Comprehensive In Vitro Metabolic Characterization of Eudesmin in Human and Mouse Hepatocytes
Abstract
1. Introduction
2. Materials and Methods
2.1. Materials
2.2. Metabolic Stability of Eudesmin in Human and Mouse Hepatocytes
2.3. Characterization of Eudesmin Metabolism in Hepatocytes and Liver S9 Fractions
2.4. Ion Identity Molecular Networking
2.5. Characterization of CYP Enzymes Involved in Eudesmin Metabolism
2.6. Screening of UGT and SULT Enzymes Involved in the Glucuronidation of M3
2.7. Analysis of Eudesmin and Its Metabolites via LC-MS/MS
2.8. Identification of Eudesmin Metabolites via LC-HRMS
2.9. Data Analysis and Statistical Analysis
3. Results
3.1. Metabolic Stability of Eudesmin in Hepatocytes
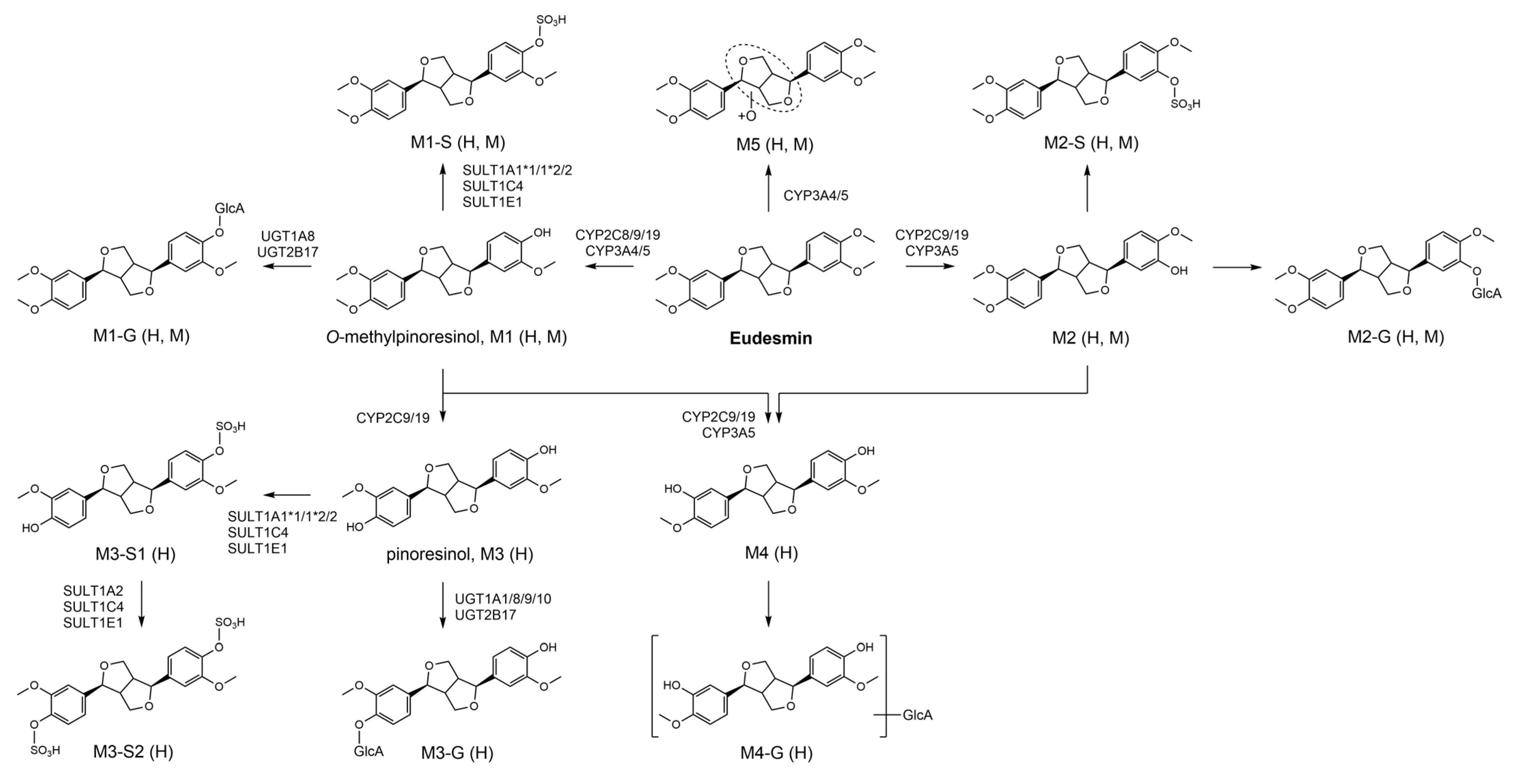
3.2. IIMN-Based Metabolic Pathway Analysis
3.3. Contributions of CYP Enzymes to the Phase I Metabolism of Eudesmin
3.4. UGT and SULT Enzyme Screening for Phase II Metabolism of Eudesmin
4. Discussion
Supplementary Materials
Author Contributions
Funding
Institutional Review Board Statement
Informed Consent Statement
Data Availability Statement
Acknowledgments
Conflicts of Interest
References
- Yi, X.; Xiao, Z.; Chen, J.; Chen, G.; Ma, P. Pharmacological Potential and Molecular Targets of Tetrahydrofurofuranoid Lignans From Magnoliae Flos. Drug Des. Dev. Ther. 2025, 19, 9011–9027. [Google Scholar] [CrossRef]
- Zhang, W.; Wang, Y.; Geng, Z.; Guo, S.; Cao, J.; Zhang, Z.; Pang, X.; Chen, Z.; Du, S.; Deng, Z. Antifeedant Activities of Lignans from Stem Bark of Zanthoxylum armatum DC. against Tribolium castaneum. Molecules 2018, 23, 617. [Google Scholar] [CrossRef]
- Jiang, L.L.; Sun, B.R.; Zheng, C.; Yang, G.L. The antitumour effects of eudesmin on lung cancer by inducing apoptosis via mitochondria-mediated pathway in the tumour cells. Pharm. Biol. 2017, 55, 2259–2263. [Google Scholar] [CrossRef]
- Yu, M.; Li, Y.; Li, M.; Lu, D. Eudesmin exerts antitumor effects by down-regulating EZH2 expression in nasopharyngeal carcinoma cells. Chem. Biol. Interact. 2019, 307, 51–57. [Google Scholar] [CrossRef]
- Lim, S.; Grassi, J.; Akhmedjanova, V.; Debiton, E.; Balansard, G.; Beliveau, R.; Barthomeuf, C. Reversal of P-glycoprotein-mediated drug efflux by eudesmin from Haplophyllum perforatum and cytotoxicity pattern versus diphyllin, podophyllotoxin and etoposide. Planta Med. 2007, 73, 1563–1567. [Google Scholar] [CrossRef] [PubMed]
- Yang, J.S.; Wang, C.M.; Su, C.H.; Ho, H.C.; Chang, C.H.; Chou, C.H.; Hsu, Y.M. Eudesmin attenuates Helicobacter pylori-induced epithelial autophagy and apoptosis and leads to eradication of H. pylori infection. Exp. Ther. Med. 2018, 15, 2388–2396. [Google Scholar] [CrossRef] [PubMed]
- Gao, P.; Li, L.; Yang, L.; Gui, D.; Zhang, J.; Han, J.; Wang, J.; Wang, N.; Lu, J.; Chen, S.; et al. Yin Yang 1 protein ameliorates diabetic nephropathy pathology through transcriptional repression of TGFbeta1. Sci. Transl. Med. 2019, 11, eaaw2050. [Google Scholar] [CrossRef]
- Liu, H.; Song, Z.; Liao, D.G.; Zhang, T.Y.; Liu, F.; Zhuang, K.; Luo, K.; Yang, L.; He, J.; Lei, J.P. Anticonvulsant and Sedative Effects of Eudesmin isolated from Acorus tatarinowii on mice and rats. Phytother. Res. 2015, 29, 996–1003. [Google Scholar] [CrossRef] [PubMed]
- Raimundo, J.M.; Trindade, A.P.; Velozo, L.S.; Kaplan, M.A.; Sudo, R.T.; Zapata-Sudo, G. The lignan eudesmin extracted from Piper truncatum induced vascular relaxation via activation of endothelial histamine H1 receptors. Eur. J. Pharmacol. 2009, 606, 150–154. [Google Scholar] [CrossRef]
- Nam, K.H.; Yi, S.A.; Lee, J.; Lee, M.G.; Park, J.H.; Oh, H.; Lee, J.; Park, J.W.; Han, J.W. Eudesmin impairs adipogenic differentiation via inhibition of S6K1 signaling pathway. Biochem. Biophys. Res. Commun. 2018, 505, 1148–1153. [Google Scholar] [CrossRef]
- Tran, T.T.V.; Tayara, H.; Chong, K.T. Artificial Intelligence in Drug Metabolism and Excretion Prediction: Recent Advances, Challenges, and Future Perspectives. Pharmaceutics 2023, 15, 1260. [Google Scholar] [CrossRef]
- Park, R.; Park, E.J.; Cho, Y.Y.; Lee, J.Y.; Kang, H.C.; Song, I.S.; Lee, H.S. Tetrahydrofurofuranoid Lignans, Eudesmin, Fargesin, Epimagnolin A, Magnolin, and Yangambin Inhibit UDP-Glucuronosyltransferase 1A1 and 1A3 Activities in Human Liver Microsomes. Pharmaceutics 2021, 13, 187. [Google Scholar] [CrossRef] [PubMed]
- Kim, J.H.; Kwon, S.S.; Jeong, H.U.; Lee, H.S. Inhibitory Effects of Dimethyllirioresinol, Epimagnolin A, Eudesmin, Fargesin, and Magnolin on Cytochrome P450 Enzyme Activities in Human Liver Microsomes. Int. J. Mol. Sci. 2017, 18, 952. [Google Scholar] [CrossRef]
- Kim, D.K.; Liu, K.H.; Jeong, J.H.; Ji, H.Y.; Oh, S.R.; Lee, H.K.; Lee, H.S. In vitro metabolism of magnolin and characterization of cytochrome P450 enzymes responsible for its metabolism in human liver microsomes. Xenobiotica 2011, 41, 358–371. [Google Scholar] [CrossRef]
- Lee, M.S.; Kim, E.J.; Lee, H.S. Metabolism of Magnolin in Human and Rat Hepatocytes Using Liquid Chromatography-High Resolution Mass Spectrometry. Mass. Spectrom. Lett. 2024, 15, 202–210. [Google Scholar] [CrossRef]
- Lee, M.S.; Shim, H.J.; Cho, Y.Y.; Lee, J.Y.; Kang, H.C.; Song, I.S.; Lee, H.S. Comparative metabolism of aschantin in human and animal hepatocytes. Arch. Pharm. Res. 2024, 47, 111–126. [Google Scholar] [CrossRef]
- Lee, M.S.; Park, E.J.; Cho, Y.Y.; Lee, J.Y.; Kang, H.C.; Lee, H.S. Comparative metabolism of fargesin in human, dog, monkey, mouse, and rat hepatocytes. Toxicol. Res. 2024, 40, 125–137. [Google Scholar] [CrossRef] [PubMed]
- Lee, M.S.; Kim, J.H.; Cho, Y.Y.; Lee, J.Y.; Kang, H.C.; Song, I.S.; Lee, H.S. Metabolite phenotyping of kobusin and identification of glutathione conjugates with kobusin catechol metabolite. Biomed. Pharmacother. 2025, 189, 118255. [Google Scholar] [CrossRef] [PubMed]
- Dunn, W.B.; Erban, A.; Weber, R.J.M.; Creek, D.J.; Brown, M.; Breitling, R.; Hankemeier, T.; Goodacre, R.; Neumann, S.; Kopka, J.; et al. Mass appeal: Metabolite identification in mass spectrometry-focused untargeted metabolomics. Metabolomics 2013, 9, S44–S66. [Google Scholar] [CrossRef]
- Jeong, H.U.; Kim, J.H.; Kong, T.Y.; Choi, W.G.; Lee, H.S. Comparative metabolism of honokiol in mouse, rat, dog, monkey, and human hepatocytes. Arch. Pharm. Res. 2016, 39, 516–530. [Google Scholar] [CrossRef]
- Adusumilli, R.; Mallick, P. Data Conversion with ProteoWizard msConvert. Methods Mol. Biol. 2017, 1550, 339–368. [Google Scholar] [CrossRef]
- Schmid, R.; Heuckeroth, S.; Korf, A.; Smirnov, A.; Myers, O.; Dyrlund, T.S.; Bushuiev, R.; Murray, K.J.; Hoffmann, N.; Lu, M.; et al. Integrative analysis of multimodal mass spectrometry data in MZmine 3. Nat. Biotechnol. 2023, 41, 447–449. [Google Scholar] [CrossRef] [PubMed]
- Wang, M.; Carver, J.J.; Phelan, V.V.; Sanchez, L.M.; Garg, N.; Peng, Y.; Nguyen, D.D.; Watrous, J.; Kapono, C.A.; Luzzatto-Knaan, T.; et al. Sharing and community curation of mass spectrometry data with Global Natural Products Social Molecular Networking. Nat. Biotechnol. 2016, 34, 828–837. [Google Scholar] [CrossRef] [PubMed]
- Shannon, P.; Markiel, A.; Ozier, O.; Baliga, N.S.; Wang, J.T.; Ramage, D.; Amin, N.; Schwikowski, B.; Ideker, T. Cytoscape: A software environment for integrated models of biomolecular interaction networks. Genome Res. 2003, 13, 2498–2504. [Google Scholar] [CrossRef]
- Davies, B.; Morris, T. Physiological parameters in laboratory animals and humans. Pharm. Res. 1993, 10, 1093–1095. [Google Scholar] [CrossRef]
- Sohlenius-Sternbeck, A.K. Determination of the hepatocellularity number for human, dog, rabbit, rat and mouse livers from protein concentration measurements. Toxicol. Vitr. 2006, 20, 1582–1586. [Google Scholar] [CrossRef] [PubMed]
- Bohnert, T.; Gan, L. The Role of Drug Metabolism in Drug Discovery; John Wiley & Sons: Hoboken, NJ, USA, 2010. [Google Scholar]
- Kong, T.Y.; Kim, J.H.; Choi, W.G.; Lee, J.Y.; Kim, H.S.; Kim, J.Y.; In, M.K.; Lee, H.S. Metabolic characterization of (1-(5-fluoropentyl)-1H-indol-3-yl)(4-methyl-1-naphthalenyl)-methanone (MAM-2201) using human liver microsomes and cDNA-overexpressed cytochrome P450 enzymes. Anal. Bioanal. Chem. 2017, 409, 1667–1680. [Google Scholar] [CrossRef]
- Crespi, C.L.; Miller, V.P. The use of heterologously expressed drug metabolizing enzymes—State of the art and prospects for the future. Pharmacol. Ther. 1999, 84, 121–131. [Google Scholar] [CrossRef]
- Woods, C.M.; Fernandez, C.; Kunze, K.L.; Atkins, W.M. Allosteric activation of cytochrome P450 3A4 by alpha-naphthoflavone: Branch point regulation revealed by isotope dilution analysis. Biochemistry 2011, 50, 10041–10051. [Google Scholar] [CrossRef]
- During, A.; Debouche, C.; Raas, T.; Larondelle, Y. Among plant lignans, pinoresinol has the strongest antiinflammatory properties in human intestinal Caco-2 cells. J. Nutr. 2012, 142, 1798–1805. [Google Scholar] [CrossRef]
- Wikul, A.; Damsud, T.; Kataoka, K.; Phuwapraisirisan, P. (+)-Pinoresinol is a putative hypoglycemic agent in defatted sesame (Sesamum indicum) seeds though inhibiting alpha-glucosidase. Bioorg. Med. Chem. Lett. 2012, 22, 5215–5217. [Google Scholar] [CrossRef] [PubMed]
- Owen, R.W.; Giacosa, A.; Hull, W.E.; Haubner, R.; Spiegelhalder, B.; Bartsch, H. The antioxidant/anticancer potential of phenolic compounds isolated from olive oil. Eur. J. Cancer 2000, 36, 1235–1247. [Google Scholar] [CrossRef]
- Martignoni, M.; Groothuis, G.M.; de Kanter, R. Species differences between mouse, rat, dog, monkey and human CYP-mediated drug metabolism, inhibition and induction. Expert Opin. Drug Metab. Toxicol. 2006, 2, 875–894. [Google Scholar] [CrossRef]
- Court, M.H. Interindividual variability in hepatic drug glucuronidation: Studies into the role of age, sex, enzyme inducers, and genetic polymorphism using the human liver bank as a model system. Drug Metab. Rev. 2010, 42, 209–224. [Google Scholar] [CrossRef]
- Ohno, S.; Nakajin, S. Determination of mRNA expression of human UDP-glucuronosyltransferases and application for localization in various human tissues by real-time reverse transcriptase-polymerase chain reaction. Drug Metab. Dispos. 2009, 37, 32–40. [Google Scholar] [CrossRef]
- Tukey, R.H.; Strassburg, C.P. Human UDP-glucuronosyltransferases: Metabolism, expression, and disease. Annu. Rev. Pharmacol. Toxicol. 2000, 40, 581–616. [Google Scholar] [CrossRef]
- Verbeeck, R.K. Pharmacokinetics and dosage adjustment in patients with hepatic dysfunction. Eur. J. Clin. Pharmacol. 2008, 64, 1147–1161. [Google Scholar] [CrossRef] [PubMed]
- Van Booven, D.; Marsh, S.; McLeod, H.; Carrillo, M.W.; Sangkuhl, K.; Klein, T.E.; Altman, R.B. Cytochrome P450 2C9-CYP2C9. Pharmacogenetics Genom. 2010, 20, 277–281. [Google Scholar] [CrossRef]
- Theken, K.N.; Lee, C.R.; Gong, L.; Caudle, K.E.; Formea, C.M.; Gaedigk, A.; Klein, T.E.; Agundez, J.A.G.; Grosser, T. Clinical Pharmacogenetics Implementation Consortium Guideline (CPIC) for CYP2C9 and Nonsteroidal Anti-Inflammatory Drugs. Clin. Pharmacol. Ther. 2020, 108, 191–200. [Google Scholar] [CrossRef] [PubMed]








| Parameters | Human | Mouse |
|---|---|---|
| t1/2 (min) | 181.0 ± 25.3 | 132.9 ± 2.4 |
| CLint (mL/min/kg) | 27.7 ± 3.6 | 154.0 ± 2.9 |
| CLhep (mL/min/kg) | 11.8 ± 0.7 | 56.8 ± 0.4 |
| Hepatic extraction ratio | 0.57 ± 0.03 | 0.63 ± 0.01 |
| Name | tR (min) | Elemental Composition | m/z [M+NH4]+ | Mass Error (ppm) | Product Ions (m/z) | Biotransformation | Species | |
|---|---|---|---|---|---|---|---|---|
| H | M | |||||||
| Eudesmin | 43.22 | C22H26O6 | 404.20651 | −0.64 | 151.07539, 189.09100, 219.10158, 249.11201, 369.16962 | - | ○ | ○ |
| M1 | 36.87 | C21H24O6 | 390.19128 | 0.41 | 137.05957, 151.07521, 175.07524, 189.09074, 205.08592, 219.10138, 235.09628, 249.11179, 355.15372 | O-demethylation | ○ | ○ |
| M2 | 39.4 | C21H24O6 | 390.19107 | −0.13 | 137.06009, 151.07590, 175.07573, 189.09126, 205.08585, 219.10115, 235.09683, 249.11234, 355.15302 | O-demethylation | ○ | ○ |
| M3 | 25.76 | C20H22O6 | 376.17499 | −1.28 | 137.05969, 175.07527, 205.08578, 235.09630, 341.13824 | di-O-demethylation | ○ | ND |
| M4 | 30.19 | C20H22O6 | 376.17520 | −0.72 | 137.05963, 175.07526, 205.08604, 235.09630, 341.13779 | di-O-demethylation | ○ | ND |
| M5 | 35.55 | C22H26O7 | 403.17538 * | 0.62 | 151.07532, 189.09097, 217.08586, 219.10172, 247.09645, 265.10626, 385.16425 | hydroxylation | ○ | ○ |
| M1-G | 13.56 | C27H32O12 | 566.22369 | 0.85 | 137.05952, 151.07536, 175.07541, 189.09113, 205.08612, 219.10159, 235.09647, 249.11214, 355.15408 | O-demethylation & glucuronidation | ○ | ○ |
| M2-G | 20.25 | C27H32O12 | 566.22400 | 1.40 | 137.05969, 151.07545, 175.07542, 189.09100, 205.08607, 219.10155, 235.09637, 249.11203, 355.15399 | O-demethylation & glucuronidation | ○ | ○ |
| M3-G | 5.43 | C26H30O12 | 552.20862 | 1.92 | 137.05975, 175.07547, 205.08609, 235.09648, 341.13846 | di-O-demethylation & glucuronidation | ○ | ND |
| M4-G | 11.53 | C26H30O12 | 552.20807 | 0.92 | 175.07616, 205.08626, 235.09628, 341.13971 | di-O-demethylation & glucuronidation | ○ | ND |
| M1-S | 20.02 | C21H24O9S | 470.14838 | 0.94 | 137.05954, 151.07553, 175.07542, 217.01657, 235.09653, 249.11153, 255.03215, 285.04260, 315.05359, 355.15414, 435.11111 | O-demethylation & sulfation | ○ | ○ |
| M2-S | 25.41 | C21H24O9S | 470.14764 | −0.64 | 217.01633, 235.09778, 249.11172, 285.04147, 315.05350, 355.15515, 435.11029 | O-demethylation & sulfation | ○ | ○ |
| M3-S1 | 10.74 | C20H22O9S | 456.13239 | 0.22 | 137.05975, 175.07561, 205.08652, 217.01608, 235.09636, 255.03220, 285.04297, 315.05316, 341.13803, 421.09561 | di-O-demethylation & sulfation | ○ | ND |
| M3-S2 | 2.51 | C20H22O12S2 | 536.08972 | 1.16 | 137.06032, 205.08562, 217.01642, 235.09645, 255.03249, 285.04367, 315.05338, 341.13934, 421.09387, 456.13095 | di-O-demethylation & disulfation | ○ | ND |
| Parameters | CYP2C8 | CYP2C9 | CYP2C19 | CYP3A4 | CYP3A5 | HLM |
|---|---|---|---|---|---|---|
| M1 | ||||||
| Km (μM) | 16.6 | 18.9 | 21.2 | 123.9 | 276.4 | 32.0 |
| Vmax | 0.8 | 3.3 | 1.0 | 2.9 | 15.8 | 333.9 |
| Ki (μM) | - | 911.0 | 1616.4 | - | - | 1154.8 |
| CLint | 0.05 | 0.2 | 0.05 | 0.02 | 0.06 | 10.4 |
| n | - | - | - | 1.6 | - | - |
| Contribution (%) | 3.8 | 55.7 | 0.3 | 5.2 | 38.8 | - |
| M2 | ||||||
| Km (μM) | - | 31.2 | 46.4 | 154.0 | 70.6 | 39.6 |
| Vmax | - | 3.6 | 0.5 | 0.6 | 0.6 | 81.9 |
| Ki (μM) | - | 197.9 | 96.7 | - | 1297.7 | 1141.7 |
| CLint | - | 0.1 | 0.01 | 0.004 | 0.008 | 2.1 |
| n | - | - | - | 1.5 | - | 1.4 |
| Contribution (%) | - | 96.0 | 0.2 | 1.6 | 2.2 | - |
| M3 | ||||||
| Km (μM) | - | 6.4 | 114.0 | - | - | 25,404.9 |
| Vmax | - | 0.02 | 0.9 | - | - | 925.0 |
| Ki (μM) | - | 56.1 | 3.8 | - | - | 0.04 |
| CLint | - | 0.004 | 0.008 | - | - | 0.04 |
| Contribution (%) | - | 63.3 | 36.7 | - | - | - |
| M4 | ||||||
| Km (μM) | - | 6.9 | 1899.9 | - | - | - |
| Vmax | - | 0.02 | 3.2 | - | - | - |
| Ki (μM) | - | 70.3 | 0.3 | - | - | - |
| CLint | - | 0.003 | 0.002 | - | - | - |
| n | - | - | - | - | - | - |
| Contribution (%) | - | 30.4 | 69.6 | - | - | - |
| M5 | ||||||
| Km (μM) | - | - | - | 139.0 | 164.9 | 339.5 |
| Vmax | - | - | - | 10.3 | 2.2 | 394.7 |
| CLint | - | - | - | 0.07 | 0.01 | 1.2 |
| n | - | - | - | 1.4 | 1.3 | 1.4 |
| Contribution (%) | - | - | - | 77.3 | 22.7 | - |
Disclaimer/Publisher’s Note: The statements, opinions and data contained in all publications are solely those of the individual author(s) and contributor(s) and not of MDPI and/or the editor(s). MDPI and/or the editor(s) disclaim responsibility for any injury to people or property resulting from any ideas, methods, instructions or products referred to in the content. |
© 2026 by the authors. Licensee MDPI, Basel, Switzerland. This article is an open access article distributed under the terms and conditions of the Creative Commons Attribution (CC BY) license.
Share and Cite
Lee, M.S.; Kim, J.-H.; Song, I.-S.; Cho, Y.-Y.; Lee, J.Y.; Lee, H.S. Comprehensive In Vitro Metabolic Characterization of Eudesmin in Human and Mouse Hepatocytes. Pharmaceutics 2026, 18, 432. https://doi.org/10.3390/pharmaceutics18040432
Lee MS, Kim J-H, Song I-S, Cho Y-Y, Lee JY, Lee HS. Comprehensive In Vitro Metabolic Characterization of Eudesmin in Human and Mouse Hepatocytes. Pharmaceutics. 2026; 18(4):432. https://doi.org/10.3390/pharmaceutics18040432
Chicago/Turabian StyleLee, Min Seo, Ju-Hyun Kim, Im-Sook Song, Yong-Yeon Cho, Joo Young Lee, and Hye Suk Lee. 2026. "Comprehensive In Vitro Metabolic Characterization of Eudesmin in Human and Mouse Hepatocytes" Pharmaceutics 18, no. 4: 432. https://doi.org/10.3390/pharmaceutics18040432
APA StyleLee, M. S., Kim, J.-H., Song, I.-S., Cho, Y.-Y., Lee, J. Y., & Lee, H. S. (2026). Comprehensive In Vitro Metabolic Characterization of Eudesmin in Human and Mouse Hepatocytes. Pharmaceutics, 18(4), 432. https://doi.org/10.3390/pharmaceutics18040432

