A Multi-Tier Security Analysis of Official Car Management Apps for Android
Abstract
1. Introduction
2. Related Work
3. Methodology
| Manufacturer | App Name | Group | Examined App ver. | 
|---|---|---|---|
| Volvo | Volvo On Call [24] | AB Volvo | 4.6.16 | 
| BMW | BMW Connected [25] | BMW | 6.5.0.6411 | 
| BMW | My BMW [26] | BMW | 1.2.2 | 
| Mini Cooper | MINI Connected [27] | BMW | 6.5.0.6411 | 
| Mini Cooper | MINI [28] | BMW | 1.2.1 | 
| Mercedes-Benz | Mercedes me [29] | Daimler | 1.5.0 | 
| Alfa Romeo | My Alfa Connect [30] | FCA | 1.10.2 | 
| Fiat | FIAT [31] | FCA | 1.10.2 | 
| Jeep | My Uconnect [32] | FCA | 1.13.3 | 
| FCA | UConnect LIVE [33] | FCA | 2.2.17 | 
| Ferrari | MyFerrari [34] | Ferrari | 1.10.2 | 
| Ford | FordPass [35] | Ford | 3.14.0 | 
| Mitsubishi | MITSUBISHI Remote Control * [36] | Mitsubishi | 1.0.0 | 
| Mitsubishi | OUTLANDER PHEV Remote Ctrl * [37] | Mitsubishi | 3.1.1 | 
| Nissan | NissanConnect [38] | Nissan | 2.1.2 | 
| Citroën | My Citroën [39] | PSA | 1.26.1 | 
| DS | MyDS [40] | PSA | 1.26.2 | 
| Opel | myOpel [41] | PSA | 1.26.1 | 
| Peugeot | MYPEUGEOT [42] | PSA | 1.26.2 | 
| Jaguar | Jaguar InControl [43] | Tata | 1.81 | 
| Land Rover | Land Rover InControl [44] | Tata | 1.81 | 
| Tesla | Tesla [45] | Tesla | 3.10.9-433 | 
| Toyota | MyT [46] | Toyota | 3.16.1 | 
| Audi | myAudi [47] | VW | 3.10.1 | 
| Bentley | My Bentley [48] | VW | 4.0.1 | 
| Lamborghini | Lamborghini Unica [49] | VW | 4.2.21 | 
| Porsche | Porsche Connect [50] | VW | 3.7 | 
| Seat | SEAT CONNECT [51] | VW | 1.1.29 | 
| Skoda | MyŠKODA [52] | VW | 3.7.3 | 
| Skoda | ŠKODA Connect LITE [53] | VW | 2.1.9 | 
| Volkswagen | We Connect [54] | VW | 5.5.3 | 
4. High-Level Static Analysis
- P1: READ_CALENDAR allows an app to read the user’s calendar data.
- P2: WRITE_CALENDAR permits an app to write the user’s calendar data.
- P3: CAMERA grants access to the camera.
- P4: READ_CONTACTS allows the app to read the user’s contacts data.
- P5: WRITE_CONTACTS enables the app to write the user’s contacts data.
- P6: GET_ACCOUNTS allows access to the list of accounts in the Accounts Service, namely it offers access to the existing accounts on the user’s device.
- P7: ACCESS_FINE_LOCATION. This permission allows the app to access the precise location of the device via the use of GPS, WiFi, and mobile cell data. It is also required for some connectivity tasks, including connecting to nearby devices over Bluetooth Low Energy (BLE).
- P8: ACCESS_COARSE_LOCATION is potentially privacy-invasive as it allows the app to access the approximate location of the device through the use of either or both WiFi and mobile cell data.
- P9: READ_PHONE_STATE. This permission allows read-only access to phone state. This includes the current cellular network information, the status of any ongoing calls, and a list of any PhoneAccounts, i.e., apps which can place or receive a phone call, registered on the device.
- P10: CALL_PHONE allows an app to initiate a phone call without going through the dialer user interface for the user to confirm the call.
- P11: READ_EXTERNAL_STORAGE allows an app to read from external storage, such as an SD card.
- P12: WRITE_EXTERNAL_STORAGE permits an app to write to external storage.
- android/telephony/TelephonyManager;getNetworkOperator() returns the mobile country code (MCC) and mobile network code (MNC) of the current registered operator.
- android/telephony/TelephonyManager;getNetworkOperatorName() returns the alphabetic name of the current registered operator.
- android/telephony/TelephonyManager;getLine1Number() returns the phone number string for line 1, e.g., the Mobile Station International Subscriber Directory Number (MSISDN) for a GSM phone for a specific subscription. It requires at least one of the following permissions READ_PHONE_STATE, READ_SMS, or READ_PHONE_NUMBERS.
- android/telephony/TelephonyManager;getSimCountryIso() returns the SIM provider’s country code.
- android/telephony/TelephonyManager;getSimOperatorName() returns the service provider name.
- android/telephony/TelephonyManager;getCellLocation() returns the current location of the device and requires the ACCESS_FINE_LOCATION permission. This method was deprecated in Android v8.
- android/location/LocationManager;getLastKnownLocation() gets the last known (cashed) location, if any, from the given provider. It requires either the ACCESS_COARSE _LOCATION or ACCESS_FINE_LOCATION permission.
- android/location/LocationManager;requestLocationUpdates() is used to register for location updates from the given provider. It requires the same permission as the getLastKnownLocation() one.
- android/location/Location;getLatitude() and android/location/Location;getLongitude() API calls are used to obtain the latitude and longitude of the device, respectively.
- android/hardware/Camera;open() is used to access a particular hardware camera. It requires the CAMERA permission.
- android/hardware/camera2/CameraManager is system service manager for detecting, characterizing, and connecting to CameraDevice.
5. Low-Level Static Analysis
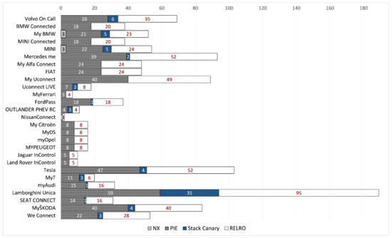
5.1. Signer Cert., APKiD, Network Security
5.2. CWEs
- CWE-250: It is known as “Execution with unnecessary privileges”. Typically, it means that the app may request root access privileges. Therefore, the app is potentially able to disable any security checks that will be performed by the Android operating system (OS), which resembles the case of having a rooted device. Three apps were found to be susceptible to this weakness.
- CWE-330: The “Use of insufficiently random values” vulnerability is related to the generation of predictable random values inside the app. This issue occurs if the app uses an insecure random number generator. In OWASP top 10 mobile risks list (OWASP-10), this weakness is placed in the fifth position, namely “insufficient cryptography”. Surprisingly, all the examined apps suffer from this weakness.
- CWE-276: This CWE, namely “Incorrect default permissions”, occurs if the app is granted unneeded read/write permissions. So, any affected file can be potentially read/written from anyone. With reference to OWASP-10, this weakness is classified under M2, namely, “insecure data storage”. As seen from Table 5, all apps were vulnerable to this weakness for at least one of the following reasons. The first, is related to the creation of a temp file, which may contain sensitive data. This is a major issue, since anyone can access folders that contain temp files, say, “/data/local/tmp/*”. The second pertains to the fact that the app requests (read/write) access to the external storage.
- CWE-532: This weakness, namely, “Insertion of sensitive information into log file”, emerges when a production app has enabled logging information to a file. While this feature may be helpful during the development stage of an app, it must be striped away before the app becomes publicly available. Put simply, an attacker could read these files and acquire any private information stored on them. All apps but one were vulnerable to this issue.
- CWE-312: It is known as “Cleartext storage of sensitive information”, and is classified as M9 in OWASP-10. Naturally, when sensitive information, say, a username and/or password, are stored in cleartext form, anyone can read them. In some cases, this information may be stored inside the code of the app, e.g., in a configuration file. As observed from Table 5, only four apps were immune to this weakness.
- CWE-89: This extremely dangerous weakness, titled “Improper neutralization of special elements used in an SQL command (’SQL Injection’)” is classified as M7 in OWASP-10. It occurs when the app does not sanitise or improperly sanitises input stemming from an upstream component, say, from a Web form for user authentication. All but four apps were found to be potentially vulnerable to this issue.
- CWE-327: It is referred to as “Use of a broken or risky cryptographic algorithm”, and it belongs to M5 (“Insufficient Cryptography”) of OWASP-10. This weakness relates to the usage of obsolete or risky encryption or hash algorithms. As seen in Table 5, all but two apps may potentially use at least one obsolete hash algorithm, namely MD5 or SHA-1, and nine of them support AES-ECB.
- CWE-295: This weakness titled “Improper certificate validation” is classified under M3 (“Insecure Communication”) in OWASP-10. This happens when the app is configured to trust an insecure or self-signed or any kind of certificate. As already mentioned, this situation may allow assailants to instigate MitM attacks. Two of the examined apps suffer from this weakness due to an insecure implementation of TLS.
- CWE-749: It is known as “Exposed dangerous method or function”, and it belongs to M1 (“Improper Platform Usage”) of OWASP-10. This weakness can weaponise several serious vulnerabilities, which each time depend on the underlying vulnerable function. Specifically, more than half (17) of the apps were found to offer an insecure WebView implementation. The latter is used to display web content as part of an activity layout. In presence of this weakness, an attacker could possibly mount a MitM attack or even execute a Cross Site Scripting (XSS) injection. For more details regarding this issue, the interested reader may refer to the “WebView” section of [66].
- CWE-919: This weakness titled “Weaknesses in Mobile Applications” is directly related to CWE-749. Both of them tackle the same issue, but for a different matter. In our case, we observed that nearly one-quarter (7) of the examined apps have enabled the remote WebView debugging. That is, debug mode must be disabled before deploying a production application, otherwise anyone who can access an unlocked mobile device can easily obtain the app’s data.
- CWE-780: This weakness is known as “Use of RSA Algorithm without OAEP”. It means that the software employs RSA without encompassing Optimal Asymmetric Encryption Padding (OAEP), which in turn might undermine the encryption. Specifically, OAEP is typically used with RSA (RSA-OAEP) for offering resistance against adaptive chosen ciphertext attacks. As seen in Table 5, only one app is susceptible to this weakness.
5.3. Tracker Analysis
- T1: AltBeacon [71] is a specification and open-source library for proximity beacon implementations. It is used to notify the app when a BLE beacon appears or disappears. Furthermore, it may allow Android devices to transmit beacons in the background. Exodus did not provide any category for this tracker. Nevertheless, through beaconing and geofencing technologies, an app can possibly acquire the location of users and target them with location-based ads [72]. So, we categorise this tracker as a location one.
- T2: Appdynamics [73] is a platform that enables one to monitor and analyse mobile device data. Exodus categorised this tracker as an analytics and profiling one.
- T3: Branch [74] is a mobile measurement and deep linking platform. According to Exodus, this tracker is categorised as analytics. However, among others, Branch collects the IP address of the device, and its fingerprint, including identity ID, hardware ID, brand, model, screen DPI and height.
- T4: LeanPlum [75] is self-defined as a multi-channel customer engagement platform. Based on the Exodus output, LeanPlum is able to use messaging, mobile automation of marketing, app personalization, A/B testing (also known as split testing), and analytics. Based on this, Exodus classifies Leanplum as an analytics, location, and profiling tracker. Furthermore, the privacy policy contained in the LeanPlum website is not clear on whether it also applies to their mobile tracker or not. Namely, the provided policy mentions that they can perform data sharing, do a third-party data collection, and gather personal information.
- T5: HockeyApp [76] is a subsidiary of Microsoft corporation. It is mainly used for building, testing, releasing, and monitoring apps, including the reporting of crash reports in real-time. Exodus categorised this tracker as crash reporter.
- T6: Demdex [77] is a solution for audience management and it is part of Adobe’s advertising ecosystem. According to [78], Demdex “captures behavioral data on behalf of Websites and advertisers and stores it in a ‘behavioral data bank’ ”. Exodus categorised Demdex as an analytics tracker, noting that it can perform “cross-device identification”, which is targeting users across different devices through profiling. Furthermore, it is able to apply “geotargeting and location-based targeting”, using different technologies, such as GPS, beacons, etc. Lastly, it can gather “Real-time geo- and location-based targeting” data from a running app.
- T7: Microsoft Visual Studio App Center Crashes [79] creates an automatic report, which includes any necessary information related to an app crash. When the user re-opens the app, this report is sent to the App Center. In this respect, this tracker is categorised as crash reporter.
- T8: Based on Exodus, Microsoft Visual Studio App Center Analytics “collects real-time analytics that highlight users behavior. It also provides push notifications to mobile devices”. This tracker is categorised as analytics.
- T9: Jumio [80] is an online identity and end-to-end ID identification tracker. It uses artificial intelligence technology to analyse and identify a user. To achieve this, it employs diverse methods, such as liveness detection, optical character recognition, face-based biometrics, etc.
- T10: Urbanairship [81] is an Android extension to the Google Analytics SDK.
- T11: Based on Exodus, Gigya [82] is an analytics tracker.
- T12: Facebook Share [83] enables the end-user to share a post through the app to the Facebook. It is categorised as an “ads” tracker. This is because the developer who possesses these information from the trackers, can provide personal ads using Facebook.
- T13: Facebook Login is a tracker which can provide the end-user with the Facebook login option. This tracker can be categorised as a profiling one.
- T14: Based on Exodus, Facebook Analytics is an analytics tracker.
- T15: Facebook Places is a geolocation tracker, which enables users to share their location from inside the app to the Facebook.
- T16: According to Exodus, Twitter MoPub [84] is an analytics and advertisement tracker. Actually, MoPub caters for a range of services, which can help a developer to publish personalised Twitter ads for targeting the right audience. Specifically, MoPub can aim specific advertisers, based on their highest offering price per ad and connect them to the publishers.
- T17: Salesforce Marketing Cloud [85] is a tracker destined to handle the communication step of marketing campaigns. It can manage audiences based on their mobile contacts and send targeted and personalised push notifications or email messages to the user of the mobile device. When a campaign is location-based, it can geofence and transmit beacon-based proximity marketing messages to its audience. It also tracks users engagement with the app using analytics. We categorised it as an adv and analytics one.
- T18: Adobe Experience Cloud [86] is an all-in-one cloud tool, which provides with a collection of solutions, regarding analytics, and advertising. We categorise this tracker as an analytics and ads one.
- T20: Splunk MINT [89] can be categorised as a analytics and crash reporter tracker. It collects different kinds of data, targeting the performance and usage of the app.
- T21: According to Exodus, Dynatrace [90] is an analytics tracker.
- T22: Batch [91] is categorised as an analytics and profiling tracker. Among others, it uses push-notifications and in-app notifications based on the end-user’s profile.
- T23: Based on Exodus, Adjust [92] is an analytics tracker, used primarily as a marketing tool.
- T24: Optimizely [93] is categorised as an analytics tracker. It can provide specialised tools regarding the marketing campaign of a vendor.
5.4. Manifest Analysis
5.5. Shared Library Analysis
5.6. Outdated Software Components Analysis
5.7. Taint Analysis
6. Dynamic Analysis
6.1. App Exploration
6.2. Discussion
7. Conclusions
Author Contributions
Funding
Data Availability Statement
Conflicts of Interest
Abbreviations
| API | Application Programming Interface | 
| APK | Android Application Package | 
| APKiD | Android Application Identifier | 
| App | Application | 
| BLE | Bluetooth Low Energy | 
| CAN | Controller Area Network | 
| CERT | Computer Emergency Response Team | 
| CVE | Common Vulnerabilities and Exposures | 
| CWE | Common Weakness Enumeration | 
| DoS | Denial of Service | 
| ELF | Executable and Linkable Format binary | 
| GDPR | General Data Protection Regulation | 
| GOT | Global Offset Table | 
| GRVA | Automated/Autonomous and Connected Vehicles | 
| GUI | Graphical User Interface | 
| IoT | Internet Of Things | 
| ITS | Intelligent Transportation System | 
| Jadx | Dex to Java decompiler | 
| JSSEC | |
| MitM | Man-in-the-Middle | 
| MobSF | Mobile Security Framework | 
| NDK | Android Native Development Kit | 
| NX | No-Execute | 
| OAEP | Optimal Asymmetric Encryption Padding | 
| OBD | On-Board Diagnostics | 
| OWASP | Open Web Application Security Project | 
| PIE | Position-Independent Executable | 
| PNG | Portable Network Graphics | 
| RELRO | Relocation Read-Only | 
| SaaS | Software as a Service | 
| SDK | Software Development Kit | 
| T&C | Terms and Conditions | 
| TLS | Transport Layer Security | 
| UN | United Nations | 
| UNECE | United Nations Economic Commission for Europe | 
| VIN | Vehicle Identification Number | 
| VW | Volkswagen Group | 
| XSS | Cross-Site Scripting | 
References
- Statista—The Statistics Portal for Market Data. Available online: https://www.statista.com/ (accessed on 20 February 2021).
- Almomani, I.M.; Khayer, A.A. A Comprehensive Analysis of the Android Permissions System. IEEE Access 2020, 8, 216671–216688. [Google Scholar] [CrossRef]
- Kato, N.; Murakami, Y.; Endo, T.; Nawa, K. Study on privacy setting acceptance of the drivers for the data utilization on the car. In Proceedings of the 14th Annual Conference on Privacy, Security and Trust—PST 2016, Auckland, New Zealand, 12–14 December 2016. [Google Scholar]
- Damopoulos, D.; Kambourakis, G.; Anagnostopoulos, M.; Gritzalis, S.; Park, J.H. User privacy and modern mobile services: Are they on the same path? Pers. Ubiquitous Comput. 2013, 17, 1437–1448. [Google Scholar] [CrossRef]
- Sadeghi, A.; Bagheri, H.; Garcia, J.; Malek, S. A Taxonomy and Qualitative Comparison of Program Analysis Techniques for Security Assessment of Android Software. IEEE Trans. Software Eng. 2017, 43, 492–530. [Google Scholar] [CrossRef]
- New European Consumer Survey on Connected Car Data and Privacy. Available online: https://otonomo.io/blog/new-european-consumer-survey-on-connected-car-data-and-privacy/ (accessed on 20 February 2021).
- Industry Report: The State of Autonomous & Connected Vehicles in 2019. Available online: https://www.automotive-iq.com/events-autonomousvehicles/downloads/the-autonomous-revolution-accelerated-industry-report-the-state-of-autonomous-connected-vehicles-in-2019 (accessed on 20 February 2021).
- Lamssaggad, A.; Benamar, N.; Hafid, A.S.; Msahli, M. A Survey on the Current Security Landscape of Intelligent Transportation Systems. IEEE Access 2021, 9, 9180–9208. [Google Scholar] [CrossRef]
- Mandal, A.K.; Cortesi, A.; Ferrara, P.; Panarotto, F.; Spoto, F. Vulnerability Analysis of Android Auto Infotainment Apps. In Proceedings of the 15th ACM International Conference on Computing Frontiers, Ischia, Italy, 8–10 May 2018. [Google Scholar]
- Android Auto. Available online: https://www.android.com/auto/ (accessed on 20 February 2021).
- Panarotto, F.; Cortesi, A.; Ferrara, P.; Mandal, A.; Spoto, F. Static Analysis of Android Apps Interaction with Automotive CAN; Springer International Publishing: New York, NY, USA, 2018; pp. 114–123. [Google Scholar]
- Wen, H.; Zhao, Q.; Chen, Q.A.; Lin, Z. Automated Cross-Platform Reverse Engineering of CAN Bus Commands From Mobile Apps. In Proceedings of the 27th Annual Network and Distributed System Security Symposium—NDSS Symposium 2020, San Diego, CA, USA, 23–26 February 2020. [Google Scholar]
- Schmittner, C.; Macher, G. Automotive Cybersecurity Standards—Relation and Overview. In Proceedings of the Computer Safety, Reliability, and Security— SAFECOMP 2019 Workshops, ASSURE, DECSoS, SASSUR, STRIVE, and WAISE, Turku, Finland, 10 September 2019. [Google Scholar]
- UNECE. Transport Section, Working Documents (February Session). Available online: https://www.unece.org/trans/main/wp29/wp29wgs/wp29grva/grva2020.html (accessed on 20 February 2021).
- UNECE. Cyber Security and Date Protection as well as Software Updates Proposal for a New UN Regulation on Uniform Provisions Concerning the Approval of Vehicles with Regard to Cyber Security and of Their Cybersecurity Management Systems. Available online: https://www.unece.org/fileadmin/DAM/trans/doc/2020/wp29grva/ECE-TRANS-WP29-GRVA-2020-02e.pdf (accessed on 20 February 2021).
- UNECE. Cyber Security and Date Protection as well as Software Updates Proposal for the 01 Series of Amendments to the New UN Regulation on Uniform Provisions Concerning the Approval of Vehicles with Regard to Cyber Security and of Cybersecurity Management Systems. Available online: https://www.unece.org/fileadmin/DAM/trans/doc/2020/wp29grva/ECE-TRANS-WP29-GRVA-2020-03e.pdf (accessed on 20 February 2021).
- UNECE. Proposal for Amendments to ECE/TRANS/WP.29/GRVA/2020/3, Draft New UN Regulation on Uniform Provisions Concerning the Approval of Vehicles with Regard to Cyber Security and of Their Cybersecurity Management Systems. Available online: https://www.unece.org/fileadmin/DAM/trans/doc/2020/wp29grva/GRVA-05-05r1e.pdf (accessed on 20 February 2021).
- UNECE. Proposal for a New UN Regulation on Uniform Provisions Concerning the Approval of Vehicles with Regard to Software Update Processes and of Software Update Management Systems. Available online: https://www.unece.org/fileadmin/DAM/trans/doc/2020/wp29grva/ECE-TRANS-WP29-GRVA-2020-04e.pdf (accessed on 20 February 2021).
- UNECE. Three Landmark UN Vehicle Regulations Enter into Force. Available online: https://unece.org/sustainable-development/press/three-landmark-un-vehicle-regulations-enter-force (accessed on 20 February 2021).
- Kouliaridis, V.; Kambourakis, G.; Geneiatakis, D.; Potha, N. Two Anatomists Are Better than One-Dual-Level Android Malware Detection. Symmetry 2020, 12, 1128. [Google Scholar] [CrossRef]
- Mobile Security Framework (MobSF). Available online: https://github.com/MobSF/Mobile-Security-Framework-MobSF (accessed on 20 February 2021).
- Ostorlab. Mobile Application Security & Privacy Scanner. Available online: https://www.ostorlab.co/ (accessed on 8 January 2021).
- OWASP Mobile Security Testing Guide. Available online: https://owasp.org/www-project-mobile-security-testing-guide/ (accessed on 20 February 2021).
- Volvo On Call. Available online: https://play.google.com/store/apps/details?id=se.volvo.vcc&hl=en&gl=US (accessed on 20 February 2021).
- BMW Connected. Available online: https://play.google.com/store/apps/details?id=de.bmw.connected.na&hl=en&gl=US (accessed on 20 February 2021).
- My BMW. Available online: https://play.google.com/store/apps/details?id=de.bmw.connected.mobile20.row&hl=en&gl=US (accessed on 20 February 2021).
- MINI Connected. Available online: https://play.google.com/store/apps/details?id=de.mini.connected.na&hl=en&gl=US (accessed on 20 February 2021).
- MINI. Available online: https://play.google.com/store/apps/details?id=de.mini.connected.mobile20.row (accessed on 20 February 2021).
- Mercedes Me. Available online: https://play.google.com/store/apps/details?id=com.daimler.ris.mercedesme.ece.android (accessed on 20 February 2021).
- Alfa Connect. Available online: https://play.google.com/store/apps/details?id=com.fca.alfaconnect&hl=en&gl=US (accessed on 20 February 2021).
- FIAT. Available online: https://play.google.com/store/apps/details?id=com.fca.myconnect.fiat&hl=en_US (accessed on 20 February 2021).
- My Uconnect. Available online: https://play.google.com/store/apps/details?id=com.fca.myconnect (accessed on 20 February 2021).
- Uconnect LIVE. Available online: https://play.google.com/store/apps/details?id=com.acn.uc (accessed on 20 February 2021).
- MyFerrari. Available online: https://play.google.com/store/apps/details?id=ferrari.ccp.mobile (accessed on 20 February 2021).
- FordPass. Available online: https://play.google.com/store/apps/details?id=com.ford.fordpasseu (accessed on 20 February 2021).
- MITSUBISHI Remote Control. Available online: https://play.google.com/store/apps/details?id=com.mitsubishi_motors.remote_ps (accessed on 20 February 2021).
- OUTLANDER PHEV Remote Ctrl. Available online: https://play.google.com/store/apps/details?id=com.inventec.iMobile2 (accessed on 20 February 2021).
- NissanConnect. Available online: https://play.google.com/store/apps/details?id=eu.nissan.nissanconnect.services (accessed on 20 February 2021).
- My Citroën. Available online: https://play.google.com/store/apps/details?id=com.psa.mym.mycitroen (accessed on 20 February 2021).
- MyDS. Available online: https://play.google.com/store/apps/details?id=com.psa.mym.myds (accessed on 20 February 2021).
- myOpel. Available online: https://play.google.com/store/apps/details?id=com.psa.mym.myopel (accessed on 20 February 2021).
- MYPEUGEOT. Available online: https://play.google.com/store/apps/details?id=com.psa.mym.mypeugeot (accessed on 20 February 2021).
- Jaguar InControl. Available online: https://play.google.com/store/apps/details?id=com.jaguar.incontrolremote (accessed on 20 February 2021).
- Land Rover InControl. Available online: https://play.google.com/store/apps/details?id=com.landrover.incontrolremote (accessed on 20 February 2021).
- Tesla. Available online: https://play.google.com/store/apps/details?id=com.teslamotors.tesla (accessed on 20 February 2021).
- MyT. Available online: https://play.google.com/store/apps/details?id=app.mytoyota.toyota.com.mytoyota (accessed on 20 February 2021).
- myAudi. Available online: https://play.google.com/store/apps/details?id=de.myaudi.mobile.assistant (accessed on 20 February 2021).
- My Bentley. Available online: https://play.google.com/store/apps/details?id=uk.co.bentley.mybentley (accessed on 20 February 2021).
- Lamborghini Unica. Available online: https://play.google.com/store/apps/details?id=lamborghini.connectedcar (accessed on 20 February 2021).
- Porsche Connect. Available online: https://play.google.com/store/apps/details?id=com.porsche.connect (accessed on 20 February 2021).
- SEAT CONNECT. Available online: https://play.google.com/store/apps/details?id=com.seat.connectedcar.mod2connectapp (accessed on 20 February 2021).
- MyŠKODA. Available online: https://play.google.com/store/apps/details?id=cz.skodaauto.connect (accessed on 20 February 2021).
- ŠKODA Connect LITE. Available online: https://play.google.com/store/apps/details?id=cz.skodaauto.connectlite (accessed on 20 February 2021).
- We Connect. Available online: https://play.google.com/store/apps/details?id=de.volkswagen.carnet.eu.eremote (accessed on 20 February 2021).
- Declare app permissions. Available online: https://developer.android.com/training/permissions/declaring (accessed on 20 February 2021).
- Android API permissions. Available online: https://developer.android.com/reference/android/Manifest.permission (accessed on 20 February 2021).
- skylot/jadx: Dex to Java decompiler—GitHub. Available online: https://github.com/skylot/jadx (accessed on 20 February 2021).
- Mabo, T.; Swar, B.; Aghili, S. A Vulnerability Study of Mhealth Chronic Disease Management (CDM) Applications (apps). In Proceedings of the WorldCIST’18—6th World Conference on Information Systems and Technologies, Naples, Italy, 27–29 March 2018. [Google Scholar]
- Imai, H.; Kanaoka, A. Chronological Analysis of Source Code Reuse Impact on Android Application Security. J. Inf. Process. 2019, 27, 603–612. [Google Scholar] [CrossRef]
- Research Results on SHA-1 Collisions. Available online: https://csrc.nist.gov/News/2017/Research-Results-on-SHA-1-Collisions (accessed on 20 February 2021).
- Janus CVE. Available online: https://nvd.nist.gov/vuln/detail/CVE-2017-13156 (accessed on 20 February 2021).
- Network security configuration. Available online: https://developer.android.com/training/articles/security-config (accessed on 20 February 2021).
- Android Application Identifier for Packers, Protectors, Obfuscators and Oddities—PEiD for Android. Available online: https://github.com/rednaga/APKiD (accessed on 20 February 2021).
- Duan, Y.; Zhang, M.; Bhaskar, A.V.; Yin, H.; Pan, X.; Li, T.; Wang, X.; Wang, X. Things You May Not Know About Android (Un)Packers: A Systematic Study based on Whole-System Emulation. In Proceedings of the 25th Annual Network and Distributed System Security Symposium, NDSS 2018, San Diego, CA, USA, 18–21 February 2018. [Google Scholar]
- 2020 CWE Top 25 Most Dangerous Software Weaknesses—CWE Mitre. Available online: https://cwe.mitre.org/top25/archive/2020/2020_cwe_top25.html (accessed on 20 February 2021).
- Google Official Developers Android Webpage - Security Tips. Available online: https://developer.android.com/training/articles/security-tips (accessed on 20 February 2021).
- Exodus Privacy. Available online: https://exodus-privacy.eu.org/en/ (accessed on 20 February 2021).
- Razaghpanah, A.; Nithyanand, R.; Vallina-Rodriguez, N.; Sundaresan, S.; Allman, M.; Kreibich, C.; Gill, P. Apps, Trackers, Privacy, and Regulators: A Global Study of the Mobile Tracking Ecosystem. In Proceedings of the 25th Annual Network and Distributed System Security Symposium, NDSS 2018, San Diego, CA, USA, 18–21 February 2018. [Google Scholar]
- Vallina-Rodriguez, N.; Sundaresan, S.; Razaghpanah, A.; Nithyanand, R.; Allman, M.; Kreibich, C.; Gill, P. Tracking the Trackers: Towards Understanding the Mobile Advertising and Tracking Ecosystem. arXiv 2016, arXiv:1609.07190. [Google Scholar]
- Liu, X.; Liu, J.; Zhu, S.; Wang, W.; Zhang, X. Privacy Risk Analysis and Mitigation of Analytics Libraries in the Android Ecosystem. IEEE Trans. Mob. Comput. 2020, 19, 1184–1199. [Google Scholar] [CrossRef]
- AltBeacon/Android-Beacon-Library. Available online: https://github.com/AltBeacon/android-beacon-library (accessed on 20 February 2021).
- Geofencing-Geo-Targeting-Beaconing. Available online: https://www.braze.com/blog/geofencing-geo-targeting-beaconing-when-to-use/ (accessed on 20 February 2021).
- AppDynamics: An APM solution. Available online: https://www.appdynamics.com/ (accessed on 20 February 2021).
- Branch—A mobile linking platform. Available online: https://branch.io/ (accessed on 20 February 2021).
- Leanplum. Available online: https://www.leanplum.com/ (accessed on 20 February 2021).
- HockeyApp. Available online: https://appcenter.ms/ (accessed on 20 February 2021).
- Demdex. Available online: https://www.adobe.com/analytics/audience-manager.html (accessed on 20 February 2021).
- Adobe Buys Behavioral Data Management Platform DemDex. Available online: https://techcrunch.com/2011/01/18/adobe-buys-behavioral-data-management-platform-demdex/ (accessed on 20 February 2021).
- Appcenter Android Crashes. Available online: https://docs.microsoft.com/en-us/appcenter/sdk/crashes/android (accessed on 20 February 2021).
- Jumio: End-to-End ID and Identity Verification Solution. Available online: https://www.jumio.com/ (accessed on 20 February 2021).
- Airship|Customer Engagement Platform. Available online: https://www.airship.com/ (accessed on 20 February 2021).
- Gigya|Customer Data Management. Available online: https://www.sap.com/products/crm/customer-data-management.htm (accessed on 20 February 2021).
- Android SDK—Facebook for Developers. Available online: https://developers.facebook.com/docs/android (accessed on 20 February 2021).
- MoPub: Powerful App Monetization. Available online: https://www.mopub.com/en (accessed on 20 February 2021).
- Salesforce: We Bring Companies and Customers Together. Available online: https://www.salesforce.com/products/marketing-cloud/overview/ (accessed on 20 February 2021).
- Adobe Experience Cloud. Available online: https://www.adobe.com/experience-cloud.html (accessed on 20 February 2021).
- Countly. Available online: https://count.ly/ (accessed on 20 February 2021).
- Countly Server Github. Available online: https://github.com/Countly/countly-server (accessed on 20 February 2021).
- Splunk MINT. Available online: https://mint.splunk.com/ (accessed on 20 February 2021).
- Dynatrace. Available online: https://www.dynatrace.com/ (accessed on 20 February 2021).
- Batch. Available online: https://batch.com/ (accessed on 20 February 2021).
- Adjust. Available online: https://www.adjust.com/ (accessed on 20 February 2021).
- Optimizely: The World’s Leading Digital Experience Platform. Available online: https://www.optimizely.com/ (accessed on 20 February 2021).
- App Manifest Overview|Android Developers. Available online: https://developer.android.com/guide/topics/manifest/manifest-intro (accessed on 20 February 2021).
- Compromising Android Applications with Intent Manipulation. Available online: https://www.trustwave.com/en-us/resources/blogs/spiderlabs-blog/compromising-android-applications-with-intent-manipulation/ (accessed on 20 February 2021).
- Understand Tasks and Back Stack|Android Developers. Available online: https://developer.android.com/guide/topics/manifest/activity-element#aff (accessed on 20 February 2021).
- Content Provider Basics|Android Developers. Available online: https://developer.android.com/guide/topics/providers/content-provider-basics (accessed on 20 February 2021).
- Launch Mode|Android Developers. Available online: https://developer.android.com/guide/topics/manifest/activity-element (accessed on 20 February 2021).
- Hwang, S.; Lee, S.; Ryu, S. All about activity injection: Threats, semantics, detection, and defense. Softw. Pract. Exp. 2020, 50, 1061–1086. [Google Scholar] [CrossRef]
- Google Official Developers Android Webpage—Android NDK. Available online: https://developer.android.com/ndk (accessed on 20 February 2021).
- Li, L.; Bissyandé, T.F.; Klein, J.; Traon, Y.L. An Investigation into the Use of Common Libraries in Android Apps. In Proceedings of the IEEE 23rd International Conference on Software Analysis, Evolution, and Reengineering, SANER 2016, Suita, Osaka, Japan, 14–18 March 2016; Volume 1, pp. 403–414. [Google Scholar] [CrossRef]
- Taylor, V.F.; Beresford, A.R.; Martinovic, I. Intra-Library Collusion: A Potential Privacy Nightmare on Smartphones. arXiv 2017, arXiv:1708.03520. [Google Scholar]
- Backes, M.; Bugiel, S.; Derr, E. Reliable Third-Party Library Detection in Android and its Security Applications. In Proceedings of the 2016 ACM SIGSAC Conference on Computer and Communications Security, Vienna, Austria, 24–28 October 2016. [Google Scholar]
- RELRO: RELocation Read-Only. Available online: https://medium.com/@HockeyInJune/relro-relocation-read-only-c8d0933faef3 (accessed on 20 February 2021).
- Derr, E.; Bugiel, S.; Fahl, S.; Acar, Y.; Backes, M. Keep me Updated: An Empirical Study of Third-Party Library Updatability on Android. In Proceedings of the 2017 ACM SIGSAC Conference on Computer and Communications Security, CCS 2017, Dallas, TX, USA, 30 October–3 November 2017. [Google Scholar]
- Salza, P.; Palomba, F.; Nucci, D.D.; D’Uva, C.; Lucia, A.D.; Ferrucci, F. Do developers update third-party libraries in mobile apps? In Proceedings of the 26th Conference on Program Comprehension, ICPC 2018, Gothenburg, Sweden, 27–28 May 2018. [Google Scholar]
- NVD NIST. Available online: https://nvd.nist.gov/ (accessed on 20 February 2021).
- SQLite. Available online: https://www.sqlite.org/index.html (accessed on 20 February 2021).
- OpenSSL. Available online: https://www.openssl.org/ (accessed on 20 February 2021).
- libpng. Available online: http://www.libpng.org/pub/png/libpng.html (accessed on 20 February 2021).
- openCV. Available online: https://opencv.org/ (accessed on 20 February 2021).
- jQuery. Available online: https://jquery.com/ (accessed on 20 February 2021).
- InAppBrowser. Available online: https://cordova.apache.org/docs/en/latest/reference/cordova-plugin-inappbrowser/index.html (accessed on 20 February 2021).
- zlib. Available online: https://zlib.net/ (accessed on 20 February 2021).
- libexpat. Available online: https://libexpat.github.io/ (accessed on 20 February 2021).
- libcurl. Available online: https://curl.se/libcurl/ (accessed on 20 February 2021).
- libjpeg. Available online: http://libjpeg.sourceforge.net/ (accessed on 20 February 2021).
- VIN Decoder - Decoding VIN numbers. Available online: https://www.vindecoder.pl/ (accessed on 20 February 2021).
- What Is Dataplug? Available online: https://www.john-clark.co.uk/volkswagen/latest-news/vw-data-plug/ (accessed on 20 February 2021).
- NIST Password Policy. Available online: https://pages.nist.gov/800-63-3/sp800-63b.html (accessed on 20 February 2021).
- Kambourakis, G.; Draper-Gil, G.; Sanchez, I. What Email Servers Can Tell to Johnny: An Empirical Study of Provider-to-Provider Email Security. IEEE Access 2020, 8, 130066–130081. [Google Scholar] [CrossRef]
- Temporary Mail. Available online: https://temp-mail.org/en/ (accessed on 20 February 2021).



| App Name | P1 | P2 | P3 | P4 | P5 | P6 | P7 | P8 | P9 | P10 | P11 | P12 | Total | 
|---|---|---|---|---|---|---|---|---|---|---|---|---|---|
| Volvo On Call | + | + | + | + | – | + | + | + | + | – | + | + | 10 | 
| BMW Connected | + | – | + | + | + | + | + | – | + | – | + | + | 9 | 
| My BMW | + | + | + | – | – | – | + | + | + | – | + | + | 8 | 
| MINI Connected | + | – | + | + | + | + | + | – | + | – | + | + | 9 | 
| MINI | + | + | + | – | – | – | + | + | + | – | + | + | 8 | 
| Mercedes me | + | – | + | – | – | – | + | – | – | + | + | + | 6 | 
| My Alfa Connect | – | – | – | + | – | – | + | – | + | – | + | + | 5 | 
| FIAT | – | – | – | + | – | – | + | – | + | – | + | + | 5 | 
| My UConnect | – | – | + | + | – | + | + | – | + | – | + | + | 7 | 
| UConnect LIVE | – | – | + | – | + | + | + | + | + | + | + | + | 9 | 
| MyFerrari | + | + | – | – | – | – | + | + | – | – | + | + | 6 | 
| FordPass | – | – | + | – | – | – | + | + | + | – | + | + | 6 | 
| MITSUBISHI RC | – | – | – | – | – | – | + | + | – | – | – | – | 2 | 
| OUTLANDER PHEV RC | – | – | – | – | – | – | + | + | + | – | – | – | 3 | 
| NissanConnect | – | – | + | + | – | – | + | + | + | + | – | + | 7 | 
| My Citroën | + | + | + | – | – | – | + | + | + | – | + | + | 8 | 
| MyDS | + | + | + | – | – | – | + | + | + | – | + | + | 8 | 
| My Opel | + | + | + | – | – | – | + | + | + | – | + | + | 8 | 
| MYPEUGEOT | + | + | + | – | – | – | + | + | + | – | + | + | 8 | 
| Jaguar InControl | – | – | – | – | – | + | + | + | – | + | – | + | 5 | 
| Land Rover InControl | – | – | – | – | – | + | + | + | – | + | + | + | 6 | 
| Tesla | + | – | – | + | – | – | + | + | – | – | + | + | 6 | 
| MyT | + | + | + | + | – | – | + | + | + | – | + | + | 9 | 
| myAudi | – | – | + | – | – | + | + | + | + | – | + | + | 7 | 
| My Bentley | + | – | – | + | – | + | + | + | – | – | + | + | 7 | 
| Lamborghini Unica | + | + | + | – | – | + | + | + | – | + | + | + | 9 | 
| Porsche Connect | – | – | + | – | – | – | + | + | + | – | + | + | 6 | 
| SEAT CONNECT | – | – | – | – | – | + | + | + | – | – | – | + | 4 | 
| MyŠKODA | + | + | + | + | – | + | + | + | + | – | + | + | 10 | 
| ŠKODA Connect LITE | + | + | + | – | – | + | + | + | + | + | + | + | 10 | 
| We Connect | + | – | + | + | – | + | + | – | + | – | + | – | 7 | 
| Total | 18 | 12 | 21 | 12 | 3 | 14 | 31 | 24 | 22 | 7 | 26 | 28 | – | 
| Relevant System | API Calls | 
|---|---|
| Cellular Network | android/telephony/TelephonyManager;getNetworkOperatorName() | 
| android/telephony/TelephonyManager;getNetworkOperator() | |
| android/telephony/TelephonyManager;getLine1Number() | |
| android/telephony/TelephonyManager;getSimOperatorName() | |
| android/telephony/TelephonyManager;getSimCountryIso() | |
| android/telephony/TelephonyManager;getCellLocation() | |
| Location | android/location/LocationManager;getLastKnownLocation() | 
| android/location/LocationManager;requestLocationUpdates() | |
| android/location/Location;getLatitude() | |
| android/location/Location;getLongitude() | |
| Camera | android/hardware/Camera;open() | 
| android/hardware/camera2/CameraManager; * | 
| App Name | Cellular Network | Location | Camera | 
|---|---|---|---|
| Volvo On Call | + | + | – | 
| BMW Connected | + | + | + | 
| My BMW | + | – | + | 
| MINI Connected | + | + | – | 
| MINI | + | + | + | 
| Mercedes me | + | + | + | 
| My Alfa Connect | + | + | – | 
| FIAT | + | + | – | 
| My UConnect | + | + | + | 
| UConnect LIVE | + | + | + | 
| MyFerrari | – | – | – | 
| FordPass | – | + | + | 
| MISTUBISHI Remote Control | – | + | – | 
| OUTLANDER PHEV RC | – | + | – | 
| NissanConnect | + | + | + | 
| My Citroën | + | – | + | 
| MyDS | – | + | + | 
| My Opel | – | + | + | 
| MYPEUGEOT | – | + | + | 
| Jaguar InControl | – | + | – | 
| Land Rover InControl | – | + | – | 
| Tesla | + * | + | + * | 
| MyT | + | + | + | 
| myAudi | + | + | + | 
| My Bentley | + | + | – | 
| Lamborghini Unica | + | + | + | 
| Porsche Connect | + | + | + | 
| SEAT CONNECT | + | + | – | 
| MyŠKODA | + | + | + | 
| ŠKODA Connect LITE | + | + | + | 
| We Connect | – | + | + | 
| Total | 21 | 28 | 20 | 
| App Name | Signer Certificate Information | Janus | Network Security | Packers | CWE-250 | CWE-330 | CWE-276 | CWE-532 | CWE-312 | CWE-89 | CWE-327 | CWE-295 | CWE-749 | CWE-919 | CWE-780 | 
|---|---|---|---|---|---|---|---|---|---|---|---|---|---|---|---|
| Volvo On Call | SHA1withRSA (SHA256withRSA) | + | - | + | + | + | + | + | + | + | MD5, SHA1, AES-ECB | – | + | + | – | 
| BMW Connected | SHA1withRSA | + | Insecure base config to permit clear text traffic | – | – | + | + | + | + | + | MD5, SHA1 | – | + | – | – | 
| My BMW | – | + | Insecure base config to permit clear text traffic – | – | + | + | + | – | + | + | MD5, SHA1 | – | + | – | – | 
| MINI Connected | SHA1withRSA | + | Insecure base config to permit clear text traffic | – | – | + | + | + | + | + | MD5, SHA1 | – | – | – | – | 
| MINI | – | + | Insecure base config to permit clear text traffic | – | – | + | + | + | + | + | MD5, SHA1 | – | + | – | – | 
| Mercedes me | SHA1withRSA (SHA256withRSA) | + | Domain is configured to trust user installed certificates | – | – | + | + | + | + | + | MD5, SHA1 | – | + | – | – | 
| My Alfa Connect | – | + | – | – | – | + | + | + | + | + | MD5, SHA1 | – | + | – | – | 
| FIAT | – | + | – | – | – | + | + | + | + | + | MD5, SHA1 | – | + | – | – | 
| My Uconnect | – | + | – | – | – | + | + | + | – | + | MD5 | – | + | – | – | 
| UConnect LIVE | SHA1withRSA | + | – | – | – | + | + | + | + | + | SHA1 | + | + | – | – | 
| MyFerrari | – | + | – | – | – | + | + | + | – | – | MD5, SHA1 | – | – | + | – | 
| FordPass | SHA1withRSA (SHA256withRSA) | + | – | – | – | + | + | + | + | + | MD5 | – | + | + | – | 
| MITSUBISHI RC | – | + | – | – | – | + | + | + | – | – | – | – | – | – | – | 
| OUTLANDER PHEV RC | SHA1withRSA (SHA256withRSA) | + | – | – | – | + | + | + | + | – | – | – | – | – | – | 
| Nissan Connect | – | + | – | – | – | + | + | + | + | + | MD5, SHA1, AES-ECB | – | – | – | – | 
| My Citroën | – | + | – | – | – | + | + | + | + | + | MD5, SHA1, AES-ECB | – | + | + | – | 
| MyDS | – | + | – | – | – | + | + | + | + | + | MD5, SHA1, AES-ECB | – | + | + | – | 
| myOpel | – | + | – | – | – | + | + | + | + | + | MD5, SHA1, AES-ECB | – | + | + | – | 
| MYPEUGEOT | – | + | – | – | – | + | + | + | + | + | MD5, SHA1, AES-ECB | – | + | + | – | 
| Jaguar InControl | – | + | – | – | – | + | + | + | + | + | MD5, SHA1 | – | – | – | – | 
| Land Rover InControl | – | + | – | – | – | + | + | + | + | + | SHA1 | – | – | – | – | 
| Tesla | SHA1withRSA (SHA256withRSA) | + | – | – | – | + | + | + | + | – | MD5, SHA1 | – | – | – | – | 
| MyT | – | + | – | – | – | + | + | + | + | + | MD5, SHA1 | + | – | – | – | 
| myAudi | SHA1withRSA (SHA256withRSA) | + | – | – | – | + | + | + | + | + | MD5, SHA1 | – | + | – | – | 
| My Bentley | – | + | – | – | – | + | + | + | + | + | MD5, SHA1, AES-ECB | – | – | – | – | 
| Lamborghini Unica | – | + | – | – | – | + | + | + | + | + | MD5, SHA1 | + | + | – | – | 
| Porsche Connect | SHA1withRSA | – | Domain config is insecurely configured to permit clear text traffic to these domains in scope | – | – | + | + | + | – | + | MD5, SHA1 | – | – | – | – | 
| SEAT CONNECT | – | + | Insecure base config to permit clear text traffic | – | – | + | + | + | + | + | MD5, SHA1 | – | – | – | – | 
| MyŠKODA | SHA1withRSA (SHA256withRSA) | + | – | – | + | + | + | + | + | + | MD5, SHA1, AES-ECB | – | – | – | – | 
| ŠKODA Connect LITE | – | + | Insecure base config to permit clear text traffic | – | – | + | + | + | + | + | MD5, SHA1 | – | + | – | + | 
| We Connect | SHA1withRSA | + | Insecure base config to permit clear text traffic | – | – | + | + | + | + | + | MD5, SHA1, AES-ECB | – | – | – | – | 
| Total | – | 30 | – | 1 | 3 | 31 | 31 | 30 | 27 | 27 | – | 3 | 17 | 7 | 1 | 
| App Name | T1 | T2 | T3 | T4 | T5 | T6 | T7 | T8 | T9 | T10 | T11 | T12 | T13 | T14 | T15 | T16 | T17 | T18 | T19 | T20 | T21 | T22 | T23 | T24 | Total | 
|---|---|---|---|---|---|---|---|---|---|---|---|---|---|---|---|---|---|---|---|---|---|---|---|---|---|
| Volvo On Call | – | – | + | + | + | – | – | – | – | – | – | – | – | – | – | – | – | – | – | – | – | – | – | – | 3 | 
| BMW Connected | – | + | – | – | + | – | – | – | – | + | – | – | – | – | – | – | – | – | – | – | – | – | – | – | 3 | 
| My BMW | – | – | – | – | – | – | – | – | – | – | – | – | – | – | – | – | – | – | + | – | – | – | – | – | 1 | 
| MINI Connected | – | + | – | – | + | – | – | – | – | + | – | – | – | – | – | – | – | – | – | – | – | – | – | – | 3 | 
| MINI | – | – | – | – | – | – | – | – | – | – | – | – | – | – | – | – | – | – | + | – | – | – | – | – | 1 | 
| Mercedes me | – | – | – | – | – | – | + | + | + | – | – | – | – | – | – | – | – | – | – | – | – | – | – | – | 3 | 
| My Alfa Connect | – | + | – | – | – | – | – | – | – | – | + | + | + | + | – | – | – | + | – | – | – | – | – | – | 6 | 
| FIAT | – | + | – | – | – | – | – | – | – | – | + | + | + | + | – | – | – | + | – | – | – | – | – | – | 6 | 
| My Uconnect | – | + | – | – | – | – | – | – | – | – | + | + | + | + | – | – | – | + | – | + | – | – | – | – | 7 | 
| UConnect LIVE | – | – | – | – | – | – | – | – | – | – | – | – | – | – | – | – | – | – | – | – | – | – | – | – | 0 | 
| MyFerrari | – | – | – | – | – | – | – | – | – | – | – | – | – | – | – | – | – | – | – | – | – | – | – | – | 0 | 
| FordPass | + | – | – | – | – | + | – | – | – | – | – | – | – | – | – | – | – | – | – | – | + | – | – | – | 3 | 
| MITSUBISHI RC | – | – | – | – | – | – | – | – | – | – | – | – | – | – | – | – | – | – | – | – | – | – | – | – | 0 | 
| OUTLANDER PHEV RC | – | – | – | – | – | – | – | – | – | – | – | – | – | – | – | – | – | – | – | – | – | – | – | – | 0 | 
| NissanConnect | – | – | – | – | – | – | – | – | – | – | – | – | – | – | – | – | – | – | – | – | – | + | – | – | 1 | 
| My Citroën | – | – | – | – | – | – | – | – | – | – | – | – | – | – | – | – | + | – | – | – | – | – | – | – | 1 | 
| MyDS | – | – | – | – | – | – | – | – | – | – | – | – | – | – | – | – | + | – | – | – | – | – | – | – | 1 | 
| myOpel | – | – | – | – | – | – | – | – | – | – | – | – | – | – | – | – | + | – | – | – | – | – | – | – | 1 | 
| MYPEUGEOT | – | – | – | – | – | – | – | – | – | – | – | – | – | – | – | – | + | – | – | – | – | – | – | – | 1 | 
| Jaguar InControl | – | – | – | – | + | – | – | – | – | – | – | – | – | – | – | – | – | – | – | – | – | – | – | – | 1 | 
| Land Rover InControl | – | – | – | – | + | – | – | – | – | – | – | – | – | – | – | – | – | – | – | – | – | – | – | – | 1 | 
| Tesla | – | – | – | – | – | – | – | – | – | – | – | – | – | – | – | – | – | – | – | – | – | – | – | – | 0 | 
| MyT | – | – | – | – | – | – | – | – | – | – | – | – | – | – | – | – | + | – | – | – | – | – | – | + | 2 | 
| myAudi | – | – | – | – | + | + | – | – | – | – | – | – | – | – | – | – | – | – | – | – | – | – | – | – | 2 | 
| My Bentley | – | – | – | – | – | – | – | – | – | – | – | – | – | – | – | – | – | – | – | – | – | – | – | – | 0 | 
| Lamborghini Unica | – | – | – | – | – | – | – | – | – | – | – | + | + | + | + | + | + | – | – | – | – | – | – | – | 6 | 
| Porsche Connect | – | – | – | – | – | – | – | – | – | – | – | – | – | – | – | – | – | – | – | – | – | – | – | – | 0 | 
| SEAT CONNECT | – | – | – | – | – | + | – | – | – | – | – | – | – | – | – | – | – | – | – | – | – | – | – | – | 1 | 
| MyŠKODA | – | – | – | – | – | – | + | + | – | – | – | – | – | – | – | – | – | – | – | – | – | – | – | – | 2 | 
| ŠKODA Connect LITE | – | – | – | – | – | – | – | – | – | – | – | – | – | – | – | – | – | + | – | – | – | – | + | – | 2 | 
| We Connect | – | – | – | – | – | – | – | – | – | – | – | – | – | – | – | – | – | – | – | – | – | – | – | – | 0 | 
| Total | 1 | 5 | 1 | 1 | 6 | 3 | 2 | 2 | 1 | 2 | 3 | 4 | 4 | 4 | 1 | 1 | 6 | 4 | 2 | 1 | 1 | 1 | 1 | 1 | – | 
| App Name | Intent-Filter on | Intent-Filter off | Content | Launch | Cleartext | ||||
|---|---|---|---|---|---|---|---|---|---|
| Service | Broadcast Receiver | Activity | Service | Broadcast Receiver | Activity | ||||
| Volvo On Call | 3 | 8 | 3 | 2 | 3 | 2 | + | – | – | 
| BMW Connected | 1 | 9 | 3 | 2 | 4 | 0 | – | – | – | 
| My BMW | 2 | 2 | 0 | 3 | 4 | 0 | – | – | – | 
| MINI Connected | 1 | 7 | 3 | 2 | 5 | 0 | – | – | – | 
| MINI | 2 | 2 | 0 | 3 | 4 | 0 | – | – | – | 
| Mercedes me | 0 | 3 | 4 | 1 | 1 | 1 | – | – | – | 
| My Alfa Connect | 1 | 0 | 2 | 0 | 0 | 1 | – | – | – | 
| FIAT | 1 | 0 | 2 | 0 | 0 | 1 | – | – | – | 
| My Uconnect | 1 | 1 | 0 | 0 | 0 | 2 | – | – | – | 
| UConnect LIVE | 1 | 2 | 0 | 0 | 0 | 0 | – | – | + | 
| MyFerrari | 1 | 1 | 0 | 0 | 0 | 0 | – | – | – | 
| FordPass | 0 | 3 | 2 | 0 | 0 | 15 | – | – | + | 
| MITSUBISHI RC | 0 | 0 | 0 | 0 | 0 | 0 | – | – | – | 
| OUTLANDER PHEV RC | 0 | 0 | 0 | 0 | 0 | 0 | – | + | – | 
| NissanConnect | 0 | 1 | 1 | 0 | 0 | 1 | – | – | + | 
| My Citroën | 2 | 4 | 4 | 0 | 1 | 1 | + | – | + | 
| MyDS | 1 | 5 | 4 | 1 | 1 | 1 | + | – | + | 
| myOpel | 2 | 3 | 4 | 0 | 1 | 0 | + | – | + | 
| MYPEUGEOT | 2 | 5 | 4 | 0 | 1 | 0 | + | – | + | 
| Jaguar InControl | 3 | 3 | 1 | 2 | 0 | 2 | – | – | – | 
| Land Rover InControl | 3 | 3 | 1 | 2 | 0 | 2 | – | – | – | 
| Tesla | 0 | 2 | 1 | 2 | 0 | 0 | – | – | – | 
| MyT | 0 | 1 | 2 | 1 | 0 | 1 | – | – | – | 
| myAudi | 0 | 1 | 1 | 3 | 1 | 0 | – | – | + | 
| My Bentley | 0 | 1 | 0 | 3 | 1 | 0 | – | – | – | 
| Lamborghini Unica | 0 | 0 | 0 | 2 | 0 | 2 | – | – | + | 
| Porsche Connect | 0 | 1 | 1 | 1 | 2 | 0 | + | – | – | 
| SEAT CONNECT | 3 | 0 | 1 | 1 | 1 | 1 | – | – | – | 
| MyŠKODA | 2 | 5 | 1 | 1 | 1 | 0 | – | – | – | 
| ŠKODA Connect LITE | 0 | 3 | 1 | 0 | 2 | 0 | – | – | – | 
| We Connect | 3 | 0 | 1 | 1 | 1 | 2 | – | – | – | 
| App Name | SQLite | OpenSSL | Python | libpng | openCV | expat | jQuery | InAppBrowser | zlib | libcurl | libjpeg | Total | 
|---|---|---|---|---|---|---|---|---|---|---|---|---|
| Volvo On Call | – | – | – | – | – | – | – | – | – | – | – | 0 | 
| BMW Connected | + | ++ | + | + | + | – | – | – | – | – | – | 5 | 
| My BMW | + | + | + | + | + | – | – | – | – | – | – | 5 | 
| MINI Connected | + | ++ | + | + | + | – | – | – | – | – | – | 5 | 
| MINI | + | + | + | + | + | – | – | – | – | – | – | 5 | 
| Mercedes Me | – | – | – | – | – | – | – | – | – | – | – | 0 | 
| My Alfa Connect | + | ++ | – | – | – | – | – | – | – | – | – | 2 | 
| Fiat | + | ++ | – | – | – | – | – | – | – | – | – | 2 | 
| My Uconnect | + | ++ | – | + | – | – | – | – | + | – | – | 4 | 
| Uconnect LIVE | – | + | – | – | – | – | – | – | – | – | – | 1 | 
| My Ferrari | – | – | – | – | – | – | – | – | – | – | – | 0 | 
| FordPass | ++ | +++ | – | – | – | + | – | – | – | – | – | 3 | 
| MITSUBISHI RC | – | – | – | – | – | – | – | – | – | – | – | 0 | 
| OUTLANDER PHEV RC | – | – | – | – | – | – | – | – | – | – | – | 0 | 
| NissanConnect | – | – | – | – | – | – | – | – | – | – | – | 0 | 
| My Citroen | + | – | – | – | – | – | + | + | – | – | – | 3 | 
| My DS | + | – | – | – | – | – | + | + | – | – | – | 3 | 
| My Opel | + | – | – | – | – | – | + | + | – | – | – | 3 | 
| My Peugeot | + | – | – | – | – | – | + | + | – | – | – | 3 | 
| Jaguar InControl | + | + | – | – | – | – | – | – | – | – | – | 2 | 
| Land Rover InControl | + | + | – | – | – | – | – | – | – | – | – | 2 | 
| Tesla | – | + | – | – | – | – | – | – | – | – | + | 2 | 
| MyT | + | + | + | ++ | + | – | – | – | + | – | – | 6 | 
| My Audi | – | – | – | – | – | – | – | – | – | – | – | 0 | 
| My Bentley | – | – | – | – | – | – | – | – | – | – | – | 0 | 
| Lamborghini Unica | – | – | – | – | – | – | – | – | – | – | – | 0 | 
| Porsche Connect | ++ | ++ | – | – | – | + | – | – | – | + | – | 4 | 
| Seat CONNECT | – | – | – | – | – | – | – | – | – | – | – | 0 | 
| My Skoda | – | ++ | – | – | – | – | – | – | – | – | – | 1 | 
| We Connect | – | – | – | – | – | – | – | – | – | – | – | 0 | 
| Total | 16 | 15 | 5 | 6 | 5 | 2 | 4 | 4 | 2 | 1 | 1 | 19 | 
| App Name | S1 | S2 | S3 | S4 | S5 | S6 | S7 | S8 | S9 | S10 | 
|---|---|---|---|---|---|---|---|---|---|---|
| Volvo On Call | – | + | + | + | – | – | – | + | + | – | 
| BMW Connected | + | + | – | + | – | + | – | + | + | – | 
| My BMW | N/A | + | – | + | – | – | – | + | + | – | 
| MINI Connected | N/A | + | – | + | + | – | + | + | + | – | 
| MINI | N/A | + | – | + | – | – | – | + | + | – | 
| Mercedes me | + | N/A | – | N/A | – | N/A | – | + | + | + | 
| My Alfa Connect | N/A | N/A | N/A | N/A | N/A | N/A | N/A | N/A | N/A | N/A | 
| FIAT | N/A | N/A | N/A | N/A | N/A | N/A | N/A | N/A | N/A | N/A | 
| My Uconnect | N/A | N/A | N/A | N/A | N/A | N/A | N/A | N/A | N/A | N/A | 
| UConnect LIVE | – | + | – | N/A | – | – | – | + | + | – | 
| MyFerrari | N/A | – | + | N/A | – | – | – | N/A | + | – | 
| FordPass | + | + | – | – | – | + | – | + | + | – | 
| MITSUBISHI RC | N/A | N/A | N/A | N/A | – | N/A | – | N/A | + | N/A | 
| OUTLANDER PHEV RC | N/A | N/A | N/A | N/A | – | N/A | – | N/A | + | N/A | 
| NissanConnect | N/A | – | – | N/A | – | – | – | + | + | – | 
| My Citroën | + | + | – | N/A | – | – | – | + | + | – | 
| MyDS | N/A | + | – | N/A | – | – | – | + | + | – | 
| myOpel | + | + | – | N/A | – | – | – | + | + | – | 
| MYPEUGEOT | + | + | – | N/A | – | – | – | + | + | – | 
| Jaguar InControl | N/A | + | + | N/A | – | + | – | + | + | – | 
| Land Rover InControl | N/A | + | + | N/A | – | + | – | + | + | – | 
| Tesla | N/A | + | + | N/A | – | + | – | + | + | – | 
| MyT | N/A | + | – | N/A | – | – | – | + | + | – | 
| myAudi | + | + | – | – | – | + | – | + | + | – | 
| My Bentley | – | N/A | – | N/A | N/A | N/A | N/A | N/A | + | N/A | 
| Lamborghini Unica | N/A | N/A | N/A | N/A | N/A | N/A | N/A | N/A | N/A | N/A | 
| Porsche Connect | – | + | + | N/A | – | – | – | N/A | + | – | 
| SEAT CONNECT | – | + | – | + | – | + | – | + | + | – | 
| MyŠKODA | + | + | – | – | + | + | + | + | + | – | 
| ŠKODA Connect LITE | N/A | N/A | N/A | N/A | N/A | N/A | N/A | N/A | N/A | N/A | 
| We Connect | – | + | – | + | + | + | + | + | + | – | 
| Total | 8 | 20 | 6 | 7 | 3 | 9 | 3 | 21 | 26 | 1 | 
| App Name | V1 | V2 | V3 | V4 | V5 | V6 | V7 | V8 | V9 | V10 | 
|---|---|---|---|---|---|---|---|---|---|---|
| Volvo On Call | – | – | – | – | – | – | – | N/A | + | N/A | 
| BMW Connected | – | – | – | + | + | + | – | + | – | + | 
| My BMW | – | – | – | – | – | – | – | – | – | – | 
| MINI Connected | – | – | – | + | N/A | N/A | – | N/A | – | N/A | 
| MINI | – | – | – | – | – | – | – | – | – | – | 
| Mercedes me | – | – | + | – | – | – | – | + | – | – | 
| My Alfa Connect | + | + | – | – | N/A | N/A | N/A | N/A | – | N/A | 
| FIAT | + | + | – | – | N/A | + | N/A | N/A | – | N/A | 
| My Uconnect | + | + | N/A | N/A | N/A | + | N/A | N/A | N/A | N/A | 
| UConnect LIVE | – | – | – | – | – | + | N/A | N/A | – | N/A | 
| MyFerrari | – | – | + | N/A | N/A | N/A | + | N/A | – | N/A | 
| FordPass | + | – | – | – | – | – | – | + | – | + | 
| MITSUBISHI RC | – | + | – | – | – | + | – | – | – | – | 
| OUTLANDER PHEV RC | – | + | – | – | – | + | – | – | – | – | 
| NissanConnect | – | + | N/A | – | N/A | N/A | N/A | – | – | N/A | 
| My Citroën | – | – | – | – | – | – | – | + | – | + | 
| MyDS | – | – | – | – | – | – | – | + | – | + | 
| myOpel | – | – | – | – | – | – | – | + | – | + | 
| MYPEUGEOT | – | – | – | – | – | – | – | + | – | + | 
| Jaguar InControl | + | + | N/A | – | N/A | N/A | N/A | N/A | – | N/A | 
| Land Rover InControl | + | + | N/A | + | N/A | N/A | N/A | N/A | – | N/A | 
| Tesla | – | – | + | N/A | N/A | N/A | N/A | N/A | N/A | N/A | 
| MyT | – | + | – | – | – | N/A | – | – | – | N/A | 
| myAudi | – | – | + | – | – | – | – | + | – | + | 
| My Bentley | – | + | N/A | – | N/A | N/A | N/A | N/A | – | N/A | 
| Lamborghini Unica | + | – | N/A | – | N/A | N/A | + | N/A | – | N/A | 
| Porsche Connect | – | – | N/A | – | N/A | N/A | + | N/A | – | N/A | 
| SEAT CONNECT | – | – | – | – | – | + | – | N/A | – | N/A | 
| MyŠKODA | – | – | – | – | – | + | – | – | – | N/A | 
| ŠKODA Connect LITE | – | – | – | N/A | N/A | + | – | – | – | N/A | 
| We Connect | – | – | – | – | – | + | – | N/A | – | N/A | 
| Total | 7 | 10 | 4 | 3 | 1 | 10 | 3 | 8 | 1 | 7 | 
| Publisher’s Note: MDPI stays neutral with regard to jurisdictional claims in published maps and institutional affiliations. | 
© 2021 by the authors. Licensee MDPI, Basel, Switzerland. This article is an open access article distributed under the terms and conditions of the Creative Commons Attribution (CC BY) license (http://creativecommons.org/licenses/by/4.0/).
Share and Cite
Chatzoglou, E.; Kambourakis, G.; Kouliaridis, V. A Multi-Tier Security Analysis of Official Car Management Apps for Android. Future Internet 2021, 13, 58. https://doi.org/10.3390/fi13030058
Chatzoglou E, Kambourakis G, Kouliaridis V. A Multi-Tier Security Analysis of Official Car Management Apps for Android. Future Internet. 2021; 13(3):58. https://doi.org/10.3390/fi13030058
Chicago/Turabian StyleChatzoglou, Efstratios, Georgios Kambourakis, and Vasileios Kouliaridis. 2021. "A Multi-Tier Security Analysis of Official Car Management Apps for Android" Future Internet 13, no. 3: 58. https://doi.org/10.3390/fi13030058
APA StyleChatzoglou, E., Kambourakis, G., & Kouliaridis, V. (2021). A Multi-Tier Security Analysis of Official Car Management Apps for Android. Future Internet, 13(3), 58. https://doi.org/10.3390/fi13030058
 
         
                                                


 
       