Fluorinated Rh(I)–NHC Compounds as Potential Antibacterials Against Multidrug-Resistant Klebsiella pneumoniae Clinical Isolates Producing ESBL
Abstract
1. Introduction
2. Results and Discussion
2.1. Synthesis and Characterization of the Rh(I)–NHC Complexes
2.2. Isolation and Characterization of MDR Klebsiella pneumoniae
2.3. Antibacterial Activity Evaluation (MIC/MBC)
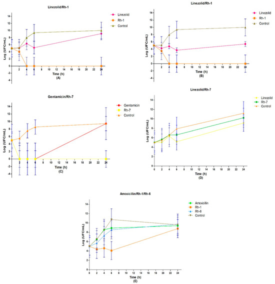
2.4. Time–Killing Kinetics of Rh(I)–NHC Complexes
2.5. ADMET Prediction/Pharmacokinetic Parameters
3. Conclusions
Supplementary Materials
Author Contributions
Funding
Institutional Review Board Statement
Data Availability Statement
Acknowledgments
Conflicts of Interest
References
- van Duin, D.; Paterson, D.L. Multidrug-Resistant Bacteria in the Community: Trends and Lessons Learned. Infect. Dis. Clin. N. Am. 2016, 30, 377–390. [Google Scholar] [CrossRef]
- Spellberg, B.; Blaser, M.; Guidos, R.J.; Boucher, H.W.; Bradley, J.S.; Eisenstein, B.I.; Gerding, D.; Lynfield, R.; Reller, L.B.; Rex, J.; et al. Combating antimicrobial resistance: Policy recommendations to save lives. Clin. Infect. Dis. 2011, 52 (Suppl. S5), S397–S428. [Google Scholar] [CrossRef] [PubMed]
- Rodriguez-Villodres, A.; Martin-Gandul, C.; Penalva, G.; Guisado-Gil, A.B.; Crespo-Rivas, J.C.; Pachon-Ibanez, M.E.; Lepe, J.A.; Cisneros, J.M. Prevalence and Risk Factors for Multidrug-Resistant Organisms Colonization in Long-Term Care Facilities Around the World: A Review. Antibiotics 2021, 10, 680. [Google Scholar] [CrossRef]
- Medina, E.; Pieper, D.H. Tackling Threats and Future Problems of Multidrug-Resistant Bacteria. Curr. Top. Microbiol. Immunol. 2016, 398, 3–33. [Google Scholar] [CrossRef] [PubMed]
- Tigabu, A.; Getaneh, A. Staphylococcus aureus, ESKAPE Bacteria Challenging Current Health Care and Community Settings: A Literature Review. Clin. Lab. 2021, 67, 1539–1549. [Google Scholar] [CrossRef]
- Santajit, S.; Indrawattana, N. Mechanisms of Antimicrobial Resistance in ESKAPE Pathogens. Biomed. Res. Int. 2016, 2016, 2475067. [Google Scholar] [CrossRef]
- Rice, L.B. Federal funding for the study of antimicrobial resistance in nosocomial pathogens: No ESKAPE. J. Infect. Dis. 2008, 197, 1079–1081. [Google Scholar] [CrossRef]
- Bush, K.; Jacoby, G.A. Updated functional classification of beta-lactamases. Antimicrob. Agents Chemother. 2010, 54, 969–976. [Google Scholar] [CrossRef]
- Rice, L.B. Progress and challenges in implementing the research on ESKAPE pathogens. Infect. Control Hosp. Epidemiol. 2010, 31 (Suppl. S1), S7–S10. [Google Scholar] [CrossRef] [PubMed]
- Tacconelli, E.; Cataldo, M.A.; Dancer, S.J.; De Angelis, G.; Falcone, M.; Frank, U.; Kahlmeter, G.; Pan, A.; Petrosillo, N.; Rodriguez-Bano, J.; et al. ESCMID guidelines for the management of the infection control measures to reduce transmission of multidrug-resistant Gram-negative bacteria in hospitalized patients. Clin. Microbiol. Infect. 2014, 20 (Suppl. S1), 1–55. [Google Scholar] [CrossRef]
- CDC. Antibiotic Resistance Threats in the United States, 2019; U.S. Department of Health and Human Services, CDC: Atlanta, GA, USA, 2019.
- Jacoby, G.A. AmpC beta-lactamases. Clin. Microbiol. Rev. 2009, 22, 161–182. [Google Scholar] [CrossRef]
- Gonzalez, A.C.; Nieves, B.; Solorzano, M.; Cruz, J.; Puig, J.; Moreno, M. Characterization of extended-spectrum beta-lactamases-producing Klebsiella pneumoniae isolates of two intensive care units. Rev. Chilena Infectol. 2013, 30, 374–380. [Google Scholar] [CrossRef]
- Ho, J.; Tambyah, P.A.; Paterson, D.L. Multiresistant Gram-negative infections: A global perspective. Curr. Opin. Infect. Dis. 2010, 23, 546–553. [Google Scholar] [CrossRef]
- Zhao, W.H.; Hu, Z.Q. Epidemiology and genetics of CTX-M extended-spectrum beta-lactamases in Gram-negative bacteria. Crit. Rev. Microbiol. 2013, 39, 79–101. [Google Scholar] [CrossRef] [PubMed]
- Bonnet, R. Growing group of extended-spectrum beta-lactamases: The CTX-M enzymes. Antimicrob. Agents Chemother. 2004, 48, 1–14. [Google Scholar] [CrossRef]
- Babic, M.; Hujer, A.M.; Bonomo, R.A. What’s new in antibiotic resistance? Focus on beta-lactamases. Drug. Resist. Updat. 2006, 9, 142–156. [Google Scholar] [CrossRef]
- Uc-Cachon, A.H.; Gracida-Osorno, C.; Luna-Chi, I.G.; Jimenez-Guillermo, J.G.; Molina-Salinas, G.M. High Prevalence of Antimicrobial Resistance Among Gram-Negative Isolated Bacilli in Intensive Care Units at a Tertiary-Care Hospital in Yucatan Mexico. Medicina 2019, 55, 588. [Google Scholar] [CrossRef] [PubMed]
- de Kraker, M.E.; Stewardson, A.J.; Harbarth, S. Will 10 Million People Die a Year due to Antimicrobial Resistance by 2050? PLoS Med. 2016, 13, e1002184. [Google Scholar] [CrossRef]
- Durdu, B.; Meric Koc, M.; Hakyemez, I.N.; Akkoyunlu, Y.; Daskaya, H.; Sumbul Gultepe, B.; Aslan, T. Risk Factors Affecting Patterns of Antibiotic Resistance and Treatment Efficacy in Extreme Drug Resistance in Intensive Care Unit-Acquired Klebsiella pneumoniae Infections: A 5-Year Analysis. Med. Sci. Monit. 2019, 25, 174–183. [Google Scholar] [CrossRef] [PubMed]
- Frei, A. Metal Complexes, an Untapped Source of Antibiotic Potential? Antibiotics 2020, 9, 90. [Google Scholar] [CrossRef]
- Liang, J.; Sun, D.; Yang, Y.; Li, M.; Li, H.; Chen, L. Discovery of metal-based complexes as promising antimicrobial agents. Eur. J. Med. Chem. 2021, 224, 113696. [Google Scholar] [CrossRef]
- Patra, M.; Gasser, G.; Metzler-Nolte, N. Small organometallic compounds as antibacterial agents. Dalton Trans. 2012, 41, 6350–6358. [Google Scholar] [CrossRef]
- Ma, D.L.; Wang, M.; Mao, Z.; Yang, C.; Ng, C.T.; Leung, C.H. Rhodium complexes as therapeutic agents. Dalton Trans. 2016, 45, 2762–2771. [Google Scholar] [CrossRef]
- Chandra, S.; Tyagi, M.; Agrawal, S. Spectral and antimicrobial studies on tetraaza macrocyclic complexes of PdII, PtII, RhIII and IrIII metal ions. J. Saudi Chem. Soc. 2011, 15, 49–54. [Google Scholar] [CrossRef]
- Beloglazkina, E.K.; Manzheliy, E.A.; Moiseeva, A.A.; Maloshitskaya, O.A.; Zyk, N.V.; Skvortsov, D.A.; Osterman, I.A.; Sergiev, P.V.; Dontsova, O.A.; Ivanenkov, Y.A.; et al. Synthesis, characterisation, cytotoxicity and antibacterial activity of ruthenium(II) and rhodium(III) complexes with sulfur-containing terpyridines. Polyhedron 2016, 107, 27–37. [Google Scholar] [CrossRef]
- Fandzloch, M.; Augustyniak, A.W.; Dobrzanska, L.; Jedrzejewski, T.; Sitkowski, J.; Wypij, M.; Golinska, P. First dinuclear rhodium(II) complexes with triazolopyrimidines and the prospect of their potential biological use. J. Inorg. Biochem. 2020, 210, 111072. [Google Scholar] [CrossRef] [PubMed]
- Aradhyula, B.P.R.; Joshi, N.; Poluri, K.M.; Kollipara, M.R. Synthesis and antibacterial studies of rhodium and iridium complexes comprising of dipyridyl hydrazones. J. Mol. Struct. 2018, 1164, 191–199. [Google Scholar] [CrossRef]
- Mansouri, G.; Heidarizadi, F.; Naghipour, A.; Notash, B. Synthesis, characterization and antibacterial study of cyclometalated rhodium(III) complex containing dithiocarbamate. J. Mol. Struct. 2016, 1121, 128–134. [Google Scholar] [CrossRef]
- Vaidya, M.; McBain, A.J.; Banks, C.E.; Whitehead, K.A. Single and combined antimicrobial efficacies for nine metal ion solutions against Klebsiella pneumoniae, Acinetobacter baumannii and Enterococcus faecium. Int. Biodeterior. Biodegrad. 2019, 141, 39–43. [Google Scholar] [CrossRef]
- Dizaj, S.M.; Lotfipour, F.; Barzegar-Jalali, M.; Zarrintan, M.H.; Adibkia, K. Antimicrobial activity of the metals and metal oxide nanoparticles. Mater. Sci. Eng. C 2014, 44, 278–284. [Google Scholar] [CrossRef]
- Ott, I. Metal N-heterocyclic carbene complexes in medicinal chemistry. Adv. Inorg. Chem. 2020, 75, 121–148. [Google Scholar] [CrossRef]
- Bernier, C.M.; DuChane, C.M.; Martinez, J.S.; Falkinham, J.O.; Merola, J.S. Synthesis, Characterization, and Antimicrobial Activity of RhIII and IrIII N-Heterocyclic Carbene Piano-Stool Complexes. Organometallics 2021, 40, 1670–1681. [Google Scholar] [CrossRef]
- Simpson, P.V.; Schmidt, C.; Ott, I.; Bruhn, H.; Schatzschneider, U. Synthesis, cellular uptake and biological activity against pathogenic microorganisms and cancer cells of rhodium and iridium N-heterocyclic carbene complexes bearing charged substituents. Eur. J. Inorg. Chem. 2013, 2013, 5547–5554. [Google Scholar] [CrossRef]
- Streciwilk, W.; Terenzi, A.; Cheng, X.; Hager, L.; Dabiri, Y.; Prochnow, P.; Bandow, J.E.; Wolfl, S.; Keppler, B.K.; Ott, I. Fluorescent organometallic rhodium(I) and ruthenium(II) metallodrugs with 4-ethylthio-1,8-naphthalimide ligands: Antiproliferative effects, cellular uptake and DNA-interaction. Eur. J. Med. Chem. 2018, 156, 148–161. [Google Scholar] [CrossRef]
- Cetinkaya, B.; Cetinkaya, E.; Küçükbay, H.; Durmaz, R. Antimicrobial activity of carbene complexes of rhodium(I) and ruthenium(II). Arzneimittelforschung 1996, 46, 821–823. [Google Scholar]
- Wang, J.; Sánchez-Roselló, M.; Aceña, J.L.; Del Pozo, C.; Sorochinsky, A.E.; Fustero, S.; Soloshonok, V.A.; Liu, H. Fluorine in pharmaceutical industry: Fluorine-containing drugs introduced to the market in the last decade (2001–2011). Chem. Rev. 2014, 114, 2432–2506. [Google Scholar] [CrossRef]
- Zhou, Y.; Wang, J.; Gu, Z.; Wang, S.; Zhu, W.; Acenã, J.L.; Soloshonok, V.A.; Izawa, K.; Liu, H. Next Generation of Fluorine-Containing Pharmaceuticals, Compounds Currently in Phase II-III Clinical Trials of Major Pharmaceutical Companies: New Structural Trends and Therapeutic Areas. Chem. Rev. 2016, 116, 422–518. [Google Scholar] [CrossRef] [PubMed]
- Isanbor, C.; O’Hagan, D. Fluorine in medicinal chemistry: A review of anti-cancer agents. J. Fluorine Chem. 2006, 127, 303–319. [Google Scholar] [CrossRef]
- Kirk, K.L. Fluorine in medicinal chemistry: Recent therapeutic applications of fluorinated small molecules. J. Fluorine Chem. 2006, 127, 1013–1029. [Google Scholar] [CrossRef]
- Müller, K.; Faeh, C.; Diederich, F. Fluorine in pharmaceuticals: Looking beyond intuition. Science 2007, 317, 1881–1886. [Google Scholar] [CrossRef]
- Rufino-Felipe, E.; Colorado-Peralta, R.; Reyes-Márquez, V.; Valdés, H.; Morales-Morales, D. Fluorinated-NHC transition metal complexes: Leading characters as potential anticancer metallodrugs. Anti-Cancer Agents Med. Chem. 2021, 21, 938–948. [Google Scholar] [CrossRef] [PubMed]
- Turcio-García, L.Á.; Valdés, H.; Hernández-Ortega, S.; Canseco-Gonzalez, D.; Morales-Morales, D. Arylation of aldehydes catalyzed by fluorinated NHC–Rh(I) complexes. New J. Chem. 2022, 46, 16789–16800. [Google Scholar] [CrossRef]
- Turcio-García, L.Á.; Valdés, H.; Arenaza-Corona, A.; Hernández-Ortega, S.; Morales-Morales, D. Electronic properties and supramolecular study of selenoureas with fluorinated-NHC ligands derived from imidazo [1,5-a]pyridines. New J. Chem. 2023, 47, 2090–2095. [Google Scholar] [CrossRef]
- Yang, H.; Lou, C.; Sun, L.; Li, J.; Cai, Y.; Wang, Z.; Li, W.; Liu, G.; Tang, Y. admetSAR 2.0: Web-service for prediction and optimization of chemical ADMET properties. Bioinformatics 2019, 35, 1067–1069. [Google Scholar] [CrossRef]
- SwissADME. Available online: http://www.swissadme.ch/index.php#/ (accessed on 1 December 2024).




| Compound | MIC/MBC (µg/mL) | ||||||
|---|---|---|---|---|---|---|---|
| ATCC 25923 | ATCC 29213 | ATCC 43300 | ATCC 25922 | ATCC 29212 | ATCC 700603 | Streptococcus spp. | |
| 1 | NT | >250/>250 | NT | >250/>250 | NT | >250/>250 | NT |
| 2 | |||||||
| 3 | |||||||
| 4 | |||||||
| 5 | |||||||
| 6 | |||||||
| 7 | |||||||
| 8 | >250/>250 | 250/250 | >250/>250 | >250/>250 | >250/>250 | ||
| 9 | NT | >250/>250 | NT | NT | NT | ||
| 10 | |||||||
| 11 | |||||||
| Rh–1 | 250/250 | 62.5/62.5 | 250/250 | 250/250 | 62.5/62.5 | 250/250 | |
| Rh–2 | NT | >250/>250 | NT | >250/>250 | NT | NT | |
| Rh–3 | 250/250 | 250/250 | 250/250 | >250/>250 | >250/>250 | ||
| Rh–4 | 250/>250 | 250/250 | 250/250 | ||||
| Rh–5 | 62.5/62.5 | >250/>250 | 62.5/62.5 | 15.6/15.6 | |||
| Rh–6 | 62.5/250 | 62.5/62.5 | 250/>250 | 62.5/62.5 | |||
| Rh–7 | NT | 3.9/15.6 | NT | 250/250 | NT | NT | |
| Rh–8 | >250/>250 | >250/>250 | >250 | ||||
| Rh–9 | 62.5/62.5 | 250/250 | 250/250 | 62.5/62.5 | 62.5/62.5 | ||
| Rh–10 | 15.6/62.5 | ||||||
| Rh–11 | 15.6/15.6 | 62.5/62.5 | 250/>250 | 0.97/15.6 | 15.6/15.6 | ||
| LIN | 4/>32 | 1/8 | 4/>32 | >32/>32 | 2/>32 | NT | 1/8 |
| GEN | 1/1 | 1/1 | >32/>32 | 0.25/1 | 4/16 | 0.5/0.5 | <0.125/<0.125 |
| AMOX | <4/<4 | <4/<4 | 32/32 | <4/<4 | 4/4 | >256/>256 | 32/32 |
| Compound | MIC/MBC (µg/mL) | |||||
|---|---|---|---|---|---|---|
| U–13685 | H–9871 | U–13815 | H–9866 | H–166 | S–401 | |
| 1 | >250/>250 | |||||
| 2 | ||||||
| 3 | ||||||
| 4 | ||||||
| 5 | ||||||
| 6 | ||||||
| 7 | ||||||
| 8 | ||||||
| 9 | ||||||
| 10 | ||||||
| 11 | ||||||
| Rh–1 | 250/250 | 250/250 | 250/250 | >250/>250 | >250/>250 | >250/>250 |
| Rh–2 | >250/>250 | >250/>250 | >250/>250 | |||
| Rh–3 | 250/250 | 250/250 | 62.5/62.5 | |||
| Rh–4 | >250/>250 | >250/>250 | 250/250 | |||
| Rh–5 | 250/250 | |||||
| Rh–6 | 250/>250 | >250/>250 | ||||
| Rh–7 | >250/>250 | |||||
| Rh–8 | ||||||
| Rh–9 | ||||||
| Rh–10 | ||||||
| Rh–11 | 250/250 | 250/>250 | 250/250 | |||
| GEN | <0.125/<0.125 | 1/1 | 1/1 | <0.125/<0.125 | 0.5/0.5 | <0.125/<0.125 |
| AMOX | 64/64 | >256/>256 | >256/>256 | 128/128 | >256/>256 | >256/>256 |
| MODEL | Azolium Salts | Rh(I)–NHC Complexes | ZP | CP | ||||||||||||||||||||
|---|---|---|---|---|---|---|---|---|---|---|---|---|---|---|---|---|---|---|---|---|---|---|---|---|
| 1 | 2 | 3 | 4 | 5 | 6 | 7 | 8 | 9 | 10 | 11 | Rh–1 | Rh–2 | Rh–3 | Rh–4 | Rh–5 | Rh–6 | Rh–7 | Rh–8 | Rh–9 | Rh–10 | Rh–11 | |||
| ADMETsaR | ||||||||||||||||||||||||
| Human intestinal absorption | + | + | – | – | + | + | + | + | + | + | + | + | – | + | + | – | + | + | + | – | + | – | + | + |
| Human oral bioavailability | + | + | + | + | + | + | + | + | + | + | + | + | + | – | – | + | + | + | + | – | + | + | + | + |
| Blood–brain barrier | + | + | + | + | + | + | + | + | + | + | + | + | + | + | + | + | + | + | + | + | + | + | + | + |
| Mutagenesis (AMES) | + | + | + | + | + | + | + | – | – | + | – | – | – | – | – | – | – | – | – | – | – | – | + | – |
| Acute oral toxicity (c) kg/mol | (III) | (III) | (III) | (III) | (III) | (III) | (III) | (III) | (III) | (III) | (III) | (III) | (III) | (III) | (III) | (III) | (III) | (III) | (III) | (III) | (III) | (III) | (III) | (III) |
| Permeability/ Caco–2 | + | + | + | + | + | + | + | + | + | + | + | + | + | + | + | + | + | + | – | – | – | – | + | + |
| Carcinogenicity | – | – | – | – | – | – | – | – | – | – | – | – | – | – | – | – | – | – | – | – | – | – | – | + |
| Hepatotoxicity | – | – | – | + | + | – | + | – | – | – | – | – | – | – | – | + | – | – | – | – | – | – | + | – |
| Fish aquatic toxicity | + | + | + | + | + | + | + | + | + | + | + | + | + | + | + | + | + | + | + | + | + | + | – | + |
| Crustacean aquatic toxicity | + | + | + | + | + | + | + | + | + | + | + | + | + | + | + | + | + | + | + | + | + | + | – | + |
| SwissADME | ||||||||||||||||||||||||
| Solubility in water (Log S) SILICOS–IT (–) | 3.78 | 4.07 | 4.07 | 4.07 | 4.35 | 4.35 | 4.62 | 4.67 | 4.67 | 4.67 | 5.53 | 6.10 | 6.74 | 6.74 | 6.74 | 7.0 | 7.0 | 7.26 | 7.29 | 7.29 | 7.29 | 8.10 | 5.0 | 2.1 |
| Gastrointestinal absorption | + | + | – | – | – | + | + | + | + | + | + | + | – | – | – | – | – | – | – | – | – | – | + | + |
| Similarity to drugs “LIPINSKI” | + | + | + | + | + | + | + | + | + | + | + | + | + | + | + | + | + | + | – | – | – | – | + | + |
| Synthetic accessibility | 1.77 | 1.81 | 2.19 | 2.11 | 2.25 | 1.97 | 1.90 | 1.86 | 1.94 | 2.30 | 2.16 | 3.56 | 4.09 | 4.10 | 4.12 | 4.13 | 4.10 | 4.12 | 4.14 | 4.18 | 4.24 | 4.33 | 2.67 | / |
| Lead resemblance | – | – | – | – | – | – | – | – | – | – | – | – | – | – | – | – | – | – | – | – | – | – | – | – |
Disclaimer/Publisher’s Note: The statements, opinions and data contained in all publications are solely those of the individual author(s) and contributor(s) and not of MDPI and/or the editor(s). MDPI and/or the editor(s) disclaim responsibility for any injury to people or property resulting from any ideas, methods, instructions or products referred to in the content. |
© 2025 by the authors. Licensee MDPI, Basel, Switzerland. This article is an open access article distributed under the terms and conditions of the Creative Commons Attribution (CC BY) license (https://creativecommons.org/licenses/by/4.0/).
Share and Cite
Turcio-García, L.Á.; Parra-Unda, R.; Valdés, H.; Hernández-Ortega, S.; Valenzuela-Ramirez, G.G.; Ahumada-Santos, Y.P.; Sánchez-Lugo, Y.; Reyes-Márquez, V.; Morales-Morales, D. Fluorinated Rh(I)–NHC Compounds as Potential Antibacterials Against Multidrug-Resistant Klebsiella pneumoniae Clinical Isolates Producing ESBL. Pharmaceutics 2025, 17, 973. https://doi.org/10.3390/pharmaceutics17080973
Turcio-García LÁ, Parra-Unda R, Valdés H, Hernández-Ortega S, Valenzuela-Ramirez GG, Ahumada-Santos YP, Sánchez-Lugo Y, Reyes-Márquez V, Morales-Morales D. Fluorinated Rh(I)–NHC Compounds as Potential Antibacterials Against Multidrug-Resistant Klebsiella pneumoniae Clinical Isolates Producing ESBL. Pharmaceutics. 2025; 17(8):973. https://doi.org/10.3390/pharmaceutics17080973
Chicago/Turabian StyleTurcio-García, Luis Ángel, Ricardo Parra-Unda, Hugo Valdés, Simón Hernández-Ortega, Gladymar Guadalupe Valenzuela-Ramirez, Yesmi Patricia Ahumada-Santos, Yesenia Sánchez-Lugo, Viviana Reyes-Márquez, and David Morales-Morales. 2025. "Fluorinated Rh(I)–NHC Compounds as Potential Antibacterials Against Multidrug-Resistant Klebsiella pneumoniae Clinical Isolates Producing ESBL" Pharmaceutics 17, no. 8: 973. https://doi.org/10.3390/pharmaceutics17080973
APA StyleTurcio-García, L. Á., Parra-Unda, R., Valdés, H., Hernández-Ortega, S., Valenzuela-Ramirez, G. G., Ahumada-Santos, Y. P., Sánchez-Lugo, Y., Reyes-Márquez, V., & Morales-Morales, D. (2025). Fluorinated Rh(I)–NHC Compounds as Potential Antibacterials Against Multidrug-Resistant Klebsiella pneumoniae Clinical Isolates Producing ESBL. Pharmaceutics, 17(8), 973. https://doi.org/10.3390/pharmaceutics17080973

