Exploring Data Model Relations in OpenStreetMap
Abstract
1. Introduction
- To carry out an exploration of the types of relations represented in OSM for four large European cities and understand how they model geographical relationships and phenomena in these cities.
- To investigate how the relations are represented, for these four cities, within the OSM database as data objects.
- To explore the research question: are the patterns of contribution, editing and tagging for relations similar to those observed by other researcher work on OSM nodes and ways?
2. Related Work and Applications
3. Working with Relations in OSM
3.1. Types of Relations in OSM
- Multipolygon: A multipolygon relation can have any number of ways and these ways must somehow form valid rings to build a multipolygon from. Multipolygon relations are used to represent complex areas. Generally, the multipolygon relation can be used to build multipolygons in compliance with the OGC Simple Feature standard. Subsequently multipolygons allows for the expression of arbitrarily complex relations within OSM.
- Restriction: Relations with the type=restriction key allows the modeling of different types of traffic flow restrictions at junctions, intersections, etc. A turn restriction at a junction is represented by a relation that has a set of tags describing the type of turn restriction. This turn restriction relation is not necessarily limited to turns. It can also be used in a number of other situations.
- Route: This type of relation models a regular known line or path of travel. According to the OSM Wiki routes can consist of paths taken repeatedly by people and vehicles: a ship on the predefined shipping route, a car on a numbered road, a bus on its route or a cyclist on a national route.
- Public Transport: Relations with this type=public_transport allow for the description of relations used in the public transport tagging scheme in OSM. This relation corresponds to the description of all types of public transport stops, stations, halts, areas or similar. As stated in the OSM Wiki pages “A stop area consists of everything regarding the embarkation and disembarkation of a specific public transport vehicle or service” [27]. In the example of a specific railway line, this includes the adjacent platform, services on that platform, buildings, and information describing it (platform number, identification, etc.).
- Route Master: Relations of type type=route_master contain all the direction and variant routes and information belonging to a whole route service. Routes or services are represented by vehicles that always run the same way with the same reference number. Each direction of a route should be tagged as a separate relation. If a route has several variants (e.g., different way at weekend), these variants should also be in separate relations.
4. Experimental Analysis
4.1. Relation Data Extraction
4.2. Relation Analysis
4.2.1. Composition of Relations
4.2.2. Existence of Super Relations
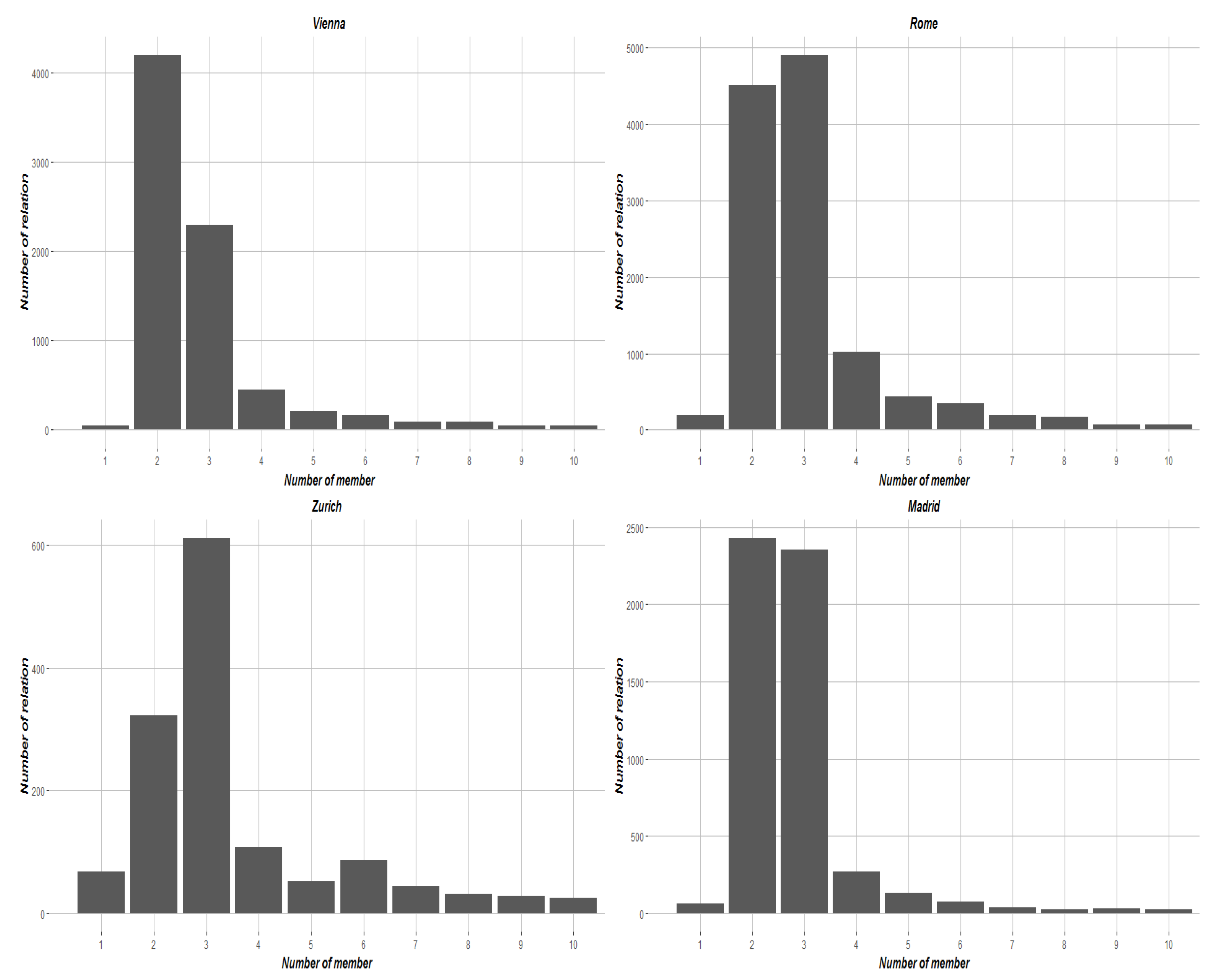
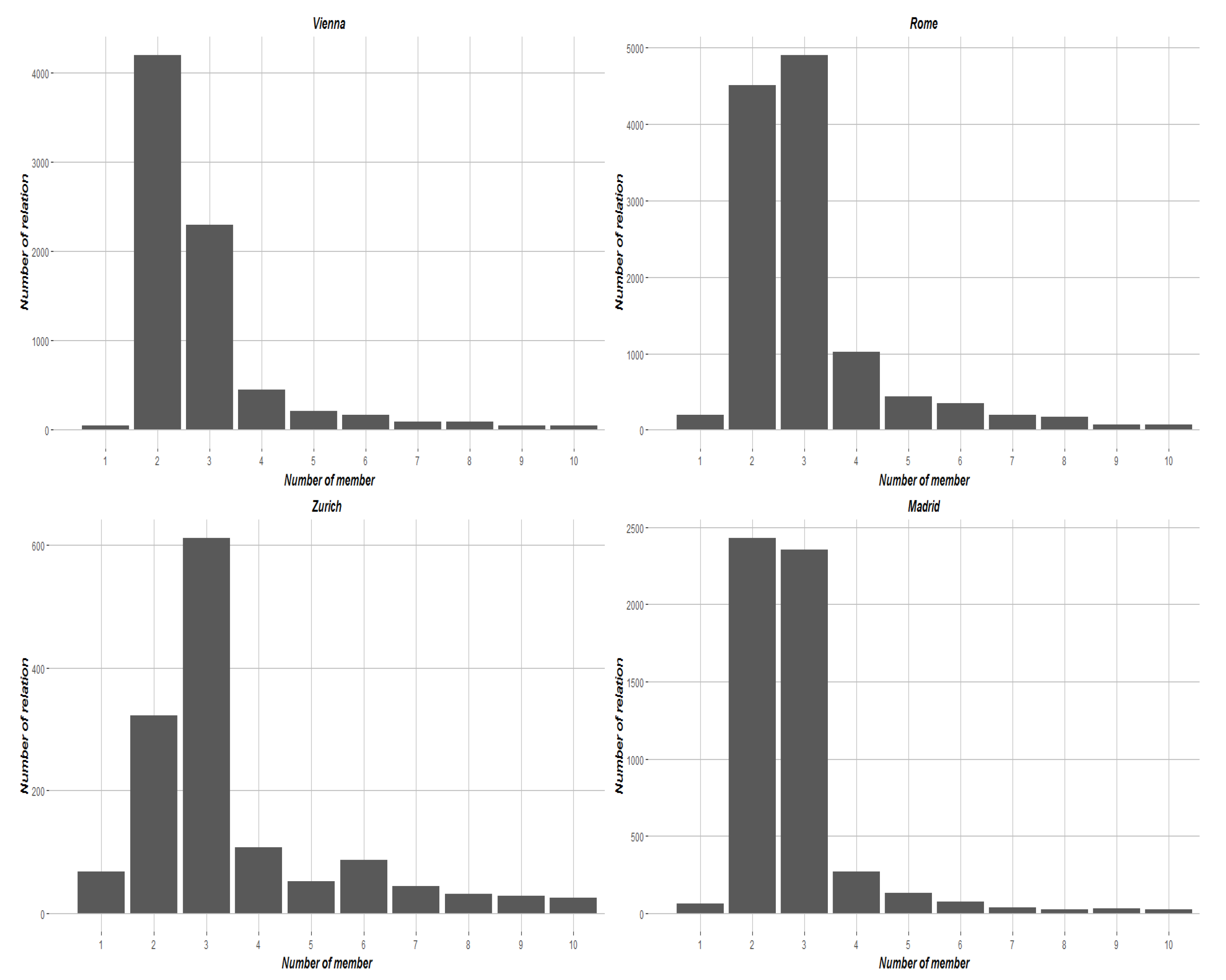
4.2.3. Membership Size of Relations
4.2.4. Tagging of Relations
4.2.5. Edit Frequency of Relations
4.2.6. Contributors to Relations
5. Conclusions and Future Work
- To explore the types of relations represented in OSM for four large European cities.
- To investigate the similarities between the implementation of relations and their representation in the four cities.
- To explore the research question: are the patterns of contribution, editing and tagging for relations similar to those observed by other researcher work on OSM nodes and ways?
5.1. Summary of Key Findings
- Composition of Relations: In our analysis, we found that relations composed of only way objects and relations composed of only node and way objects are by far the most frequently occurring composition arrangement for ways in all four cities. Much smaller, but not insignificant, numbers of relations are comprised of only node objects or only relation objects. More indepth analysis of the composition of relations is required to better understand the spatial and topological relationships they are trying to represent. Schultz et al. [45] conclude that the composition of relations, the spatial relations they represent and the tags associated with the relations could provide opportunities for applications such as the derivation of Land Cover classes from Land User map data. Mainzer et al. [46] present a new method to provide local decision makers with tools to assess the remaining (roof-mounted photovoltaic) PV potential within their respective communities. It allows highly detailed analyses without having to rely on 3D city models. OSM is used for the building footprint data. The authors estimate building size from the geographical area of ways relations with the building tag. However, their results are dependent upon accurate building tagging of ways and relations. It can also be assumed that the topological validity of relations would also need to be investigated to ensure that an accurate estimate of building footprint area was being calculated.
- Membership Size of Relations: The distribution of membership size of relations is very heavily skewed towards relations with 10 members or less. We describe in Section 4.2.3 that over 70% of relations in all cities have 10 members or fewer. The tendency towards smaller relations follows the advice of the OSM Wiki on maintaining relation objects with a manageable number of members. We did not find specific work reported in the literature related to the membership size of relations. We find that overall the number of members in relations appears relatively small. A wider sample of cities is required to establish if this is a general trend or pattern. Additionally, we feel that the membership size of relations could play an important role in assessing data quality variables such as completeness and coverage. The number of members within a relation may also have influence on any semantic interpretations extracted from these data
- Tagging on Relations: Over 85% of relations in all of our four cities have three tags or fewer. The two most frequently co-occurring tag keys with the type tag on relations are very consistently applied across the five most popular type tags in all of the cities. Tagging and the subsequent maintenance of tags on objects in OSM is a well studied problem. In Quattrone et al. [47] the authors find, in a global study of OSM Points-of-Interest objects that only a minority of POI types (fewer than 10% of all types) are actually being frequently maintained (for example tag edits) and that several hundreds of POI types receiving near zero maintenance instead. Bakillah et al. [48] sudy several major European cities. While they do not provide precise statistics, they remark that there is a lack of tagging observed on way objects representing highways in all of the cities investigated. In an extensive global analysis, Davidovic et al. [30] found that for 40 cities globally there was very often a very low number of tag keys used, with a mean of fewer than 2 (approximately 1.33) additional tags per object for way objects. In Schultz et al. [45], the authors consider which tags and relations in OSM can be used to create Land Use and Land Cover (LULC) classes from the Corine Landcover Classes. The authors convert ways and relations into polygons without mentioning specific characteristics of the relations involved. The focus is on the tags attached to the relations. With the available tags from relations, on OSM data from Germany, accurate LULC classes could be derived.
- Edit Frequency of Relations: We calculate the Age of relations as the number of days between the date of download and the current date timestamp on the relation itself. In all cities, a large number of relations are edited within the last few years. Rome and Madrid shows different distribution of the Age of relations. We see that the vast majority of relation objects in all four cities have between 1 and 10 edit versions. Authors such as Mooney and Corcoran [40] and Barron et al. [8] have drawn attention to heavily edited objects in OSM with specific focus on those objects with high version numbers. For example those objects with version number greater or equal to 15. Quattrone et al. [47] conclude from their global study of OSM that some maintenance actions, such as the addition of new tags to existing spatial objects, are much more frequent than other actions, such as the updating or the removal of existing tags. The distribution of version edit number towards lower version values on relations may indicate reluctance on the part of many contributors to edit relations within the OSM software. In their work on analysis of the history of OSM objects, Mooney and Corcoran [49] find that over 90% of objects in the their analysis have three or fewer versions. However this requires further investigation in regards to relations. The complexity of relation objects may also have a significant role to play in their actual editing by contributors. Efentakis et al. [50] argue that in the case of turn restrictions for navigation satellite imagery cannot testify to the existence of restrictions and contributing turning restrictions even for a single road to the OSM dataset may be extremely time-consuming.
- Relation Size: The size of relations refers to the number of members contained within the relation itself. In this respect, relations are different to OSM nodes and ways which are single self-contained objects. In our review of related work, we were unable to find other reported results dealing with the size of relations in OSM. Subsequently, as a first step, we decided to investigate the general distribution of relation sizes within the four cities. Eighty per cent of relations in Madrid, Vienna and Rome have 10 members or fewer. Figure 2 visualizes the distribution of membership size when we consider only relations with 10 or fewer members as a sample of the entire population of relations for each city in Section 4.2.3. Super relations (those with more than 300 members do exist in all of the cities in small numbers). Considering a wider definition of super relations to include those objects with more than 100 members these only account for between 5% and 8% of all relations in the cities. We feel that the size of a relation may, in some way, be related to its spatial complexity. Anecdotally, we speculate that relations of small size will not be representing complex spatial relationships or topologies. However, relation size along would not indicate the true nature of the complexity of the relation. It would also be necessary to consider the members themselves within the relation.
- Contributors to Relations: In the absence of a full analysis of the history of all edits to relations in each city it is difficult to draw robust conclusions about contribution patterns. However, it was observed that, in the current version of relations in the OSM database for the four cities, a small number of contributors are responsible for a considerable amount of the current version edits. At this stage of our work, it is difficult to accurately quantify the sociological factors most influencing the obtained results. In the paper we concentrated on an analysis of relations as geographical data objects without considering the geodemographics or socio-demographic of the case-study areas. Quattrone et al. [16] argue that over time the user base in crowdsourced geographic mapping projects changes across a variety of dimensions (e.g., size, demographics, expertise). There is also potential impact on the user base itself with the authors stating that “some users may lose interest, once they see certain object types have been completely mapped, or when they see ‘sufficient’ information being mapped”. Other studies (such as [51]) find that the majority of contributors to nodes and ways in OSM are undertaken by experienced contributors. Gröchenig et al. [51] find that less than 3% of all contributors in OSM have contributed to the project on more than 100 days.
5.2. Suggestions for Future Work
- From our reading of the OSM Wiki [25], more standardised documentation on relations on the OSM Wiki is required. At present, the information on the OSM Wiki is somewhat scattered and disorganized making it a little difficult to consume. We will consider making edits to these Wiki pages in the future.
- Visualisation of large relations: Visualisation or rendering of many relations with a large number of members is a difficult computational task. This task often times out on the OSM website. The reasons for this are related to the complex nature of large relations which also contains relations themselves. The rendering of these types of relations in real-time is computationally difficult.
- Understanding the complexity of relations: As we discussed above, it is a difficult task to effectively assess and understand the type of spatial and topological relationships which are being represented by a relation in OSM. Membership size of relations could be a useful high level indicator. For example, relations with more members have more spatial and/or topological complexity. However, we believe, further work is required in developing approaches or methodologies to quantitatively assess the complexity of the spatial relations or topological relations expressed by a relation in OSM. This type of work would allow researchers and OSM experts to better assess the situations within OSM where relations are needed.
- Contributors and Relations in OSM: In this paper, we have only considered the current version of all of the relations in the four case-study cities. Researchers [35] have considered longitudinal analysis of the contributors to OSM for ways and nodes. A similar study into the history of edits to relations may indicate the characteristics of contributors to create and edit relations. Anecdotally, relations are only created and edited by more experienced contributors to OSM. Are all contributors to OSM actually aware of relations? Efentakis et al. [50] uses the example of turn restrictions in OSM to state that most users are completely unaware of this type of tagging. Is it the case that only experienced OSM contributors actually work with relations and that the complexity of the relation data object is actually a barrier to wider contributions? Amongst others Mooney and Corcoran [35] show that in OSM the top 10% contributors (ranked by their quantity of contributions) perform over 90% of all object creations and edits. Within this top 10% there are what the authors call “isolated” contributors who appear to be working completely on their own without editing the work of other top contributors. Future work is required to investigate if these patterns are also visible within the contribution history on relations in OSM.
- Our analysis considered four European cities. An area for immediate future work would include extending this analysis to include more cities and regions with different sizes, populations, OSM communities, etc. The extension of the research in this paper could also include the full edit history of relations in case-study areas. The edit history for relations is also downloadable from the OSM Wiki. We are aware that our selection of cities for the case-studies are the result of personal selection. To indicate the presence of more general trends or patterns we will need to carefully select cities or urban areas based on their urban characteristics or OSM community structure. Ballatore et al. [52] emphasise the need to ensure that OSM analysis extends beyond the “typical Anglo-American bias”. They recommend that analysis considers a diverse set of national and regional OSM communities.
Acknowledgments
Author Contributions
Conflicts of Interest
References
- OSM Statistics. OpenStreetMap Daily Statistics. Available online: http://www.openstreetmap.org/stats/data_stats.html (accessed on 14 August 2017).
- OSM Wiki. Tags in OpenStreetMap. Available online: http://wiki.openstreetmap.org/wiki/Tags (accessed on 23 October 2017).
- JOSM. JOSM is an Extensible Editor for OpenStreetMap (OSM) for Java. Available online: https://josm.openstreetmap.de/ (accessed on 23 October 2017).
- Huber, S.; Rust, C. Osrmtime: Calculate travel time and distance with openstreetmap data using the open source routing machine (OSRM). Stata J. 2016, 16, 416–423. [Google Scholar]
- Graser, A.; Straub, M.; Dragaschnig, M. Towards an open source analysis toolbox for street network comparison: Indicators, tools and results of a comparison of OSM and the official Austrian reference graph. Trans. GIS 2014, 18, 510–526. [Google Scholar] [CrossRef]
- Krajzewicz, D.; Erdmann, J.; Behrisch, M.; Bieker, L. Recent development and applications of SUMO-Simulation of Urban MObility. Int. J. Adv. Syst. Meas. 2012, 5, 128–138. [Google Scholar]
- Köbben, B. WMS in a webmap page: Combining WMS and OpenStreetMap. In Proceedings of the SOMAP 2012 Symposium on Service-Oriented Mapping, Vienna, Austria, 22–23 November 2012. [Google Scholar]
- Barron, C.; Neis, P.; Zipf, A. A comprehensive framework for intrinsic OpenStreetMap quality analysis. Trans. GIS 2014, 18, 877–895. [Google Scholar] [CrossRef]
- Neis, P.; Goetz, M.; Zipf, A. Towards automatic vandalism detection in OpenStreetMap. ISPRS Int. J. Geo-Inf. 2012, 1, 315–332. [Google Scholar] [CrossRef]
- Eiter, T.; Schneider, P.; Simkus, M.; Xiao, G. Using OpenStreetMap data to create benchmarks for description logic reasoners. In Proceedings of the 3rd International Workshop on OWL Reasoner Evaluation (ORE 2014), Vienna, Austria, 13 July 2014. [Google Scholar]
- SUMO. Simulation of Urban MObility. Available online: http://sumo.dlr.de/wiki/Simulation_of_Urban_MObility_-_Wiki (accessed on 23 October 2017).
- Senaratne, H.; Mobasheri, A.; Ali, A.L.; Capineri, C.; Haklay, M.M. A review of volunteered geographic information quality assessment methods. Int. J. Geogr. Inf. Sci. 2017, 31, 139–167. [Google Scholar] [CrossRef]
- Capineri, C.; Haklay, M.; Huang, H.; Antoniou, V.; Kettunen, J.; Ostermann, F.; Purves, R. European Handbook of Crowdsourced Geographic Information; Ubiquity Press: London, UK, 2016. [Google Scholar]
- Harvey, F. To volunteer or to contribute locational information? Towards truth in labeling for crowdsourced geographic information. In Crowdsourcing Geographic Knowledge: Volunteered Geographic Information (VGI) in Theory and Practice; Sui, D., Elwood, S., Goodchild, M., Eds.; Springer: Dordrecht, The Netherlands, 2013; pp. 31–42. [Google Scholar]
- Quattrone, G.; Mashhadi, A.; Quercia, D.; Smith-Clarke, C.; Capra, L. Modelling growth of urban crowd-sourced information. In Proceedings of the 7th ACM International Conference on Web Search and Data Mining, New York, NY, USA, 24–28 February 2014. [Google Scholar]
- Quattrone, G.; Capra, L.; De Meo, P. There’s no such thing as the perfect map: Quantifying bias in spatial crowd-sourcing datasets. In Proceedings of the 18th ACM Conference on Computer Supported Cooperative Work and Social Computing, Vancouver, BC, Canada, 14–18 March 2015. [Google Scholar]
- Hecht, B.J.; Stephens, M. A tale of cities: Urban biases in volunteered geographic information. ICWSM 2014, 14, 197–205. [Google Scholar]
- Spielman, S.E. Spatial collective intelligence? Credibility, accuracy, and volunteered geographic information. Cartogr. Geogr. Inf. Sci. 2014, 41, 115–124. [Google Scholar] [CrossRef] [PubMed]
- OSM RA. OpenStreetMap Relation Analyser Tool. Available online: http://ra.osmsurround.org/ (accessed on 23 October 2017).
- KeepRight. OpenStreetMap Keep Right. Available online: https://www.keepright.at/ (accessed on 23 October 2017).
- JOSM. The Java for OpenStreetMap Tool-High Level Concepts-Relations. Available online: http://josm.openstreetmap.de/wiki/Help/Concepts/Object#Relations (accessed on 23 October 2017).
- PostGIS. PostGIS: Spatial Database Extender for PostgreSQL Object-Relational Database. Available online: http://postgis.net/install/ (accessed on 23 October 2017).
- OSMConvert. Osmconvert: A Tool to Convert and Process OpenStreetMap Files. Available online: http://wiki.openstreetmap.org/wiki/Osmconvert (accessed on 23 October 2017).
- Osmosis. Osmosis Is a Command Line Java Application for Processing OSM Data. Available online: http://wiki.openstreetmap.org/wiki/Osmosis (accessed on 23 October 2017).
- OSM Wiki. The OpenStreetMap Wiki-Relations. Available online: http://wiki.openstreetmap.org/wiki/Relation (accessed on 23 October 2017).
- TagInfo. Relation Tagging Statistcs in the Global OpenStreetMap Database. Available online: https://taginfo.openstreetmap.org/relations (accessed on 23 October 2017).
- OSM Wiki. OpenStreetMap Relation Type-Public Transport. Available online: http://wiki.openstreetmap.org/wiki/Relation:public_transport (accessed on 23 October 2017).
- Zielstra, D.; Hochmair, H.H.; Neis, P. Assessing the effect of data imports on the completeness of OpenStreetMap—A United States case study. Trans. GIS 2013, 17, 315–334. [Google Scholar] [CrossRef]
- Ballatore, A.; Mooney, P. Conceptualising the geographic world: The dimensions of negotiation in crowdsourced cartography. Int. J. Geogr. Inf. Sci. 2015, 29, 2310–2327. [Google Scholar] [CrossRef]
- Davidovic, N.; Mooney, P.; Stoimenov, L.; Minghini, M. Tagging in volunteered geographic information: An analysis of tagging practices for cities and urban regions in OpenStreetMap. ISPRS Int. J. Geo-Inf. 2016, 5, 232. [Google Scholar] [CrossRef]
- Barrington-Leigh, C.; Millard-Ball, A. The world’s user-generated road map is more than 80% complete. PLoS ONE 2017, 12, e0180698. [Google Scholar] [CrossRef] [PubMed]
- Neis, P.; Zielstra, D. Recent developments and future trends in volunteered geographic information research: The case of OpenStreetMap. Future Internet 2014, 6, 76–106. [Google Scholar] [CrossRef]
- Neis, P.; Zipf, A. Analyzing the contributor activity of a volunteered geographic information project—The case of OpenStreetMap. ISPRS Int. J. Geo-Inf. 2012, 1, 146–165. [Google Scholar] [CrossRef]
- Neis, P.; Zielstra, D.; Zipf, A. Comparison of Volunteered geographic information data contributions and community development for selected world regions. Future Internet 2013, 5, 282–300. [Google Scholar] [CrossRef]
- Mooney, P.; Corcoran, P. Analysis of interaction and co-editing patterns amongst OpenStreetMap contributors. Trans. GIS 2014, 18, 633–659. [Google Scholar] [CrossRef]
- OSM Wiki. OpenStreetMap A Catalogue of All Bulk Imports into OpenStreetMap. Available online: http://wiki.openstreetmap.org/wiki/Import/Catalogue (accessed on 23 October 2017).
- Soden, R.; Palen, L. From Crowdsourced Mapping to Community Mapping: The Post-Earthquake Work of OpenStreetMap Haiti. In COOP 2014, Proceedings of the 11th International Conference on the Design of Cooperative Systems, Nice, France, 27–30 May 2014; Rossitto, C., Ciolfi, L., Martin, D., Conein, B., Eds.; Springer: Cham, Switzerland, 2014; pp. 311–326. [Google Scholar]
- Poiani, T.H.; dos Santos Rocha, R.; Degrossi, L.C.; de Albuquerque, J.P. Potential of Collaborative mapping for disaster relief: A case study of OpenStreetMap in the Nepal Earthquake 2015. In Proceedings of the 2016 49th Hawaii International Conference on System Sciences (HICSS), Kauai, HI, USA, 5–8 January 2016; pp. 188–197. [Google Scholar]
- Jokar Arsanjani, J.; Helbich, M.; Bakillah, M.; Loos, L. The emergence and evolution of OpenStreetMap: A cellular automata approach. Int. J. Digit. Earth 2015, 8, 76–90. [Google Scholar] [CrossRef]
- Mooney, P.; Corcoran, P. Characteristics of heavily edited objects in OpenStreetMap. Future Internet 2012, 4, 285–305. [Google Scholar] [CrossRef]
- Haklay, M.; Basiouka, S.; Antoniou, V.; Ather, A. How many volunteers does it take to map an area well? The validity of Linus’ law to volunteered geographic information. Cartogr. J. 2010, 47, 315–322. [Google Scholar] [CrossRef]
- Bégin, D.; Devillers, R.; Roche, S. Assessing volunteered geographic information (VGI) quality based on contributors’ mapping behaviours. In Proceedings of the 8th International Symposium on Spatial Data Quality ISSDQ, Kowloon, Hong Kong, China, 30 May–1 June 2013; pp. 149–154. [Google Scholar]
- Budhathoki, N.R.; Haythornthwaite, C. Motivation for open collaboration: Crowd and community models and the case of OpenStreetMap. Am. Behav. Sci. 2013, 57, 548–575. [Google Scholar] [CrossRef]
- Dodge, M.; Kitchin, R. Crowdsourced cartography: Mapping experience and knowledge. Environ. Plan. A 2013, 45, 19–36. [Google Scholar] [CrossRef]
- Schultz, M.; Voss, J.; Auer, M.; Carter, S.; Zipf, A. Open land cover from OpenStreetMap and remote sensing. Int. J. Appl. Earth Obs. Geoinf. 2017, 63, 206–213. [Google Scholar] [CrossRef]
- Mainzer, K.; Killinger, S.; McKenna, R.; Fichtner, W. Assessment of rooftop photovoltaic potentials at the urban level using publicly available geodata and image recognition techniques. Sol. Energy 2017, 155, 561–573. [Google Scholar] [CrossRef]
- Quattrone, G.; Dittus, M.; Capra, L. Exploring maintenance practices in crowd-mapping. In Proceedings of the 27th ACM Conference on Hypertext and Social Media, Halifax, NS, Canada, 10–13 July 2016. [Google Scholar]
- Bakillah, M.; Mobasheri, A.; Rousell, A.; Hahmann, S.; Jokar, J.; Liang, S.H. Toward a collective tagging Android application for gathering accessibility-related geospatial data in European cities. In AGILE 2015: Geographic Information Science as an Enabler of Smarter Cities and Communities; Bacao, F., Santos, M.Y., Painho, M., Eds.; Springer: Cham, Switzerland, 2015. [Google Scholar]
- Mooney, P.; Corcoran, P. The annotation process in OpenStreetMap. Trans. GIS 2012, 16, 561–579. [Google Scholar] [CrossRef]
- Efentakis, A.; Grivas, N.; Pfoser, D.; Vassiliou, Y. Crowdsourcing turning-restrictions from map-matched trajectories. Inf. Syst. 2017, 64, 221–236. [Google Scholar] [CrossRef]
- Gröchenig, S.; Brunauer, R.; Rehrl, K. Digging into the history of VGI data-sets: Results from a worldwide study on OpenStreetMap mapping activity. J. Locat. Based Serv. 2014, 8, 198–210. [Google Scholar] [CrossRef]
- Ballatore, A.; Wilson, D.C.; Bertolotto, M. Computing the semantic similarity of geographic terms using volunteered lexical definitions. Int. J. Geogr. Inf. Sci. 2013, 27, 2099–2118. [Google Scholar] [CrossRef]





| Type | Zurich | Rome | Vienna | Madrid |
|---|---|---|---|---|
| Total Relations | 1855 | 13,226 | 9177 | 6403 |
| Area km2 | 88.10 | 1250 | 414.65 | 605.45 |
| restriction % | 28.46 | 26.33 | 11.27 | 24.99 |
| multipolygon % | 15.63 | 60.36 | 61.03 | 50.74 |
| route % | 21.99 | 7.89 | 14.10 | 13.93 |
| public_transport % | 14.12 | 0.95 | 4.16 | 0.92 |
| route_master % | 4.64 | 3.02 | 2.53 | 4.62 |
| Total % | 84.84 | 98.55 | 93.09 | 95.20 |
| CITY | N | W | R | N + W | W + R | N + R | N + W + R |
|---|---|---|---|---|---|---|---|
| Madrid # | 290 | 3519 | 288 | 2256 | 26 | 3 | 21 |
| Madrid % | 4.53 | 54.96 | 4.5 | 35.23 | 0.41 | 0.05 | 0.33 |
| Rome # | 76 | 8146 | 411 | 4576 | 10 | 3 | 4 |
| Rome % | 0.57 | 61.59 | 3.11 | 34.60 | 0.08 | 0.02 | 0.03 |
| Vienna # | 217 | 6073 | 251 | 2588 | 16 | 1 | 31 |
| Vienna % | 2.36 | 66.18 | 2.74 | 28.2 | 0.17 | 0.01 | 0.34 |
| Zurich # | 89 | 600 | 115 | 1015 | 5 | 1 | 30 |
| Zurich % | 4.8 | 32.35 | 6.2 | 54.72 | 0.27 | 0.05 | 1.62 |
| City | Multipolygon | Restriction | Route | Public Transport | Route Master |
|---|---|---|---|---|---|
| Madrid 1 | building | restriction | route | public_transport | network |
| Madrid 2 | addr:street | except | network | operator | route_master |
| Rome 1 | building | restriction | route | public_transport | route_master |
| Rome 2 | landuse | except | operator | operator | operator |
| Vienna 1 | building | restriction | route | public_transport | route_master |
| Vienna 2 | addr:street | except | network | operator | network |
| Zurich 1 | building | restriction | route | operator | operator |
| Zurich 2 | landuse | except | operator | public_transport | network |
© 2017 by the authors. Licensee MDPI, Basel, Switzerland. This article is an open access article distributed under the terms and conditions of the Creative Commons Attribution (CC BY) license (http://creativecommons.org/licenses/by/4.0/).
Share and Cite
Pruvost, H.; Mooney, P. Exploring Data Model Relations in OpenStreetMap. Future Internet 2017, 9, 70. https://doi.org/10.3390/fi9040070
Pruvost H, Mooney P. Exploring Data Model Relations in OpenStreetMap. Future Internet. 2017; 9(4):70. https://doi.org/10.3390/fi9040070
Chicago/Turabian StylePruvost, Hippolyte, and Peter Mooney. 2017. "Exploring Data Model Relations in OpenStreetMap" Future Internet 9, no. 4: 70. https://doi.org/10.3390/fi9040070
APA StylePruvost, H., & Mooney, P. (2017). Exploring Data Model Relations in OpenStreetMap. Future Internet, 9(4), 70. https://doi.org/10.3390/fi9040070

