Abstract
In the context of smart cities, direct current overhead contact lines, usually adopted to power urban transportation systems such as trolleybuses, tramways, metros, and railways, can serve as a backbone to connect different modern emerging technologies. Among these, in-motion charging (IMC) trolleybuses with on-board batteries are expected to be very impactful on the DC network’s power flow and may require specific voltage and current control. These factors motivate the development of a simulation tool able to emulate these devices’ absorption and their effect on the supply infrastructure. The main innovative value of the work is to improve a simulation model of a trolleybus grid through a data-driven approach by using measurements of voltage and current output from a traction substation. The measurements are essential for understanding the behavior of vehicle weight variation throughout the day. Thanks to this information, a characterization of the current draw by conventional trolleybuses and IMC trolleybuses is then provided for each trolleybus route in a specific power section of the Bologna trolleybus system. By integrating the variation in vehicle weight within the model, a simulation of a possible daily operation of a trolleybus feeding section has been performed, obtaining a 7% error between the daily energy calculated from the simulation and that obtained through measurements. This analysis demonstrates the feasibility of the adopted simulation tool, which can also be used to evaluate additional hypothetical trolleybus operation scenarios. One of these possible scenarios considers IMC vehicles, and it is also evaluated in this paper.
1. Introduction
In many countries, the strong deman for mobility has grown in the last several years and will continue to increase in areas surrounding metropolitan cities. Currently, urban areas account for over half of total passenger transport activity, serving a global urban population that exceeded 3.9 billion in 2015. By 2050, the urban population is expected to increase by another 2.5 billion people, reaching 66% of the total global population [1,2]. Most of the developed nations of the world are looking into alternatives for transportation systems that rely more heavily on energy-efficient vehicles as a result of growing climate change awareness and the press to reduce petroleum dependency. Transportation electrification can play a significant role in future global mobility systems, helping to mitigate the effects of climate change and poor air quality. Trolleybuses, among other electric-powered mass transit such as metros, tramways, light railways, and full electric buses (eBuses), are widely used in European cities. Trolleybuses are comparable to tramways, metro systems, and light railways in term of electrification and passenger carrying capacity. These urban transportation systems, unlike regular buses, need a catenary system for power.
The expansion and enhancement of the metropolitan transportation electrical infrastructure may become a remarkable task when initiating a smart city project. In this direction, the growth trend of electric vehicles (EVs) has a great chance of being favored by the integration of renewable energy sources (RES) and stationary energy storage systems (S-ESSs) within the trolleybus supply grid, inasmuch as the network itself could serve as a DC backbone for EV chargers, being transformed into a smart trolleybus system [3]. To achieve this goal, textual programming-based circuit models of catenary-powered transportation systems may be of great help to simulate the respective electrical infrastructure, also considering the abovementioned technologies. Authors in [4] relied on the mentioned approach, applied for analyzing the trolleybus system in the city of Arnhem, Netherlands. Graphical programming-based simulation models in the Simulink environment (e.g., refer to [5]), due to a more user-friendly man–machine interface, are able to represent complex network topologies more easily. The value of the model reported in [5] to simulate the integration of EV chargers and S-ESS is demonstrated in [6]. Another Simulink-based model is explained in [7], where the catenary system supplying both tram and trolleybus services in the city of Pilsen, Czech Republic is analyzed. A literature review highlighting the virtues and limitations of existing modeling techniques is summarized in [8].
Examples can be found in the literature on the theme of RES, BESS, and EV integration into the overhead contact lines (OCLs) of urban transportation systems. The proposition of a DC microgrid composed of EV batteries connected to DC traction power supply systems is presented in [9], where EV batteries can be charged by the DC OCL and the catenary voltage can also be stabilized by the EV batteries charging and discharging system. In [10] the integration of PV and EV charger infrastructures along tramways and trolleybuses transportation lines is studied. Numerous S-ESS examples for improving voltage profiles and energy savings are reported in the literature. For urban transportation systems, supercapacitor S-ESSs are more frequently used to recover the braking energy due to high-power and low-energy characteristics. Trolleybus network applications can be found in [11,12]. To improve power quality in DC railway electrification systems or to assist during a train departure, battery stationary energy-storage systems (BESS) are more frequently utilized in railway systems [13,14]. The BESS used in trolleybus systems to reduce the voltage drop in the middle of the lines and reduce the circulating current in the network is discussed in [15,16,17].
The Italian city of Bologna, makes use of trolleybuses to provide public transportation with low environmental impact. In the coming years, along with conventional trolleybuses, local public transport companies will introduce the so-called in-motion charging (IMC) trolleybus. IMC trolleybuses are equipped with an on-board battery that is charged via the OCL during normal vehicle operations. This allows the vehicle to continue to operate with a pure electric powertrain even in the network sections in which the OCL is not present. In this case, technical challenges may arise for the traction power supply network to ensure both the energy for traction and the energy to recharge the batteries of the IMC trolleybuses. The study of the impact of the IMC trolleybuses on the network operations encourages the development of simulation models able to emulate the power profile of these vehicles. In the literature, there are examples of the use of IMC trolleybuses and comparisons with other types of electric buses. A comparison of the economic performance and environmental impact of several urban bus traction systems can be found in [18]. The conclusion is that the IMC appears to be the most efficient bus system for lines with high energy demand. The financial benefits resulting from the use of the IMC system are presented in [19]. The study developed in [20] presents an approach for evaluating the development of IMC trolleybuses in the Polish cities of Gdynia, Lublin, and Tychy. A set of key performance indicators have been developed to support decision-making processes of local authorities operating trolleybuses. Based on a case study of the Polish cities of Gdynia and Sopot, ref. [21] concluded that the IMC trolleybus represents a reasonable middle ground between capital expenses and battery capacity. An analysis comparing the battery parameters with the length of the electrified route that provides the battery charging (charging corridor) is presented in [22]. By examining two charging systems (conventional and adaptative charging), ref. [23] reports a method for estimating the lengths of IMC charging corridors.
The city of Solingen in Germany is also a good example of the use of IMC trolleybuses, named by the authors as the battery overhead line bus (BOB). They propose this kind of bus as a moving energy storage system, helping to solve questions concerning the optimization of the energy usage and peak shaving in OCL. In this context, the prediction of the power consumption behavior of the BOB is an essential task, and it is discussed in [24,25,26]. As the weight of the vehicles has a great influence on the energy consumption, a methodology to detect changes in the payload by using pressure sensors on the bus’s tires and air suspensions is discussed in [27,28,29].
The main innovative value of the paper is to improve a trolleybus simulation model based on measurements of voltage and current in the output of a traction substation. The measurements have been essential to understand the behavior of the weight variation of the trolleybus vehicles throughout the day. To the best of the author’s knowledge, no papers in the literature deal with such a data-driven approach, which is proposed in the current article. By integrating the variation in vehicle weight within the model, a simulation of a possible daily operation of a trolleybus feeding section has been performed, obtaining a 7% error between the daily energy calculated from the simulation and that obtained through measurements.
The graphical programming motion-based simulation model proposed in [5] details how to model the trolleybus catenary topology and the vehicle’s running along the OCL, but it does not specify how to model the trolleybus power and/or current absorption. The current work proposes the characterization of the current absorption of conventional and IMC trolleybuses in order to complement the mentioned trolleybus simulation tool. The vehicle’s absorption characterization consists of the elaboration of the traction diagrams that correlate the current absorbed by the trolleybus as a function of its speed by using an additional Simulink model. The current profile of the vehicles is then tailored to each trolleybus route in a specific feeding section in the trolleybus system in Bologna. The proposed catenary grid model can be used to support the project design of trolleybus networks in the context of smart urban transportation grids, for which it will be crucial to understand the voltage and current levels along the catenary and to manage the power flows among the different groundbreaking technologies that might be integrated with the catenary itself in the incoming future.
The manuscript is arranged as follows. In Section 2, the traction power supply system infrastructure is presented as well as the considered FS characteristics such as the trolleybus lines in operation, the names of the stops and the distances between each one of them. Section 3 describes the modeling of the vehicles’ current profile and the customization for each trolleybus path (load characterization). Section 4 presents the available measurements and describes how the trolleybus model simulation has been reinforced based on that. In Section 5, the simulation results of the trolleybus model is compared with the available measurements and hypothetical scenarios involving IMC trolleybuses are evaluated. Conclusions are presented in Section 6.
2. The Bologna Trolleybus System Infrastructure
The electrical infrastructure of a network for powering electrified transportation systems consists of OCLs and TSs based on 12-pulse diode-based rectification units. Bologna’s trolleybus DC electrical infrastructure is made out of multiple FSs—parts of the bifilar OCL between two or more electrical sectioning stations. Equipotential bonding or voltage stabilizers are used to join two physically parallel OCLs at various regularly spaced points in the event of bidirectional traffic, creating a double-bifilar line. By lowering the electrical resistance, particularly farther from the TSs, these electrical connections help to limit voltage drops along the OCL.
FSs are fed independently by a TS typically situated at one extreme point of the section, or bilaterally by two TSs placed at the ends or in intermediate places. The rated voltage level of the supply system in Bologna is set to DC and the maximum allowable voltage variation is . Therefore, the voltage in the network should permanently remain within the range 500–1000 V [30]. The conductor continuous ampacity is set to following the procedure reported in EN 50119:2009 annex A, although it has recently been superseded by EN 50119:2020 [31,32].
2.1. Case Study of Feeding Section Marconi Trento–Trieste
The contact lines of FS MTT, shown in Figure 1, span roughly from TS Marconi (TS M) in Bologna’s medieval historic center to TS Trento–Trieste (TS T-T) in the city periphery (south route). The return path (northern route) has approximately . This FS has been chosen as the study case because, being located in the city center, it is a place of a great demand for public transport due to the large volume of passengers. Furthermore, it is expected that in the near future several IMC trolleybuses will be in operation in this stretch.
Figure 1.
Topology of FS MTT. Green and yellow circles represent the location of feeders and reinforcement feeders, respectively. Dashed lines represent the connection with the TSs. Arrows indicate the trolleybuses’ travel direction.
2.2. Bus Line 14 of Feeding Section Marconi Trento–Trieste
The beginning of line 14 outward journey coincides in a position near the stop called Ugo Bassi, indicated in Figure 2 as the black point in the left corner. The buses pass through Strada Maggiore, and when they arrive at the intersection point, near the traffic light at the bottom of Figure 2, they turn left until the end of the section up to the position indicated by the black point in the right corner (top traffic light). On the other hand, return journey goes back to the initial point passing through Via San Vitale.
Figure 2.
Bus stops of line 14 in FS MTT. Initial and final stops for outward and return journey (black points); intermediate stops for outward journey (blue); intermediate stops for return journey (grey). Arrows indicate the trolleybuses’ travel direction.
Figure 3 shows a scheme of the bus stops for the outward (top) and return (bottom) journey for line 14. The outward journey starts at stop number 1 and goes up to the point number 6 (top traffic light) passing through the stops indicated by blue points. Similarly, the return journey starts in the black point number 6 and returns to the initial position indicated by 1 passing through the stops indicated in grey.
Figure 3.
Bus stops scheme for line 14. Initial and final stops (black points) for outward (top) and return (bottom) journeys; intermediate stops for outward journey (blue); intermediate stops for return journey (grey).
Table 1 and Table 2 report the names of the bus stops and the respective length of the paths between each of them. The path number in the first column refers to the number of the bus stops mentioned in Figure 3.
Table 1.
Line 14—Outward journey. Names of the trolleybuses’ stops and traffic light on the final route.
Table 2.
Line 14—Return journey. Names of the trolleybuses’ stops and traffic light on the initial route.
2.3. Bus Line 15 of Feeding Section Marconi Trento–Trieste
Similarly to line 14, the outward journey for line 15 begins at the Ugo Bassi stop, passes through Strada Maggiore, and proceeds toward the stop called Albertoni (black point in the right bottom of Figure 4) passing through Via Mazzini. The return journey starts near the Albertoni stop, passes on the north side of the route through Via San Vitale following the grey stops indicated in the mentioned figure, up to the Ugo Bassi stop.
Figure 4.
Bus stops of line 15 in FS MTT. Initial and final stops for outward and return journey (black points); intermediate stops for outward journey (blue); intermediate stops for return journey (grey); common stop for outward and return journey (yellow). Arrows indicate the trolleybuses’ travel direction.
Figure 5 shows a scheme of the bus stops for the outward and return journey for line 15. The outward journey starts at stop number 1 and goes up to the point number 6 passing through the stops indicated by blue points. Similarly, the return journey starts in the black point number 6 and returns to the initial position indicated by 1 passing through the stops indicated in grey. The yellow point represents the stop in point 5 and 7 named Porta Maggiore.
Figure 5.
Bus stops scheme for line 15. Initial and final stops (black points) for outward (top) and return (bottom) journeys; intermediate stops for outward journey (blue); intermediate stops for return journey (grey); common stop for outward and return journey (yellow).
Similar to what has been done to line 14, Table 3 and Table 4 report information about the stops of line 15. It is important to note that there are two stops called Porta San Vitale. The first one, indicated by the number 8, is before the top traffic light, and the other, indicated by 9, is after it.
Table 3.
Line 15—Outward journey. Names of the trolleybuses’ stops.
Table 4.
Line 15—Return journey. Names of the trolleybuses’ stops.
3. Modeling of the Vehicles’ Current Absorption
The model of the load represents a very important step to simulate power systems adequately. This section aims to describe the model of the conventional trolleybuses that currently operate in the studied FS and the IMC trolleybuses that are going to be in operation. As seen in the previous section, each path between two consecutive stops have different distances. Hence, the vehicle’s power profile absorption should be customized for each route.
3.1. Modeling of Conventional Trolleybuses
A simulation model implemented in the Simulink environment has been used to describe the behavior of the vehicles. This model considers the forces acting on the trolleybus, such as aerodynamics, and friction forces; the vehicle’s motor is an asynchronous one. The objective of this model is to determine the power flows between the trolleybus and the OCL, as well as the vehicle’s absorption current profile. The adopted vehicle parameters are retrieved from the specifications of an 18-meter-long Van Hool bus rapid transit (Exqui.City version) [33]; they are listed in Table 5. The traction motor taken as reference is a TMF 37-21-4 induction machine by Traktionssysteme Austria, which finds application to trolley, hybrid, and electric buses [34]. The Simulink model also considers the electric drivetrain losses and the energy of the auxiliary groups (heating, and cooling systems).
Table 5.
Conventional trolleybus specifications.
To accomplish the objective of this work, reference was made to the correlation between speed and current consumption of the vehicle versus time in the sections between two stops. The respective graphs are generally referred to as traction diagrams (TDs), and they show a current profile that is obtained by assuming a constant voltage equal to the contact line voltage-rated value (). Ideally, the trolleybuses’ TDs should be customized for each path considering, but not limited to, the following variables: the length of the section between the stops and the related slope, maximum speed, traffic lights, and pedestrian crossings. Because the city of Bologna is developed in the plain, the slope of the roads in the city center is assumed equal to zero. Hence, the power profile obtained in the output only relies on the reference speed profile given as input. Traffic lights and pedestrians crossing are not considered in the simulation model.
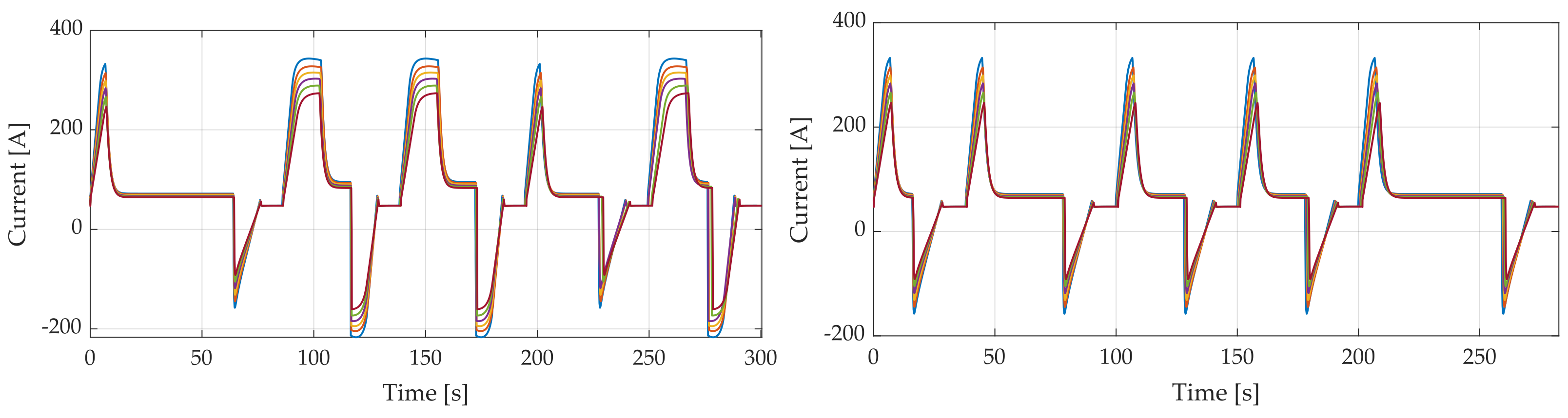
The path customization is done considering the length of the paths and the maximum speed that a trolleybus can reach. The Via Rizzoli and Via San Vitale maximum speed is set to whereas in Strada Maggiore, Via Mazzini, and Viale G. Ercolani is considered. The conventional trolleybuses’ current and speed profile customized by each path are reported in Figure 6.
Figure 6.
Traction diagram speed (green traces) and currents (blue traces) of conventional trolleybuses covering the paths of line 14 (upper figures) and line 15 (bottom figures). Outward journeys are on the left side; return journeys on the right side.
3.2. Modeling of IMC Trolleybuses
In addition to the considerations made about conventional trolleybuses, IMC vehicles are characterized by the presence of battery packs to allow them to run on catenary-free routes. Hence, few remarks can be made:
- IMC vehicles feature higher gross weight owing to the room dedicated to the battery pack;
- during braking (deceleration), it is assumed that the energy recovered by the electric drive is fully fed into the battery, and hence no regenerative braking current is injected to the OCL;
- a greater absorption of electrical power by the IMC buses is required to guarantee both the energy for traction and the energy for recharging the batteries to be used for the stretches without a contact line;
- the IMC trolleybus absorbs a maximum current of when it is traveling at a speed of less than , due to the thermal limitations on the contact shoes (current collectors).
The battery pack considered in this work comprises lithium–titanate oxide (LTO) cells, which are typically adopted in heavy transport applications, mainly due to their higher C-rate capability in both charge and discharge processes. Table 6 shows the technical data of the LTO battery module considered in this study.
Table 6.
On-board trolleybus battery specifications.
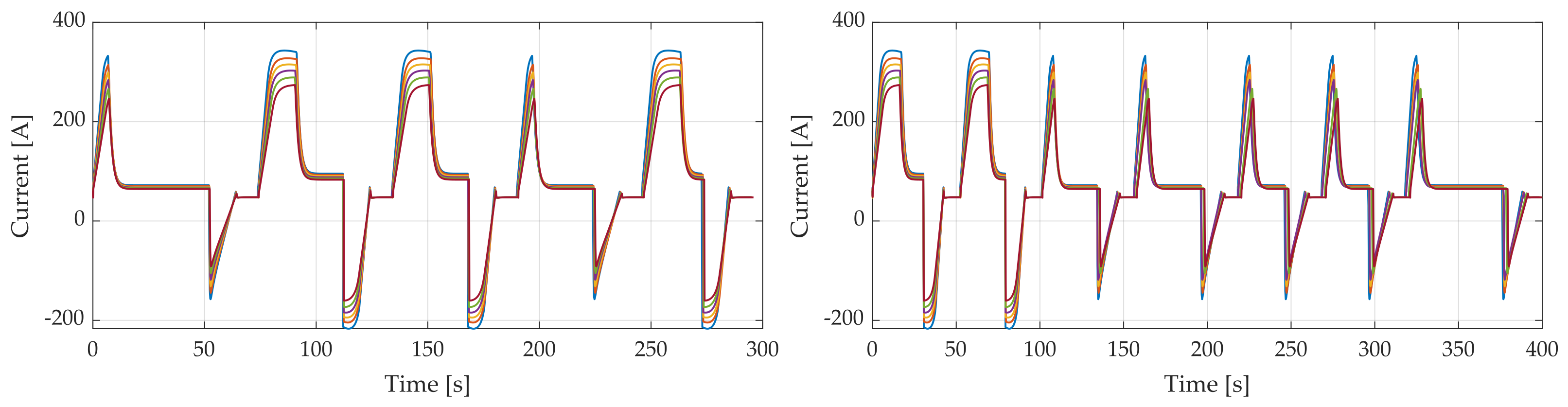
The on-board battery pack of the IMC trolleybus is considered to have four LTO modules in parallel, totaling the energy content of . As the considered useful content totals (80% of the nominal energy content), the battery should receive a full charge when the trolleybus runs connected to the catenary. The battery charging profile must take into account the percentage of electrification of the stretch that the IMC trolleybus travels. In the city of Bologna, a route with 45% electrification in a total of has been taken as a reference. Examples from other cities are exemplified in [35,36]. Based on these assumptions, the TDs of the IMC trolleybuses customized by each path of FS MTT are reported in Figure 7.
Figure 7.
Traction diagram speed (green traces) and currents (blue traces) of IMC trolleybuses covering the paths of line 14 (upper figures) and line 15 (bottom figures). Outward journeys are on the left side; return journeys on the right side.
3.3. The Inclusion of the Vehicles’ Current Absorption in the Simulation Model
Traction diagrams introduced in previous subsection for conventional and IMC trolleybuses are used as input data of the motion-based simulation model widely discussed in [5]. This model permits the determination of the OCL voltage and current with a discretization step of 20 m employed as an input parameter position and a current absorption of each trolleybus for the driving of multiple controlled current source in specific positions. In order to model the trolleybuses as a power load, traction diagram current profiles (obtained at the rated voltage ) are scaled depending on the actual voltage returned by the model in the position where the trolleybus is connected to the OCL. The current absorbed by the trolleybus is then expressed as
4. Data-Based Analysis and Model Reinforcement
This section is devoted to the description of the analyses performed on the data acquired from one TS and how these data were used to reinforce the accuracy of the model developed.
4.1. Analysis of the Available Measurements
Voltage and current measurements were acquired in TS T-T on 16 December 2021. The data covers a one-day period and the measurement values are averaged every 5 s. The refereed raw data is reported in Figure 8. To have a better understanding of voltage and current evolution, a wider averaging window capable of eliminating high-frequency behavior is needed. In Figure 9 and Figure 10 voltage and current measurements with an averaging window of 5 and 15 min, are respectively shown.
Figure 8.
Voltage (left) and current (right) measurements in TS T-T in an average window of 5 s. The plots cover a 24-h simulation scenario.
Figure 9.
Voltage (left) and current (right) measurements in TS T-T in an average window of 5 min. The plots cover a 24-h simulation scenario.
Figure 10.
Voltage (left) and current (right) measurements in TS T-T in an average window of 15 min. The plots cover a 24-h simulation scenario.
No trolleybuses operate in the system from 01:00 to 05:00. Indeed, during this period only a slight fluctuation (lower than ) due to the interaction with the adjacent FSs is visible in Figure 8. In this time interval, the voltage presents a value stable at approximately that can be adopted for setting TS open-circuit voltages [5].
Public transport demand follows common commuter patterns during the day concentrating most of the activity in the morning and in the late afternoon. In Figure 9, from 05:30 the demand for public transport starts to rise until it touches the highest peak at approximately 07:20. Then current dips to a local minimum at 10:20 and it stabilize at medium values for relevant portion of the afternoon. From 16:00 the demand starts to increase again reaching another local peak at approximately 18:40. Finally a low demand period can be seen from 21:30 to 05:00.
Although the voltage measurements is generally around , fluctuations in the range 819–875 V can be noticed during the day. This evolution is due to medium voltage AC side oscillations (from −10% to +10% [37]) attributable to connection and disconnection of electric loads in the proximity of the TS along the day.
4.2. Comparison of Measurements and Simulation Results
This section compares the measured voltage and current that feed FS MTT by TS T-T with the simulation results given by the trolleybus simulation proposed in this paper.
The different driving behavior of drivers, pedestrians crossing streets, traffic lights, accidents, short circuits, etc., are example of random factors that can cause acceleration, deceleration, and/or particularly challenging braking events to be modeled. All these random events cause high-frequency oscillations in the voltage and current profile that are difficult to reproduce. On the other hand, the low-frequency behavior of the network, mainly due to the number of operational trolleybuses and their power profile (acceleration, speed, inertia, and braking), is customized for each path and can be reproduced by the proposed simulation model. It can be argued that most of the energy content can be associated with slowly varying phenomena rather than high-frequency randomness.
Given the already mentioned difficulties on modeling high-frequency phenomena, the comparison between measurements and simulation results is done for values averaged in windows of 5 min (Figure 11) and 15 min (Figure 12), owing to observation of the similarities in the low-frequency behavior in the real network and the simulation model. It is observed that the simulation presents a profile qualitatively similar to that reported by current measurements. Morning and evening peaks are slightly underestimated whereas afternoon medium load is slightly overestimated. Morning peak occurs around 07:20 for the measurements and around 7:40 for the simulation. This difference can be explained by the inexact coincidence of the timetables (used for the simulation) with the actual trolleybuses’ arrival and departure times. TS voltage differs because medium voltage fluctuation have not been implemented in the simulation (fixed at ).
Figure 11.
Measurement (black) and simulations (yellow) of voltage (left) and current (right) in TS T-T in an average window of 5 min. The plots cover a 24-h simulation scenario.
Figure 12.
Measurement (black) and simulations (yellow) of voltage (left) and current (right) in TS T-T in an average window of 15 min. The plots cover a 24-h simulation scenario.
In the presence of information about the voltage and current for both substation, it is possible to calculate the respective power profile to estimate the daily energy exchanged. For TS T-T, a daily energy of about is estimated based on the measurements of voltage and current, whereas about is calculated based on the simulation results—that is, a 4.8% overestimation.
As the simulation model does not consider the random factors already mentioned, the model has fewer acceleration and deceleration cycles compared to the physical system. Therefore, it was expected that the simulation model would estimate a lower daily energy value for the trolleybus system compared to the one estimated by using measurements. The above considerations, together with the overestimation of energy consumption during the afternoon, suggest that trolleybus weight evolution during the day plays a relevant role in the energy absorption. Indeed, simulation results shown in Figure 11 and Figure 12 have been obtained by assuming a fixed weight of 30 t during the whole day (i.e., the gross weight reported in Table 5). This is clearly not realistic; hence this aspect has been addressed as detailed in the next section.
4.3. Estimation of the Vehicle Weight during the Day
Based on the buses timetables running in FS MTT, it is possible to calculate the number of trolleybuses operating in the network in any moment. Figure 13 shows the number of trolleybuses in operation by using an average window of 5 min; for this reason, fractional numbers are displayed.
Figure 13.
Number of trolleybuses operating in FS MTT in function of the time (5 min averaged). The plot covers a 24-h simulation scenario.
Figure 14 shows the current injected in the network from the TS T-T during the day, for a single trolleybus. It is calculated by the ratio between the current measured in the substation divided by the number of vehicles in each period of the day.
Figure 14.
Current supplied by the TS T-T divided by the number of vehicles in operation according to the period of the day. The plot covers a 24-h simulation scenario.
The buses run almost empty between 00:00 and 01:00, so it is reasonable to assume that the weight of the buses is around 20 t. Similarly, in peak hours buses run almost full, making a reasonable assumption that their weights are around the maximum loading of 30 t. Therefore, estimation of buses’ weight during the entire day (Figure 15) can be done assuming a linear relation between the weight and the values of the current injected in the network from the TS T-T divided by the number of vehicles in operation.
Figure 15.
Estimated weight of the trolleybuses according to the period of the day. The plot covers the period from 04:00 to 24:00.
4.4. Improvement of the Traction Diagrams According to Weight Evolution
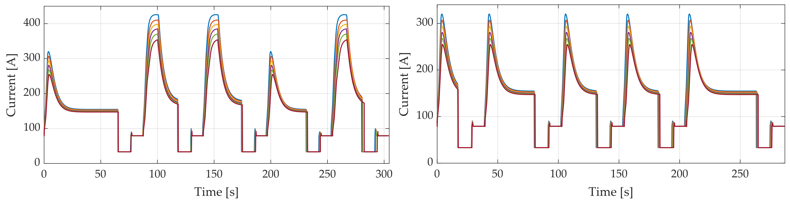
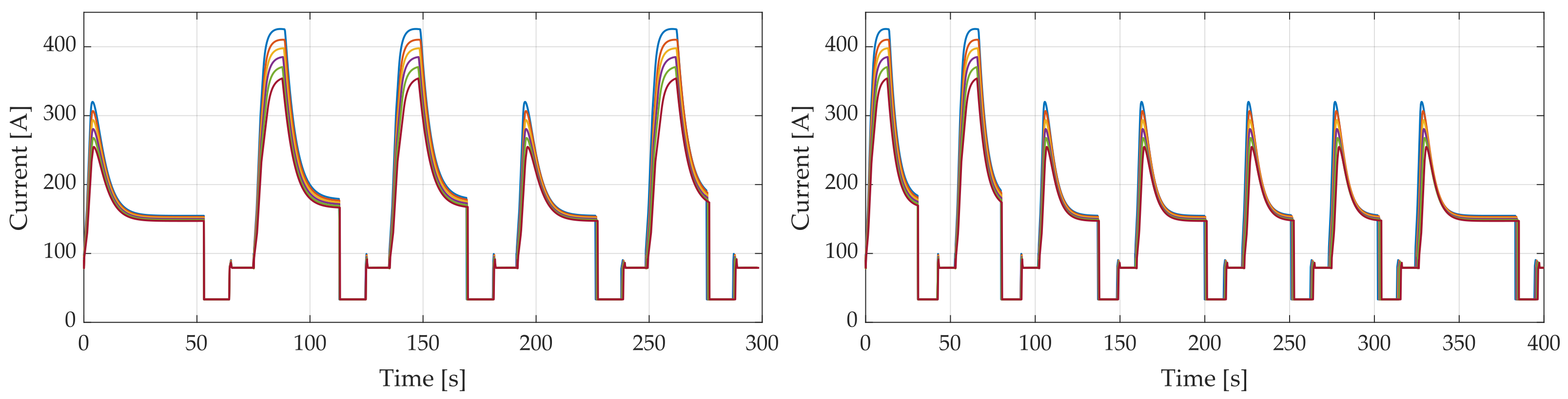
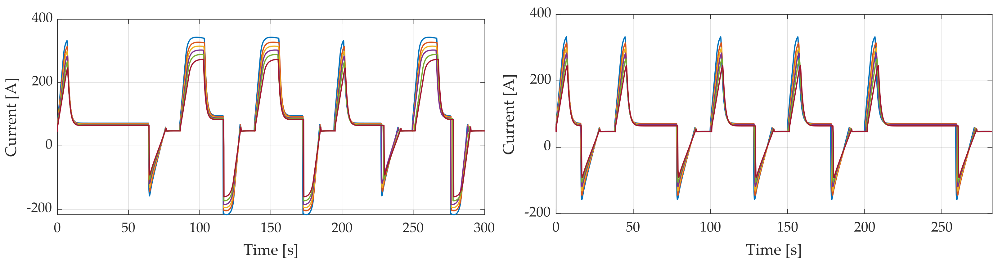
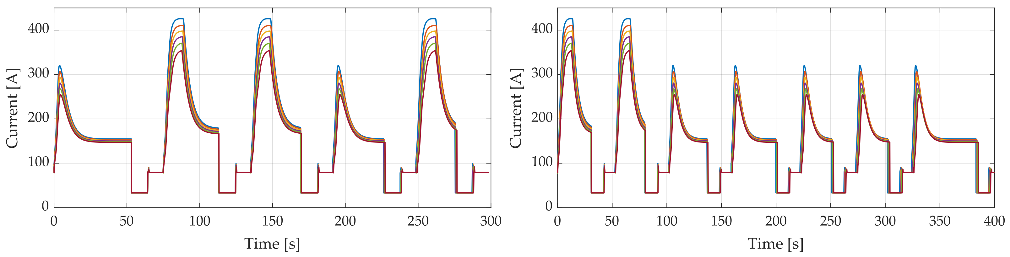
Aiming to simulate the gradual increase and decrease of the weight based on the period of the day, six trolleybuses weights have been defined: 20, 22, 24, 26, 28 and 30 t. Similar to the Figure 6 and Figure 7, the TDs for different weights customized for different paths in lines 14 and 15 are shown in Figure 16 and Figure 17 for conventional trolleybuses and in Figure 18 and Figure 19 for IMC trolleybuses.
Figure 16.
Current of conventional trolleybuses according to the vehicle’s weight covering the outgoing (left) and return (right) journeys of line 14. The weights start at 30 t (upper blue line) and decrease to 20 t (bottom red line) with 2 t steps.
Figure 17.
Current of conventional trolleybuses according to the vehicle’s weight covering the outgoing (left) and return (right) journeys of line 15. The weights start at 30 t (upper blue line) and decrease to 20 t (bottom red line) with 2 t steps.
Figure 18.
Current of IMC trolleybuses according to the vehicle’s weight covering the outgoing (left) and return (right) journeys of line 14. The weights start at 30 t (upper blue line) and decrease to 20 t (bottom red line) with 2 t steps.
Figure 19.
Current of IMC trolleybuses according to the vehicle’s weight covering the outgoing (left) and return (right) journeys of line 15. The weights start at 30 t (upper blue line) and decrease to 20 t (bottom red line) with 2 t steps.
The simulation considers the different TDs according to time evolution. At 5:30, the TD used is 20 t; the weight progressively increases up to reach 30 t in peak time, at 07:20 when it starts to decrease to 20 t in the local minimum, at 10:20. The same weight progression is considered for the second demand increase/decrease, from 16:00 to 18:40. In low-demand periods, from 21:30 to 05:00 (night) and 10:20 to 16:00 (afternoon), the considered weight is 20 t.
5. Simulation Results and Future Scenarios Prediction
This section illustrates the comparison between the measured values of voltage and current with the simulated ones for four different trolleybus operating scenarios. The first one seeks to evaluate the proposed simulation model, reinforced with the consideration of the weight variation along the time, with the available measurements. The other three remaining scenarios consider the presence of IMC trolleybuses in the network, and aims to validate the effectiveness of the presented model as a predictive tool for evaluating voltage, current, and energy levels in advanced electric public transportation networks. The scenarios with IMC trolleybuses also take into account the weight variation.
5.1. Comparison of Measurements and Vehicles’ Weight-Based Simulation Results
In Figure 20 and Figure 21, the current profile of the weight-based simulation (blue line) at the TS T-T output shows a reduction in comparison to the one considering a fixed vehicle’s weight of 30 t (yellow line), mainly between 7:00 and 10:00 when the curve starts to descend. This makes the simulated curve to better approximate the measured one. Between 10:00 and 16:00, it is also possible to affirm that the weight-based simulation provides better results, mainly between 14:00 and 16:00, as the blue curve follows the average of the measurement one. The profile worsens slightly between 16:00 and 21:00. Remaining discrepancies are mainly located in the morning and late afternoon when traffic jams very likelly cause conditions (here not modeled) that could introduce noticeable effects on the current profile.
Figure 20.
Voltage (left) and current (right) in TS T-T in an average window of 5 min. Measurements (black), simulation results with gross weight (yellow), and results of the weight-based simulation (blue). The plots cover a 24-h simulation scenario.
Figure 21.
Voltage (left) and current (right) in TS T-T in an average window of 15 min. Measurements (black), simulation results with gross weight (yellow), and results of the weight-based simulation (blue). The plots cover a 24-h simulation scenario.
Figure 22 shows the results of the weight-based simulation for voltage and current in TS M. The profile of both variables are similar to the ones in TS T-T. The voltage is little bit lower, going bellow 840 V and the current a little bit higher, exceeding . These values are expected, because TS M is more overwhelmed than TS T-T due to the greater concentration of vehicles in the vicinity of the city center.
Figure 22.
Weight-based simulation results of voltage (left) and current (right) in TS M in an average window of 5 min. The plots cover a 24-h simulation scenario.
It is worth remembering that the daily energy calculated for TS T-T is about . Considering the vehicles’ weight variation, the estimated daily energy for the analyzed TS is , which means an error of about 7%. As expected, this result represents a reduction compared to the obtained from the simulation carried out with a fixed weight of 30 t for the trolleybuses. For TS M, the simulation provides a daily energy of . In conclusion, the total daily energy demand by FS MTT can be estimated to be around , for the considered scenario under analysis.
It is important to note the outcomes delivered by a similar work on this topic. The Matlab model presented in [7] provides results of a daily operation of the trolleybus system in the city of Pilsen, Czech Republic, comparing measurements and simulation results of voltage and current in the output of a traction substation. A comparison in the daily energy results in a maximum difference of 5%. Although both the aforementioned simulation model and the one proposed in the current work perform simulations in a Matlab/Simulink environment, the main approaches adopted to perform the network analysis are different as well as the input data of the models. For example, the first one did not provide an analysis of the vehicle’s weight based on the available voltage and current measurements in the substation, as performed in this work, resulting in different inputs for the simulation model. Therefore, the 7% error found with the proposed simulation model is comparable to what is available in the literature, while keeping the simplicity of extending it to more complex electrified urban transportation systems. Improvements to the current model can be made through the inclusion of random variables like traffic data, such as traffic lights and pedestrians, as well as a more detailed consideration of the vehicles’ weight, possibly based on its direct measurements.
5.2. Scenario Considering the IMC Trolleybuses
The city of Bologna has taken the first steps toward transforming its trolleybus system into a smart trolleybus network with the decision to use vehicles featuring IMC technology. As the IMC trolleybuses are not yet in operation in Bologna, this section aims to analyze three hypothetical scenarios in which these vehicles travel together with conventional trolleybuses in the FS MTT. The first scenario, called IMC scenario 1 (IMC|1), analyzes the catenary system with the presence of IMC trolleybuses on line 15, whereas line 14 continues to be operated by conventional trolleybuses. The second scenario (IMC|2) considers IMC vehicles only along line 14. The third one (IMC|3), considers the adoption of IMC technology both on line 14 and 15. These hypothetical scenarios are compared to the present one labeled as base case (BC) scenario, which considers only the presence of conventional trolleybuses in operation. All these simulations consider the weight-based approach introduced in the previous section.
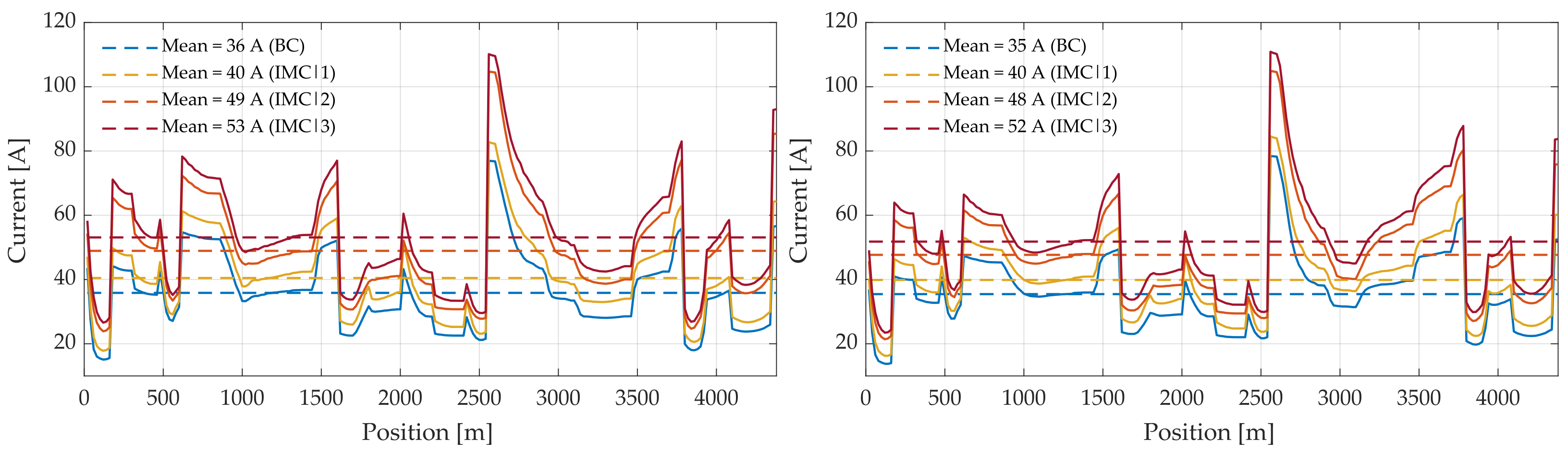
The motion-based simulation model [5] acquires voltage and current measurements along the catenary with 20 m spatial discretization. By means of a sampling rate, 86,400 data points are collected for the 24 h simulation. Figure 23 compares the voltage profile along the line for the BC scenario and the others three scenarios that consider the IMC trolleybuses’ operation. Three periods of the day are contemplated: the left figure shows the voltage for the 24 h simulation period; the right one is specific for the period between 07:00 and 10:00, presenting a great demand for public transport together with the figure in the bottom that shows the results between 17:00 to 20:00. The last one contemplates the lowest voltage value reached in the simulation, corresponding to approximately in the position of approximately 3100 m. The mentioned figure also shows the computation of maximum and minimum values, 95% inter-percentile range (filled area in grey), and the solid lines near represent the mean values. The increase in voltage drop along the line is observed as the number of IMC vehicles in operation increases in the system. Despite this, the operation of the IMC trolleybuses for the considered scenarios would be in accordance with the technical compliances of the catenary system, as the voltage level along the catenary remains above during the entire day.
Figure 23.
Voltage along the catenary for the four considered scenarios. Voltage maximum (dot-dashed lines) and minimum (dashed lines), mean (upper solid lines), and 95% central inter-percentile range (filled areas above bottom solid lines). Results for the simulations of: 24 h (left), 07:00 to 10:00 (right), and 17:00 to 20:00 (bottom).
The current measurements in the catenary provide positive and negative values because of the measuring instrument orientation and the vehicles’ travel direction. To overcome this issue and have a good view of the current along the catenary, the RMS values of the currents have been calculated for each set of measurements presented every 20 m. Finally, the average calculation of the RMS values (dashed lines in Figure 24) provides insights on network Joule losses associated to the operation. The RMS current along the line is compared for the BC scenario and the IMC ones within the periods between 07:00–10:00 and 17:00–20:00, because these are periods of high demand. Comparing the BC scenario and the IMC|3 one (the case that requires more energy from the electrical infrastructure), it is possible to quantify that the average value of the RMS currents increases approximately by 47% (from to ). The positions in the FS MTT that present the highest currents are at approximately 2500 m and 3700 m. With reference to the former, the increase in RMS current is quantified to approximately 41% ( to ). To the latter, RMS current is quantified to increase by roughly 48% ( to ).
Figure 24.
RMS currents (solid lines) along the catenary and its mean value (dashed lines) for the four considered scenarios. Results for the simulations of: 07:00 to 10:00 (left), and 17:00 to 20:00 (right).
Figure 25 shows the maximum and minimum values of current along the catenary. The 95% inter-percentile range of the current values is illustrated in Figure 25. Although maximum and minimum values of the current exceed , the current in the inter-percentile range does not exceed , meaning that large outliers are very short-lasting transients without any thermal effect. The RMS current during the day has been calculated in each position by using a moving average window of 2400 s (i.e., 4 times the thermal constant of the system, that is 600 s [5]). Its maximum values are shown in Figure 25 (bottom). As the highest value reaches , it is further demonstrated that the OCL temperature compliance is ensured for IMC operation in the considered cases.
Figure 25.
Maximum and minimum currents along the catenary (left), the 95% inter-percentile range (right), and maximum RMS currents in each position during the day (bottom) for the four considered scenarios.
Finally, the results reported in Table 7 allow one to compare the daily energy demanded by the trolleybus operation for the four scenarios considered. It is observed that between the BC and IMC|3 scenarios, the increase in energy consumption required for IMC only operation in the FS MTT is approximately 63.7%.
Table 7.
Daily energy for the TS T-T and the TS M considering the four simulation scenarios.
6. Conclusions
This work aims to refine a motion-based simulation model of trolleybus networks through an approach driven by voltage and current measurement data at the output of a traction substation, collected over the course of one day. This analysis proved essential for understanding the behavior of the variation in weight of trolleybus vehicles over the course of the day. Within the model, the current draw of the vehicles has been customized according to each route in a given power section of the Bologna trolleybus system. An estimate of the daily energy consumption of the trolleybus system shows an error of about 7% between the simulation results and the calculation made from the measurement data, which is an error comparable to that obtained in similar works in the literature.
Three hypothetical scenarios that consider the IMC trolleybus operation have been carried out in order to analyze the impact of this type of technology on the current trolleybus infrastructure in the city of Bologna. The results showed that, despite the increase in daily energy consumption and voltage drops along the line, the network’s compliance for vehicle operation in terms of current and voltage is guaranteed.
In conclusion, this work demonstrates the effectiveness of the presented model for performing trolleybus network simulations. Such a model can assist in the design of catenary-fed urban transportation systems, and act as a means of predicting scenarios where new technologies, such as IMC, are considered. The trolleybus system in Bologna was selected as a case study; however, the simulation approach can be effectively used for other trolleybus networks or even for other electrified urban transportation systems. In future works, this model might be adopted to analyze traction power networks integrated with devices such as, but not limited to, RES, EV, and eBuses charging connection points, and S-ESS. Additionally, traffic data could be managed to further enhance model accuracy.
Author Contributions
Conceptualization, R.F.P., R.M. and M.R.; methodology, R.F.P. and R.M.; software, R.F.P., R.M. and R.B.; validation, R.M., M.R. and V.C.; formal analysis, R.F.P. and R.M.; investigation, R.F.P., R.M. and R.B.; resources, M.R. and G.G.; data curation, R.F.P. and R.B.; writing—original draft preparation, R.F.P., R.M., R.B., M.R. and V.C.; writing—review and editing, R.F.P., R.M., R.B., M.R., V.C. and G.G.; visualization, R.F.P., R.M. and R.B.; supervision, M.R., V.C. and G.G. All authors have read and agreed to the published version of the manuscript.
Funding
This research received no external funding.
Data Availability Statement
Not applicable.
Conflicts of Interest
The authors declare no conflict of interest.
References
- International Energy Agency (IEA). Railway Handbook. Available online: https://www.iea.org/reports/railway-handbook-2017 (accessed on 15 July 2022).
- International Energy Agency (IEA). World Energy Outlook. Available online: https://www.iea.org/reports/world-energy-outlook-2021 (accessed on 15 July 2022).
- Weisbach, M.; Schneider, T.; Maune, D.; Fechtner, H.; Spaeth, U.; Wegener, R.; Soter, S.; Schmuelling, B. Intelligent multi-vehicle dc/dc charging station powered by a trolley bus catenary grid. Energies 2021, 14, 8399. [Google Scholar] [CrossRef]
- Diab, I.; Saffirio, A.; Mouli, G.R.C.; Tomar, A.S.; Bauer, P. A Complete DC Trolleybus Grid Model With Bilateral Connections, Feeder Cables, and Bus Auxiliaries. IEEE Trans. Intell. Transport. Syst. 2022, X, 1–12. [Google Scholar] [CrossRef]
- Barbone, R.; Mandrioli, R.; Ricco, M.; Paternost, R.F.; Cirimele, V.; Grandi, G. Novel Multi-Vehicle Motion-Based Model of Trolleybus Grids towards Smarter Urban Mobility. Electronics 2022, 11, 915. [Google Scholar] [CrossRef]
- Barbone, R.; Mandrioli, R.; Ricco, M.; Paternost, R.F.P.; Lo Franco, F.; Grandi, G. Flexible and Modular Model for Smart Trolleybus Grids. In Proceedings of the 16th International Conference on Compatibility, Power Electronics and Power Engineering (IEEE CPE-POWERENG 2022), Birmingham, UK, 29 June–1 July 2022; pp. 2579–2582. [Google Scholar]
- Jakubowski, A.; Jarzebowicz, L.; Bartłomiejczyk, M.; Skibicki, J.; Judek, S.; Wilk, A.; Płonka, M. Modeling of electrified transportation systems featuring multiple vehicles and complex power supply layout. Energies 2021, 14, 8196. [Google Scholar] [CrossRef]
- Barbone, R.; Mandrioli, R.; Ricco, M.; Paternost, R.F.P.; Cirimele, V.; Grandi, G. Modelling Trolleybus Networks: A Critical Review. In Proceedings of the 2022 International Symposium on Power Electronics, Electrical Drives, Automation and Motion (SPEEDAM), Sorrento, Italy, 22–24 June 2022. [Google Scholar]
- Meng, M.; Guo, M.; Yuan, Y.; Jiang, L.; Liu, J.; Hu, D.; Cong, H.; Hao, D. DC micro-grid based on DC traction power supply system and electric vehicle batteries charging & discharging system. In Proceedings of the 2014 17th International Conference on Electrical Machines and Systems (ICEMS), Hangzhou, China, 22–25 October 2014; pp. 2579–2582. [Google Scholar] [CrossRef]
- Pouget, J.; Guo, B.; Bossoney, L.; Coppex, J.; Roggo, D.; Ellert, C. Energetic simulation of DC railway micro-grid interconnecting with PV solar panels, EV charger infrastructures and electrical railway network. In Proceedings of the 2020 IEEE Vehicle Power and Propulsion Conference (VPPC), Gijon, Spain, 18 November–16 December 2020; pp. 1–7. [Google Scholar] [CrossRef]
- Rufer, A.; Hotellier, D.; Barrade, P. A supercapacitor-based energy storage substation for voltage compensation in weak transportation networks. IEEE Trans. Power Deliv. 2004, 19, 629–636. [Google Scholar] [CrossRef]
- Bartlomiejczyk, M.; Mirchevski, S. Reducing of energy consumption in public transport - Results of experimental exploitation of super capacitor energy bank in Gdynia trolleybus system. In Proceedings of the 16th International Power Electronics and Motion Control Conference and Exposition, PEMC 2014, Antalya, Turkey, 21–24 September 2014; pp. 94–101. [Google Scholar] [CrossRef]
- Ovalle, A.; Pouget, J.; Bacha, S.; Gerbaud, L.; Vinot, E.; Sonier, B. Energy storage sizing methodology for mass-transit direct-current wayside support: Application to French railway company case study. Appl. Energy 2018, 230, 1673–1684. [Google Scholar] [CrossRef]
- Graber, G.; Calderaro, V.; Galdi, V.; Piccolo, A.; Lamedica, R.; Ruvio, A. Techno-economic sizing of auxiliary-battery-based substations in DC railway systems. IEEE Transa. Transport. Electr. 2018, 4, 616–625. [Google Scholar] [CrossRef]
- Paternost, R.F.P.; Mandrioli, R.; Barbone, R.; Cirimele, V.; Loncarski, J.; Ricco, M. Impact of a Stationary Energy Storage System in a DC Trolleybus Network. In Proceedings of the 2022 IEEE Transportation Electrification Conference & Expo (ITEC), Anaheim, CA, USA, 15–17 June 2022; pp. 1211–1216. [Google Scholar] [CrossRef]
- Paternost, R.F.P.; Mandrioli, R.; Ricco, M.; Barbone, R.; Bonora, G.; Cirimele, V.; Grandi, G. Energy Storage Management in Support of Trolleybus Traction Power Systems. In Proceedings of the 2020 International Symposium on Power Electronics, Electrical Drives, Automation and Motion (SPEEDAM), Sorrento, Italy, 22–24 June 2022; pp. 1211–1216. [Google Scholar]
- Bartłomiejczyk, M.; Jarzebowicz, L.; Kohout, J. Compensation of Voltage Drops in Trolleybus Supply System Using Battery-Based Buffer Station. Energies 2022, 15, 1629. [Google Scholar] [CrossRef]
- Bergk, F.; Biemann, K.; Lambrecht, U.; Prof, D.; Pütz, R. Potential of In-Motion Charging Buses for the Electrification of Urban Bus Lines. J. Earth Sci. Geotech. Eng. 2016, 6, 347–362. [Google Scholar]
- Bartłomiejczyk, M.; Połom, M. Dynamic Charging of Electric Buses as a Way to Reduce Investment Risks of Urban Transport System Electrification. In Proceedings of the TRANSBALTICA XI: Transportation Science and Technology: Proceedings of the International Conference, Vilnius, Lithuania, 2–3 May 2019; pp. 297–308. [Google Scholar]
- Wołek, M.; Szmelter-Jarosz, A.; Koniak, M.; Golejewska, A. Transformation of trolleybus transport in Poland. Does in-motion charging (technology) matter? Sustainability 2020, 12, 9744. [Google Scholar] [CrossRef]
- Wołek, M.; Wolański, M.; Bartłomiejczyk, M.; Wyszomirski, O.; Grzelec, K.; Hebel, K. Ensuring sustainable development of urban public transport: A case study of the trolleybus system in Gdynia and Sopot (Poland). J. Clean. Prod. 2021, 279. [Google Scholar] [CrossRef]
- Bartlomiejczyk, M. Practical application of in motion charging: Trolleybuses service on bus lines. In Proceedings of the 2017 18th International Scientific Conference on Electric Power Engineering (EPE), Kouty nad Desnou, Czech Republic, 1–19 May 2017; pp. 1–6. [Google Scholar] [CrossRef]
- Diab, I.; Mouli, G.R.C.; Bauer, P. Toward a Better Estimation of the Charging Corridor Length of In-Motion-Charging Trolleybuses. In Proceedings of the 2022 IEEE Transportation Electrification Conference & Expo (ITEC), Anaheim, CA, USA, 15–17 June 2022; pp. 557–562. [Google Scholar] [CrossRef]
- Weisbach, M.; Spaeth, U.; Schmuelling, B. Energy consumption behavior model for an urban transportation system using multidimensional correlation structures: Applied at the trolley bus system in Solingen (North Rhine-Westphalia, Germany). In Proceedings of the International Conference on Intelligent Transportation Engineering, ICITE 2019, Singapore, 5–7 September 2019; pp. 152–158. [Google Scholar] [CrossRef]
- Weisbach, M.; Spaeth, U.; Ghobadi, M.; Schmuelling, B. Power Demand Prediction of Battery Overhead Line Buses based on a Neural Network Optimization. In Proceedings of the 2020 IEEE Green Technologies Conference(GreenTech), Oklahoma City, OK, USA, 1–3 April 2020; pp. 133–135. [Google Scholar] [CrossRef]
- Weisbach, M.; Herklotz, K.; Fechtner, H.; Spaeth, U.; Gipp, B.; Schmuelling, B. Predicting Power Demand in Urban Transportation Systems using an Evolutionary Neural Network. In Proceedings of the 2022 IEEE Transportation Electrification Conference & Expo (ITEC), Anaheim, CA, USA, 15–17 June 2022; pp. 1231–1235. [Google Scholar] [CrossRef]
- Spaeth, U.; Weisbach, M.; Fechtner, H.; Herklotz, K.; Schmuelling, B.; Troullier, C. Mass detection using piezoresistive pressure sensors to optimize range prediction of full electric buses. In Proceedings of the International Conference on Sensing Technology, ICST, Sydney, NSW, Australia, 2–4 December 2019; pp. 2–7. [Google Scholar] [CrossRef]
- Spaeth, U.; Fechtner, H.; Weisbach, M.; Schmuelling, B. Potential of pressure sensor based mass estimation methods for electric buses. Electronics 2020, 9, 711. [Google Scholar] [CrossRef]
- Spaeth, U.; Fechtner, H.; Weisbach, M.; Popp, A.; Schmuelling, B. Passenger Weight Detection by Air Suspension Pressure Monitoring for Smart Grid Integration of Electric Buses. In Proceedings of the IEEE Energy Conversion Congress and Exposition, ECCE 2021, Vancouver, BC, Canada, 10–14 October 2021; pp. 674–680. [Google Scholar] [CrossRef]
- EN 50163:2004+A2:2020; Railway Applications—Supply Voltages of Traction Systems. CENELEC: Brussels, Belgium, 2020.
- EN 50119:2009+A1:2013; Railway Applications—Fixed Installations — Electric Traction Overhead Contact Lines. CENELEC: Brussels, Belgium, 2013.
- EN 50119:2020; Railway Application —Fixed Installations — Electric Traction Overhead Contact Lines. CENELEC: Brussels, Belgium, 2020.
- Van Hool. The Exqui. City Design Mettis. Available online: http://exquicity.be/en/ (accessed on 22 June 2022).
- Kiepe Electric Trolleybus Van Hool for Linz Linien-Technical Specifications Motor. Available online: https://www.tsa.at/tsa_referenzen/kiepe-electric-trolleybus-van-hool-for-linz-linien/ (accessed on 22 June 2022).
- Infrastructure for In Motion Charging Trolleybus Systems. Available online: https://cms.uitp.org/wp/wp-content/uploads/2021/07/Knowledge-Brief-IMC.pdf (accessed on 22 June 2022).
- In Motion Charging Innovative Trolleybus. Available online: https://cms.uitp.org/wp/wp-content/uploads/2021/01/Knowledge-Brief-Infrastructure-May-2019-FINAL.pdf (accessed on 22 June 2022).
- EN 50160:2010+A3:2019; Voltage Characteristics of Electricity Supplied by Public Electricity Networks. CENELEC: Brussels, Belgium, 2019.
Publisher’s Note: MDPI stays neutral with regard to jurisdictional claims in published maps and institutional affiliations. |
© 2022 by the authors. Licensee MDPI, Basel, Switzerland. This article is an open access article distributed under the terms and conditions of the Creative Commons Attribution (CC BY) license (https://creativecommons.org/licenses/by/4.0/).
























