, 4000 pulses/session | 10 sessions over 2 weeks | S1, SMA, CMA | 35% no AEs, 65% side effects (fatigue, headache, dizziness) |
| Major depressive disorder | ||||||
| Cheung et al. (2023a) [26] | RCT | N = 30 (22 females, 8 males), age = 36.55 (15.77); 23 on antidepressants, 7 unmedicated | EFD = 0.20–0.25 mJ/mm2, PRF = 3–4 Hz, 300 pulses/session | 6 sessions over 2 weeks | dlPFC | NR |
| Autism spectrum disorder | ||||||
| Cheung et al. (2023b) [27] | RCT | N = 32 (5 females, 27 males), age = 13.16 (1.96); on stable psychotropic medication ≥ 3 months | EFD = 0.20–0.25 mJ/mm2, PRF = 3–4 Hz, 800 pulses/session | 6 sessions over 2 weeks | rTPJ | 84% no AEs, 16% headache |
| Attention-deficit hyperactivity disorder | ||||||
| Cheung et al. (2024) [28] | RCT | N = 32 (7 females, 25 males), age = 13.04 (1.43); all on ADHD medication | EFD = 0.20–0.25 mJ/mm2, PRF = 4 Hz, 800 pulses/session | 6 sessions over 2 weeks | Left dlPFC | 91% no AEs, 9% headache |
| Clinical Trial Number | Patient Diagnosis | Primary Outcome Measure(s) |
|---|---|---|
| NCT06730438 | Alzheimer’s disease |
|
| NCT06681610 | Amyotrophic lateral sclerosis (ALS) |
|
| NCT05551585 | Major depressive disorder |
|
| NCT06676995 | Parkinson’s disease |
|
| NCT05910619 | Mild dementia |
|
| NCT05602467 | Mild cognitive impairment |
|
| NCT06313944 | Alzheimer’s disease |
|
| Study | Measure | n | Pre (M ± SD) | Post (M ± SD) | FU1 (M ± SD) | FU3 (M ± SD) |
|---|---|---|---|---|---|---|
| Beisteiner et al. (2020) [19] | CERAD CTS | 35 | 65.60 ± 17.66 | 72.52 ± 18.91 | 72.58 ± 21.13 | 72.17 ± 21.48 |
| LR | 31 | −3.36 ± 4.83 | −1.45 ± 4.98 | −0.29 ± 5.20 | 0.05 ± 5.48 | |
| MEMORY | 30 | −0.31 ± 1.03 | 0.01 ± 1.02 | 0.16 ± 1.03 | 0.31 ± 0.83 | |
| VERBAL | 30 | −0.21 ± 0.84 | 0.12 ± 0.92 | 0.16 ± 0.92 | −0.21 ± 0.86 | |
| FIGURAL | 30 | 0.11 ± 1.07 | 0.03 ± 0.97 | 0.08 ± 1.17 | −0.21 ± 0.86 | |
| Cont et al. (2022) [23] | ADAS Cog | 11 | 25.80 ± 10.77 | 23.30 ± 10.27 | NA | NA |
| MMSE | 11 | 17.64 ± 7.74 | 18.00 ± 7.12 | NA | NA | |
| MoCA | 11 | 11.73 ± 6.20 | 12 ± 6.68 | NA | NA | |
| Matt et al. (2025) [38] | CERAD CTS | 60 | 70.93 ± 14.27 | 72.69 ± 13.03 | 72.92 ± 14.50 | 73.15 ± 14.90 |
| ADAS-Cog | 60 | 16.77 ± 6.38 | 17.18 ± 6.97 | 16.70 ± 6.22 | 16.25 ± 6.03 | |
| Clock drawing test | 60 | 4.72 ± 2.14 | 4.63 ± 2.20 | 4.85 ± 2.17 | 4.75 ± 2.05 | |
| Radjenovic et al. (2025) [11] | CERAD CTS | 58 | 56.56 ± 18.56 | 58.65 ± 19.44 | NA | NA |
| Shinzato et al. (2024) [40] | ADAS-Cog | 10 | 24.83 ± 10.26 | NA | 22.50 ± 9.31 | 21.33 ± 6.97 |
| Study | Measure | n | Pre (M ± SD) | Post (M ± SD) | FU1 (M ± SD) | FU3 (M ± SD) |
|---|---|---|---|---|---|---|
| Beisteiner et al. (2020) [19] | BDI | 25 | 6.04 (5.40) | 3.64 (3.60) | 2.92 (3.64) | 3.08 (3.66) |
| Cont et al. (2022) [23] | ADAS–depressive symptoms subscale | 11 | 0.70 (1.10) | 0.20 (0.40) | NA | NA |
| Matt et al. (2025) [38] | BDI | 58 | 6.79 (5.25) | 6.1 (5.27) | 4.72 (4.06) | 5.31 (4.96) |
Disclaimer/Publisher’s Note: The statements, opinions and data contained in all publications are solely those of the individual author(s) and contributor(s) and not of MDPI and/or the editor(s). MDPI and/or the editor(s) disclaim responsibility for any injury to people or property resulting from any ideas, methods, instructions or products referred to in the content. |
© 2025 by the authors. Licensee MDPI, Basel, Switzerland. This article is an open access article distributed under the terms and conditions of the Creative Commons Attribution (CC BY) license (https://creativecommons.org/licenses/by/4.0/).
Share and Cite
Polte, S.; Klingmann, L.; Seßmann, A.; Schwichtenberg, S.; Herrmann, C.S.; Witt, K.; Roheger, M. Neuromodulatory Effects of Transcranial Pulse Stimulation (TPS) in Neurological and Psychiatric Disorders—A Systematic Review and Meta-Analysis. Neurol. Int. 2025, 17, 188. https://doi.org/10.3390/neurolint17110188
Polte S, Klingmann L, Seßmann A, Schwichtenberg S, Herrmann CS, Witt K, Roheger M. Neuromodulatory Effects of Transcranial Pulse Stimulation (TPS) in Neurological and Psychiatric Disorders—A Systematic Review and Meta-Analysis. Neurology International. 2025; 17(11):188. https://doi.org/10.3390/neurolint17110188
Chicago/Turabian StylePolte, Selma, Larissa Klingmann, Anna Seßmann, Svenja Schwichtenberg, Christoph S. Herrmann, Karsten Witt, and Mandy Roheger. 2025. "Neuromodulatory Effects of Transcranial Pulse Stimulation (TPS) in Neurological and Psychiatric Disorders—A Systematic Review and Meta-Analysis" Neurology International 17, no. 11: 188. https://doi.org/10.3390/neurolint17110188
APA StylePolte, S., Klingmann, L., Seßmann, A., Schwichtenberg, S., Herrmann, C. S., Witt, K., & Roheger, M. (2025). Neuromodulatory Effects of Transcranial Pulse Stimulation (TPS) in Neurological and Psychiatric Disorders—A Systematic Review and Meta-Analysis. Neurology International, 17(11), 188. https://doi.org/10.3390/neurolint17110188

