Optimal Mileage of Electric Vehicles Considering Range Anxiety and Charging Times
Abstract
1. Introduction
2. Literature Review
2.1. Electric Vehicles
2.2. Range Anxiety
2.3. Charging Strategy
3. Model
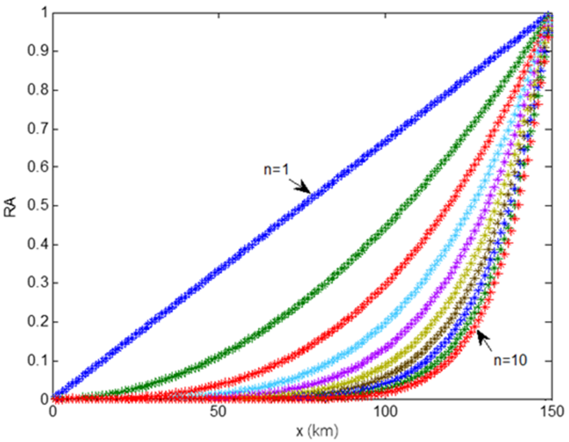
3.1. Range Anxiety Function
3.2. Charging Times Function
3.3. The Objective Function
4. Analysis and Result
4.1. Optimal Absolute Mileage
4.2. Optimal Relative Mileage
5. Conclusions
Author Contributions
Funding
Data Availability Statement
Conflicts of Interest
Nomenclature
| Abbreviation | Meaning |
| EV | Electric vehicle |
| RA | Range anxiety |
| CRA | Cumulative range anxiety |
| D | Driver’s total driven mileage |
| Q | Fixed cruising range of BEV |
| x | Absolute mileage (the driven mileage after each full charge) |
| y | Relative mileage (the ratio of x and Q) |
| N | Charging times |
| n | Driver’s tolerance to range anxiety |
References
- Daramy-Williams, E.; Anable, J.; Grant-Muller, S. A Systematic Review of the Evidence on Plug-in Electric Vehicle User Experience. Transp. Res. Part D Transp. Environ. 2019, 71, 22–36. [Google Scholar] [CrossRef]
- Zhang, B.; Niu, N.; Li, H.; Wang, Z.; He, W. Could Fast Battery Charging Effectively Mitigate Range Anxiety in Electric Vehicle Usage?Evidence from Large-Scale Data on Travel and Charging in Beijing. Transp. Res. Part D Transp. Environ. 2021, 95, 102840. [Google Scholar] [CrossRef]
- Jung, M.F.; Sirkin, D.; Gür, T.M.; Steinert, M. Displayed Uncertainty Improves Driving Experience and Behavior: The Case of Range Anxiety in an Electric Car. In Proceedings of the 33rd Annual ACM Conference on Human Factors in Computing Systems—CHI ’15, Seoul, Republic of Korea, 18–23 April 2015; ACM Press: Seoul, Republic of Korea, 2015; pp. 2201–2210. [Google Scholar]
- Xie, C.; Wu, X.; Boyles, S. Network Equilibrium of Electric Vehicles with Stochastic Range Anxiety. In Proceedings of the 17th International IEEE Conference on Intelligent Transportation Systems (ITSC), Qingdao, China, 8–11 October 2014; pp. 2505–2510. [Google Scholar]
- Melliger, M.A.; van Vliet, O.P.R.; Liimatainen, H. Anxiety vs. Reality—Sufficiency of Battery Electric Vehicle Range in Switzerland and Finland. Transp. Res. Part D Transp. Environ. 2018, 65, 101–115. [Google Scholar] [CrossRef]
- Singh, V.; Singh, V.; Vaibhav, S. A Review and Simple Meta-Analysis of Factors Influencing Adoption of Electric Vehicles. Transp. Res. Part D: Transp. Environ. 2020, 86, 102436. [Google Scholar] [CrossRef]
- Bonges, H.A.; Lusk, A.C. Addressing Electric Vehicle (EV) Sales and Range Anxiety through Parking Layout, Policy and Regulation. Transp. Res. Part A Policy Pract. 2016, 83, 63–73. [Google Scholar] [CrossRef]
- Struben, J.; Sterman, J.D. Transition Challenges for Alternative Fuel Vehicle and Transportation Systems. Environ. Plan. B Plan. Des. 2008, 35, 1070–1097. [Google Scholar] [CrossRef]
- Bühler, F.; Cocron, P.; Neumann, I.; Franke, T.; Krems, J.F. Is EV Experience Related to EV Acceptance? Results from a German Field Study. Transp. Res. Part F Traffic Psychol. Behav. 2014, 25, 34–49. [Google Scholar] [CrossRef]
- Chen, T.D.; Wang, Y.; Kockelman, K.M. Where Are the Electric Vehicles? A Spatial Model for Vehicle-Choice Count Data. J. Transp. Geogr. 2015, 43, 181–188. [Google Scholar] [CrossRef]
- Eisel, M.; Nastjuk, I.; Kolbe, L.M. Understanding the Influence of In-Vehicle Information Systems on Range Stress—Insights from an Electric Vehicle Field Experiment. Transp. Res. Part F Traffic Psychol. Behav. 2016, 43, 199–211. [Google Scholar] [CrossRef]
- Amjad, M.; Farooq-i-Azam, M.; Ni, Q.; Dong, M.; Ansari, E.A. Wireless Charging Systems for Electric Vehicles. Renew. Sustain. Energy Rev. 2022, 167, 112730. [Google Scholar] [CrossRef]
- Wang, S.; Fan, J.; Zhao, D.; Yang, S.; Fu, Y. Predicting Consumers’ Intention to Adopt Hybrid Electric Vehicles: Using an Extended Version of the Theory of Planned Behavior Model. Transportation 2016, 43, 123–143. [Google Scholar] [CrossRef]
- Kaplan, S.; Gruber, J.; Reinthaler, M.; Klauenberg, J. Intentions to Introduce Electric Vehicles in the Commercial Sector: A Model Based on the Theory of Planned Behaviour. Res. Transp. Econ. 2016, 55, 12–19. [Google Scholar] [CrossRef]
- Asadi, S.; Nilashi, M.; Samad, S.; Abdullah, R.; Mahmoud, M.; Alkinani, M.H.; Yadegaridehkordi, E. Factors Impacting Consumers’ Intention toward Adoption of Electric Vehicles in Malaysia. J. Clean. Prod. 2020, 282, 124474. [Google Scholar] [CrossRef]
- He, X.; Zhan, W. How to Activate Moral Norm to Adopt Electric Vehicles in China? An Empirical Study Based on Extended Norm Activation Theory. J. Clean. Prod. 2018, 172, 3546–3556. [Google Scholar] [CrossRef]
- Nordlund, A.; Jansson, J.; Westin, K. New Transportation Technology: Norm Activation Processes and the Intention to Switch to an Electric/Hybrid Vehicle. Transp. Res. Procedia 2016, 14, 2527–2536. [Google Scholar] [CrossRef]
- Carley, S.; Krause, R.M.; Lane, B.W.; Graham, J.D. Intent to Purchase a Plug-in Electric Vehicle: A Survey of Early Impressions in Large US Cites. Transp. Res. Part D Transp. Environ. 2013, 18, 39–45. [Google Scholar] [CrossRef]
- Egbue, O.; Long, S. Barriers to Widespread Adoption of Electric Vehicles: An Analysis of Consumer Attitudes and Perceptions. Energy Policy 2012, 48, 717–729. [Google Scholar] [CrossRef]
- Graham-Rowe, E.; Gardner, B.; Abraham, C.; Skippon, S.; Dittmar, H.; Hutchins, R.; Stannard, J. Mainstream Consumers Driving Plug-in Battery-Electric and Plug-in Hybrid Electric Cars: A Qualitative Analysis of Responses and Evaluations. Transp. Res. Part A Policy Pract. 2012, 46, 140–153. [Google Scholar] [CrossRef]
- Jensen, A.F.; Cherchi, E.; Mabit, S.L. On the Stability of Preferences and Attitudes before and after Experiencing an Electric Vehicle. Transp. Res. Part D: Transp. Environ. 2013, 25, 24–32. [Google Scholar] [CrossRef]
- He, X.; Zhan, W.; Hu, Y. Consumer Purchase Intention of Electric Vehicles in China: The Roles of Perception and Personality. J. Clean. Prod. 2018, 204, 1060–1069. [Google Scholar] [CrossRef]
- Chu, W.; Im, M.; Song, M.R.; Park, J. Psychological and Behavioral Factors Affecting Electric Vehicle Adoption and Satisfaction: A Comparative Study of Early Adopters in China and Korea. Transp. Res. Part D Transp. Environ. 2019, 76, 1–18. [Google Scholar] [CrossRef]
- Xu, G.; Wang, S.; Zhao, D. Transition to Sustainable Transport: Understanding the Antecedents of Consumer’s Intention to Adopt Electric Vehicles from the Emotional Research Perspective. Env. Sci. Pollut. Res. 2021, 28, 20362–20374. [Google Scholar] [CrossRef] [PubMed]
- Yan, Q.; Qin, G.; Zhang, M.; Xiao, B. Research on Real Purchasing Behavior Analysis of Electric Cars in Beijing Based on Structural Equation Modeling and Multinomial Logit Model. Sustainability 2019, 11, 5870. [Google Scholar] [CrossRef]
- Yang, S.; Cheng, P.; Li, J.; Wang, S. Which Group Should Policies Target? Effects of Incentive Policies and Product Cognitions for Electric Vehicle Adoption among Chinese Consumers. Energy Policy 2019, 135, 111009. [Google Scholar] [CrossRef]
- He, H.; Fan, J.; Li, Y.; Li, J. When to Switch to a Hybrid Electric Vehicle: A Replacement Optimisation Decision. J. Clean. Prod. 2017, 148, 295–303. [Google Scholar] [CrossRef]
- Nazari, F.; Mohammadian, A.K.; Stephens, T. Modeling Electric Vehicle Adoption Considering a Latent Travel Pattern Construct and Charging Infrastructure. Transp. Res. Part D Transp. Environ. 2019, 72, 65–82. [Google Scholar] [CrossRef]
- Qiu, Y.Q.; Zhou, P.; Sun, H.C. Assessing the Effectiveness of City-Level Electric Vehicle Policies in China. Energy Policy 2019, 130, 22–31. [Google Scholar] [CrossRef]
- Wang, N.; Tang, L.; Pan, H. A Global Comparison and Assessment of Incentive Policy on Electric Vehicle Promotion. Sustain. Cities Soc. 2019, 44, 597–603. [Google Scholar] [CrossRef]
- Pevec, D.; Babic, J.; Carvalho, A.; Ghiassi-Farrokhfal, Y.; Ketter, W.; Podobnik, V. A Survey-Based Assessment of How Existing and Potential Electric Vehicle Owners Perceive Range Anxiety. J. Clean. Prod. 2020, 276, 122779. [Google Scholar] [CrossRef]
- Neubauer, J.; Wood, E. The Impact of Range Anxiety and Home, Workplace, and Public Charging Infrastructure on Simulated Battery Electric Vehicle Lifetime Utility. J. Power Sources 2014, 257, 12–20. [Google Scholar] [CrossRef]
- Franke, T.; Krems, J.F. What Drives Range Preferences in Electric Vehicle Users? Transp. Policy 2013, 30, 56–62. [Google Scholar] [CrossRef]
- Dong, J.; Liu, C.; Lin, Z. Charging Infrastructure Planning for Promoting Battery Electric Vehicles: An Activity-Based Approach Using Multiday Travel Data. Transp. Res. Part C Emerg. Technol. 2014, 38, 44–55. [Google Scholar] [CrossRef]
- Rauh, N.; Franke, T.; Krems, J.F. Understanding the Impact of Electric Vehicle Driving Experience on Range Anxiety. Hum. Factors 2015, 57, 177–187. [Google Scholar] [CrossRef]
- Rauh, N.; Günther, M.; Krems, J.F. Positive Influence of Practical Electric Vehicle Driving Experience and Range Related Knowledge on Drivers’ Experienced Range Stress. Transp. Res. Part F Traffic Psychol. Behav. 2020, 71, 182–197. [Google Scholar] [CrossRef]
- Lin, Z. Optimizing and Diversifying Electric Vehicle Driving Range for U.S. Drivers. Transp. Sci. 2014, 48, 635–650. [Google Scholar] [CrossRef]
- Habib, S.; Kamran, M.; Rashid, U. Impact Analysis of Vehicle-to-Grid Technology and Charging Strategies of Electric Vehicles on Distribution Networks—A Review. J. Power Sources 2015, 277, 205–214. [Google Scholar] [CrossRef]
- Shireen, W.; Patel, S. Plug-in Hybrid Electric Vehicles in the Smart Grid Environment. In Proceedings of the IEEE PES T&D 2010, New Orleans, LA, USA, 19–22 April 2010; pp. 1–4. [Google Scholar]
- Hoke, A.; Brissette, A.; Maksimović, D.; Pratt, A.; Smith, K. Electric Vehicle Charge Optimization Including Effects of Lithium-Ion Battery Degradation. In Proceedings of the 2011 IEEE Vehicle Power and Propulsion Conference, Chicago, IL, USA, 6–9 September 2011; pp. 1–8. [Google Scholar]
- Lunz, B.; Yan, Z.; Gerschler, J.B.; Sauer, D.U. Influence of Plug-in Hybrid Electric Vehicle Charging Strategies on Charging and Battery Degradation Costs. Energy Policy 2012, 46, 511–519. [Google Scholar] [CrossRef]
- Schwab, J.; Sölch, C.; Zöttl, G. Electric Vehicle Cost in 2035: The Impact of Market Penetration and Charging Strategies. Energy Econ. 2022, 114, 106263. [Google Scholar] [CrossRef]








Disclaimer/Publisher’s Note: The statements, opinions and data contained in all publications are solely those of the individual author(s) and contributor(s) and not of MDPI and/or the editor(s). MDPI and/or the editor(s) disclaim responsibility for any injury to people or property resulting from any ideas, methods, instructions or products referred to in the content. |
© 2023 by the authors. Licensee MDPI, Basel, Switzerland. This article is an open access article distributed under the terms and conditions of the Creative Commons Attribution (CC BY) license (https://creativecommons.org/licenses/by/4.0/).
Share and Cite
He, X.; Hu, Y. Optimal Mileage of Electric Vehicles Considering Range Anxiety and Charging Times. World Electr. Veh. J. 2023, 14, 21. https://doi.org/10.3390/wevj14010021
He X, Hu Y. Optimal Mileage of Electric Vehicles Considering Range Anxiety and Charging Times. World Electric Vehicle Journal. 2023; 14(1):21. https://doi.org/10.3390/wevj14010021
Chicago/Turabian StyleHe, Xiuhong, and Yingying Hu. 2023. "Optimal Mileage of Electric Vehicles Considering Range Anxiety and Charging Times" World Electric Vehicle Journal 14, no. 1: 21. https://doi.org/10.3390/wevj14010021
APA StyleHe, X., & Hu, Y. (2023). Optimal Mileage of Electric Vehicles Considering Range Anxiety and Charging Times. World Electric Vehicle Journal, 14(1), 21. https://doi.org/10.3390/wevj14010021
