Physicochemical and Functional Properties of Type B Gelatin Obtained from Nile Tilapia (Oreochromis niloticus) Scales Using Hydro-Extraction: Effect of Ultrasound Pretreatment
Abstract
1. Introduction
2. Materials and Methods
2.1. Fish Scales Preparation
2.2. Gelatin Extraction
Yield
2.3. Physicochemical Characterization: Hydrodynamic Diameter, Zeta Potential, Weight-Average Molecular Weight, Isoelectric Point, and Superficial Structure
2.4. Proximate Composition: Moisture, Ash, and Total Fat
2.5. Fourier Transform Infrared Characterization
2.6. Thermogravimetric Analysis
2.7. Differential Scanning Calorimetry (DSC)
2.8. Gel-Forming Capacity and Water Holding Capacity (WHC)
2.9. Protein Content and Peptide Characterization
2.9.1. Protein Content
2.9.2. Sample Preparation for LC-MS/MS Analysis
2.9.3. LC-MS/MS Analysis
2.10. Statistical Analysis
3. Results and Discussion
3.1. Gelatin Extraction: Yield
3.2. Physicochemical Characterization: Hydrodynamic Diameter, Zeta Potential, Weight-Average Molecular Weight, Isoelectric Point, and Superficial Structure
3.3. Proximate Composition of the Extracted Gelatins
3.4. FTIR Characterization of Gelatin Samples
3.5. Thermogravimetric Analysis
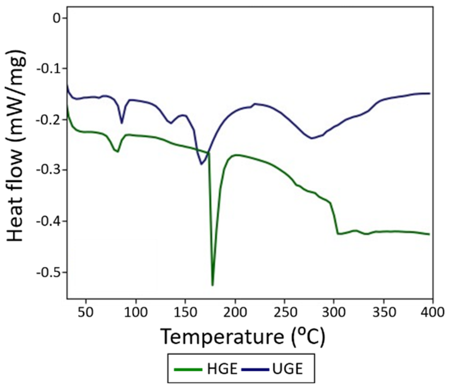
3.6. Differential Scanning Calorimetry
3.7. Gelation Behavior and Water Holding Capacity of the Extracted Gelatins
3.8. Protein Content and Peptide Characterization
4. Conclusions
Supplementary Materials
Author Contributions
Funding
Data Availability Statement
Acknowledgments
Conflicts of Interest
References
- Ogawa, M.; Portier, R.J.; Moody, M.W.; Bell, J.; Schexnayder, M.A.; Losso, J.N. Biochemical properties of bone and scale collagens isolated from the subtropical fish black drum (Pogonia cromis) and sheepshead seabream (Archosargus probatocephalus). Food Chem. 2004, 8, 495–501. [Google Scholar] [CrossRef]
- Sreeja, S.J.; Satya, J.; Tamilarutselvi, K.; Rajajeyasekar, R.; Tamilselvi, A.; Nandhakumari, P.; Sarojini, K. Isolation of gelatin from fish scale and evaluation of chemical composition and bioactive potential. Biomass Convers. Biorefin. 2024, 14, 22161–22170. [Google Scholar] [CrossRef]
- Moufaddel, A.; Bougrin, K.; El Monfalouti, H.; Kartah, B.E. Unlocking the Potential of Fishery Waste: Acid-Soluble Ultrasound Extraction of Marine Collagen from Sardine Fish Scales. Chem. Proc. 2024, 16, 115. [Google Scholar] [CrossRef]
- Lueyot, A.; Wonganu, B.; Rungsardthong, V.; Vatanyoopaisarn, S.; Hutangura, P.; Wongsa-Ngasri, P.; Thumthanaruk, B. Improved jellyfish gelatin quality through ultrasound-assisted salt removal and an extraction process. PLoS ONE 2022, 17, e0276080. [Google Scholar] [CrossRef] [PubMed]
- Tu, Z.C.; Huang, T.; Wang, H.; Sha, X.M.; Shi, Y.; Huang, X.Q.; Li, D.J. Physico-chemical properties of gelatin from bighead carp (Hypophthalmichthys nobilis) scales by ultrasound-assisted extraction. J. Food Sci. Technol. 2015, 52, 2166–2174. [Google Scholar] [CrossRef] [PubMed]
- Huang, T.; Tu, Z.C.; Wang, H.; Shangguan, X.; Zhang, L.; Zhang, N.H.; Bansal, N. Pectin and enzyme complex modified fish scales gelatin: Rheological behavior, gel properties and nanostructure. Carbohydr. Polym. 2017, 156, 294–302. [Google Scholar] [CrossRef]
- Atma, Y.; Fitriani, D.; Mustopa, A.Z. Radical-scavenging activity of fish gelatin hydrolysates from bone of Pangasius catfish (Pangasius sutchi) by microbial proteases hydrolysis. Biointerface Res. Appl. Chem. 2021, 11, 11. [Google Scholar] [CrossRef]
- Usman, M.; Sahar, A.; Inam-Ur-Raheem, M.; Rahman, U.U.; Sameen, A.; Aadil, R.M. Gelatin extraction from fish waste and potential applications in food sector. Int. J. Food Sci. Technol. 2022, 57, 154–163. [Google Scholar] [CrossRef]
- Mohanto, S.; Narayana, S.; Merai, K.P.; Kumar, J.A.; Bhunia, A.; Hani, U.; Vora, L.K. Advancements in gelatin-based hydrogel systems for biomedical applications: A state-of-the-art review. Int. J. Biol. Macromol. 2023, 253, 127143. [Google Scholar] [CrossRef]
- Andreazza, R.; Morales, A.; Pieniz, S.; Labidi, J. Gelatin-based hydrogels: Potential biomaterials for remediation. Polymers 2023, 15, 1026. [Google Scholar] [CrossRef]
- Zhang, J.; Liu, C.; Li, X.; Liu, Z.; Zhang, Z. Application of photo-crosslinkable gelatin methacryloyl in wound healing. Front. Bioeng. Biotechnol. 2023, 11, 1303709. [Google Scholar] [CrossRef] [PubMed]
- Rather, J.A.; Akhter, N.; Ashraf, Q.S.; Mir, S.A.; Makroo, H.A.; Majid, D.; Dar, B.N. A comprehensive review on gelatin: Understanding impact of the sources, extraction methods, and modifications on potential packaging applications. Food Packag. Shelf Life 2022, 34, 100945. [Google Scholar] [CrossRef]
- He, Y.; Wang, C.; Wang, C.; Xiao, Y.; Lin, W. An overview on collagen and gelatin-based cryogels: Fabrication, classification, properties and biomedical applications. Polymers 2021, 13, 2299. [Google Scholar] [CrossRef] [PubMed]
- Cao, H.; Wang, J.; Hao, Z.; Zhao, D. Gelatin-based biomaterials and gelatin as an additive for chronic wound repair. Front. Pharmacol. 2024, 15, 1398939. [Google Scholar] [CrossRef]
- He, Q.; Feng, T.; Xie, Y.; Swamiappan, S.; Zhou, Y.; Zhou, Y.; Peng, X. Recent advances in the development and application of cell-loaded collagen scaffolds. Int. J. Mol. Sci. 2025, 26, 4009. [Google Scholar] [CrossRef]
- Jeyachandran, S.; Aman, M. Valorisation of fish scales and bones: A sustainable source of bioactive proteins and collagen for nutraceuticals. Bioresour. Bioprocess. 2025, 12, 141. [Google Scholar] [CrossRef]
- Salim, N.V.; Madhan, B.; Glattauer, V.; Ramshaw, J.A. Comprehensive review on collagen extraction from food by-products and waste as a value-added material. Int. J. Biol. Macromol. 2024, 278, 134374. [Google Scholar] [CrossRef]
- Fish Gelatin Market Outlook from 2025 to 2035. Available online: https://www.futuremarketinsights.com/reports/fish-gelatin-market (accessed on 3 March 2026).
- Boran, G.; Regenstein, J.M. Fish gelatin. Adv. Food Nutr. Res. 2010, 60, 119–143. [Google Scholar]
- Ata, O.; Kokini, J.L.; Tavman, S.; Yazar, G. Advances in Collagen-/Gelatin-Based hydrogels: Rheological properties and applications. Macromol 2025, 5, 55. [Google Scholar] [CrossRef]
- Bhagwat, P.K.; Dandge, P.B. Isolation, characterization and valorizable applications of fish scale collagen in food and agriculture industries. Biocatal. Agric. Biotechnol. 2016, 7, 234–240. [Google Scholar] [CrossRef]
- Tabib, M.; Rakotomanomana, N.; Remmal, A.; Chemat, F. Green Extraction Techniques. In Green Extraction Techniques in Food Analysis; Bentham Science Publishers: Sharjah, United Arab Emirates, 2023; pp. 24–67. [Google Scholar] [CrossRef]
- Vilkhu, K.; Mawson, R.; Simons, L.; Bates, D. Applications and opportunities for ultrasound assisted extraction in the food industry—A review. Innov. Food Sci. Emerg. Technol. 2008, 9, 161–169. [Google Scholar] [CrossRef]
- Rahman, M.M.; Lamsal, B.P. Ultrasound-assisted extraction and modification of plant-based proteins: Impact on physicochemical, functional, and nutritional properties. Compr. Rev. Food Sci. Food Saf. 2021, 20, 1457–1480. [Google Scholar] [CrossRef] [PubMed]
- Liu, J.; Li, H.; Mustapha, W.A.W.; Zhang, X. Ultrasound-assisted alkaline hydrolysis of fish (Cyprinus carpio L.) scale gelatin: A possible curcumin delivery system with increased water solubility and sustained release. LWT 2024, 191, 115589. [Google Scholar] [CrossRef]
- Senarathna, P.D.S.; Marapana, R.A.U.J. Comparative analysis of the effect of ultrasound-assisted and conventional water bath extraction methods on the physicochemical characteristics of tilapia scales gelatin. J. Aquat. Food Prod. Technol. 2021, 30, 893–906. [Google Scholar] [CrossRef]
- Pezeshk, S.; Abdollahi, M. Ultrasound technology in fish proteins processing: Innovations in extraction and structure–function dynamics. Ultrason. Sonochem. 2025, 120, 107503. [Google Scholar] [CrossRef]
- Ding, Q.; Ranasinghe, R.D.A.; Mo, Z.; Yang, H.; Luo, L.; Ma, H.; Zhang, T. Ultrasound-induced modifications of fish proteins: A comprehensive review of structural, physicochemical, functional properties, and industrial applications. Food Res. Int. 2026, 232, 118788. [Google Scholar] [CrossRef]
- Luo, M.; Lu, G.; Yin, H.; Wang, L.; Atuganile, M.; Dong, Z. Fish pigmentation and coloration: Molecular mechanisms and aquaculture perspectives. Rev. Aquac. 2021, 13, 2395–2412. [Google Scholar] [CrossRef]
- NREL/TP-510-42621; Determination of Total Solids in Biomass and Total Dissolved Solids in Liquid Process Samples. National Renewable Energy Laboratory: Golden, CO, USA, 2008.
- Rodriguez-Loya, J.; Lerma, M.; Gardea-Torresdey, J.L. Dynamic light scattering and its application to control nanoparticle aggregation in colloidal systems: A review. Micromachines 2023, 15, 24. [Google Scholar] [CrossRef]
- Wu, J.; Xiao, J.; Zhu, M.; Yang, H.; Liu, J.; Liu, Y. Study of physicochemical and gelation properties of fish gelatin from different sources. Appl. Sci. 2023, 13, 5337. [Google Scholar] [CrossRef]
- Moniruzzaman, S.M.; Takahashi, K.; Nesa, N.U.; Keratimanoch, S.; Okazaki, E.; Osako, K. Characterization of acid-and pepsin-soluble collagens extracted from scales of carp and lizardfish caught in Japan, Bangladesh and Vietnam with a focus on thermostability. Food Sci. Technol. Res. 2019, 25, 331–340. [Google Scholar] [CrossRef]
- Arellano, F.M.; Bual, R.; Bantilan, Z.C.; Alimasag, J.; Aron, J.; Baclayon, L.; Bacosa, H. Upcycling waste tilapia (oreochromis niloticus) scales through a decellularization process for extracellular matrix extraction. Mater. Res. Express 2024, 11, 025101. [Google Scholar] [CrossRef]
- Hasdar, M.; Nalinanon, S.; Sriket, C. Impact of pretreatment with acid and ultrasound on the production and characteristics of goat skin gelatin. Curr. Res. Nutr. Food Sci. 2024, 12, 890–910. [Google Scholar] [CrossRef]
- Truc, T.T.; Thom, N.V.; Ha, N.T.N.; Thuan, N.H.D.; Thuy, L.T.M. Properties of gelatin extracted from snakehead fish (Chitala striata) by-products at various temperatures and times. Food Sci. Technol. 2022, 42, e79922. [Google Scholar] [CrossRef]
- Venupriya, V.; Krishnaveni, V.; Ramya, M. Effect of acidic and alkaline pretreatment on functional, structural and thermal properties of gelatin from waste fish scales. Polym. Bull. 2023, 80, 10533–10567. [Google Scholar] [CrossRef]
- Goudie, K.J.; McCreath, S.J.; Parkinson, J.A.; Davidson, C.M.; Liggat, J.J. Investigation of the influence of pH on the properties and morphology of gelatin hydrogels. J. Polym. Sci. 2023, 61, 2316–2332. [Google Scholar] [CrossRef]
- Antunez-Medina, J.R.; Suárez-Jiménez, G.M.; Ocano-Higuera, V.M.; Tolano-Villaverde, I.d.J.; Ornelas-Paz, J.d.J.; Torres-Arreola, W.; Márquez-Ríos, E. Application of Ultrasound in Proteins: Physicochemical, Structural Changes, and Functional Properties with Emphasis on Foaming Properties. Processes 2025, 13, 1646. [Google Scholar] [CrossRef]
- Sun, Q.; Kong, B.; Zheng, O.; Liu, S.; Dong, X. Effect of protein structure changes during different power ultrasound thawing on emulsification properties of common carp (Cyprinus carpio) myofibrillar protein. Ultrason. Sonochem. 2023, 101, 106719. [Google Scholar] [CrossRef]
- Jambrak, A.R.; Mason, T.J.; Lelas, V.; Paniwnyk, L.; Herceg, Z. Effect of ultrasound treatment on particle size and molecular weight of whey proteins. J. Food Eng. 2014, 121, 15–23. [Google Scholar] [CrossRef]
- Odelli, D.; Sarigiannidou, K.; Soliani, A.; Marie, R.; Mohammadifar, M.A.; Jessen, F.; Spigno, G.; Vall-llosera, M.; de Carvalho, A.F.; Verni, M.; et al. Interaction between Fish Skin Gelatin and Pea Protein at Air-Water Interface after Ultrasound Treatment. Foods 2022, 11, 659. [Google Scholar] [CrossRef]
- Tosh, S.M.; Marangoni, A.G.; Hallett, F.R.; Britt, I.J. Aging dynamics in gelatin gel microstructure. Food Hydrocoll. 2003, 17, 503–513. [Google Scholar] [CrossRef]
- Danaei, M.R.M.M.; Dehghankhold, M.; Ataei, S.; Hasanzadeh Davarani, F.; Javanmard, R.; Dokhani, A.; Mozafari, Y.M. Impact of particle size and polydispersity index on the clinical applications of lipidic nanocarrier systems. Pharmaceutics 2018, 10, 57. [Google Scholar] [CrossRef] [PubMed]
- Tang, C.; Zhao, D.; Dai, L.; Min, D.; Jiang, H. Ultrasonic-acid modification of 70-kDa silkworm protein improves interfacial and rheological functionality for gel-like emulsion. Int. J. Biol. Macromol. 2025, 339, 149898. [Google Scholar] [CrossRef] [PubMed]
- Refat, M.K.H.; Nishi, F.A.; Shubhro, K.; Anisuzzaman, M.; Ahmed, A.; Islam, M.E.; Billah, M.M. Effects of Ultrasound-Assisted Extraction on Physicochemical and Functional Properties of Gelatin Derived from Hilsha (Tenualosa ilisha) Scales. Food Biophys. 2025, 20, 14. [Google Scholar] [CrossRef]
- Zhang, H.; Song, L.; Li, C.; Zhao, J.; Wang, H.; Qiu, L.; Zhang, Y. A novel C1q-domain-containing protein from Zhikong scallop Chlamys farreri with lipopolysaccharide binding activity. Fish. Shellfish. Immunol. 2008, 25, 281–289. [Google Scholar] [CrossRef]
- Baydin, T.; Aarstad, O.A.; Dille, M.J.; Hattrem, M.N.; Draget, K.I. Long-term storage stability of type A and type B gelatin gels: The effect of Bloom strength and co-solutes. Food Hydrocoll. 2022, 127, 107535. [Google Scholar] [CrossRef]
- Sántiz-Gómez, M.A.; Mazorra-Manzano, M.A.; Ramírez-Guerra, H.E.; Scheuren-Acevedo, S.M.; Navarro-García, G.; Pacheco-Aguilar, R.; Ramírez-Suárez, J.C. Effect of acid treatment on extraction yield and gel strength of gelatin from whiptail stingray (Dasyatis brevis) skin. Food Sci. Biotechnol. 2018, 28, 751. [Google Scholar] [CrossRef]
- Zhu, M.; Xiong, W.; Devkota, L.; Dhital, S. Ultrasound-Induced Changes in the Structure and Functionality of Starch and Protein. Food Hydrocoll. 2025, 172, 112111. [Google Scholar] [CrossRef]
- Mondal, J.; Lakkaraju, R.; Ghosh, P.; Ashokkumar, M. Acoustic Cavitation-Induced Shear: A Mini-Review. Biophys. Rev. 2021, 13, 1229–1243. [Google Scholar] [CrossRef]
- Asiamah, E.; Atter, A.; Ofori, H.; Akonor, P.T.; Nketia, S.; Koivula, H.; Lee, Y.; Agyakwah, S. Effect of seasonal variation and farming systems on the properties of Nile tilapia gelatin extracted from scales. Heliyon 2024, 13, e24504. [Google Scholar] [CrossRef]
- El-Rashidy, A.A.; Gad, A.; Abu-Hussein, A.E.H.G.; Habib, S.I.; Badr, N.A.; Hashem, A.A. Chemical and biological evaluation of Egyptian Nile Tilapia (Oreochromis niloticas) fish scale collagen. Int. J. Biol. Macromol. 2015, 79, 618–626. [Google Scholar] [CrossRef]
- Payne, K.J.; Veis, A. Fourier transform IR spectroscopy of collagen and gelatin solutions: Deconvolution of the amide I band for conformational studies. Biopolymers 1988, 27, 1749–1760. [Google Scholar] [CrossRef] [PubMed]
- Jackson, M.; Watson, P.H.; Halliday, W.C.; Mantsch, H.H. Beware of connective tissue proteins: Assignment and implications of collagen absorptions in infrared spectra of human tissues. Biochim. Biophys. Acta Mol. Basis Dis. 1995, 1270, 1–6. [Google Scholar] [CrossRef] [PubMed]
- Smoday, I.M.; Vukovic, V.; Oroz, K.; Vranes, H.; Kalogjera, L.; Gamulin, O.; Vlainic, J.; Milavic, M.; Sikiric, S.; Nikolac Gabaj, N.; et al. Fourier Transform Infrared Spectroscopic Characterization of Aortic Wall Remodeling by Stable Gastric Pentadecapeptide BPC 157 After Unilateral Adrenalectomy in Rats. Pharmaceuticals 2026, 19, 191. [Google Scholar] [CrossRef] [PubMed]
- Bryan, M.A.; Brauner, J.W.; Anderle, G.; Flach, C.R.; Brodsky, B.; Mendelsohn, R. FTIR Studies of Collagen Model Peptides: Complementary Experimental and Simulation Approaches to Conformation and Unfolding. J. Am. Chem. Soc. 2007, 129, 7877–7884. [Google Scholar] [CrossRef]
- Xiao, H.; Cai, G.; Liu, M. Hydroxyl radical induced structural changes of collagen. J. Spectrosc. 2007, 21, 91–103. [Google Scholar] [CrossRef]
- Abe, Y.; Krimm, S. Normal vibrations of polyglycine II. Biopolymers 1972, 11, 1841–1853. [Google Scholar] [CrossRef]
- Sai, K.P.; Babu, M. Studies on Rana tigerina skin collagen. Comp. Biochem. Physiol. B Biochem. Mol. Biol. 2001, 128, 81–90. [Google Scholar]
- Mittal, V.; Nedeljkovic, M.; Carpenter, L.G.; Khokhar, A.Z.; Chong, H.M.; Mashanovich, G.Z.; Wilkinson, J.S. Waveguide absorption spectroscopy of bovine serum albumin in the mid-infrared fingerprint region. ACS Sens. 2019, 4, 1749–1753. [Google Scholar] [CrossRef]
- Zhu, M.; Xiao, J.; Lv, Y.; Li, X.; Zhou, Y.; Liu, M.; Wang, C. Preparation, Characterization, and Evaluation of Enzyme Co-Modified Fish Gelatin-Based Antibacterial Derivatives. Polymers 2024, 16, 895. [Google Scholar] [CrossRef]
- Low, Z.L.; Low, D.Y.S.; Tang, S.Y.; Manickam, S.; Tan, K.W.; Ban, Z.H. Ultrasonic cavitation: An effective cleaner and greener intensification technology in the extraction and surface modification of nanocellulose. Ultrason. Sonochem. 2022, 90, 106176. [Google Scholar] [CrossRef]
- Emam, A.N. Collagen and collagen-derived materials: Synthesis, structure, classification, fundamental properties and biomedical applications. Discov. Appl. Sci. 2025, 7, 1114. [Google Scholar] [CrossRef]
- Zou, Y.; Yang, H.; Zhang, X.; Xu, P.; Jiang, D.; Zhang, M.; Wang, D. Effect of ultrasound power on extraction kinetic model, and physicochemical and structural characteristics of collagen from chicken lung. Food Prod. Process. Nutr. 2020, 2, 3. [Google Scholar] [CrossRef]
- Hu, G.; Li, X.; Su, R.; Corazzin, M.; Liu, X.; Dou, L.; Jin, Y. Effects of ultrasound on the structural and functional properties of sheep bone collagen. Ultrason. Sonochem. 2023, 95, 106366. [Google Scholar] [CrossRef] [PubMed]
- Nuvoli, L.; Conte, P.; Fadda, C.; Ruiz, J.A.R.; García, J.M.; Baldino, S.; Mannu, A. Structural, thermal, and mechanical properties of gelatin-based films integrated with tara gum. Polymer 2021, 214, 123244. [Google Scholar] [CrossRef]
- Liu, H.; Zhang, H.; Wang, K.; Qi, L.; Guo, Y.; Zhang, C.; Xu, Y. Impact of ultrasonication on the self-assembly behavior and gel properties of bovine bone collagen I. Molecules 2023, 28, 3096. [Google Scholar] [CrossRef]
- Charoenchokpanich, W.; Muangrod, P.; Roytrakul, S.; Rungsardthong, V.; Vatanyoopaisarn, S.; Wonganu, B.; Thumthanaruk, B. Influence of extraction times on physical and functional properties of gelatin from salted jellyfish by-products. In E3S Web of Conferences; EDP Sciences: Les Ulis, France, 2022; Volume 355, p. 02014. [Google Scholar] [CrossRef]
- Amirrah, I.N.; Lokanathan, Y.; Zulkiflee, I.; Wee, M.M.R.; Motta, A.; Fauzi, M.B. A comprehensive review on collagen type I development of biomaterials for tissue engineering: From biosynthesis to bioscaffold. Biomedicines 2022, 10, 2307. [Google Scholar] [CrossRef]
- Li, X.; Sha, X.M.; Yang, H.S.; Ren, Z.Y.; Tu, Z.C. Ultrasonic treatment regulates the properties of gelatin emulsion to obtain high-quality gelatin film. Food Chem. X 2023, 18, 100673. [Google Scholar] [CrossRef]
- Syandri, H.; Aryani, N.; Azrita, A. Biometric Indicators, Gelatin Yield, and Functional Properties of Fish Scale Waste From Three Species with Different Trophic Levels. Int. J. Food Sci. 2025, 23, 6628788. [Google Scholar] [CrossRef]
- Arseni, L.; Lombardi, A.; Orioli, D. From structure to phenotype: Impact of collagen alterations on human health. Int. J. Mol. Sci. 2018, 19, 1407. [Google Scholar] [CrossRef]
- Lv, L.C.; Huang, Q.Y.; Ding, W.; Xiao, X.H.; Zhang, H.Y.; Xiong, L.X. Fish gelatin: The novel potential applications. J. Funct. Foods 2019, 63, 103581. [Google Scholar] [CrossRef]
- Alcaide-Ruggiero, L.; Molina-Hernández, V.; Granados, M.M.; Domínguez, J.M. Main and minor types of collagens in the articular cartilage: The role of collagens in repair tissue evaluation in chondral defects. Int. J. Mol. Sci. 2021, 22, 13329. [Google Scholar] [CrossRef]
- Ishihama, Y.; Oda, Y.; Tabata, T.; Sato, T.; Nagasu, T.; Rappsilber, J.; Mann, M. Exponentially modified protein abundance index (emPAI) for estimation of absolute protein amount in proteomics by the number of sequenced peptides per protein* s. Mol. Cell. Proteom. 2005, 4, 1265–1272. [Google Scholar] [CrossRef]








Disclaimer/Publisher’s Note: The statements, opinions and data contained in all publications are solely those of the individual author(s) and contributor(s) and not of MDPI and/or the editor(s). MDPI and/or the editor(s) disclaim responsibility for any injury to people or property resulting from any ideas, methods, instructions or products referred to in the content. |
© 2026 by the authors. Licensee MDPI, Basel, Switzerland. This article is an open access article distributed under the terms and conditions of the Creative Commons Attribution (CC BY) license.
Share and Cite
Triana-Jiménez, K.; Alonso, C.; Vega, M.A.; Juanes-Velasco, P.; Menéses-Rivera, I.; Velásquez-Lozano, M. Physicochemical and Functional Properties of Type B Gelatin Obtained from Nile Tilapia (Oreochromis niloticus) Scales Using Hydro-Extraction: Effect of Ultrasound Pretreatment. Pharmaceutics 2026, 18, 463. https://doi.org/10.3390/pharmaceutics18040463
Triana-Jiménez K, Alonso C, Vega MA, Juanes-Velasco P, Menéses-Rivera I, Velásquez-Lozano M. Physicochemical and Functional Properties of Type B Gelatin Obtained from Nile Tilapia (Oreochromis niloticus) Scales Using Hydro-Extraction: Effect of Ultrasound Pretreatment. Pharmaceutics. 2026; 18(4):463. https://doi.org/10.3390/pharmaceutics18040463
Chicago/Turabian StyleTriana-Jiménez, Kelly, Carlos Alonso, Milena A. Vega, Pablo Juanes-Velasco, Iván Menéses-Rivera, and Mario Velásquez-Lozano. 2026. "Physicochemical and Functional Properties of Type B Gelatin Obtained from Nile Tilapia (Oreochromis niloticus) Scales Using Hydro-Extraction: Effect of Ultrasound Pretreatment" Pharmaceutics 18, no. 4: 463. https://doi.org/10.3390/pharmaceutics18040463
APA StyleTriana-Jiménez, K., Alonso, C., Vega, M. A., Juanes-Velasco, P., Menéses-Rivera, I., & Velásquez-Lozano, M. (2026). Physicochemical and Functional Properties of Type B Gelatin Obtained from Nile Tilapia (Oreochromis niloticus) Scales Using Hydro-Extraction: Effect of Ultrasound Pretreatment. Pharmaceutics, 18(4), 463. https://doi.org/10.3390/pharmaceutics18040463

