Electric Vehicle Simulations Based on Kansas-Centric Conditions
Abstract
1. Introduction
2. Modeling
2.1. Wind Speed and Direction
2.2. Rolling Resistance
- Rain: arr = 9.493 × 10−2 N, brr = 2.111 × 10−3 N s m−1, and crr = −5.115 × 10−5 N s2 m−2;
- Snow: arr = −1.262 × 10−1 N, brr = 4.577 × 10−2 N·s·m−1, and crr = −1.217 × 10−3 N s2 m−2
- Rain: art = 1, brt = 4.535 × 102 m−1, crt = 4.681 s m−2;
- Snow: art = 1; brt = −4.087 × 10−1 m−1, crt = 1.081 s m−2
2.3. Gradation, Acceleration, and Deceleration Forces
2.4. Torques, Engine Speed, and Power
2.5. Auxiliary Power
2.6. Batteries
2.7. SAE J1634 Calculations and Considerations
- (a)
- Estimated a certain number of cycles based on the EPA-stated range (i.e., cycles = 1000 mi/EPA range and rounded up) to find the corresponding capacity loss from Section 2.6.
- (b)
- Simulated the SAE J1634 test procedure and found the model parameters (e.g., auxiliary power draw and maximum SOC) that fit the EPA City and Highway range and miles per gallon equivalent (MPGe) while ensuring that the 20% or less requirement for the CSC at the end (CSCend) was met (note: additional code was generated to dynamically create the MCT profile as indicated in Figure 9).
- (c)
- Using the EPA combined drag and rolling resistance model in Equation (2) from 0 to 100 miles per hour while calculating the individual drag force via Equation (4), the rolling resistance coefficients (arr, brr, and crr) in Equation (19) are calibrated. Like other calibration efforts, the MATLAB fmincon optimization routine was utilized to minimize the difference between the two models.
- (d)
- Ran with the calibrated rolling resistance and drag information through the durability driving cycle routine over 1000 simulated miles to see if it altered the number of cycles from (a).
- (e)
- If it did change, (b) was performed again using the new number of cycles, and the procedure was repeated.
3. Results
3.1. SAE J1634 Results including Vehicle Mass and Tire Pressure
3.2. Road Grade, Wind, and Vehicle Speed
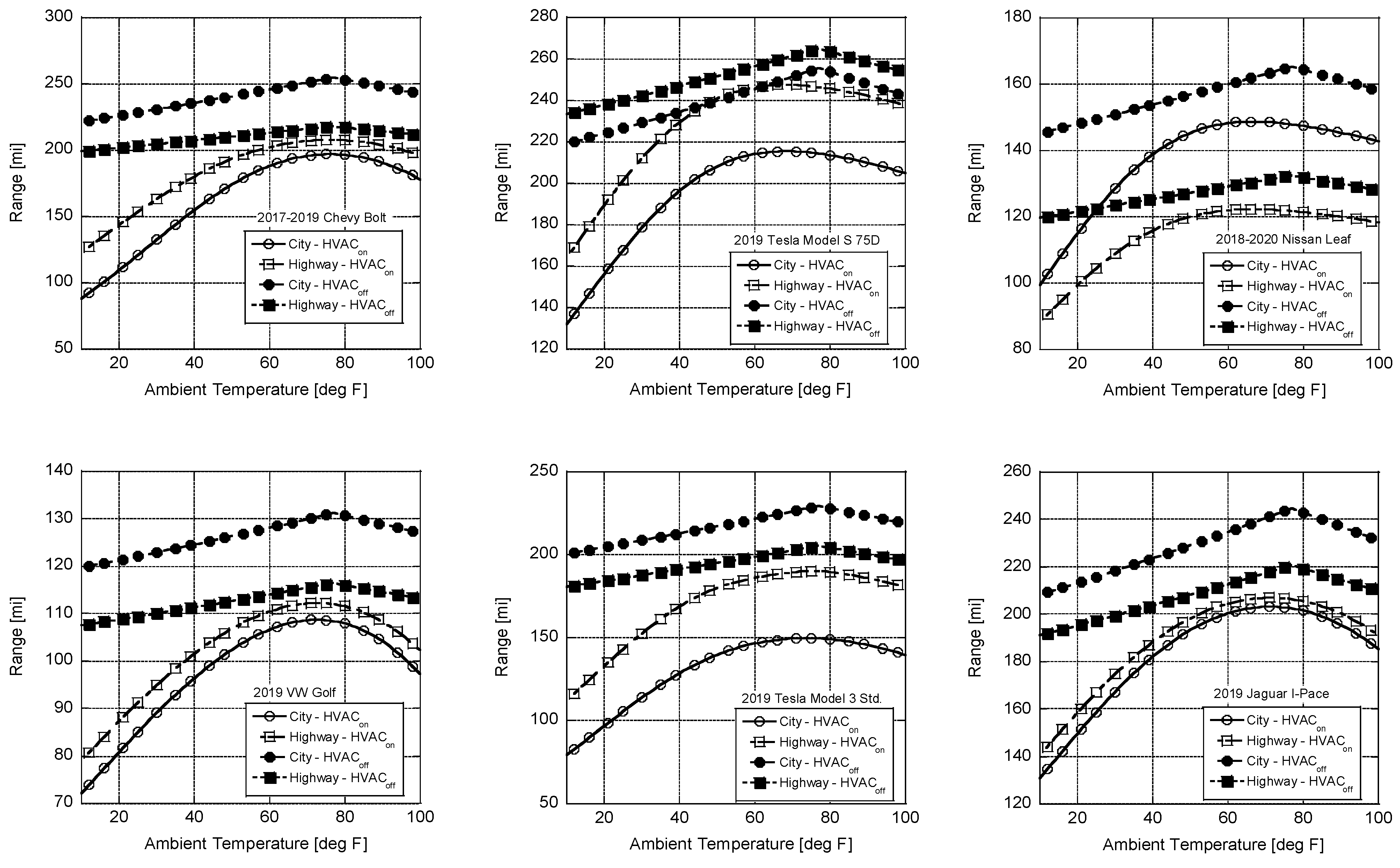
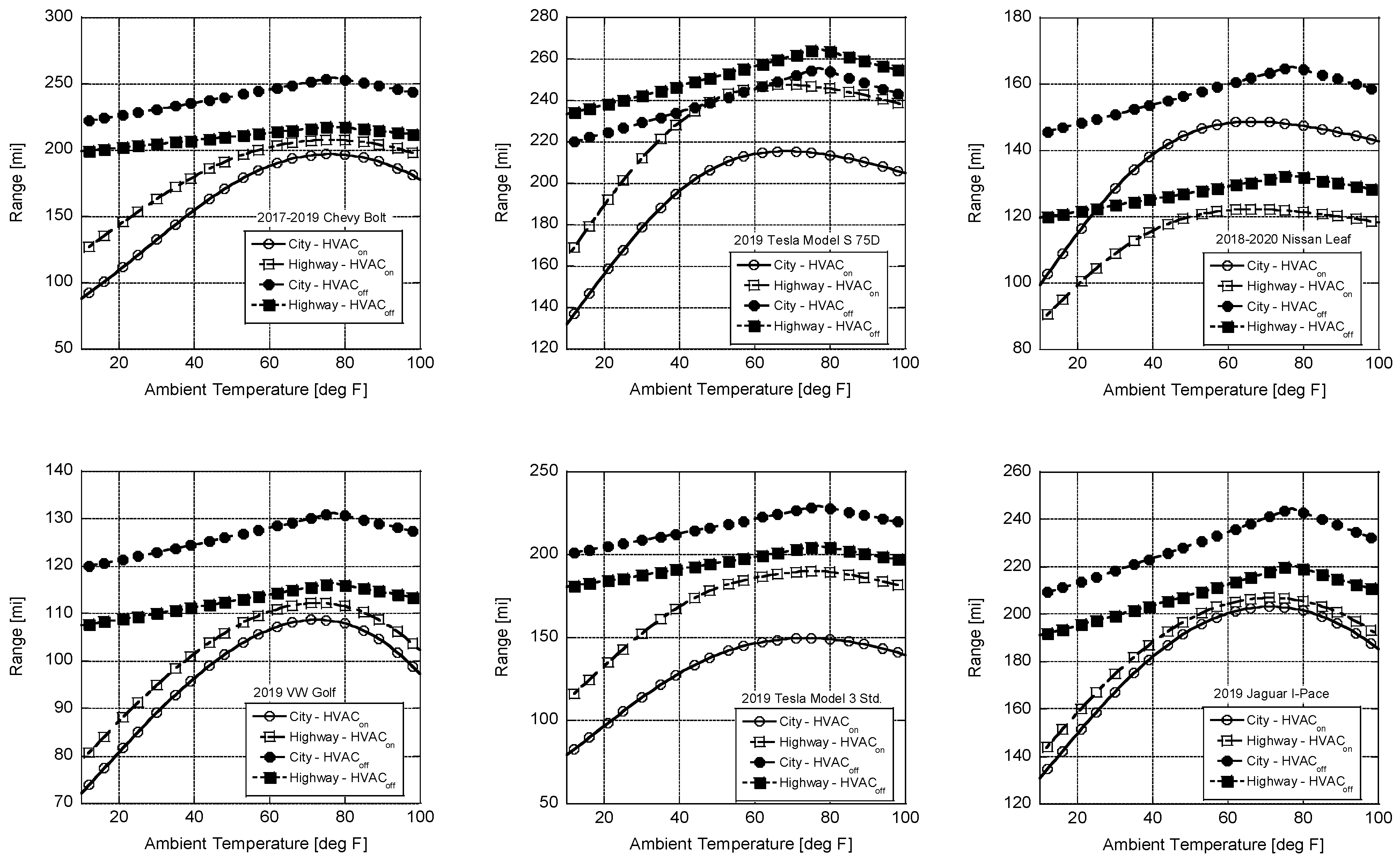
3.3. Ambient Temperature Conditions
3.4. Vehicle Aging
3.5. Rain and Snow
3.6. Model Exploration
3.7. Predictive Spreadsheet
4. Discussion and Recommendations
5. Conclusions
Author Contributions
Funding
Data Availability Statement
Acknowledgments
Conflicts of Interest
Nomenclature
| Variable | Description | Units |
| Parameter in distance determination | [-] | |
| , , | Auxiliary power draw parameters | [W], [W s m−1], [W s2 m−2] |
| , , | EPA rolling resistance and drag coefficients | [N], [N s m−1], [N s2 m−2] |
| A, B, C, D, E, F | Parameters in range multiplier curve fit | [-], [in−1], [-], [mi−1], [mi−2], [mi−1 in−1] |
| Frontal area of vehicle | [m2] | |
| Battery pack capacity | [A h] | |
| Initial capacity of battery pack | [A h] | |
| , , | Rolling resistance parameters | [N], [N s m−1], [N s2 m−2] |
| , , | Precipitation parameters for rolling resistance | [-], [m−1], [s m−2] |
| , , , , , | Energy consumption parameters for HVAC system on | [kWh mi−1], [kWh mi−1 °F−1], [kWh mi−1 °F−2], [kWh mi−1 °F−3], [kWh mi−1 °F−4], [kWh mi−1 °F−5] |
| Parameter in distance determination | [-] | |
| Drag coefficient | [-] | |
| cm | Battery pack capacity multiplier | [-] |
| Cr,mult | Multiplier on nominal battery capacity | [-] |
| cy | Battery pack cycles | [-] |
| d | Distance | [m] |
| Distance of each phase of EPA test | [m] | |
| E | Elevation | [m] |
| Eaux | Energy consumption per unit distance | [kWh mi−1] |
| Total energy consumption per unit distance | [W h m−1] | |
| Energy consumption per phase of EPA test | [W h m−1] | |
| DC energy consumption per phase of EPA test | [W h] | |
| Scaling factor on HVAC engaged models | [-] | |
| Drag force | [N] | |
| Gradation force | [N] | |
| Rolling resistance force | [N] | |
| Traction force | [N] | |
| Acceleration or deceleration force | [N] | |
| Standard gravity | [m s−2] | |
| GP | Maximum gradient of road | [deg] |
| Final drive gear ratio | [-] | |
| Transmission gear ratio | [-] | |
| Pack amperage | [A] | |
| Reference amperage | [A] | |
| Amperage of a single representative battery | [A] | |
| Scaling factor of UDDS cycle | [-] | |
| Cycle scaling factor | [-] | |
| Phase scaling factor | [-] | |
| lat | Latitude | [deg] |
| lon | Longitude of vehicle location | [deg] |
| Overall mass of vehicle | [kg] | |
| mi | Mileage of vehicle | [mi] |
| Time-step | [-] | |
| N | Motor speed | [rev min−1] |
| Number of cycles for EPA test | [-] | |
| Number of batteries in parallel | [-] | |
| Auxiliary power draw | [W] | |
| Brake power | [W] | |
| Motor power | [W] | |
| Regenerative braking power | [W] | |
| Reference pressure | [kPa] | |
| Tire pressure | [kPa] | |
| qdr | Map driving direction | [deg] |
| Wind direction | [deg] | |
| Range of EV for cycle | [m] | |
| Tire radius | [m] | |
| REarth | Radius of Earth | [m] |
| Rmult | Range multiplier | [-] |
| SOC | State of Charge | [-] |
| Time | [s] | |
| Ambient temperature | [K] | |
| Reference temperature | [K] | |
| Thickness of rain or snow | [m] | |
| Battery pack temperature | [K] | |
| Total usable battery energy | [W h] | |
| Uw | Wind speed in x-direction | [m s−1] |
| Current vehicle velocity | [m s−1] | |
| Average vehicle velocity | [m s−1] | |
| Vcabin | Cabin volume | [m3] |
| Effective vehicle velocity | [m s−1] | |
| Current pack voltage | [VDC] | |
| Average pack voltage over time step | [VDC] | |
| Vw | Wind speed in y-direction | [m s−1] |
| Vwind | Wind speed | [m s−1] |
| x | Parameter in bearing calculation | [-] |
| y | Parameter in bearing calculation | [-] |
| Reference weight | [N] |
Greek Variables
| Variable | Description | Units |
| α | Tire pressure exponent for rolling resistance | [-] |
| Temperature exponential factor for HVAC system off | [-] | |
| β | Weight exponent for rolling resistance | [-] |
| βbr | Bearing angle | [deg] |
| γ,χ,δ | Capacity offset parameters | [W], [-], [-] |
| Battery pack capacity change | [A h] | |
| Difference in latitude between time steps | [deg] | |
| Difference in longitude between time steps | [deg] | |
| Time step | [s] | |
| Change in battery pack energy | [W h] | |
| Motor efficiency | [-] | |
| Driveline efficiency | [-] | |
| Yaw angle of the vehicle | [rad] | |
| Angle of wind relative to direction of motion | [rad] | |
| Roadway slope | [deg] | |
| Density of air | [kg m−3] | |
| Rolling resistance coefficient | [-] | |
| Brake torque | [N m] | |
| Wheel torque | [N m] |
Acronyms
| AAA | American Automobile Association |
| CSC | Constant Speed Cycle |
| E | East |
| EPA | Environmental Protection Agency |
| EV | Electric Vehicle |
| GPS | Global Positioning System |
| HVAC | Heating, Ventilation, and Air Conditioning |
| HWFET | Highway Fuel Economy Test |
| MCT | Multi-Cycle Test |
| MPGe | Miles Per Gallon Equivalent |
| N | North |
| NCA | Nickel Cobalt Aluminum Oxide |
| NCM333 | LiNi1/3Co1/3Mn1/3O2 |
| NCM523 | LiNi0.5Co0.2Mn0.3O2 |
| NCM622 | LiNi0.6Co0.2Mn0.2O2 |
| NEDC | New European Driving Cycle |
| S | South |
| SAE | Society of Automotive Engineers |
| UDDS | Urban Dynamometer Driving Schedule |
| US06 | Supplemental Federal Test Procedure |
| W | West |
Appendix A
| Vehicle and Model Year | 2017–2019 Chevy Bolt | 2018–2020 Nissan Leaf | 2019 Jaguar I-Pace | 2019 Tesla Model S AWD 75D | 2019 Tesla Model 3 Std. Range RWD | 2019 VW e-Golf |
|---|---|---|---|---|---|---|
| AAA Test Data Available | Yes | Yes | No | Yes | No | Yes |
| Coefficient of Drag [-] | 0.32 | 0.28 | 0.29 | 0.24 | 0.23 | 0.25 |
| Vehicle Height [in] | 62.8 | 61.6 | 61.3 | 56.5 | 56.8 | 58.3 |
| Vehicle Width [in] | 69.5 | 70.5 | 74.6 | 77.3 | 72.8 | 70.8 |
| Frontal Area [m2] | 2.211 | 2.162 | 2.315 | 2.026 | 1.984 | 2.048 |
| Vehicle Mass [kg] | 1616 | 1557 | 2140 | 2215 | 1611 | 1585 |
| Unloaded Tire Diameter [in] | 25.5 | 24.9 | 29.6 | 27.7 | 29.4 | 24.9 |
| Tire pressure [psi] | 38 | 36 | 37 | 45 | 37 | 41 |
| Tire Revolutions per Mile [rev min−1] | 815 | 836 | 703 | 751 | 708 | 836 |
| Final Drive Ratio [-] | 7.05 | 8.19 | 9.06 | 9.73 | 9 | 9.75 |
| Motor Type | Permanent Magnet Synchronous A | Permanent Magnet Synchronous B | Permanent Magnet Synchronous B | AC Induction | Permanent Magnet Synchronous B | Permanent Magnet Synchronous B |
| Maximum Motor Speed [rev min−1] | 8810 | 10,390 | 13,000 | 18,000 | 13,800 | 12,000 |
| Maximum Brake Torque [N-m] | 360 | 321 | 696 | 658 | 431 | 290 |
| Maximum Brake Power [kW] | 150 | 110 | 296 | 386 | 211 | 100 |
| Maximum Regeneration Power [kW] | 60 | 43.3 | 116.5 * | 60 | 116.5 * | 70 |
| Maximum Speed [mi hr−1] | 91 | 89.5 | 124 | 139.8 | 130 | 93.2 |
| Cabin Volume [ft3] | 94.4 | 116.0 | 102.6 | 94 | 97 | 93.5 |
| Battery Chemistry [-] | NCM622 | NCM523 | NCM622 | NCA1 | NCA2 | NCM |
| Batteries in Series [-] | 96 | 96 | 108 | 96 | 96 | 88 |
| Batteries in Parallel [-] | 3 | 2 | 4 | 74 | 46 | 3 |
| Nominal Pack Voltage [VDC] | 350 | 350 | 388 | 400 | 350 | 370 |
| Nominal Pack Capacity [Ah] | 171.4 | 115 | 222.9 | 245 | 230 | 111 |
| Calculated Pack Capacity [kW-hr] | 59.99 | 40.25 | 86.49 | 98.00 | 80.50 | 41.07 |
| Initial Cycles for EPA Tests [-] | 4 | 6 | 4 | 6 | 4 | 8 |
| SOCmin/SOCmax | 0.1/0.8305 | 0.1/0.9071 | 0.1/0.8664 | 0.1/0.8298 | 0.1/0.8571 | 0.01/0.9946 |
| EPA City/Highway [mi] | 255.1/217.4 | 165.2/132.4 | 244.8/220.8 | 255.0/264.6 | 230.5/206.3 | 130.6/117.9 |
| Model City/Highway [mi] | 254.6/218.0 | 165.3/132.5 | 244.8/220.7 | 255.6/265.1 | 229.6/205.7 | 131.2/116.4 |
| Unadjusted MPGe City/Highway | 182.2/157.4 | 177.3/142.1 | 114.1/102.9 | 137.9/142.7 | 138.2/123.8 | 126.0/111.0 |
| Model MPGe City/Highway | 182.9/156.6 | 177.3/142.1 | 114.1/102.9 | 137.9/143.0 | 138.2/123.8 | 125.7/111.5 |
| HVAC Off 20 °F and 95 °F City/Highway Loss [mi] | −31/−15 −6/−2 | −19/−9 −2/−2 | N/A | −32/−21 −19/−14 | N/A | −13/−3 −7/0 |
| HVAC Off Model 20 °F and 95 °F City/Highway Loss [mi] | −28.6/−16.2 −9.4/−5.1 | −17.3/−10.9 −5.6/−3.5 | −31.4/−25.5 −10.6/−8.5 | −31.5/−27.3 −10.6/−9.0 | −24.8/21.4 −8.2/−7.0 | −10.0/−7.7 −3.3/−2.5 |
| HVAC On 20 °F and 95 °F City/Highway Loss [mi] | −148/−68 −65/−22 | −58/−26 −24/−8 | N/A | −109/−69 −48/−25 | N/A | −65/−20 −34/−9 |
| HVAC On Model 20 °F and 95 °F City/Highway Loss [mi] | −145.1/−74.5 −69.5/−17.6 | −50.3/−33.0 −21.2/−13.3 | −95.1/−62.2 −53.8/−24.5 | −99.4/−75.7 −48.2/−25.1 | −132.8/−86.1 −86.1/−20.8 | −50.5/−29.2 −30.2/−10.8 |
| Cr,mult | 1.0428 | 1.0596 | 1.0428 | 0.9045 | 0.9884 | 0.9012 |
| γ | 0.8786 | 0.9222 | 0.8786 | 0.8851 | 1.0069 | 0.8861 |
| χ | 1.0391 | 1.0592 | 1.0391 | 1.0095 | 1.0552 | 1.0042 |
| δ ** | 0 | 0 | 0 | 1.7714 | 0 | 0.4936 |
| aEPA [N] | 63.1648 | 37.0537 | −62.1995 | −6.6723 | 77.3991 | −27.6012 |
| bEPA [N s m−1] | 0.4020 | 1.2567 | 2.8080 | 0.1171 | −1.4856 | 0.4535 |
| cEPA [N s2 m−2] | 0.4300 | 0.4296 | 0.4108 | 0.3470 | 0.3653 | 0.3860 |
| arr [N] | 5.0165 × 10−2 | 2.9817 × 10−2 | -3.8378 × 10−2 | -4.2681 × 10−3 | 6.1051 × 10−2 | −2.2877 × 10−2 |
| brr [N s m−1] | 3.1937 × 10−4 | 1.0114 × 10−3 | 1.7326 × 10−3 | 7.3551 × 10−5 | −1.1702 × 10−3 | 3.7573 × 10−4 |
| crr [N s2 m−2] | 8.9076 × 10−6 | 5.7334 × 10−5 | 8.2824 × 10−6 | 3.7951 × 10−5 | 7.5030 × 10−5 | 6.8783 × 10−5 |
| aaux [W]–HVAC off | 9.6491 × 102 | 6.2301 × 102 | 1.5011 × 103 | 1.8325 × 103 | 1.2063 × 103 | 3.6632 × 102 |
| baux [W s m−1]–HVAC off | 6.1117 × 101 | 7.1905 × 101 | 1.4680 × 102 | 1.4651 × 102 | 5.9168 | 3.9827 × 102 |
| caux [W s2 m−2]–HVAC off | 1.5524 | 3.6700 | 1.0389 × 101 | 4.0367 | 1.1617 × 101 | 1.0023 |
| αaux–HVAC off | 2.3446 | 2.2228 | 1.8577 | 1.6729 | 1.8577 | 1.0136 |
| Heating System | Resistance | Heat Pump | Heat Pump | Resistance | Resistance | Heat Pump |
| aaux [W]–HVAC on | 3.1176 × 101 | 6.2800 | 6.1403 | 1.7323 × 101 | 1.3458 × 101 | 9.9413 |
| baux [W s m−1]–HVAC on | 6.1308 × 10−1 | 7.1900 × 10−1 | 3.4647 × 10−1 | 1.3758E+00 | 6.3044 × 10−1 | 4.3196 × 10−1 |
| caux [W s2 m−2]–HVAC on | 9.0834 × 10−3 | 3.6300 × 10−2 | 2.2299 × 10−2 | 1.3437 × 10−2 | 6.8909 × 10−3 | 3.1307 × 10−2 |
| aYM [kWh mi−1] | 1.3088 × 10−1 | 1.3801 × 10−1 | 4.0411 × 10−1 | 1.4360 × 10−1 | 3.2757 × 10−1 | 2.4480 × 10−1 |
| bYM [kWh mi−1 °F−1] | −3.5724 × 10−3 | -3.4800 × 10−3 | −7.5055 × 10−3 | −3.2636 × 10−3 | −8.1276 × 10−3 | −3.7500 × 10−3 |
| cYM [kWh mi−1 °F−2] | 4.6682 × 10−5 | 5.1000 × 10−5 | 9.5581 × 10−5 | 4.7516 × 10−5 | 1.1177 × 10−4 | 4.2937 × 10−5 |
| dYM [kWh mi−1 °F−3] | −2.4521 × 10−7 | −2.8300 × 10−7 | −4.9901 × 10−7 | −2.7221 × 10−7 | −6.0641 × 10−7 | −2.2862 × 10−7 |
| eYM [kWh mi−1 °F−4] | 3.3140 × 10−11 | 1.4500 × 10−10 | 2.9917 × 10−10 | 2.7485 × 10−10 | 2.7688 × 10−10 | 3.2365 × 10−10 |
| fYM [kWh mi−1 °F−5] | 3.9879 × 10−12 | 2.8400 × 10−12 | 8.1332 × 10−12 | 2.1291 × 10−12 | 7.5301 × 10−12 | 4.5652 × 10−12 |
| Coefficient of Drag [-] | 0.28 |
| Vehicle Height [in] | 64.4 |
| Vehicle Width [in] | 72.9 |
| Frontal Area [m2] | 2.18 * |
| Vehicle Mass [kg] | 2049 |
| Unloaded Tire Diameter [in] | 29.2 |
| Tire pressure [psi] | 50 |
| Tire Revolutions per Mile [rev min−1] | 692 |
| Final Drive Ratio [-] | 12.99 |
| Motor Type | Permanent Magnet Synchronous B |
| Maximum Motor Speed [rev min−1] | 16000 |
| Maximum Brake Torque [N−m] | 309 |
| Maximum Brake Power [kW] | 150 |
| Maximum Regeneration Power [kW] | 70 * |
| Maximum Speed [mi hr−1] | 99.4 |
| Cabin Volume [ft3] | 99.9 |
| Battery Chemistry [-] | NCM712 (used NCM622 data) |
| Batteries in Series [-] | 96 |
| Batteries in Parallel [-] | 3 |
| Nominal Pack Voltage [VDC] | 400 |
| Nominal Pack Capacity [Ah] | 205 |
| Calculated Pack Capacity [kW−hr] | 82 |
| Initial Cycles for EPA Tests [-] | 4 |
| SOCmin/SOCmax | 0.1/0.9999 |
| EPA City/Highway [mi] | 278.5/237.1 |
| Model City/Highway [mi] | 270.8/233.4 |
| Unadjusted MPGe City/Highway | 107/91 |
| Model MPGe City/Highway | 120.8/104.1 |
| HVAC Off 20 °F and 95 °F City/Highway Loss [mi] | N/A |
| HVAC Off Model 20 °F and 95 °F City/Highway Loss [mi] | −27.7/−21.4 −9.0/−6.6 |
| HVAC On 20 °F and 95 °F City/Highway Loss [mi] | N/A |
| HVAC On Model 20 °F and 95 °F City/Highway Loss [mi] | −151.0/−76.4 −96.4/−22.2 |
| Cr,mult | 1.0428 |
| γ | 0.8786 |
| χ | 1.0391 |
| δ** | 0 |
| aEPA [N] | 65.0997 |
| bEPA [N s m−1] | 1.8644 |
| cEPA [N s2 m−2] | 0.4068 |
| arr [N] | 4.6304 × 10−2 |
| brr [N s m−1] | 1.3246 × 10−3 |
| crr [N s2 m−2] | 3.2345 × 10−5 |
| aaux [W]–HVAC off | 1.3973 × 103 |
| baux [W s m−1]–HVAC off | 8.0243 × 10−1 |
| caux [W s2 m−2]–HVAC off | 1.2360 × 101 |
| αaux–HVAC off | 1.8577 |
| Heating System | Resistance |
| aaux [W]–HVAC on | 9.9394 |
| baux [W s m−1]–HVAC on | 4.6607 × 10−1 |
| caux [W s2 m−2]–HVAC on | 5.0793 × 10−3 |
| aYM [kWh mi−1] | 4.7395 × 10−1 |
| bYM [kWh mi−1 °F−1] | −1.1758 × 10−2 |
| cYM [kWh mi−1 °F−2] | 1.6167 × 10−4 |
| dYM [kWh mi−1 °F−3] | −8.7681 × 10−7 |
| eYM [kWh mi−1 °F−4] | 3.9058 × 10−10 |
| fYM [kWh mi−1 °F−5] | 1.0961 × 10−11 |
References
- Pevec, D.; Babic, J.; Carvalho, A.; Ghiassi-Farrokhfal, Y.; Ketter, W.; Podobnik, V. A survey-based assessment of how existing and potential electric vehicle owners perceive range anxiety. J. Clean. Prod. 2020, 276, 122779. [Google Scholar] [CrossRef]
- Analytics Team. Survey: Electric Vehicles’ Range Jumps to Top of Priorities for Consumers. Available online: https://www.autolist.com/news-and-analysis/2021-survey-electric-vehicles (accessed on 1 June 2022).
- Voelcker, J. How Much Electriccar Range Is ‘Enough’? 300 Miles Much Better Than 200 Miles: Survey. Available online: https://www.greencarreports.com/news/1112298_how-much-electric-car-range-is-enough-300-miles-much-better-than-200-miles-survey (accessed on 1 June 2022).
- Performance, L.D.V.; Committee, E.M. Battery Electric Vehicle Energy Consumption and Range Test Procedure; SAE International: Warrendale, PA, USA, 2017. [Google Scholar] [CrossRef]
- Hu, K.; Wu, J.; Schwanen, T. Differences in Energy Consumption in Electric Vehicles: An Exploratory Real-World Study in Beijing. J. Adv. Transp. 2017, 2017, 4695975. [Google Scholar] [CrossRef]
- Hao, X.; Wang, H.; Lin, Z.; Ouyang, M. Seasonal effects on electric vehicle energy consumption and driving range: A case study on personal, taxi, and ridesharing vehicles. J. Clean. Prod. 2020, 249, 119403. [Google Scholar] [CrossRef]
- Ahn, Y.; Yeo, H. An Analytical Planning Model to Estimate the Optimal Density of Charging Stations for Electric Vehicles. PLoS ONE 2015, 10, e0141307. [Google Scholar] [CrossRef]
- Samenow, J. Blowing Hard: The Windiest Time of Year and Other Fun Facts on Wind. 2016. Available online: https://www.washingtonpost.com/news/capital-weather-gang/wp/2014/03/26/what-are-the-windiest-states-and-cities-what-is-d-c-s-windiest-month/ (accessed on 1 June 2022).
- Lin, X.; Harrington, J.; Ciampitti, I.; Gowda, P.; Brown, D.; Kisekka, I. Kansas Trends and Changes in Temperature, Precipitation, Drought, and Frost-Free Days from the 1890s to 2015. J. Contemp. Water Res. Educ. 2017, 162, 18–30. [Google Scholar] [CrossRef]
- Weiss, M.; Cloos, K.C.; Helmers, E. Energy efficiency trade-offs in small to large electric vehicles. Environ. Sci. Eur. 2020, 32, 46. [Google Scholar] [CrossRef]
- Liu, K.; Yamamoto, T.; Morikawa, T. Impact of road gradient on energy consumption of electric vehicles. Transp. Res. Part D Transp. Environ. 2017, 54, 74–81. [Google Scholar] [CrossRef]
- Al-Wreikat, Y.; Serrano, C.; Sodré, J.R. Driving behaviour and trip condition effects on the energy consumption of an electric vehicle under real-world driving. Appl. Energy 2021, 297, 117096. [Google Scholar] [CrossRef]
- Pavlat, J.W.; Diller, R.W. An energy management system to improve electric vehicle range and performance. IEEE Aerosp. Electron. Syst. Mag. 1993, 8, 3–5. [Google Scholar] [CrossRef]
- Sarrafan, K.; Muttaqi, K.M.; Sutanto, D.; Town, G.E. A Real-Time Range Indicator for EVs Using Web-Based Environmental Data and Sensorless Estimation of Regenerative Braking Power. IEEE Trans. Veh. Technol. 2018, 67, 4743–4756. [Google Scholar] [CrossRef]
- Yi, Z.; Bauer, P.H. Effects of environmental factors on electric vehicle energy consumption: A sensitivity analysis. IET Electr. Syst. Transp. 2017, 7, 3–13. [Google Scholar] [CrossRef]
- Tang, L.; Wei, S.; Valentage, J.; Li, Z.; Nair, S. Tire Pressure Impact on EV Driving Range. Available online: https://www.sae.org/news/2020/10/tire-pressure-impact-on-ev-driving-range (accessed on 1 June 2022).
- Tannahill, V.R.; Muttaqi, K.M.; Sutanto, D. Driver alerting system using range estimation of electric vehicles in real time under dynamically varying environmental conditions. IET Electr. Syst. Transp. 2016, 6, 107–116. [Google Scholar] [CrossRef]
- Laurikko, J.; Granström, R.; Haakana, A. Assessing Range and Performance of Electric Vehicles in Nordic Driving Conditions—Project “RekkEVidde”. World Electr. Veh. J. 2012, 5, 45–50. [Google Scholar] [CrossRef]
- Sarrafan, K.; Sutanto, D.; Muttaqi, K.M.; Town, G. Accurate range estimation for an electric vehicle including changing environmental conditions and traction system efficiency. IET Electr. Syst. Transp. 2017, 7, 117–124. [Google Scholar] [CrossRef]
- Samadani, E.; Fraser, R.; Fowler, M. Evaluation of Air Conditioning Impact on the Electric Vehicle Range and Li-Ion Battery Life; SAE International: Warrendale, PA, USA, 2014. [Google Scholar] [CrossRef]
- Horrein, L.; Bouscayrol, A.; Lhomme, W.; Dépature, C. Impact of Heating System on the Range of an Electric Vehicle. IEEE Trans. Veh. Technol. 2017, 66, 4668–4677. [Google Scholar] [CrossRef]
- Szumska, E.M.; Jurecki, R.S. Parameters Influencing on Electric Vehicle Range. Energies 2021, 14, 4821. [Google Scholar] [CrossRef]
- Mruzek, M.; Gajdáč, I.; Kučera, Ľ.; Barta, D. Analysis of Parameters Influencing Electric Vehicle Range. Procedia Eng. 2016, 134, 165–174. [Google Scholar] [CrossRef]
- Depcik, C.; Gaire, A.; Gray, J.; Hall, Z.; Maharjan, A.; Pinto, D.; Prinsloo, A. Electrifying Long-Haul Freight-Part II: Assessment of the Battery Capacity. SAE Int. J. Commer. Veh. 2019, 12, 87–102. [Google Scholar] [CrossRef]
- Kadijk, G.; Ligterink, N. Road Load Determination of Passenger Cars; TNO 2012 R10237; TNO: The Hague, The Netherlands, 2012. [Google Scholar]
- United States Environmental Protection Agency. Data on Cars used for Testing Fuel Economy. Available online: https://www.epa.gov/compliance-and-fuel-economy-data/data-cars-used-testing-fuel-economy (accessed on 21 September 2021).
- SketchAndCalc. Area Calculator. 2021. Available online: https://www.sketchandcalc.com/ (accessed on 1 June 2022).
- Prša, A.; Harmanec, P.; Torres, G.; Mamajek, E.; Asplund, M.; Capitaine, N.; Christensen-Dalsgaard, J.; Depagne, É.; Haberreiter, M.; Hekker, S.; et al. Nominal values for selected solar and planetary quantities: Iau 2015 resOLUTION B3. Astron. J. 2016, 152, 41. [Google Scholar] [CrossRef]
- Sinnott, R.W. Virtues of the Haversine. Sky Telesc. 1984, 68, 158. [Google Scholar]
- National Oceanic and Atmospheric Administration. U.S. Wind Climatology. Available online: https://www.ncdc.noaa.gov/societal-impacts/wind/v-comp/202007 (accessed on 1 June 2022).
- Hausmann, A.; Depcik, C. A Cost-Effective Alternative to Moving Floor Wind Tunnels in Order to Calculate Rolling Resistance and Aerodynamic Drag Coefficients. SAE Int. J. Passeng. Cars Mech. Syst. 2014, 7, 703–713. [Google Scholar] [CrossRef]
- Grover, P.S. Modeling of Rolling Resistance Test Data; SAE International: Warrendale, PA, USA, 1998. [Google Scholar] [CrossRef]
- Fechtner, H.; Teschner, T.; Schmuelling, B. Range prediction for electric vehicles: Real-time payload detection by tire pressure monitoring. In Proceedings of the 2015 IEEE Intelligent Vehicles Symposium (IV), Seoul, Korea, 28 June–1 July 2015; pp. 767–772. [Google Scholar] [CrossRef]
- Ejsmont, J.; Sjögren, L.; Świeczko-Żurek, B.; Ronowski, G. Influence of Road Wetness on Tire-Pavement Rolling Resistance. J. Civ. Eng. Archit. 2015, 9, 1302–1310. [Google Scholar] [CrossRef]
- Kihlgren, B.; Trafikinstitut, S.V.-O. Flygplanshjuls Rullmotstånd I Torr Nysnö; Statens väg-och Trafikinstitut: Linköping, Sweden, 1977. [Google Scholar]
- Páscoa, J.C.; Brójo, F.P.; Santos, F.C.; Fael, P.O. An innovative experimental on-road testing method and its demonstration on a prototype vehicle. J. Mech. Sci. Technol. 2012, 26, 1663–1670. [Google Scholar] [CrossRef]
- Pauwelussen, J. Essentials of Vehicle Dynamics; Elsevier Science: Amsterdam, The Netherlands, 2014. [Google Scholar]
- American Association of State Highway and Transportation Officials. A Policy on Geometric Design of Highways and Streets; American Association of State Highway and Transportation Officials: Washington, DC, USA, 2001; Available online: https://law.resource.org/pub/us/cfr/ibr/001/aashto.green.2001.pdf (accessed on 1 June 2022).
- Momen, F.; Rahman, K.M.; Son, Y.; Savagian, P. Electric Motor Design of General Motors’ Chevrolet Bolt Electric Vehicle. SAE Int. J. Altern. Powertrains 2016, 5, 286–293. [Google Scholar] [CrossRef]
- Burress, T. Benchmarking State-of-the-Art Technologies. 2013. Available online: https://www.energy.gov/sites/prod/files/2014/03/f13/ape006_burress_2013_o.pdf (accessed on 1 June 2022).
- Staton, D.; Goss, J. Open Source Electric Motor Models for Commercial EV & Hybrid Traction Motors. In Proceedings of the CWIEME Berlin, Berlin, Germany, 20–22 June 2017. [Google Scholar]
- Larsson, M. Electric Motors for Vehicle Propulsion; Linköpings Universitet: Linköping, Sweden, 2014. [Google Scholar]
- Evtimov, I.; Ivanov, R.; Sapundjiev, M. Energy consumption of auxiliary systems of electric cars. MATEC Web Conf. 2017, 133, 06002. [Google Scholar] [CrossRef]
- American Automobile Association, I. AAA Electric Vehicle Range Testing. 2019. Available online: https://www.aaa.com/AAA/common/AAR/files/AAA-Electric-Vehicle-Range-Testing-Report.pdf (accessed on 1 June 2022).
- U.S. Department of Energy. Download Fuel Economy Data. Available online: https://www.fueleconomy.gov/feg/download.shtml (accessed on 1 June 2022).
- Yuksel, T.; Michalek, J.J. Effects of Regional Temperature on Electric Vehicle Efficiency, Range, and Emissions in the United States. Environ. Sci. Technol. 2015, 49, 3974–3980. [Google Scholar] [CrossRef]
- Hausmann, A.; Depcik, C. Expanding the Peukert Equation for Battery Capacity Modeling Through Inclusion of a Temperature Dependency. J. Power Sources 2013, 235, 148–158. [Google Scholar] [CrossRef]
- O’Malley, R.; Liu, L.; Depcik, C. Comparative study of various cathodes for lithium ion batteries using an enhanced Peukert capacity model. J. Power Sources 2018, 396, 621–631. [Google Scholar] [CrossRef]
- Samsung. Introduction of Samsung SDI’s 94 Ah Cells. 2015. Available online: https://files.gwl.eu/inc/_doc/attach/StoItem/7213/Samsung_SDI_94Ah_Datasheet.pdf (accessed on 1 June 2022).
- Kwon, S.-J.; Lee, S.-E.; Lim, J.-H.; Choi, J.; Kim, J. Performance and Life Degradation Characteristics Analysis of NCM LIB for BESS. Electronics 2018, 7, 406. [Google Scholar] [CrossRef]
- Panasonic. Lithium Ion NCR18650B. 2021. Available online: https://www.batteryspace.com/prod-specs/NCR18650B.pdf (accessed on 1 June 2022).
- ZeroAir.org. LiionWholesale Samsung 50e 21700 Li-Ion Cell Review. Available online: https://zeroair.org/2018/11/13/liionwholesale-samsung-50e-21700-li-ion-cell-review/ (accessed on 1 June 2022).
- Saxena, S.; Le Floch, C.; MacDonald, J.; Moura, S. Quantifying EV battery end-of-life through analysis of travel needs with vehicle powertrain models. J. Power Sources 2015, 282, 265–276. [Google Scholar] [CrossRef]
- Environmental Protection Agency. Title 40—Protection of Environment: Appendix IV to Part 86—Durability Driving Schedules. 2011. Available online: https://www.govinfo.gov/content/pkg/CFR-2011-title40-vol19/pdf/CFR-2011-title40-vol19-part86-appIV.pdf (accessed on 1 June 2022).
- United States Council for Automotive Research LLC. USABC Electric Vehicle Battery Test Procedures Manual. 1996. Available online: https://avt.inl.gov/sites/default/files/pdf/battery/usabc_manual_rev2.pdf (accessed on 1 June 2022).
- Bokare, P.; Maurya, A. Acceleration-deceleration behaviour of various vehicle types. Transp. Res. Procedia 2017, 25, 4733–4749. [Google Scholar] [CrossRef]
- Proctor, C.L.; Grimes, W.D.; Fournier, D.J., Jr.; Rigol, J., Jr.; Sunseri, M.G. Analysis of acceleration in passenger cars and heavy trucks. SAE Trans. 1995, 104, 283–324. [Google Scholar] [CrossRef]
- Kleeman, P. A fresh look at predicting carbon monoxide impacts at highway intersections. In Proceedings of the Transport Research Board A1 FC03-AIF06 Joint Summer Meeting, Ann Arbor, MI, USA, 11–15 January 1998. [Google Scholar]
- Akçelik, R.; Besley, M. Acceleration and deceleration models. In Proceedings of the 23rd Conference of Australian Institutes of Transport Research (CAITR 2001), Melbourne, Australia, 10 December 2001; p. 12. [Google Scholar]
- Bennett, C.; Dunn, R. Driver Deceleration Behaviour on a Motorway in New Zealand. Transp. Res. Rec. J. Transp. Res. Board 1995, 1510, 70–74. Available online: https://onlinepubs.trb.org/Onlinepubs/trr/1995/1510/1510-009.pdf (accessed on 1 June 2022).
- Wang, J.; Dixon, K.K.; Li, H.; Ogle, J. Normal deceleration behavior of passenger vehicles at stop sign–controlled intersections evaluated with in-vehicle Global Positioning System data. Transp. Res. Rec. 2005, 1937, 120–127. [Google Scholar] [CrossRef]
- Maurya, A.K.; Bokare, P.S. Study of Deceleration Behaviour of Different Vehicle Types. Int. J. Traffic Transp. Eng. 2012, 2, 253–270. [Google Scholar] [CrossRef]
- Kostopoulos, E.D.; Spyropoulos, G.C.; Kaldellis, J.K. Real-world study for the optimal charging of electric vehicles. Energy Rep. 2020, 6, 418–426. [Google Scholar] [CrossRef]
- Mannering, F.L. Effects of Interstate Speed Limits on Driving Speeds: Some New Evidence. In Proceedings of the Transportation Research Board 86th Annual Meeting, Washington, DC, USA, 21–25 January 2007; pp. 7–120. [Google Scholar]
- De Leonardis, D.; Huey, R.; Green, J. National Traffic Speeds Survey III: 2015; DOT HS 812 485; National Highway Traffic Safety Administration: Washington, DC, USA, 2018. Available online: https://www.nhtsa.gov/sites/nhtsa.gov/files/documents/812485_national-traffic-speeds-survey-iii-2015.pdf (accessed on 30 June 2022).
- AAA Foundation for Traffic Safety. 2019 Traffic Safety Culture Index; AAA Foundation for Traffic Safety: Washington, DC, USA, 2020; Available online: https://aaafoundation.org/wp-content/uploads/2020/06/2019-Traffic-Safety-Culture-Index.pdf (accessed on 30 June 2022).
- Argue, C. To What Degree Does Temperature Impact EV Range? Available online: https://www.geotab.com/blog/ev-range/ (accessed on 1 June 2022).
- Bellocchi, S.; Leo Guizzi, G.; Manno, M.; Salvatori, M.; Zaccagnini, A. Reversible heat pump HVAC system with regenerative heat exchanger for electric vehicles: Analysis of its impact on driving range. Appl. Therm. Eng. 2018, 129, 290–305. [Google Scholar] [CrossRef]
- Christen, E.J.; Blatchley, T.; Jacobson, M.; Ahmed, N.K.; Gong, Q. Improving Range Robustness: Heat Pump Value for Plug-In Electric Vehicles; SAE International: Warrendale, PA, USA, 2017. [Google Scholar] [CrossRef]
- McIntosh, J. Do People Who Buy Their First Electric Vehicle Buy a Second One After? 2021. Available online: https://driving.ca/auto-news/news/do-people-who-buy-their-first-electric-vehicle-buy-a-second-one-after (accessed on 1 June 2022).
- Park, K.-J.; Hwang, J.-Y.; Ryu, H.-H.; Maglia, F.; Kim, S.-J.; Lamp, P.; Yoon, C.S.; Sun, Y.-K. Degradation Mechanism of Ni-Enriched NCA Cathode for Lithium Batteries: Are Microcracks Really Critical? ACS Energy Lett. 2019, 4, 1394–1400. [Google Scholar] [CrossRef]
- Liu, L.; Li, M.; Chu, L.; Jiang, B.; Lin, R.; Zhu, X.; Cao, G. Layered ternary metal oxides: Performance degradation mechanisms as cathodes, and design strategies for high-performance batteries. Prog. Mater. Sci. 2020, 111, 100655. [Google Scholar] [CrossRef]
- Andre, D.; Hain, H.; Lamp, P.; Maglia, F.; Stiaszny, B. Future high-energy density anode materials from an automotive application perspective. J. Mater. Chem. A 2017, 5, 17174–17198. [Google Scholar] [CrossRef]
- Lane, B.W. From early adopters to early quitters. Nat. Energy 2021, 6, 458–459. [Google Scholar] [CrossRef]





















Publisher’s Note: MDPI stays neutral with regard to jurisdictional claims in published maps and institutional affiliations. |
© 2022 by the authors. Licensee MDPI, Basel, Switzerland. This article is an open access article distributed under the terms and conditions of the Creative Commons Attribution (CC BY) license (https://creativecommons.org/licenses/by/4.0/).
Share and Cite
Simpson, T.; Bousfield, G.; Wohleb, A.; Depcik, C. Electric Vehicle Simulations Based on Kansas-Centric Conditions. World Electr. Veh. J. 2022, 13, 132. https://doi.org/10.3390/wevj13080132
Simpson T, Bousfield G, Wohleb A, Depcik C. Electric Vehicle Simulations Based on Kansas-Centric Conditions. World Electric Vehicle Journal. 2022; 13(8):132. https://doi.org/10.3390/wevj13080132
Chicago/Turabian StyleSimpson, Tyler, George Bousfield, Austin Wohleb, and Christopher Depcik. 2022. "Electric Vehicle Simulations Based on Kansas-Centric Conditions" World Electric Vehicle Journal 13, no. 8: 132. https://doi.org/10.3390/wevj13080132
APA StyleSimpson, T., Bousfield, G., Wohleb, A., & Depcik, C. (2022). Electric Vehicle Simulations Based on Kansas-Centric Conditions. World Electric Vehicle Journal, 13(8), 132. https://doi.org/10.3390/wevj13080132

