Correlating Physicochemical Properties of Boronic Acid-Chitosan Conjugates to Glucose Adsorption Sensitivity
Abstract
:1. Introduction
2. Experimental Section
2.1. Materials
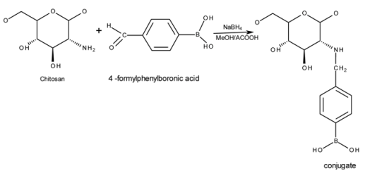
2.2. Synthesis of Chitosan-Phenylboronic Acid Conjugates
| Conjugate | F1 | F2 | F3 | F4 | F5 | F6 |
|---|---|---|---|---|---|---|
| Chitosan (mg) | 400 | 400 | 400 | 400 | 400 | 400 |
| 4-Formylphenyl boronicacid (mmol) | 0.96 | 1.92 | 2.40 | 4.80 | 7.20 | 14.40 |
| Sodium borohydride (mg) | 240 | 240 | 240 | 240 | 240 | 240 |
2.3. Fourier Transform Infrared Analysis
2.4. Time of Flight Secondary Ion Mass Spectroscopy (ToF-SIMS)
2.5. Differential Scanning Calorimetry (DSC)
2.6. Scanning Electron Microscopy (SEM)
2.7. Glucose Adsorption Studies
3. Results and Discussion
3.1. Fourier Transform Infrared Spectra (FTIR)

3.2. ToF-SIMS Analysis

3.3. Glucose Adsorption by Conjugates, SEM and DSC Analyses



4. Conclusions
Acknowledgments
References
- Gough, D.A.; Kumosa, L.A.; Routh, T.L.; Lin, J.T.; Lucisano, J.Y. Function of an implanted glucose sensor for more than 1 year in animals. Sci. Transl. Med. 2010, 2, 42–53. [Google Scholar]
- Kaur, G.; Lin, N.; Fung, H.; Wang, B. Boronic Acid-based Glucose Sensors in Topics in Fluorescence Spectroscopy. In Topics in Fluorescence Spectroscopy Volume 11, Glucose Sensing; Geddes, C.D., Lakowicz, J.R., Eds.; Springer Press: New York, NY, USA, 2006; Volume 11, pp. 377–397. [Google Scholar]
- James, T.D.; Sandanayake, K.; Shinkai, S. Saccharide sensing with molecular receptors based on boronic acid. Angewandte Chemie Int. Ed. 1996, 35, 1910–1922. [Google Scholar] [CrossRef]
- Vahlberg, C.; Linares, M.; Norman, P.; Uvdal, K. Phenylboronic Ester- and Phenylboronic Acid-Terminated Alkanethiols on Gold Surfaces. J. Phys. Chem. 2012, 116, 796–806. [Google Scholar] [CrossRef]
- Cordes, D.B.; Suri, J.T.; Cappuccio, F.E.; Camara, J.N.; Gamsey, S.; Sharrett, Z.; Thoniyot, P.; Wessling, R.A.; Singaram, B. Two-component optical sugar sensing using boronic acid-substituted viologens with anionic fluorescent dyes modulated quenching with viologens as a method for monosaccharide detection. In Topics in Fluorescence Spectroscopy Volume 11, Glucose Sensing; Geddes, C.D., Lakowicz, J.R., Eds.; Springer Press: New York, NY, USA, 2006; Volume 11, pp. 47–87. [Google Scholar]
- Ho, J.A.A.; Hsu, W.L.; Liao, W.C.; Chiu, J.K.; Chen, M.L.; Chang, H.C.; Li, C.C. Synthesis and characterization of a novel derivative of chitosan. Biosens. Bioelectron. 2010, 26, 1021–1027. [Google Scholar] [CrossRef]
- Shoji, E.; Freund, M.S. Potentiometric saccharide detection based on the pK(a) changes of poly(aniline boronic acid). J. Am. Chem. Soc. 2002, 124, 12486–12493. [Google Scholar] [CrossRef]
- James, T.D.; Sandanayake, S.K.R.A.; Shinkai, S. Chiral discrimination of monosaccharides using a fluorescent molecular sensor. Nature 1995, 374, 345–347. [Google Scholar] [CrossRef]
- Takahashi, S.; Anzai, J. Planar microsensors based on phenylboronic acid Self-Assembled Monolayers. Langmuir 2005, 21, 5102–5107. [Google Scholar] [CrossRef]
- Ori, A.; Shinkai, S. Electrochemical detection of saccharides by the redox cycle of a chiral ferrpcenylboronic acid derivative: A novel method for sugar sensing. J. Chem. Soc. Chem. Commun. 1995, 17, 1771–1772. [Google Scholar]
- Badugu, R.; Lakowicz, J.R.; Geddes, C.D. A glucose-sensing contact lens: From bench top to patient. Curr. Opin. Biotechnol. 2005, 16, 100–107. [Google Scholar] [CrossRef]
- Edwards, N.Y.; Sager, T.W.; McDevitt, J.T.; Anslyn, E.V. Boronic Acid Based Peptidic Receptors for Pattern-Based Saccharide Sensing in Neutral Aqueous Media, an Application in Real-Life Samples. J. Am. Chem. Soc. 2007, 129, 13575–13583. [Google Scholar]
- Mader, H.S.; Wolfbeis, O.S. Boronic acid based probes formicrodetermination of saccharides and glycosylated biomolecules. Microchimica Acta 2008, 162, 1–34. [Google Scholar] [CrossRef]
- Fang, H.; Kaur, G.; Wang, B. Progress in Boronic Acid-Based Fluorescent Glucose Sensors. J. Fluoresc. 2004, 14, 481–489. [Google Scholar] [CrossRef]
- Kitano, S.; Kataoka, K.; Koyama, Y.; Okano, T.; Sakurai, Y. Glucose-responsive complex formation between poly(vinyl alcohol) and poly(N-vinyl-2-pyrrolidone) with pendent phenylboronic acid moieties. Makromolekulare Chemie Rapid Commun. 1991, 12, 227–233. [Google Scholar] [CrossRef]
- Kataoka, K.; Miyazaki, H.; Okano, T.; Sakurai, Y. Sensitive glucose-induced change of the lower critical solution temperature of poly[N,N-dimethylacrylamide-co-3-(acrylamido)phenylboronic acid] in physiological saline. Macromolecules 1994, 27, 1061–1062. [Google Scholar] [CrossRef]
- Obaidat, A.A.; Park, K. Characterization of protein release through glucose-sensitive hydrogel membranes. Biomaterials 1997, 18, 801–806. [Google Scholar] [CrossRef]
- Illum, L.; Farraj, N.F.; Davis, S.S. Chitosan as a novel nasal delivery system for peptide drugs. Pharm. Res. 1994, 11, 1186–1189. [Google Scholar] [CrossRef]
- Bigucci, F.; Luppi, B.; Cerchiara, T.; Sorrenti, M.; Bettinetti, G.; Rodriguez, L.; Zecchi, V. Chitosan/pectin polyelectrolyte complexes: Selection of suitable preparative conditions for colon-specific delivery of vancomycin. Eur. J. Pharm. Sci. 2008, 35, 435–441. [Google Scholar] [CrossRef]
- Wittaya-Areekul, S.; Kruenate, J.; Prahsarn, C. Chitosan/pectin polyelectrolyte complexes: Selection of suitable preparative conditions for colon-specific delivery of vancomycin. Int. J. Pharm. 2006, 312, 113–118. [Google Scholar] [CrossRef]
- Lorenzo-Lamosa, M.L.; Remuñán-López, C.; Vila-Jato, J.L.; Alonso, M.J. Design of microencapsulated chitosan microspheres for colonic drug delivery. J. Control. Release 1992, 52, 109–118. [Google Scholar]
- Sailaja, A.K.; Amreshwar, P.; Chakravarty, P. Chitosan nanoparticles as a drug delivery system. Res. J. Pharm. Biol. Chem. Sci. 2010, 1, 474–484. [Google Scholar]
- Huang, M.; Huang, Z.L.; Bilgen, M.; Berkland, C. MRI Contrast enhanced polyelectrolyte complexes. Nanomed. Nanotechnol. Biol. Med. 2008, 4, 30–40. [Google Scholar] [CrossRef]
- Wu, Z.; Zhang, S.; Zhang, X.; Shu, S.; Chu, T.; Yu, D. Phenylboronic acid grafted chitosan as a glucose-sensitive vehicle for controlled insulin release. J. Pharm. Sci. 2011, 100, 2278–2286. [Google Scholar] [CrossRef]
- Osman, Z.; Arof, A. FTIR studies of chitosan acetate based polymer electrolytes. Electrochim. Acta 2003, 48, 993–999. [Google Scholar] [CrossRef]
- Van de Velde, K.; Kiekens, P. Structure analysis and degree of substitution of chitin, chitosan and dibutyrylchitin by FT-IR spectroscopy and solid state 13C NMR. Carbohydr. Polym. 2004, 58, 409–416. [Google Scholar] [CrossRef]
- Boonsongrit, Y.; Mueller, B.W.; Mitrevej, A. Characterization of drug-chitosan interaction by 1H NMR, FTIR and isothermal titration calorimetry. Eur. J. Pharm. Biopharm. 2008, 69, 388–395. [Google Scholar] [CrossRef]
- Matsumoto, M.; Shimizu, T.; Kondo, K. Selective adsorption of glucose on novel chitosan gel modified by phenylboronate. Seper. Purif. Tech. 2002, 29, 229–233. [Google Scholar] [CrossRef]
- Hall, D.G. Structure, Properties, and Preparation of Boronic Acid Derivatives. Overview of Their Reactions and Applications. In Boronic Acids: Preparation and Applications in Organic Synthesis and Medicine; Hall, G., Ed.; John Wiley & Sons: Weinheim, Germany, 2006; pp. 1–99. [Google Scholar]
- Ding, W.; Lian, Q.; Samuels, R.J.; Polk, M.B. Synthesis and characterization of a novel derivative of chitosan. Polymers 2003, 44, 547–556. [Google Scholar] [CrossRef]
- Kittur, F.S.; Harigh, P.K.V.; Udaya, S.K.; Tharanathan, R.N. Synthesis and characterization of a novel derivative of chitosan. Carbohydr. Polym. 2002, 49, 185–193. [Google Scholar] [CrossRef]
- Lewandowska, K. Thermal study of chitosan blends with vinyl polymers. Available online: http://www.ptchit.lodz.pl/pliki/PTChit_%28i0z4bnqnzy93qke2%29.pdf (accessed on 11th July,2012).
© 2013 by the authors; licensee MDPI, Basel, Switzerland. This article is an open-access article distributed under the terms and conditions of the Creative Commons Attribution license (http://creativecommons.org/licenses/by/3.0/).
Share and Cite
Asantewaa, Y.; Aylott, J.; Burley, J.C.; Billa, N.; Roberts, C.J. Correlating Physicochemical Properties of Boronic Acid-Chitosan Conjugates to Glucose Adsorption Sensitivity. Pharmaceutics 2013, 5, 69-80. https://doi.org/10.3390/pharmaceutics5010069
Asantewaa Y, Aylott J, Burley JC, Billa N, Roberts CJ. Correlating Physicochemical Properties of Boronic Acid-Chitosan Conjugates to Glucose Adsorption Sensitivity. Pharmaceutics. 2013; 5(1):69-80. https://doi.org/10.3390/pharmaceutics5010069
Chicago/Turabian StyleAsantewaa, Yaa, Jonathan Aylott, Jonathan C. Burley, Nashiru Billa, and Clive J. Roberts. 2013. "Correlating Physicochemical Properties of Boronic Acid-Chitosan Conjugates to Glucose Adsorption Sensitivity" Pharmaceutics 5, no. 1: 69-80. https://doi.org/10.3390/pharmaceutics5010069
APA StyleAsantewaa, Y., Aylott, J., Burley, J. C., Billa, N., & Roberts, C. J. (2013). Correlating Physicochemical Properties of Boronic Acid-Chitosan Conjugates to Glucose Adsorption Sensitivity. Pharmaceutics, 5(1), 69-80. https://doi.org/10.3390/pharmaceutics5010069

