Next Article in Journal
Adaptive Privacy-Preserving Insider Threat Detection Using Generative Sequence Models
Previous Article in Journal
The Design and Implementation of a Graph-Based P2P Data Storage Service
 
 
Font Type:
Arial Georgia Verdana
Font Size:
Aa Aa Aa
Line Spacing:
Column Width:
Background:
Article

Distributed Cooperative Spectrum Sensing via Push–Sum Consensus for Full-Duplex Cognitive Aerial Base Stations

Department of Information Engineering, University of Florence, Via di S. Marta, 3, 50139 Florence, Italy
*
Author to whom correspondence should be addressed.
Future Internet 2026, 18(1), 10; https://doi.org/10.3390/fi18010010
Submission received: 13 November 2025 / Revised: 18 December 2025 / Accepted: 24 December 2025 / Published: 26 December 2025

Abstract

The integration of terrestrial and aerial components in future wireless networks is a key enabler for achieving wide-area coverage and providing ubiquitous services. In this context, and with the goal of enhancing spectral efficiency through opportunistic spectrum reuse, this paper investigates a cooperative spectrum sensing approach in which cognitive UAVs equipped with full-duplex (FD) MIMO technology operate as aerial base stations (ABS). Each UAV performs local detection using the sphericity test, then a push–sum consensus protocol is employed to fuse local test statistics without relying on a fusion center. Unlike conventional unweighted consensus or centralized hard-decision fusion, the proposed approach accounts for the heterogeneity introduced by residual self-interference in FD transceivers. Specifically, multipath in the self-interference channel induces temporal correlation, increasing the variance of the local test statistic and, consequently, the false-alarm probability. To mitigate this effect, we design variance-aware consensus weights proportional to the inverse of the sphericity test variance enhancing robustness to RSI-induced variability. Numerical results demonstrate that the proposed scheme outperforms both unweighted consensus and centralized OR-rule fusion in user capacity, while maintaining negligible communication overhead. Moreover, the operational altitude of the UAVs is evaluated to balance the coverage provided to users and the primary signal detection capability.

1. Introduction

Ensuring ubiquitous, high–data-rate connectivity in challenging environments calls for advanced technologies and novel architectures in next-generation wireless networks. Among these, the integration of terrestrial and aerial nodes has emerged as a promising paradigm for achieving flexible and resilient mobile communication infrastructures. In particular, deploying unmanned aerial vehicles (UAVs) as aerial base stations (ABSs) enables the creation of dynamic wireless topologies [1,2,3]. The intrinsic line-of-sight (LoS) capability of ABS links serves as a key enabler of seamless sky-to-ground connectivity, allowing them to handle sudden traffic peaks, extend coverage to remote areas, and ensure reliable communications during emergencies [4]. On the other hand, the exponentially increasing demand for higher data rates from the myriad of devices connected to 5G networks, together with the expected impact of numerous UAVs joining these networks, makes spectrum scarcity a critical issue. In UAV communication systems, the problem is worsened by the coexistence of multiple wireless protocols within the same frequency bands.
Therefore, the need for more efficient spectrum utilization has become crucial. Toward this end, cognitive radio (CR) represents a promising solution, where the key functionality is spectrum sensing (SS). SS enables secondary users (SUs) to monitor the radio spectrum and determine the occupancy of frequency channels by primary users (PUs). This capability allows SUs to opportunistically access frequency bands temporarily left vacant by PUs while avoiding harmful interference to them [5]. In particular, cognitive UAV communications have attracted significant attention as a means to dynamically exploit available spectrum and enable UAVs to coexist with terrestrial devices in shared frequency bands [6]. Several studies have investigated the integration of CR into UAV networks, including spectrum sharing via UAV-based secondary transmitters [7].
Cooperative spectrum sensing (CSS) naturally extends conventional spectrum sensing and has emerged as a key technique to enhance PU detection reliability by exploiting the spatial diversity of multiple collaborating SUs [8,9,10]. CSS enables a more accurate assessment of spectrum occupancy, particularly in UAV-assisted CR networks subject to multipath fading, shadowing, or the hidden node problem. CSS schemes are generally divided into two categories based on how cooperating CR users share sensing data within the network: centralized and distributed [11]. In centralized CSS (C-CSS), a fusion center (FC) collects local sensing results from all nodes. Although effective, these approaches can suffer from scalability limitations, vulnerability to single points of failure, and significant communication overhead, thereby motivating the development of more efficient cooperation strategies. For instance, recent work [8] introduces a cooperative scheme based on multiple mini-slots with a single UAV, which enhances cooperative gain and overall efficiency. In distributed cooperative spectrum sensing (D-CSS), nodes exchange local test statistics and reach a global decision, eliminating the need for a fusion center. Each node iteratively updates its decision based on its own statistic and those received from neighboring nodes until consensus is achieved [11].
Following this framework, we adopt a distributed consensus-based CSS approach in which each UAV, equipped with a multi-antenna (MIMO) system, employs the sphericity test (ST) as the local detector; consensus is realized via the push–sum protocol [12,13].
The ST is selected for its robustness to noise uncertainty, unlike the energy detector commonly used in previous CSS studies [8,14]. Moreover, for multiple-antenna receivers and in the most general case with no prior information about the PU signal, the ST is the GLRT-optimal detector [5]; consequently, it outperforms other eigenvalue-based tests, such as the max-to-min eigenvalue detector used in the UAV context [15].
Furthermore, we assume that all UAV–CR nodes are equipped with full-duplex (FD) transceivers. FD is a key enabler for next-generation networks: by allowing simultaneous transmission and reception over the same band, it can nearly double spectral efficiency [16]. When combined with the CR paradigm, FD supports concurrent sensing and transmission—particularly valuable for ABSs—so that continuous sensing during transmission lets SUs promptly detect PU activity and vacate the band to prevent interference, while immediately exploiting newly available spectrum [5,16,17,18]. However, FD transceivers are subject to self-interference (SI) arising from coupling between transmit and receive antennas. Although analog and digital cancellation techniques can significantly reduce SI, a residual self-interference (RSI) component remains, potentially degrading the reliability of spectrum sensing [16]. Specifically, in UAV scenarios, the multipath nature of the SI channel introduces temporal correlation in the RSI [2,19], which can increase the false-alarm probability and consequently degrade detection performance.
As a result, differences in self-interference suppression across UAVs yield varying RSI correlation levels, creating a heterogeneous scenario that complicates the reliable fusion of local statistics. To address this issue, we extend the weighted average consensus algorithm, originally proposed in [13] for energy detection, to the ST. The consensus weights are computed to be proportional to the inverse of the variance of the ST values obtained under the null hypothesis.
Finally, we formulate a multiobjective optimization problem to determine the optimal UAV altitude, balancing the interference experienced by users served by the ground base station (GBS) with the coverage requirements of those served by the ABS.
Numerical results for FD-MIMO ABSs in a dense urban scenario show that the proposed distributed weighted-consensus CSS—where UAVs exchange local ST values—outperforms both unweighted average consensus and centralized OR-rule hard fusion in user capacity. Moreover, the few iterations needed for convergence keep the communication overhead negligible, offering a clear advantage over centralized schemes.

Contributions

The contributions of this paper can be summarized as follows:
  • Adoption of the sphericity test as the local spectrum-sensing algorithm at each UAV, yielding GLRT-optimal detection in multi-antenna settings with no prior PU information.
  • Extension of weighted-consensus CSS to FD UAV networks by explicitly modeling RSI as a temporally correlated impairment. A model-free, variance-based weighting strategy is proposed, which naturally down-weights UAVs affected by stronger or more correlated RSI, estimated via an offline calibration procedure.
  • Design of a fully distributed RSI calibration procedure that periodically and autonomously acquires H 0 samples at the UAV operating location, without relying on external databases or prior RSI knowledge.
  • Demonstration that the proposed push–sum distributed CSS efficiently exploits spatial diversity in heterogeneous FD UAV networks, achieving fast convergence and robust performance under both structured (ring) and irregular (random) topologies.
  • Scalability analysis showing that the proposed scheme exhibits constant per-node computational complexity and sub-linear convergence behavior with respect to the swarm size.
  • Integration of the proposed sensing framework into a UAV altitude optimization problem that jointly accounts for PU protection and ground-user coverage.

2. System Model

We consider a swarm of K cognitive UAVs acting as ABSs to enhance the 5G coverage provided by a GBS in a dense urban environment. In such scenarios, the LoS links between the GBS and the UEs can be severely degraded or completely obstructed, particularly for UEs located within urban canyons. To overcome these coverage limitations, UAVs are deployed to establish reliable connectivity for UEs located in areas that are otherwise unreachable by conventional terrestrial infrastructure.
Each UAV is equipped with an FD-MIMO transceiver operating at 5.8 GHz. Both the UAVs and the GBS share the same frequency band. In accordance with the CR paradigm, the GBS acts as the PU, while the UAVs (i.e., ABSs) serve as SUs, opportunistically accessing the spectrum allocated to the PU.
In this context, UAVs may encounter the issue illustrated in Figure 1, commonly referred to in the literature as the hidden node problem. Specifically, U E 1 experiences an obstructed link to the GBS (i.e., the PU) but maintains a LoS connection with U 1 , ensuring its network connectivity. However, the opportunistic link established by U 1 reuses the frequency band allocated to the GBS for downlink transmissions to U E 2 , thereby causing harmful interference at U E 2 . This occurs because U 1 , operating as a stand-alone decision node, incorrectly identifies the GBS downlink band as idle due to building-induced blockage, which degrades its spectrum-sensing performance. Thus, the GBS behaves as a hidden node for U 1 .
This issue can be mitigated via CSS, wherein a set of K UAVs perform spectrum sensing from spatially diverse locations, thereby making the likelihood that all UAV–GBS links are simultaneously obstructed exceedingly low and leading to more reliable detection outcomes.
For instance, as illustrated in Figure 1, unlike U 1 , at least U 4 is positioned such that it can successfully detect the GBS signal in the band of interest. To leverage the sensing information collected by spatially distributed UAVs, two cooperative approaches can be adopted. The first, depicted in Figure 1a, corresponds to the centralized CSS (C-CSS) scheme. In this approach, UAVs transmit their local decisions to a designated BS, which functions as a FC. It is described in detail in Section 3 and used as the baseline for comparison. The second approach, referred to as distributed CSS (D-CSS) and illustrated in Figure 1b, is adopted in this paper. In this configuration, the UAVs are represented as the vertices of a connected communication graph, whose edges correspond to LoS links established according to proximity.
In both cases, we assume the set of K UAVs is randomly deployed within a specific range of distances from the GBS. Moreover, the UAVs operate at the same altitude.

2.1. Channel Model

To model both the signal from the GBS to the UAV (spectrum-sensing case) and the signal from the UAV to the ground user (coverage case), we adopt the widely used probabilistic air-to-ground (A2G) channel model [20]. Although the two links are technically A2G and ground-to-air (G2A), respectively, they are treated identically in the following without loss of generality.
The A2G channel can experience either LoS or NLoS conditions, depending on the UAV altitude and the surrounding environment. In particular, the elevation angle θ is a key parameter that affects several propagation characteristics [20]. The LoS probability between the UAV and the UE/GBS can be approximated by a modified sigmoid (S-curve) [20]:
P LoS ( θ ) = 1 1 + a 1 exp { b 1 ( θ a 1 ) } ,
where θ = 180 π arcsin h / d , with h the UAV altitude and d the slant distance between the UAV and the UE (or the GBS). The S-curve parameters a 1 and b 1 are environment dependent (e.g., urban, suburban, dense urban); typical dense urban values are a 1 = 12.08 and b 1 = 0.11 [20].

2.1.1. Large-Scale Fading

Radio signals transmitted by the ABSs or the GBS propagate in free space until reaching the urban environment, where they experience additional attenuation due to blockage and scattering, termed excessive path loss. The excessive path loss for LoS or NLoS conditions is modeled as an additive term to the free-space path loss (FSPL) [20,21]. Accordingly, letting B Bernoulli P LoS ( θ ) indicate the link state ( B = 1 for LoS, B = 0 for NLoS), the path loss can be written as
L ( d , θ ) = FSPL ( d ) + η NLoS + B η LoS η NLoS ,
where
FSPL ( d ) = 20 log 10 4 π d f c c ,
d is the slant distance, f c is the carrier frequency, and c is the speed of light. Moreover, η LoS and η NLoS denote the excessive path loss (in dB) under LoS and NLoS conditions, respectively, and are typically modeled as Gaussian random variables, η LoS N ( μ LoS , σ LoS 2 ) and η NLoS N ( μ NLoS , σ NLoS 2 ) [20].

2.1.2. Small-Scale Fading

To model small-scale fading on the A2G link, we adopt a mixed approach: NLoS links are modeled as Rayleigh fading (i.e., Rician with K R = 0 ), whereas LoS links follow a Rician distribution with a K R -factor (linear scale) that captures the relative strength of the LoS component with respect to scattered multipath. For consistency with the previous subsection, where the elevation angle was denoted by θ (in degrees), we define the radian-valued angle θ rad ( π / 180 ) θ . The Rician K-factor is modeled as a non-decreasing function of θ rad [22]: a larger θ rad implies a stronger LoS component and fewer multipath components, hence a higher K R . Accordingly, K R is minimal at θ rad = 0 and maximal at θ rad = π / 2 . We adopt the exponential model [23]
K R ( θ rad ) = a 3 exp b 3 θ rad ,
where a 3 = K R ( 0 ) and b 3 = 2 π ln K R ( π / 2 ) K R ( 0 ) are environment-dependent parameters chosen to match the desired end-point values.

2.1.3. GBS Vertical Lobe Model

The GBS array is down-tilted to serve ground UEs; therefore, a UAV at high elevation primarily receives energy radiated in the near-vertical direction, i.e., from vertical sidelobes. A conservative (worst-case) expression for the transmitted power in the vertical lobe is [24]
P lobe P tx + G max A V , array ,
where P tx is the GBS transmit power (dBm), G max is the composite (element × array) boresight gain (dBi), and A V , array is the vertical attenuation (in dB) of the radiated pattern relative to boresight in the near-vertical direction.
We model the vertical attenuation as the sum of the element vertical pattern attenuation and the array-factor sidelobe level:
A V , array = A V , elem + A AF , SL .
For a uniform 4 × 4 planar array (16 elements) with λ / 2 spacing and no taper, the first sidelobe level is approximately A AF , SL 13 dB , while typical 3GPP vertical sidelobe attenuation is A V , elem = SLA V = 30 dB [24]. For a medium-range 5G base station with a uniform 4 × 4 array, typical parameters are P tx = 38 dBm and G max = 15 dBi [24,25]. Hence, the transmitted power in the vertical lobe evaluates to
P lobe P tx + G max A V , elem + A AF , SL = 38 + 15 43 = 10 dBm .

2.1.4. Residual Self-Interference (RSI)

Since the UAV transceivers operate in FD mode, RSI must be taken into account. Although we assume negligible spatial correlation across the receive antennas—due to spatial whitening during a calibration phase [26]—the RSI remains temporally correlated because of the multipath SI channel and imperfect SI cancellation [5,19,26].
Time-domain whitening—needed to implement a constant false-alarm rate (CFAR) detector—is often impractical on UAV hardware; therefore, we model the RSI as temporally colored. A standard choice is the exponential-correlation model [27], which is equivalent to an AR(1) process with coefficient ρ . Accordingly, denoting by r ( n ) the RSI sample at one antenna, we have
r ( n ) = ρ r ( n 1 ) + e ( n ) , | ρ | < 1 , e ( n ) CN ( 0 , σ e 2 ) .
After spatial whitening, the RSI is spatially white but temporally colored, hence its autocorrelation is
R r ( τ ) E r ( n ) r ( n τ ) = σ r 2 ρ | τ | , τ Z ,
with stationary variance
σ r 2 = σ e 2 1 ρ 2 .
Stacking the N r antenna outputs yields r ( n ) C N r × 1 . Since the process is spatially white (post-whitening), its spatial covariance is
Σ r E r ( n ) r H ( n ) = σ r 2 I N r .

2.2. Multi-Antenna Spectrum Sensing

Consider an FD receiver with N r antennas. Let y i ( n ) denote the complex baseband sample at the i-th antenna and time n, and stack the antenna outputs as [28]
y ( n ) [ y 1 ( n ) , , y N r ( n ) ] T C N r × 1 .
Over a sensing interval of N snapshots and in the presence of FD-induced RSI, the multi-antenna spectrum sensing problem is cast as the binary hypothesis test [2,5]
H 0 : y ( n ) = r ( n ) + z ( n ) , n = 0 , , N 1 ,
H 1 : y ( n ) = g s ( n ) + r ( n ) + z ( n ) , n = 0 , , N 1 ,
where H 0 and H 1 denote, respectively, the absence and the presence of the PU signal.
We adopt a block-fading model in which the GBS–to–UAV channel vector g C N r × 1 is constant over the N snapshots and captures both large- and small-scale effects (Section 2.1.1 and Section 2.1.2). The PU waveform is modeled as s ( n ) CN ( 0 , σ s 2 ) , independent of interference and noise. The RSI r ( n ) follows the model in Section 2.1.4 and is spatially white after whitening (but temporally colored), while z ( n ) CN ( 0 , σ z 2 I N r ) denotes additive white Gaussian noise (AWGN).

2.3. Sphericity Test with RSI

Let Σ E { y ( n ) y H ( n ) } denote the spatial covariance of y ( n ) , and let Σ s denote the spatial covariance of the PU signal component g s ( n ) . Assuming the RSI is spatially white after whitening (Section 2.1.4), the hypotheses in (11)–(12) can be expressed in terms of spatial covariance as [28]
H 0 : Σ = σ 0 2 I N r , H 1 : Σ = Σ s + σ 0 2 I N r ,
where σ 0 2 σ r 2 + σ z 2 is the aggregate RSI+AWGN variance per antenna. Thus, under H 0 the covariance is spherical. Under H 1 ,
Σ s = E { g s ( n ) g H s ( n ) } = σ s 2 g g H ,
i.e., g s ( n ) lies in the one-dimensional subspace spanned by g , so Σ departs from sphericity. Collecting N vectors as in (10) into the observation matrix
Y = [ y ( 1 ) , y ( 2 ) , , y ( N ) ] C N r × N ,
we define the spatial sample covariance matrix (SCM) as [28]
S = 1 N Y Y H .
Without additional assumptions on Σ s beyond positive definiteness, the GLRT for testing H 0 vs. H 1 is the classical sphericity test based on S [2,5,28]:
T S ( Y ) = | S | 1 N r tr ( S ) N r H 1 H 0 ζ ,
where ζ is a threshold, | · | denotes the determinant, and tr ( · ) the trace.
Remark on RSI temporal correlation. 
Temporal correlation of r ( n ) induces dependence among the columns of Y , so S is not central Wishart with N degrees of freedom. This effectively reduces the number of independent snapshots to N < N , broadens the eigenvalue spread, and degrades detection performance (relative to temporally white interference).

3. Centralized-Based Sphericity Test

In centralized CSS, depicted in Figure 1a, each UAV performs local spectrum sensing and reports its result to FC, which aggregates the received information to decide on the presence of the PU. Centralized soft fusion exploits all available sensing information and can approach optimal performance, but it entails higher communication overhead. In contrast, hard-decision reporting minimizes overhead and is widely adopted in practice [11]. In the following, we introduce the centralized CSS schemes considered as performance baselines.

3.1. OR-Rule Hard Fusion

For comparison, we first consider a centralized scheme with hard-decision OR fusion, hereinafter denoted as OR-C-CSS. Each UAV k makes a local binary decision based on its sphericity test (ST) statistic:
D k = 1 , T S ( k ) ζ , 0 , T S ( k ) < ζ ,
and the FC applies a logical OR rule,
k = 1 K D k H 0 H 1 0 , i . e . , H 1 is declared if at least one D k = 1 .
Assuming possibly different local false-alarm probabilities P fa , k , the global false-alarm probability under OR fusion is given by
P ¯ fa OR = 1 k = 1 K 1 P fa , k .
In the identical-sensors case ( P fa , k = P fa ), this reduces to
P ¯ fa OR = 1 ( 1 P fa ) K .
Due to its simplicity and analytical tractability, the OR rule is used as the main hard-fusion baseline and is evaluated across all performance metrics.

3.2. Majority (K-out-of-N) Hard Fusion

In Majority hard fusion, the FC declares H 1 if at least K out of N UAVs report PU presence. Compared to the OR rule, Majority fusion is generally more robust to isolated unreliable sensors and is therefore considered as an additional centralized hard-decision baseline. In this work, its performance is assessed through ROC curves.

3.3. Centralized Soft Fusion

In centralized soft fusion, each UAV forwards its local sphericity test statistic T S ( k ) to a FC, which combines the received values to form a global decision. Two soft-fusion strategies are considered.
Equal-weight soft fusion combines the local statistics through simple averaging and represents the centralized counterpart of unweighted distributed consensus.
Weighted soft fusion assigns reliability weights to the local statistics, accounting for heterogeneous sensing quality, and represents an upper-performance benchmark corresponding to centralized access to soft information. By exploiting full soft information, centralized soft fusion can approach optimal performance; however, it requires reliable transmission of all sensing data to the FC and incurs significant communication overhead, scalability limitations, and latency constraints, particularly in UAV networks. For these reasons, centralized soft fusion is used here only as a reference benchmark and is evaluated via ROC curves.

4. Proposed Algorithm: Weighted Consensus via Push–Sum Distributed Sphericity Test

This section presents a consensus-based distributed implementation of the sphericity test, where each UAV performs local detection and collaboratively estimates the global test statistic without a fusion center. We first introduce the weighted consensus algorithm, which accounts for UAV heterogeneity caused by RSI and is referred to as weighted distributed CSS (W-D-CSS). The equal-weight case (all weights set to 1) is then described as a special case, referred to as EQ-D-CSS.
Each UAV k collects N temporal samples over N r antennas and computes the spatial SCM:
S k = 1 N n = 0 N 1 y k ( n ) y k H ( n ) ,
where y k ( n ) C N r is the received vector at UAV k at time n. The local sphericity test statistic at UAV k is
T S ( k ) = | S k | 1 N r tr ( S k ) N r .

4.1. Computation of Inverse-Variance Weights

We assume the availability of samples under H 0 (i.e., free of PU signals), for instance via idle subband selection using a geo-location database [29]. When such a database is not available, the following procedure can be adopted.

Availability of H 0 Samples

To obtain PU-free samples for RSI calibration without relying on external databases, each UAV employs a two-stage calibration procedure. Initially, UAVs operate in half-duplex (HD) mode to perform local spectrum sensing. When the sphericity test (possibly aided by distributed CSS) indicates the H 0 hypothesis—i.e., a PU-idle interval or negligible PU power—the UAV switches to FD operation using the same RF configuration as in normal transmission. In this case, the received signal is dominated by RSI and noise, providing suitable H 0 samples under FD conditions.
From the numerical results in Section 5, we observe that reliable estimation of the empirical variance of the local sphericity statistic requires on the order of 10 4 H 0 samples. These can be obtained by periodically collecting approximately 100 sensing frames with N = 10 3 samples each. Assuming a receiver bandwidth of 100 MHz, this corresponds to a sensing window of about 50 μs, which is negligible compared to typical frame durations. Idle intervals of this duration are reasonably expected in practical PU traffic patterns, making the proposed calibration procedure feasible in realistic deployments.
UAVs declaring H 1 during HD operation automatically defer the calibration phase until a new PU-idle interval is detected.
Consequently, each UAV k forms the empirical variance of its local statistic under H 0 , denoted v ^ k . To reduce sensitivity to outliers, we apply scalar shrinkage toward the network average
v ¯ = 1 K k = 1 K v ^ k , v ^ k sh = ( 1 ) v ^ k + v ¯ , [ 0 , 1 ] ,
with = 0.5 in our case. Preliminary inverse-variance weights are then
w ˜ k = 1 v ^ k sh + ε v ,
where ε v > 0 ensures numerical stability, and the normalized weights are
w k = w ˜ k j = 1 K w ˜ j , k = 1 , , K .
These w k encode the relative reliability of each UAV’s local test.

4.2. Weighted Consensus via Push–Sum

To fuse the weighted local statistics across the network, we use a push–sum consensus protocol [12]. Initialize at each UAV k:
p k ( 0 ) = w k T S ( k ) , q k ( 0 ) = w k .
Let T S [ T S ( 1 ) , , T S ( K ) ] T , w [ w 1 , , w K ] T , and ⊙ denote the Hadamard product. In vector form:
p ( 0 ) = w T S , q ( 0 ) = w .
Information mixing among UAVs is performed using a circulant, column-stochastic matrix M R K × K , which averages each node with its two ring neighbors:
M = 1 3 I K + circshift ( I K , 1 ) + circshift ( I K , 1 ) .
Matrix M captures only the topology-induced averaging and does not alter the fixed reliability weights w k used in the weighted push–sum update. The ring topology is adopted as a baseline configuration for clarity and reproducibility; however, the proposed push–sum scheme does not require doubly stochastic mixing [12]. Robustness to irregular communication topologies is numerically assessed in Section 5.5.3.
At each iteration t,
p ( t + 1 ) = M p ( t ) , q ( t + 1 ) = M q ( t ) .
Since M is column-stochastic and the communication graph is connected, the push–sum updates ensure convergence of both sequences [12].
p ( ) = lim t p ( t ) = k = 1 K w k T S ( k ) 1 K K ,
q ( ) = lim t q ( t ) = k = 1 K w k 1 K K .
Here, 1 K R K denotes the all-ones column vector of length K. Thus, every UAV can compute the ratio
T w S = p k ( ) q k ( ) = k = 1 K w k T S ( k ) k = 1 K w k H 0 H 1 ζ ,
i.e., the global weighted average of the local statistics. The threshold ζ is set to meet the target false-alarm probability. The scheme attains network-wide consensus using only local exchanges, without a fusion center, and avoids raw-data sharing, keeping overhead low.

4.3. Equal-Weight Consensus as a Special Case

When all UAVs are considered equally reliable ( w k = 1 for all k), initialization (in vector form) becomes
p ( 0 ) = T S , q ( 0 ) = 1 K .
The same updates,
p ( t + 1 ) = M p ( t ) , q ( t + 1 ) = M q ( t ) ,
converge to
p ( ) = lim t p ( t ) = 1 K k = 1 K T S ( k ) 1 K ,
q ( ) = lim t q ( t ) = 1 K .
so the ratio at any node equals the arithmetic mean [12]:
T eq S = p k ( ) q k ( ) = 1 K k = 1 K T S ( k ) H 0 H 1 ζ ,
with ζ chosen for the desired false-alarm probability. This equal-weight consensus serves as a baseline cooperative scheme where all UAV observations are treated as equally reliable.

4.4. Practical Considerations

4.4.1. Impact of UAV Mobility on Consensus

UAV mobility affects consensus mainly through time variations of the communication graph. Push–sum consensus is known to converge over time-varying graphs provided that the union of the graphs over sufficiently long time windows remains strongly connected. In the considered UAV scenario, the consensus time scale is short compared to the mobility time scale, so the topology can be reasonably assumed quasi-static within each sensing interval. When topology changes occur across frames, mobility primarily affects the convergence speed rather than the correctness of the final consensus value. Moreover, air-to-air (A2A) links are predominantly LoS and short-range, which improves link stability and mitigates topology disruptions due to motion.

4.4.2. Impact of Asynchrony and Packet Loss

The push–sum protocol naturally supports asynchronous operation and does not require global synchronization. As long as connectivity is preserved over time, asynchrony does not affect the final consensus value, but only results in a slower and more variable convergence rate [30].
Packet loss may affect convergence through mass-conservation violations; however, prior studies show that push–sum can tolerate occasional communication failures when connectivity is maintained on average [12]. In the considered UAV network, this impact is further mitigated by reliable LoS A2A links. Accordingly, packet loss and asynchrony mainly influence convergence speed rather than the final sensing decision, and ideal A2A links are assumed in this work to focus on sensing and consensus aspects.

4.4.3. Computational Complexity

Focusing on online operations, each UAV computes the local sphericity statistic once per sensing frame, with complexity O N r 2 N + N r 3 . Importantly, this cost is independent of the number of cooperating UAVs K. The computation of the consensus weights is performed offline and only when the UAV configuration changes significantly.
The distributed push–sum updates require only scalar multiplications and additions with neighboring nodes, resulting in O ( d ¯ ) operations per iteration, where d ¯ is the average node degree (typically d ¯ 3 ). As it will be shown in Section 5.5, the number of iterations required for convergence remains small ( I 20 ) and does not grow linearly with K, ensuring scalability. Overall, the dominant computational cost lies in the local sensing stage, while the distributed fusion stage involves only low-complexity scalar operations, making the proposed scheme suitable for real-time implementation on embedded UAV processors.

5. Numerical Results

In what follows, we present numerical results obtained via simulations to validate the effectiveness of the proposed weighted distributed scheme (W-D-CSS) against the distributed equal-weight baseline (EQ-D-CSS) and the centralized OR-fusion scheme (OR-C-CSS). In addition to the false-alarm and detection probabilities that typically characterize SS performance, we also consider UAV coverage and UE capacity. Consistent with the RSI model in Section 2.1.4, the AR(1) correlation parameter ρ is chosen to reflect realistic temporal correlation levels of RSI. Measurement results show that, after SI cancellation, the SI channel spans a wide range of Rician K-factors ( K F ), from multipath-dominated to LoS-dominated conditions [31]. Since stronger multipath components imply higher temporal correlation, we relate ρ to K F through the heuristic relation ρ ( K F ) = 1 / ( K F + 1 ) . Based on the empirical distribution of K F in [31], the values of ρ are selected according to representative percentiles of the K F distribution. Specifically, for K = 8 , we consider ρ = 0 and seven percentile-based values listed in Table 1; for K = 4 , ρ = 0 and the 5%, 30%, and 60% percentiles; and for K = 2 , ρ = 0 and a single intermediate value (the 30% percentile).
Noteworthy, the proposed method does not require explicit estimation of the AR(1) coefficient ρ . Consensus weights are computed from the empirical variance of the local sphericity test under H 0 , which implicitly captures the effects of RSI power and temporal correlation. As a result, the weighting strategy is model-free and robust to mismatches in the assumed correlation model. The AR(1) process is used only to emulate RSI correlation in simulations. The main simulation parameters are depicted in Table 2.

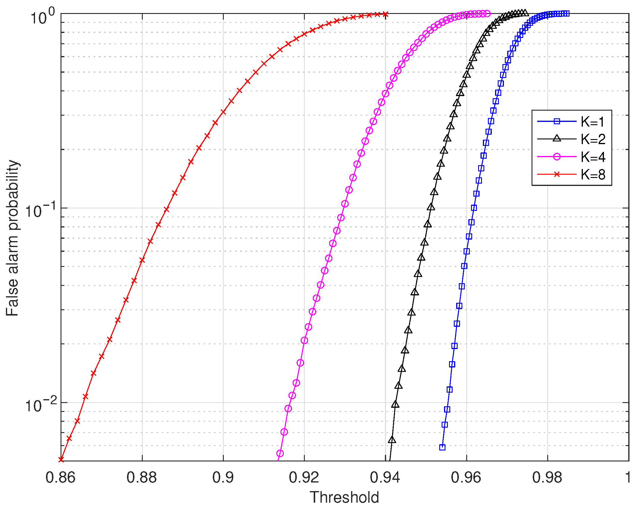
5.1. False Alarm Probability

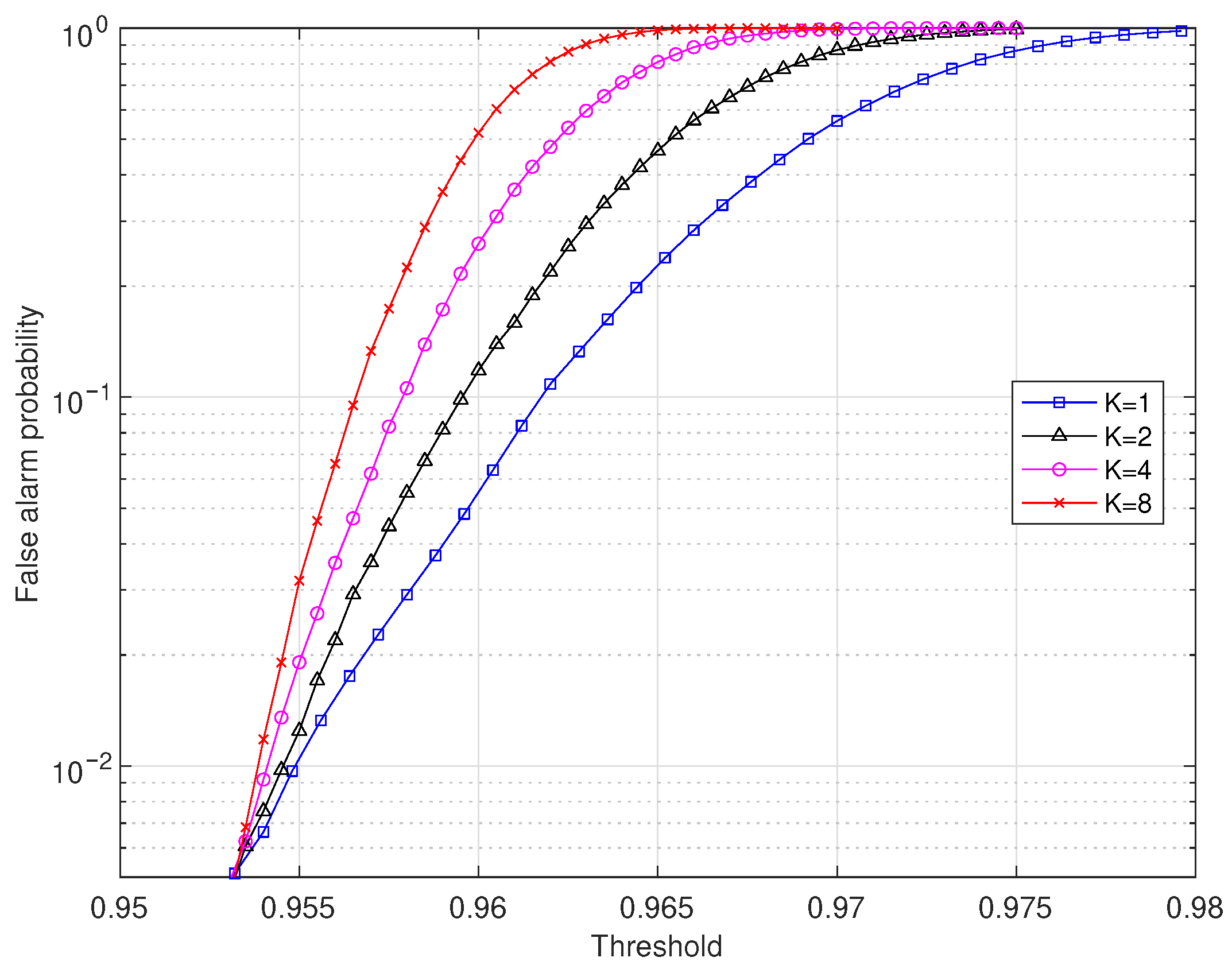
We begin our analysis by determining the P f a as a function of the detection threshold, varying the number of cooperating UAVs, K, along with the correlation degree of the RSI of each UAV. Figure 2 shows the false-alarm probability P fa versus the detection threshold ζ for the proposed W-D-CSS scheme, for different numbers of cooperating UAVs K. From the decision rule in (15) increasing ζ naturally increases P fa . At relatively low thresholds, the weighting scheme emphasizes more reliable UAVs (those with smaller empirical variance of the local statistic under H 0 ), so the consensus averaging effect dominates and P fa remains low. As ζ increases, the influence of higher-variance nodes becomes more pronounced; although weighting mitigates this, the variance of the fused statistic grows, yielding higher P fa at larger thresholds.
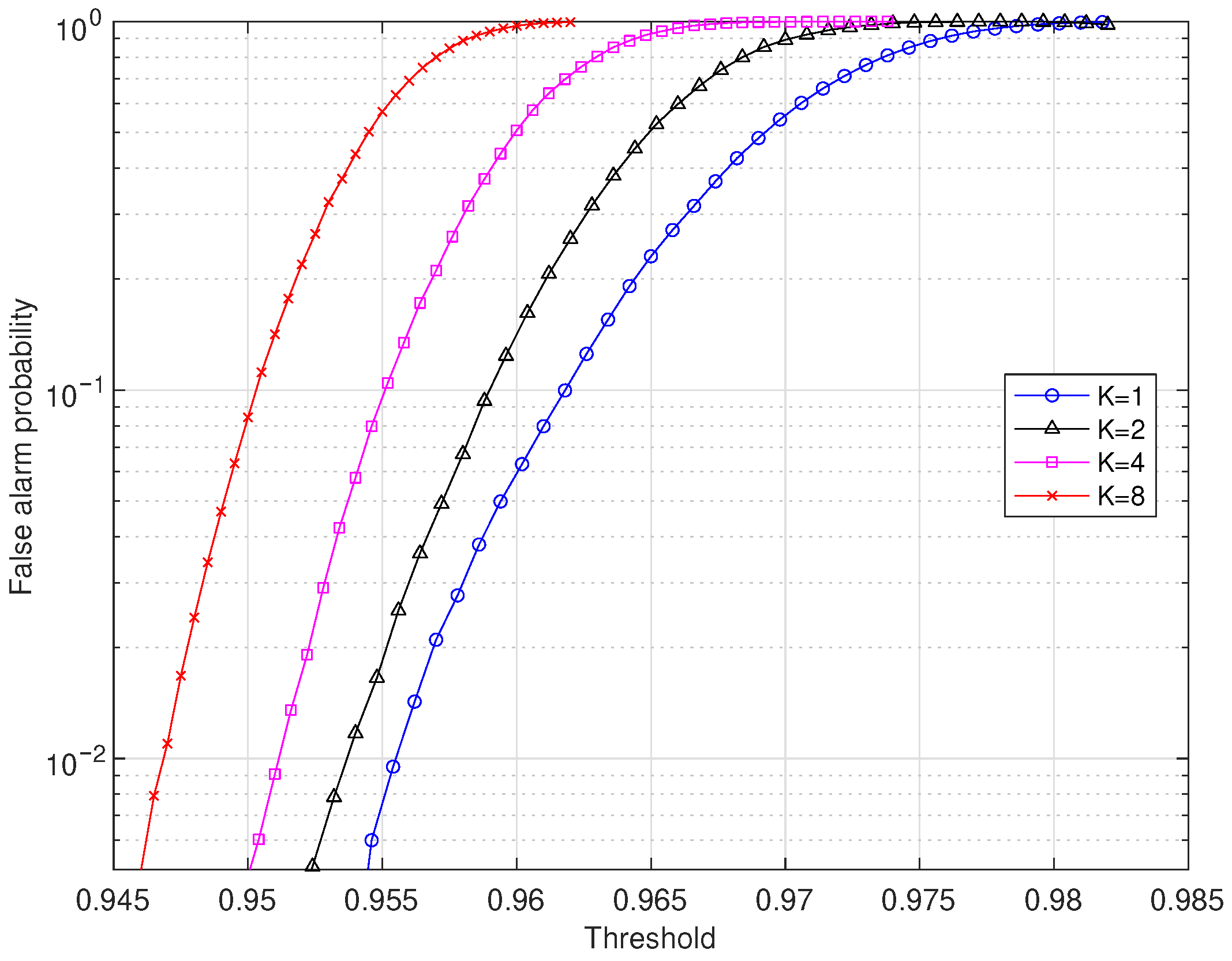
Similarly, Figure 3 and Figure 4 show P fa versus the detection threshold as the number of UAVs K varies for the benchmark schemes EQ-D-CSS and OR-C-CSS, respectively.
For EQ-D-CSS, consensus averaging partially mitigates the impact of temporal correlation, but, without weighting, high-variance nodes are not down-weighted. Thus, as K grows and more heterogeneous (more temporally correlated) UAVs are included, the reduction of P fa with ζ is less pronounced than with W-D-CSS. By contrast, in OR-C-CSS there is no averaging effect: for a fixed ζ , the global false-alarm probability increases markedly with K, as shown in Figure 4.

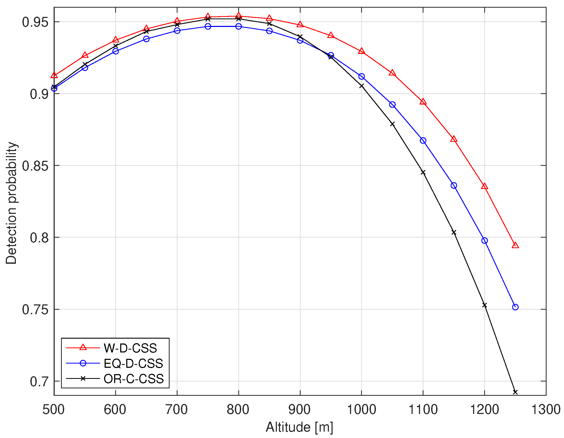
5.2. Joint GBS Detection and Ground-User Coverage Optimization over UAV Altitude

We evaluate the ability to detect the GBS signal at a fixed false-alarm probability P fa = 0.1 as a function of the UAV altitude. UAVs are randomly distributed around the GBS at a common altitude h; The horizontal UAV–GBS distance r is obtained from the slant distance d and the altitude h as r = d 2 h 2 , and is modeled as r U [ 0.5 , 1 ] km . The altitude h is swept as a parameter. Since altitude directly impacts the A2G pathloss and LoS probability, it also affects the detection probability, yielding an altitude that maximizes successful detection.
Figure 5 and Figure 6 show the detection probability versus altitude h for K = 4 and K = 8 cooperating UAVs, respectively. In both cases, the detection probability attains a maximum around h 0.8 km , due to the trade-off between increasing pathloss at higher altitudes and increasing LoS probability. Both figures highlight that W-D-CSS consistently outperforms EQ-D-CSS and OR-C-CSS, with the gap widening at higher altitudes (e.g., h 0.9 km ), where OR-C-CSS yields the lowest detection probability. Moreover, as K increases, all schemes improve, but the relative advantage of W-D-CSS becomes increasingly evident.
Since the UAVs are deployed to provide connectivity to ground UEs, we extend our analysis to jointly account for both coverage and SS capabilities. The ABS provides reliable service within the region where the received signal-to-noise ratio (SNR) exceeds a target threshold.
Following the approach in [20], we define the coverage radius as the maximum horizontal distance that ensures SNR 0 at the ground-user receiver in a dense urban environment. For a fixed SNR requirement and propagation conditions, this radius depends solely on the UAV altitude h, as illustrated in Figure 7.
In particular, Figure 7 shows that the coverage radius attains a maximum at h 1.7 km , due to the trade-off between the LoS probability, which increases with h and enhances the SNR, and the pathloss—which also increases with h and reduces the SNR [20].
The goal is to balance maximizing UE coverage with minimizing interference to UEs served by the GBS. To this end, we define an objective function as the weighted sum of the detection probability and the (normalized) coverage radius as functions of the UAV altitude:
h opt ( β , K ) = arg max h P d ( h , K ) + β R ( h ) ,
where P d ( h , K ) is the detection probability for K cooperating UAVs, R ( h ) [ 0 , 1 ] is the normalized coverage radius, and β > 0 balances the relative weight of detection and coverage. The optimal operating altitude of the UAV swarm is obtained via numerical simulation.
Figure 8 shows the optimal altitude for β = 0.5 , corresponding to an equal balance between detection and coverage, with larger K yielding higher values of the objective function. Overall, the joint optimization shifts the optimum between the detection optimum (around 0.8 km ) and the coverage optimum (around 1.7 km ), depending on β and K. In particular, for β = 0.5 the optimum is attained at h opt 1050 m for K = 4 and at h opt 1200 m for K = 8 .

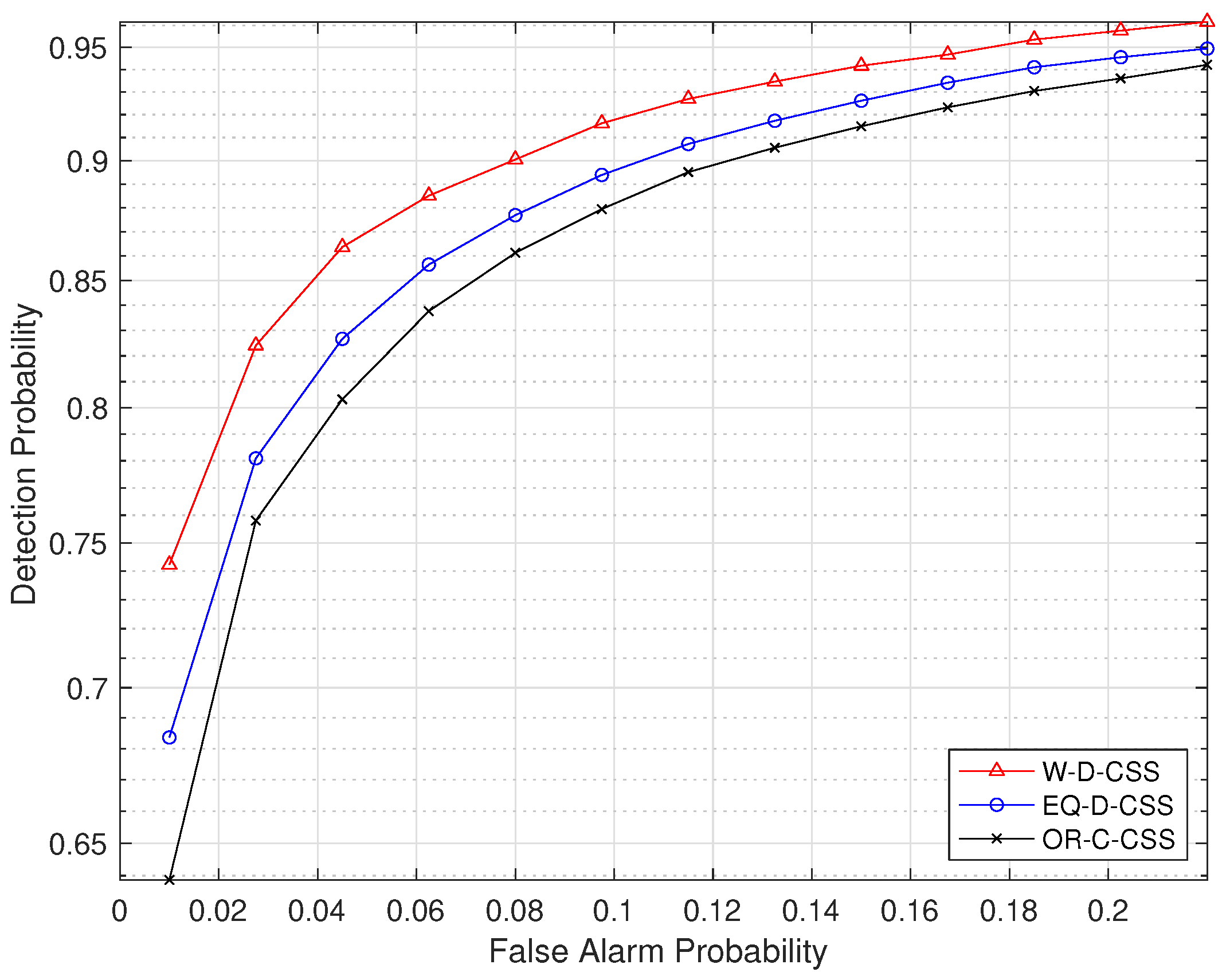
5.3. Receiver Operating Characteristic Curves

Using the previously obtained optimal altitude, we compute the Receiver Operating Characteristic (ROC) curves. The ROC illustrates the trade-off between detection and false-alarm probabilities: the former reflects protection of UEs served by the GBS, while the latter reflects avoiding missed transmission opportunities when the PU is idle.
Figure 9 and Figure 10 show P d versus P fa for K = 4 and K = 8 cooperating UAVs, respectively. In both cases, W-D-CSS consistently outperforms EQ-D-CSS and OR-C-CSS across the entire range of P fa , yielding higher P d at a given false-alarm level. EQ-D-CSS attains intermediate performance, whereas the centralized OR-C-CSS scheme yields the lowest detection probability.
Notably, Figure 10 shows that increasing K provides a significant performance gain for W-D-CSS due to spatial diversity. By contrast, increasing K does not yield a comparable gain for EQ-D-CSS or OR-C-CSS, since adding more UAVs also introduces nodes with higher RSI time-correlation coefficients ( ρ ) , whose impact is not adequately mitigated—unlike in W-D-CSS, where smaller weights are assigned to those higher-variance (higher- ρ ) nodes in the fused statistic.
These results confirm that W-D-CSS exploits cooperation diversity more effectively among UAVs affected by RSI with heterogeneous correlation levels. This enables operation at lower P fa —and thus larger communication capacity (see Section 5.4)—for a fixed level of protection of the PU receiver (i.e., a given P d ).

Comprehensive ROC Comparison

To provide a fair and complete performance comparison, Figure 11 reports the ROC curves of all considered centralized and distributed spectrum sensing schemes. In addition to the OR-rule hard fusion, which is evaluated across all metrics, we include Majority hard fusion and centralized soft fusion (both equal-weight and weighted) as stronger reference baselines. These schemes are shown only through ROC curves, as they primarily serve to benchmark detection performance and do not qualitatively alter the conclusions drawn from the OR-based results.
Indeed, centralized soft fusion represents an upper-performance benchmark, against which the proposed distributed soft-combining schemes can be directly compared.
Figure 11 shows that the proposed W-D-CSS achieves the highest detection probability across the entire false-alarm probability range, closely approaching centralized soft fusion (CW-CSS). Unweighted distributed consensus EQ-D-CSS also significantly outperforms hard-fusion rules, while Majority hard fusion performs worse than the OR rule due to heterogeneous local statistics induced by RSI.

5.4. Capacity of Ground UEs Served by an ABS

From the ROC analysis, we evaluate the performance in terms of the capacity of UEs served by the ABS. Assuming a high level of protection with P d 1 , the normalized capacity is
C ¯ δ π 0 1 P fa log 2 1 + γ c ,
where π 0 is the PU idle probability, γ c is the SNR at the UE, and δ represents the fraction of frame time available for data transmission (i.e., excluding cooperation/reporting overhead).
In centralized CSS, each of the K UAVs transmits its local sensing result to a DC within each sensing frame. Let T tx denote the airtime required to transmit one such report; the total reporting time therefore scales approximately as K T tx . In contrast, in distributed CSS, cooperation is achieved through an iterative consensus process, where each iteration consists of a short message exchange among neighboring UAVs. Let T iter denote the duration of one neighbor-exchange iteration and I the number of iterations required for convergence; the resulting cooperation time is then I T iter .
Since centralized CSS requires sequential reporting from all UAVs to the FC, whereas distributed consensus relies on a fixed number of short, localized exchanges, it is natural to compare the two approaches in terms of their overall communication time. In practice, the total convergence time of the distributed scheme, I T iter , is expected to be no larger than the aggregate reporting time K T tx required by centralized CSS. To obtain a conservative, worst-case comparison in the simulations, we therefore assume I T iter K T tx , and adopt a fixed data-time fraction δ = 0.9 , following [32].
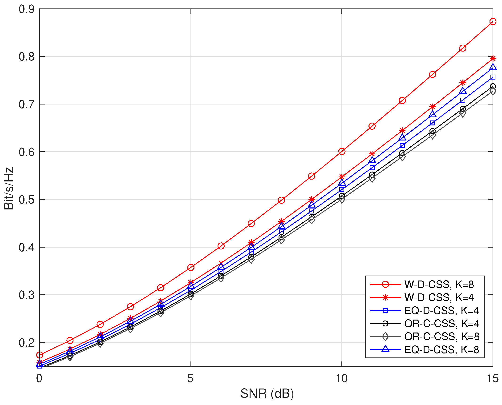
Figure 12 plots the normalized capacity (bits/s/Hz) versus the received SNR for the three schemes of CSS for K { 4 , 8 } cooperating UAVs, assuming π 0 = 0.5 . W-D-CSS attains the highest capacity across all SNR values, with performance further improving as K increases from 4 to 8. EQ-D-CSS is slightly inferior to W-D-CSS but consistently outperforms OR-C-CSS. The centralized OR-C-CSS yields the lowest capacity, even for larger K, due to its higher false-alarm probability. Notably, for W-D-CSS, increasing K from 4 to 8 produces a clear upward shift of the curves (cooperation diversity gain), whereas this gain is limited for EQ-D-CSS and negligible for OR-C-CSS.

5.5. Convergence of the Distributed Algorithms

Finally, to provide further insight into performance, we evaluate the convergence behavior of both distributed schemes as a function of the number of iterations required to achieve consensus among the UAVs.
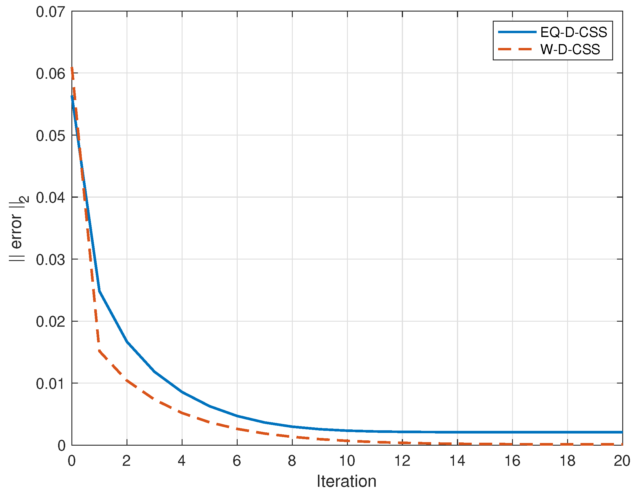
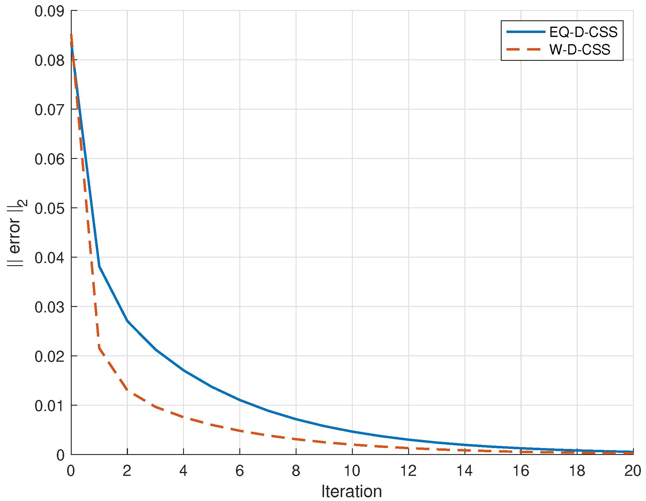
Specifically, Figure 13 shows the convergence error error 2 , defined as the 2 -norm of the difference between the consensus value held by each UAV at a given iteration and the final consensus value obtained after convergence of the push–sum algorithm, for K = 8 , comparing EQ-D-CSS and W-D-CSS. Both schemes converge within a few iterations; however, W-D-CSS exhibits a faster decrease of the error norm, confirming the benefit of weighting the UAVs’ local ST values according to the inverse of their variances. Figure 14 details the convergence steps of W-D-CSS, where the individual UAVs’ local ST values progressively align with the consensus value. After approximately 15 iterations, all nodes converge to a common value, demonstrating the stability and effectiveness of the weighted consensus process.

5.5.1. Communication Overhead

In the proposed distributed CSS, each UAV exchanges only two scalar values per the push–sum iteration. Using 32-bit floating-point representation, this corresponds to an 8-byte payload; including minimal protocol overhead, a packet size of L pkt 32–40 bytes is assumed. For the convergence observed in Figure 13, where approximately I 15 iterations are sufficient, the per-UAV communication overhead per sensing frame is approximately I · L pkt 600 bytes . At the network level, the total transmitted overhead of the distributed scheme scales as K · I · L pkt , yielding approximately 4.8 kB per sensing frame for K = 8 . In centralized CSS, each UAV transmits a single report per sensing frame; however, both communication traffic and processing are concentrated at the FC. By contrast, distributed CSS spreads the communication load evenly across UAVs, avoiding congestion and scalability bottlenecks at a single node.

5.5.2. Convergence Time

Since the convergence time of the distributed scheme is given by T conv = I T iter , assuming a realistic air-to-air LoS data rate in the range of 10–50 Mbps, transmitting a 40-byte packet requires approximately 0.006 0.02 ms. Accounting for medium-access and processing delays, a practical estimate is T iter 0.1 0.3 ms, leading to a total convergence time of roughly 1.5–4 ms for I 15 . This time is well below the 5G NR frame duration of 10 ms, ensuring that distributed sensing is completed within a single sensing frame and allowing reliable identification of PU-free frames during normal UAV operation. Overall, although distributed CSS incurs higher aggregate network traffic than centralized hard-decision fusion, the overhead is evenly distributed and avoids FC congestion.

5.5.3. Convergence Under Irregular Topologies

To verify robustness to network topology, we simulate an irregular communication graph with UAVs randomly deployed and links established via a distance-based proximity rule, ensuring strong connectivity, e.g., in Figure 15. The mixing matrix is constructed using the Metropolis-–Hastings rule, which is row-stochastic and applicable to arbitrary topologies.
Convergence behavior for the proposed W-D-CSS under this irregular topology is shown in Figure 16. The results confirm that the algorithm converges correctly and at a speed comparable to the ring topology, demonstrating its topology independence.

5.5.4. Scalability with Swarm Size

Figure 17 reports the number of push–sum iterations required to satisfy error 2 5 × 10 3 as a function of the swarm size K, averaged over 100 random network realizations. The convergence behavior does not scale monotonically with K, since it is mainly driven by the connectivity of the communication graph—i.e., the average node degree d ¯ —rather than by the swarm size itself. In random geometric graphs deployed over a fixed area, d ¯ may decrease for intermediate values of K, leading to slower convergence, whereas higher node densities for larger swarms improve connectivity and reduce the number of required iterations. From a computational perspective, the proposed scheme has constant per-node complexity, ensuring scalability, in contrast to centralized CSS schemes that incur O ( K ) processing at the fusion center.

5.6. Discussion and Sensitivity Analysis

We conclude this section with a brief discussion on the sensitivity of the proposed framework to key system parameters. We show that the number of cooperating UAVs mainly affects the convergence speed of the push–sum algorithm, while the final consensus value is preserved under graph connectivity. Heterogeneous RSI temporal correlation across UAVs ρ [0–0.9] increases the variance of local statistics but is effectively mitigated by the proposed variance-based weighting. The altitude optimization objective is smooth with respect to UAV height, indicating robustness to small deviations. Convergence is further validated under stochastic A2G propagation with LoS/NLoS transitions, random UAV topologies, and swarm sizes up to 32 nodes. Finally, we discuss that asynchrony primarily impacts convergence speed rather than correctness, and that assuming near-ideal A2A links is reasonable in LoS-dominated UAV scenarios.

6. Conclusions

This work proposes a distributed consensus-based spectrum sensing scheme for UAV swarms acting as cognitive aerial base stations equipped with MIMO full-duplex transceivers. By exploiting spatial diversity and applying a weighted consensus based on the inverse variance of the local sphericity statistics, the proposed method effectively mitigates the impact of heterogeneous residual self-interference across UAVs. Numerical results in dense-urban scenarios show that the proposed weighted consensus outperforms equal-weight consensus and centralized OR fusion, while achieving performance close to centralized soft fusion with significantly lower communication overhead. The scheme is shown to converge reliably under both structured and random communication topologies, with constant per-node computational complexity and favorable scalability as the swarm size increases. Finally, UAV altitude optimization is investigated to jointly account for coverage maximization and protection of terrestrial communication links.

Author Contributions

Conceptualization, A.T. and D.M.; methodology, software and validation and writing—original draft preparation A.T.; writing—review and editing, supervision, project administration, D.M. All authors have read and agreed to the published version of the manuscript.

Funding

This work was supported by European Union—Next Generation EU under the Italian National Recovery and Resilience Plan (NRRP), Mission 4, Component 2, Investment 1.3, CUP B83C22004870007, partnership on “Telecommunications of the Future” (PE00000001—program “RESTART”).

Data Availability Statement

No new data were created or analyzed in this study. Data sharing is not applicable to this article.

Conflicts of Interest

The authors declare no conflicts of interest.

References

  1. Gupta, A.; Gupta, S.K.; Rashid, M.; Khan, A.; Manjul, M. Unmanned aerial vehicles integrated HetNet for smart dense urban area. Trans. Emerg. Telecommun. Technol. 2022, 33, e4123. [Google Scholar]
  2. Tani, A.; Marabissi, D. Adaptive blind spectrum sensing for mmWave full duplex cognitive aerial BS. In Proceedings of the European Wireless 2023—28th European Wireless Conference, Rome, Italy, 2–4 October 2023; pp. 321–326. [Google Scholar]
  3. Dai, M.; Huang, N.; Wu, Y.; Gao, J.; Su, Z. Unmanned-aerial-vehicle-assisted wireless networks: Advancements, challenges, and solutions. IEEE Internet Things J. 2023, 10, 4117–4147. [Google Scholar] [CrossRef]
  4. Zhou, S.; Xiang, L.; Yang, K.; Wong, K.K.; Wu, D.O.; Chae, C.B. Beamforming-based achievable rate maximization in ISAC system for multi-UAV networking. arXiv 2025, arXiv:2507.21895. [Google Scholar]
  5. Tani, A.; Marabissi, D. Low-Complexity Adaptive Blind Spectrum Sensing for mmWave Full Duplex Cognitive Radio over Time-Varying Channels. IEEE Trans. Cogn. Commun. Netw. 2024, 11, 2303–2316. [Google Scholar] [CrossRef]
  6. Li, X.; Cheng, S.; Ding, H.; Pan, M.; Zhao, N. When UAVs meet cognitive radio: Offloading traffic under uncertain spectrum environment via deep reinforcement learning. IEEE Trans. Wireless Commun. 2023, 22, 824–838. [Google Scholar] [CrossRef]
  7. Wei, J.; Guo, Y.; Wang, H.; He, M.; Gu, J.; Lin, S.; Ding, G. UAV Covert Communications in Interweave Cognitive Radio Network. IEEE Trans. Cogn. Commun. Netw. 2026, 12, 1025–1038. [Google Scholar] [CrossRef]
  8. Liang, H.; Wu, J.; Liu, T.; Wang, H.; Cao, W. Efficient cooperative spectrum sensing in UAV-assisted cognitive wireless sensor networks. IEEE Sens. Lett. 2024, 8, 1–4. [Google Scholar] [CrossRef]
  9. Sboui, L.; Ghazzai, H.; Massoud, Y. Integrating Cognitive Radio MIMO UAVs in Cellular Networks for 5G and Beyond. In Proceedings of the 2022 International Conference on Electrical, Computer, Communications and Mechatronics Engineering (ICECCME), Malé, Maldives, 16–18 November 2022; pp. 1–6. [Google Scholar]
  10. Tani, A.; Chiti, F.; Fantacci, R.; Marabissi, D. Multi-cycle spectrum sensing for OFDM signals under cyclic frequency offsets in cognitive vehicular networks. IET Commun. 2020, 14, 2259–2269. [Google Scholar] [CrossRef]
  11. Wu, K.; Jiang, H.; Tellambura, C. Cooperative Sensing With Heterogeneous Spectrum Availability in Cognitive Radio. IEEE Trans. Cogn. Commun. Netw. 2022, 8, 31–46. [Google Scholar] [CrossRef]
  12. Rezaeinia, P.; Gharesifard, B.; Linder, T.; Touri, B. Push-Sum on Random Graphs: Almost Sure Convergence and Convergence Rate. IEEE Trans. Autom. Control 2020, 65, 1295–1302. [Google Scholar] [CrossRef]
  13. Zhang, W.; Guo, Y.; Liu, H.; Chen, Y.; Wang, Z.; Mitola, J., III. Distributed Consensus-Based Weight Design for Cooperative Spectrum Sensing. IEEE Trans. Parallel Distrib. Syst. 2015, 26, 54–64. [Google Scholar] [CrossRef]
  14. Zhang, H.; Da, X.; Hu, H. Multi-UAV cooperative spectrum sensing in cognitive UAV network. In Proceedings of the 5th International Conference on Communication and Information Processing, Chongqing, China, 15–17 November 2019; pp. 273–278. [Google Scholar]
  15. Moliya, R.; Patel, D.K.; López-Benítez, M.; Fakhrcddine, A. Optimizing UAV Deployment for Enhanced Detection Performance in Multi-UAV Cooperative Sensing. In Proceedings of the 2025 National Conference on Communications (NCC), New Delhi, India, 6–9 March 2025; pp. 1–6. [Google Scholar]
  16. Smida, B.; Wichman, R.; Kolodziej, K.E.; Suraweera, H.A.; Riihonen, T.; Sabharwal, A. In-Band Full-Duplex: The Physical Layer. Proc. IEEE 2024, 112, 433–462. [Google Scholar] [CrossRef]
  17. Sharma, S.K.; Bogale, T.E.; Le, L.B.; Chatzinotas, S.; Wang, X.; Ottersten, B. Dynamic spectrum sharing in 5G wireless networks with full-duplex technology: Recent advances and research challenges. IEEE Commun. Surv. Tutor. 2018, 20, 674–707. [Google Scholar] [CrossRef]
  18. Amjad, M.; Akhtar, F.; Rehmani, M.H.; Reisslein, M.; Umer, T. Full-duplex communication in cognitive radio networks: A survey. IEEE Commun. Surv. Tutor. 2017, 19, 2158–2191. [Google Scholar] [CrossRef]
  19. Tian, L.; Shi, C.; Xu, Z. Digital Self-Interference Cancellation for Full-Duplex UAV Communication System over Time-Varying Channels. Drones 2023, 7, 151. [Google Scholar] [CrossRef]
  20. Shakoor, S.; Kaleem, Z.; Do, D.-T.; Dobre, O.A.; Jamalipour, A. Joint optimization of UAV 3-D placement and path-loss factor for energy-efficient maximal coverage. IEEE Internet Things J. 2021, 8, 9776–9786. [Google Scholar] [CrossRef]
  21. Ding, R.; Gao, F.; Shen, X.S. 3D UAV trajectory design and frequency band allocation for energy-efficient and fair communication: A deep reinforcement learning approach. IEEE Trans. Wirel. Commun. 2020, 19, 7796–7809. [Google Scholar] [CrossRef]
  22. Azari, M.M.; Rosas, F.; Chen, K.-C.; Pollin, S. Ultra Reliable UAV Communication Using Altitude and Cooperation Diversity. IEEE Trans. Commun. 2018, 66, 330–344. [Google Scholar] [CrossRef]
  23. Kim, M.; Lee, J. Outage Probability of UAV Communications in the Presence of Interference. In Proceedings of the 2018 IEEE Global Communications Conference (GLOBECOM), Abu Dhabi, United Arab Emirates, 9–13 December 2018; pp. 1–6. [Google Scholar]
  24. 3GPP. Study on Channel Model for Frequencies from 0.5 to 100 GHz; 3GPP TR 38.901, v16.1.0, Release 16; ETSI: Sophia Antipolis, France, 2020. [Google Scholar]
  25. Farasat, M.; Thalakotuna, D.N.; Hu, Z.; Yang, Y. A Review on 5G Sub-6 GHz Base Station Antenna Design Challenges. Electronics 2021, 10, 2000. [Google Scholar] [CrossRef]
  26. Alexandris, K.; Balatsoukas-Stimming, A.; Burg, A. Measurement-based characterization of residual self-interference on a full-duplex MIMO testbed. In Proceedings of the 2014 IEEE 8th Sensor Array and Multichannel Signal Processing Workshop (SAM), A Coruna, Spain, 22–25 June 2014; pp. 329–332. [Google Scholar]
  27. Chen, A.Z.; Shi, Z.P.; Sun, G.; Liang, G.; Cui, D.; Xie, Y.; Long, Y. Multiantenna Spectrum Sensing for Correlated Signal in Spatially Correlated Noise Environments. IEEE Trans. Veh. Technol. 2022, 71, 6864–6869. [Google Scholar] [CrossRef]
  28. Taherpour, A.; Taherpour, A.; Khattab, T.; Wang, X. Large Array Antenna Spectrum Sensing in Cognitive Radio Networks. IEEE Trans. Cogn. Commun. Netw. 2025, 11, 1119–1132. [Google Scholar] [CrossRef]
  29. Chen, S.; Shen, B.; Wang, X.; Yoo, S.-J. Geo-Location Information Aided Spectrum Sensing in Cellular Cognitive Radio Networks. Sensors 2020, 20, 213. [Google Scholar] [CrossRef]
  30. Paschalidis, I.C.; Zhu, L.; Guo, D. Distributed averaging with packet losses. IEEE Trans. Autom. Control 2022, 67, 2412–2427. [Google Scholar]
  31. Duarte, M.; Dick, C.; Sabharwal, A. Experiment-Driven Characterization of Full-Duplex Wireless Systems. IEEE Trans. Wirel. Commun. 2012, 11, 4296–4307. [Google Scholar] [CrossRef]
  32. Zeng, T.; Semiari, O.; Mozaffari, M.; Chen, M.; Saad, W.; Bennis, M. Federated Learning in the Sky: Joint Power Allocation and Scheduling with UAV Swarms. In Proceedings of the 2020 IEEE International Conference on Communications (ICC), Dublin, Ireland, 7–11 June 2020; pp. 1–6. [Google Scholar]
Figure 1. Cooperative cognitive UAV swarm configurations: (a) Centralized cooperative cognitive UAV swarm with fusion center, K = 5 . (b) Distributed cooperative cognitive UAV swarm, K = 5 .
Figure 1. Cooperative cognitive UAV swarm configurations: (a) Centralized cooperative cognitive UAV swarm with fusion center, K = 5 . (b) Distributed cooperative cognitive UAV swarm, K = 5 .
Futureinternet 18 00010 g001
Figure 2. P fa vs. threshold ζ , for the W-D-CSS for different values of K.
Figure 2. P fa vs. threshold ζ , for the W-D-CSS for different values of K.
Futureinternet 18 00010 g002
Figure 3. P fa vs. threshold ζ for EQ-D-CSS for different values of K.
Figure 3. P fa vs. threshold ζ for EQ-D-CSS for different values of K.
Futureinternet 18 00010 g003
Figure 4. P fa vs. threshold ζ , for the OR-C-CSS for different values of K.
Figure 4. P fa vs. threshold ζ , for the OR-C-CSS for different values of K.
Futureinternet 18 00010 g004
Figure 5. Detection probability vs. h, K = 4 , P f a = 0.1 .
Figure 5. Detection probability vs. h, K = 4 , P f a = 0.1 .
Futureinternet 18 00010 g005
Figure 6. Detection probability vs. h, K = 8 , P f a = 0.1 .
Figure 6. Detection probability vs. h, K = 8 , P f a = 0.1 .
Futureinternet 18 00010 g006
Figure 7. Single UAV coverage radius vs. h, SNR r e q > 0 .
Figure 7. Single UAV coverage radius vs. h, SNR r e q > 0 .
Futureinternet 18 00010 g007
Figure 8. Objective function vs. altitude h, for K = 4 and K = 8 . Red squares denote the maxima.
Figure 8. Objective function vs. altitude h, for K = 4 and K = 8 . Red squares denote the maxima.
Futureinternet 18 00010 g008
Figure 9. ROC curves, K = 4, R 1000 m, h o p t = 1050 .
Figure 9. ROC curves, K = 4, R 1000 m, h o p t = 1050 .
Futureinternet 18 00010 g009
Figure 10. ROC curves, K = 8, R 1100 m, h o p t = 1200 m.
Figure 10. ROC curves, K = 8, R 1100 m, h o p t = 1200 m.
Futureinternet 18 00010 g010
Figure 11. ROC curves, for distributed and centralized hard- and soft-fusion CSS schemes K = 8, R 1100 m, h o p t = 1200 m.
Figure 11. ROC curves, for distributed and centralized hard- and soft-fusion CSS schemes K = 8, R 1100 m, h o p t = 1200 m.
Futureinternet 18 00010 g011
Figure 12. Normalized Capacity vs. SNR for various cooperative SS schemes, for P d 1 .
Figure 12. Normalized Capacity vs. SNR for various cooperative SS schemes, for P d 1 .
Futureinternet 18 00010 g012
Figure 13. Convergence Error, K = 8.
Figure 13. Convergence Error, K = 8.
Futureinternet 18 00010 g013
Figure 14. Convergence steps for the W-D-CSS.
Figure 14. Convergence steps for the W-D-CSS.
Futureinternet 18 00010 g014
Figure 15. A swarm of 8 UAVs randomly deployed.
Figure 15. A swarm of 8 UAVs randomly deployed.
Futureinternet 18 00010 g015
Figure 16. Convergence error for the W-D-CSS and EQ-D-CSS for the random topology of Figure 15.
Figure 16. Convergence error for the W-D-CSS and EQ-D-CSS for the random topology of Figure 15.
Futureinternet 18 00010 g016
Figure 17. Number of the push–sum iterations required to satisfy error 2 5 × 10 3 versus K.
Figure 17. Number of the push–sum iterations required to satisfy error 2 5 × 10 3 versus K.
Futureinternet 18 00010 g017
Table 1. Mapping between measured Rician K-factor percentiles and AR(1) correlation parameter ρ .
Table 1. Mapping between measured Rician K-factor percentiles and AR(1) correlation parameter ρ .
PercentileK-Factor (dB) ρ = 1 K lin + 1
75 % 7.53 0.15
60 % 3.68 0.30
45 % 0.87 0.45
30 % 1.76 0.60
15 % 3.68 0.70
10 % 6.02 0.80
5 % 9.54 0.90
Table 2. Simulation parameters (Dense Urban A2G model, f c = 5.8 GHz).
Table 2. Simulation parameters (Dense Urban A2G model, f c = 5.8 GHz).
ParameterValue
System parameters
Number of antennas ( N r )8
Samples per antenna (N) 10 3
GBS Tx power ( P t ) 38 dBm
Bandwidth (B) 100 MHz
RSI power ( σ r 2 ) 89 dBm
AWGN power ( σ w 2 ) 89 dBm
Altitude range (h)500–1500 m
Horizontal distance (r) U [ 0.5 , 1 ] km
Consensus iterations15
Channel parameters
LoS probability ( a 1 , b 1 ) ( 12.08 , 0.11 )
Excessive path-loss (LoS) μ LoS = 1.8 dB , σ LoS = 8.6 dB
Excessive path-loss (NLoS) μ NLoS = 26 dB , σ NLoS = 38.5 dB
Rician channel K R ( 0 ) = 1 , K R ( π / 2 ) = 15
Disclaimer/Publisher’s Note: The statements, opinions and data contained in all publications are solely those of the individual author(s) and contributor(s) and not of MDPI and/or the editor(s). MDPI and/or the editor(s) disclaim responsibility for any injury to people or property resulting from any ideas, methods, instructions or products referred to in the content.

Share and Cite

MDPI and ACS Style

Tani, A.; Marabissi, D. Distributed Cooperative Spectrum Sensing via Push–Sum Consensus for Full-Duplex Cognitive Aerial Base Stations. Future Internet 2026, 18, 10. https://doi.org/10.3390/fi18010010

AMA Style

Tani A, Marabissi D. Distributed Cooperative Spectrum Sensing via Push–Sum Consensus for Full-Duplex Cognitive Aerial Base Stations. Future Internet. 2026; 18(1):10. https://doi.org/10.3390/fi18010010

Chicago/Turabian Style

Tani, Andrea, and Dania Marabissi. 2026. "Distributed Cooperative Spectrum Sensing via Push–Sum Consensus for Full-Duplex Cognitive Aerial Base Stations" Future Internet 18, no. 1: 10. https://doi.org/10.3390/fi18010010

APA Style

Tani, A., & Marabissi, D. (2026). Distributed Cooperative Spectrum Sensing via Push–Sum Consensus for Full-Duplex Cognitive Aerial Base Stations. Future Internet, 18(1), 10. https://doi.org/10.3390/fi18010010

Note that from the first issue of 2016, this journal uses article numbers instead of page numbers. See further details here.

Article Metrics

Back to TopTop