Optimization of Controlled-Release Microspheres Containing Vitexin and Isovitexin Through Experimental Design and Evaluation of Their Hypoglycemic Effects
Abstract
1. Introduction
2. Materials and Methods
2.1. Materials
2.2. Preparation of Vitexin–Isovitexin-Loaded Microspheres
2.3. Characterization of the Microspheres
2.3.1. Morphology of Microspheres
2.3.2. Zeta Potential and Differential Scanning Calorimetry (DSC)
2.3.3. Evaluation of Microsphere Size
2.3.4. Evaluation of Vitexin–Isovitexin Loading Capacity and Encapsulation Efficiency
2.3.5. In Vitro Release and Kinetics Studies
2.3.6. Optimization of Alginate Cores’ Formulation
2.4. Acute Toxicity and Hypoglycemic Effects of Vitexin–Isovitexin-Loaded Microspheres in Animal Model
2.4.1. Animals
2.4.2. Acute Toxicity of Vitexin–Isovitexin-Loaded Microspheres
2.4.3. Hypoglycemic Effects of Vitexin–Isovitexin-Loaded Microspheres
2.4.4. Oral Glucose Tolerance Test (OGTT)
2.4.5. Evaluation of the Effects of Vitexin–Isovitexin-Loaded Microspheres on HbA1c, Insulin Concentrations, Insulin Resistance, and β-Cell Function
2.4.6. Hematoxylin and Eosin (H&E) Staining
2.4.7. Statistical Analysis
3. Results
3.1. Optimization of Alginate Cores’ Formulation
3.1.1. Effect on Alginate Core Size
3.1.2. Effect on Vitexin–Isovitexin Loading Capacity
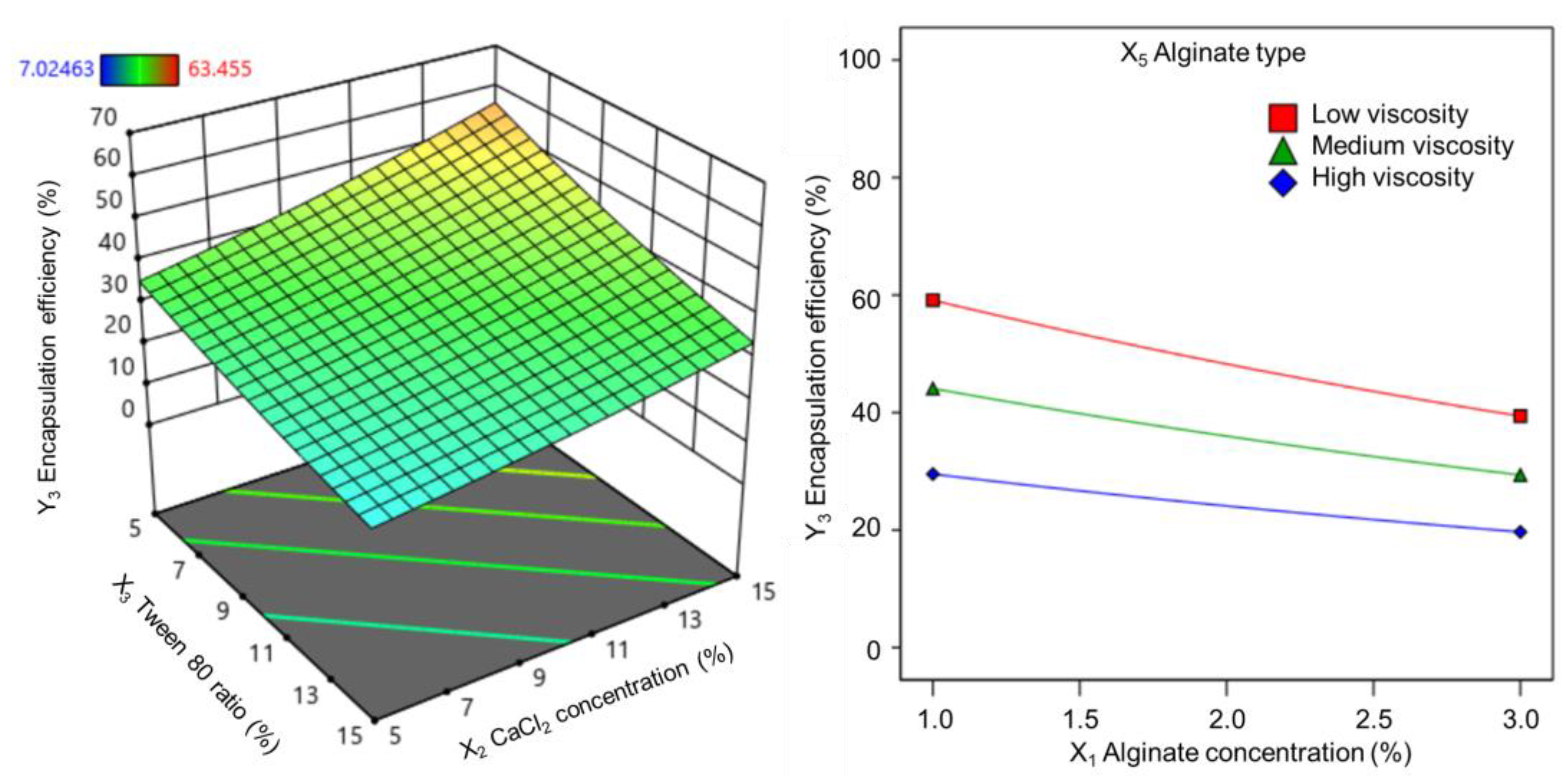
3.1.3. Effect on Vitexin–Isovitexin Encapsulation Efficiency
3.1.4. Effect on Vitexin–Isovitexin Release Rate After 1 h
3.1.5. Optimization of the Formulation Parameters
3.2. Characterization of the Microspheres
3.2.1. Morphology
3.2.2. Loading Capacity and Encapsulation Efficiency
3.2.3. In Vitro Vitexin–Isovitexin Release and Kinetics Studies
3.2.4. Zeta Potential
3.2.5. DSC
3.3. Acute Toxicity and Hypoglycemic Effects of Vitexin–Isovitexin-Loaded Microspheres
3.3.1. Acute Toxicity of Vitexin–Isovitexin-Loaded Microspheres
3.3.2. Effect of Vitexin–Isovitexin-Loaded Microspheres on Blood Glucose Levels
3.3.3. Effect of Vitexin–Isovitexin-Loaded Microspheres on Oral Glucose Tolerance
3.3.4. Effect of Vitexin–Isovitexin-Loaded Microspheres on HbA1c and Insulin Levels
3.3.5. Effect of Vitexin–Isovitexin-Loaded Microspheres on Insulin Resistance and β-Cell Function
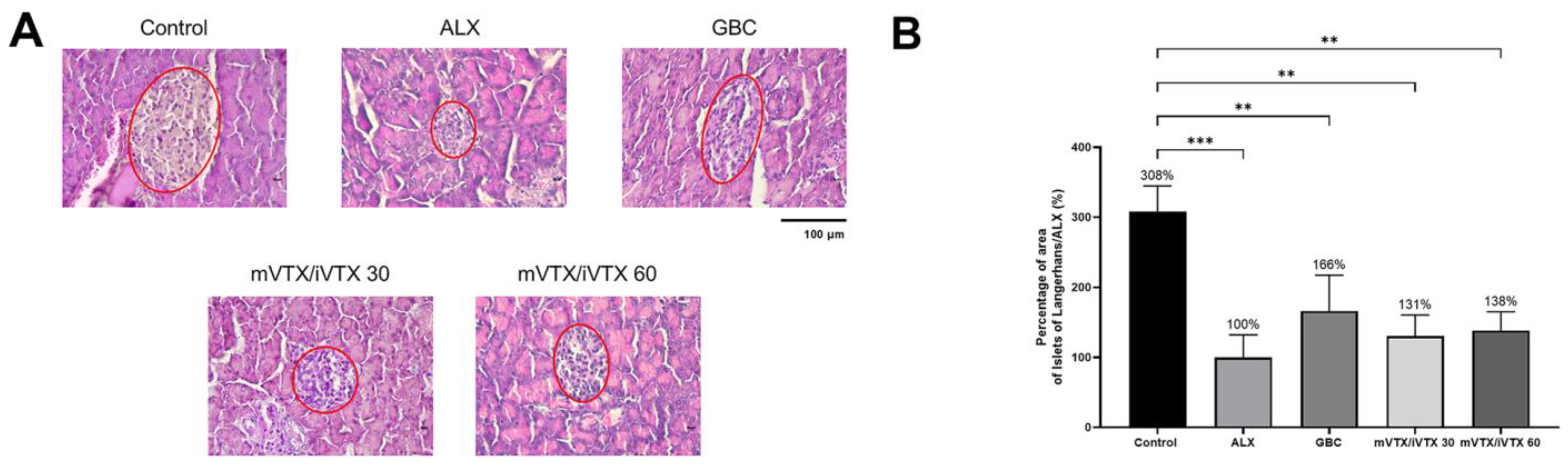
3.3.6. Effect of Vitexin–Isovitexin-Loaded Microspheres on Islets of Langerhans
4. Discussion
4.1. Optimization of Alginate Cores’ Formulation
4.2. Characterization of the Microspheres
4.3. Acute Toxicity and Hypoglycemic Effects of Vitexin–Isovitexin-Loaded Microspheres
5. Conclusions
Supplementary Materials
Author Contributions
Funding
Institutional Review Board Statement
Informed Consent Statement
Data Availability Statement
Conflicts of Interest
Abbreviations
| T1/2 | Half-life |
| 2FI | Two-factor interaction |
| ALX | Alloxan |
| ANOVA | One-way analysis of variance |
| AUC | Area under the curve |
| CV% | Coefficient of variation |
| DSC | Differential scanning calorimetry |
| EE% | Encapsulation efficiency |
| GBC | Glibenclamide |
| H&E | Hematoxylin and Eosin |
| HOMA | Homeostatic model assessment |
| HPLC | High-performance liquid chromatography |
| IR | Insulin resistance |
| LC | Loading capacity |
| mVTX/iVTX | Vitexin–isovitexin-loaded microspheres |
| OGTT | Oral glucose tolerance test |
| PECs | Polyelectrolyte complexes |
| rpm | Revolutions per minute |
| S.E.M. | Standard error of mean |
| SEM | Scanning electron microscopy |
| W/O | Water-in-oil |
| w/w | Weight/weight |
References
- Sun, H.; Saeedi, P.; Karuranga, S.; Pinkepank, M.; Ogurtsova, K.; Duncan, B.; Stein, C.; Basit, A.; Chan, J.; Mbanya, J.; et al. IDF diabetes atlas: Global, regional and country-level diabetes prevalence estimates for 2021 and projections for 2045. Diabetes Res. Clin. Pract. 2022, 183, 109119. [Google Scholar] [CrossRef]
- Abdulai, I.; Kwofie, S.; Gbewonyo, W.; Boison, D.; Puplampu, J.; Adinortey, M. Multitargeted effects of vitexin and isovitexin on diabetes mellitus and its complications. Sci. World J. 2021, 2021, 6641128. [Google Scholar] [CrossRef] [PubMed]
- National Center for Biotechnology Information. PubChem Compound Summary for CID 162350, Isovitexin. Updated 16 December 2023. Available online: https://pubchem.ncbi.nlm.nih.gov/compound/Isovitexin (accessed on 20 December 2023).
- Peng, Y.; Gan, R.; Li, H.; Yang, M.; McClements, D.; Gao, R.; Sun, Q. Absorption, metabolism, and bioactivity of vitexin: Recent advances in understanding the efficacy of an important nutraceutical. Crit. Rev. Food Sci. Nutr. 2021, 61, 1049–1064. [Google Scholar] [CrossRef] [PubMed]
- Tao, M.; Li, R.; Zhang, Z.; Wu, T.; Xu, T.; Zogona, D.; Huang, Y.; Pan, S.; Xu, X. Vitexin and isovitexin act through inhibition of insulin receptor to promote longevity and fitness in caenorhabditis elegans. Mol. Nutr. Food Res. 2022, 66, e2100845. [Google Scholar] [CrossRef] [PubMed]
- National Center for Biotechnology Information. PubChem Compound Summary for CID 5280441, Vitexin. Updated 16 December 2023. Available online: https://pubchem.ncbi.nlm.nih.gov/compound/Vitexin (accessed on 20 December 2023).
- Gao, Z.; Huang, K.; Yang, X.; Xu, H. Free radical scavenging and antioxidant activities of flavonoids extracted from the radix of Scutellaria baicalensis Georgi. Biochim. Biophys. Acta 1999, 1472, 643–650. [Google Scholar] [CrossRef]
- Borghi, S.; Carvalho, T.; Staurengo-Ferrari, L.; Hohmann, M.; Pinge-Filho, P.; Casagrande, R.; Verri, W. Vitexin inhibits inflammatory pain in mice by targeting TRPV1, oxidative stress, and cytokines. J. Nat. Prod. 2013, 76, 1141–1149. [Google Scholar] [CrossRef]
- Rosa, S.; Rios-Santos, F.; Balogun, S.; Martins, D. Vitexin reduces neutrophil migration to inflammatory focus by down-regulating pro-inflammatory mediators via inhibition of p38, ERK1/2 and JNK pathway. Phytomedicine 2016, 23, 9–17. [Google Scholar] [CrossRef]
- Choo, C.; Sulong, N.; Man, F.; Wong, T. Vitexin and isovitexin from the Leaves of Ficus deltoidea with in-vivo α-glucosidase inhibition. J. Ethnopharmacol. 2012, 142, 776–781. [Google Scholar] [CrossRef]
- He, M.; Min, J.; Kong, W.; He, X.; Li, J.; Peng, B. A review on the pharmacological effects of vitexin and isovitexin. Fitoterapia 2016, 115, 74–85. [Google Scholar] [CrossRef]
- Abu Bakar, A.; Manaharan, T.; Merican, A.; Mohamad, S. Experimental and computational approaches to reveal the potential of Ficus deltoidea leaves extract as α-amylase inhibitor. Nat. Prod. Res. 2018, 32, 473–476. [Google Scholar] [CrossRef]
- Kim, J.; Jang, D.; Lee, Y.; Yoo, J.; Kim, Y.; Kim, J.; Kim, J. Aldose—Reductase and protein—Glycation—Inhibitory principles from the whole plant of Duchesnea chrysantha. Chem. Biodivers. 2008, 5, 352–356. [Google Scholar] [CrossRef] [PubMed]
- Li, H.; Hwang, S.; Kang, B.; Hong, J.; Lim, S. Inhibitory effects of Colocasia esculenta (L.) Schott constituents on aldose reductase. Molecules 2014, 19, 13212–13224. [Google Scholar] [CrossRef] [PubMed]
- Choi, J.; Islam, M.; Ali, M.; Kim, E.; Kim, Y.; Jung, H. Effects of C-glycosylation on anti—Diabetic, anti—Alzheimer’s disease and anti-inflammatory potential of apigenin. Food Chem. Toxicol. 2014, 64, 27–33. [Google Scholar] [CrossRef]
- Sulong, N. Bioflavonoids from the Leaves of Ficus deltoidea Jack with A-Glucosidase Inhibition. Master’s Thesis, Universiti Teknologi MARA, Shah Alam, Malaysia, 2014. [Google Scholar]
- Farsi, E.; Shafaei, A.; Hor, S.; Ahamed, M.; Yam, M.; Asmawi, M.; Ismail, Z. Genotoxicity and acute and subchronic toxicity studies of a standardized methanolic extract of Ficus deltoidea leaves. Clinics 2013, 68, 865–875. [Google Scholar] [CrossRef]
- Zhang, Y.; Tie, X.; Bao, B.; Wu, X.; Zhang, Y. Metabolism of flavone C-glucosides and p-coumaric acid from antioxidant of bamboo leaves (AOB) in rats. Br. J. Nutr. 2007, 97, 484–494. [Google Scholar] [CrossRef]
- Wang, Y.; Han, C.; Leng, A.; Zhang, W.; Xue, H.; Chen, Y.; Yin, J.; Lu, D.; Ying, X. Pharmacokinetics of vitexin in rats after intravenous and oral administration. Afr. J. Pharm. Pharmacol. 2012, 6, 2368–2373. [Google Scholar] [CrossRef]
- Yin, J.; Qu, J.; Zhang, W.; Lu, D.; Gao, Y.; Ying, X.; Kang, T. Tissue distribution comparison between healthy and fatty liver rats after oral administration of hawthorn leaf extract. Biomed. Chromatogr. 2014, 28, 637–647. [Google Scholar] [CrossRef]
- Tong, C.; Liu, X. Pharmacokinetics of vitexin in rats. J. China Pharm. Univ. 2007, 38, 65. [Google Scholar]
- Tong, C.; Wu, X. Determination of plasma protein binding rate of vitexin. Zhongguo Zhong Yao Za Zhi 2012, 37, 2168–2170. [Google Scholar]
- Braune, A.; Blaut, M. Intestinal bacterium Eubacterium cellulosolvens deglycosylates flavonoid C- and O-glucosides. Appl. Environ. Microbiol. 2012, 78, 8151–8153. [Google Scholar] [CrossRef]
- Cao, X.; Liu, Q.; Adu-Frimpong, M.; Shi, W.; Liu, K.; Deng, T.; Yuan, H.; Weng, X.; Gao, Y.; Yu, Q.; et al. Microfluidic generation of near-infrared photothermal vitexin/ICG liposome with amplified photodynamic therapy. AAPS PharmSciTech 2023, 24, 82. [Google Scholar] [CrossRef] [PubMed]
- Chomchoey, S.; Klongdee, S.; Peanparkdee, M.; Klinkesorn, U. Fabrication and characterization of nanoemulsions for encapsulation and delivery of vitexin: Antioxidant activity, storage stability and in vitro digestibility. J. Sci. Food Agric. 2023, 103, 2532–2543. [Google Scholar] [CrossRef]
- Ding, C.; Li, S.; Wang, D.; Tian, Z.; Kang, M.; Zhang, Y.; Ma, J.; Deng, Y.; Zhang, K. Preparation of β-CD-vitexin microspheres and their effects on SW480 cell proliferation. Curr. Drug Deliv. 2023, 20, 433–440. [Google Scholar] [CrossRef]
- Gu, C.; Liu, Z.; Yuan, X.; Li, W.; Zu, Y.; Fu, Y. Preparation of vitexin nanoparticles by combining the antisolvent precipitation and high pressure homogenization approaches followed by lyophilization for dissolution rate enhancement. Molecules 2017, 22, 2038. [Google Scholar] [CrossRef] [PubMed]
- Li, S.; Lv, H.; Chen, Y.; Song, H.; Zhang, Y.; Wang, S.; Luo, L.; Guan, X. N-trimethyl chitosan coated targeting nanoparticles improve the oral bioavailability and antioxidant activity of vitexin. Carbohydr. Polym. 2022, 286, 119273. [Google Scholar] [CrossRef]
- Krisanti, E.; Wahyunisa, M.; Hijrianti, N.; Mulia, K. Chitosan-alginate matrices loaded with leaf extracts of Anredera cordifolia Steenis as a gastrointestinal extended-release formulation. AIP Conf. Proc. 2019, 2193, 030001. [Google Scholar]
- Kadam, N.; Suvarna, V. Microsphere: A brief review. Asian J. Biomed. Pharm. Sci. 2015, 5, 13–19. [Google Scholar]
- Lengyel, M.; Kállai-Szabó, N.; Antal, V.; Laki, A.; Antal, I. Microparticles, microspheres, and microcapsules for advanced drug delivery. Sci. Pharm. 2019, 87, 20. [Google Scholar] [CrossRef]
- Winzell, M.S.; Ahrén, B. The high-fat diet–fed mouse: A model for studying mechanisms and treatment of impaired glucose tolerance and type 2 diabetes. Diabetes 2004, 53 (Suppl. S3), S215–S219. [Google Scholar] [CrossRef]
- Surwit, R.S.; Kuhn, C.M.; Cochrane, C.; McCubbin, J.A.; Feinglos, M.N. Diet-induced type II diabetes in C57BL/6J mice. Diabetes 1988, 37, 1163–1167. [Google Scholar] [CrossRef]
- Junod, A.; Lambert, A.; Orci, L.; Pictet, R.; Gonet, A.; Renold, A. Studies of the diabetogenic action of streptozotocin. Proc. Soc. Exp. Biol. Med. 1967, 126, 201–205. [Google Scholar] [CrossRef]
- Shaw Dunn, J.; McLetchie, N.G.B. Experimental alloxan diabetes in the rat. Lancet 1943, 242, 384–387. [Google Scholar] [CrossRef]
- Zavaroni, I.; Sander, S.; Scott, S.; Reaven, G.M. Effect of fructose feeding on insulin secretion and insulin action in the rat. Metabolism 1980, 29, 970–973. [Google Scholar] [CrossRef]
- Tobey, T.A.; Mondon, C.E.; Zavaroni, I.; Reaven, G.M. Mechanism of insulin resistance in fructose-fed rats. Metabolism 1982, 31, 608–612. [Google Scholar] [CrossRef]
- Ighodaro, O.M.; Adeosun, A.M.; Akinloye, O.A. Alloxan-induced diabetes, a common model for evaluating the glycemic-control potential of therapeutic compounds and plants extracts in experimental studies. Medicina 2017, 53, 365–374. [Google Scholar] [CrossRef] [PubMed]
- Ojo, O.A.; Grant, S.; Amanze, J.C.; Oni, A.I.; Ojo, A.B.; Elebiyo, T.C.; Obafemi, T.O.; Ayokunle, D.I.; Ogunlakin, A.D. Annona muricata L. peel extract inhibits carbohydrate metabolizing enzymes and reduces pancreatic β-cells, inflammation, and apoptosis via upregulation of PI3K/AKT genes. PLoS ONE 2022, 17, e0276984. [Google Scholar] [CrossRef]
- Le, M.Q.; Tran, T.H.; Do, H.H.; Tran, L.T.C. Research on the preparation of microspheres containing bovine serum albumin microspheres from alginate and chitosan. Version B VJST 2024, 66, 29–36. [Google Scholar] [CrossRef]
- Le, M.Q.; Tra-Thi, N.-M.; Do, H.-H.; Tran, L.T.-C.; Nguyen, C.-P.; Le, H.; Le, Q.-N. Preparation of sustained release naproxen sodium loaded microcapsules from alginate and chitosan through experimental design. Pharm. Sci. Asia 2025, 51, 44–54. [Google Scholar] [CrossRef]
- Performance-Based Test Guideline. OECD Guideline for the Testing of Chemicals; OECD Publishing: Paris, France, 2001; Volume 601, p. 858. [Google Scholar]
- Nguyen, H.L.T.; Ha, T.T.P.; Nguyen, N.P.N.; Phan, N.H.L.; Nguyen, D.T.H.; Truong, V.D.; Truong, M.N.; Nguyen-Hoang, T.-M.; Luu, T.N.; Nguyen, N.P.; et al. Effect of Camellia flava (Pitard) Sealy flower extract on the degeneration of Islets of Langerhans and insulin resistance in alloxan-induced hyperglycemia model on Swiss albino mice. Pharmacia 2024, 71, 1–15. [Google Scholar] [CrossRef]
- Yashwant Kumar, A.; Nandakumar, K.; Handral, M.; Talwar, S.; Dhayabaran, D. Hypoglycaemic and anti-diabetic activity of stem bark extracts Erythrina indica in normal and alloxan-induced diabetic rats. Saudi Pharm. J. 2011, 19, 35–42. [Google Scholar] [CrossRef]
- Ajabnoor, M.A. Effect of aloes on blood glucose levels in normal and alloxan diabetic mice. J. Ethnopharmacol. 1990, 28, 215–220. [Google Scholar] [CrossRef] [PubMed]
- Zhou, G.; Cui, J.; Xie, S.; Wan, H.; Luo, Y.; Guo, G. Vitexin, a fenugreek glycoside, ameliorated obesity-induced diabetic nephropathy via modulation of NF-κB/IkBα and AMPK/ACC pathways in mice. Biosci. Biotechnol. Biochem. 2021, 85, 1183–1193. [Google Scholar] [CrossRef]
- King, A.J.F.; Daniels Gatward, L.F.; Kennard, M.R. Practical Considerations when Using Mouse Models of Diabetes. Methods Mol. Biol. 2020, 2128, 1–10. [Google Scholar] [CrossRef] [PubMed]
- Chu, T.T.H.; Nguyen, H.T.; Phu, T.H.; Tran, H.D.; Tran, M.H. Effect of Acetylated Wheat Starch on Metabolic Indices in High-Fat Diet-induced Obese and Hyperglycemic Mice. J. Food Nutr. Res. 2022, 10, 293–298. [Google Scholar]
- Allison, D.B.; Paultre, F.; Maggio, C.; Mezzitis, N.; Pi-Sunyer, F.X. The Use of Areas Under Curves in Diabetes Research. Diabetes Care 1995, 18, 245–250. [Google Scholar] [CrossRef]
- Liu, X.; Zhang, L.-n.; Feng, Y.; Zhang, L.; Qu, H.; Cao, G.-q.; Leng, Y. Acute and chronic administration of SHR117887, a novel and specific dipeptidyl peptidase-4 inhibitor, improves metabolic control in diabetic rodent models. Acta Pharmacol. Sin. 2012, 33, 1013–1022. [Google Scholar] [CrossRef][Green Version]
- Antunes, L.C.; Elkfury, J.L.; Jornada, M.N.; Foletto, K.C.; Bertoluci, M.C. Validation of HOMA-IR in a model of insulin-resistance induced by a high-fat diet in Wistar rats. Arch. Endocrinol. Metab. 2016, 60, 138–142. [Google Scholar] [CrossRef]
- Imano, H.; Kitamura, A.; Yamagishi, K.; Kiyama, M.; Ohira, T.; Cui, R.; Umesawa, M.; Okada, T.; Iso, H.; Investigators, C. Abstract P455: Insulin Resistance, Secretion and Risk of Incident Coronary Heart Disease in Non-diabetic Japanese Population: The Circulatory Risk in Communities Study. Circulation 2014, 129 (Suppl. S1), AP455. [Google Scholar] [CrossRef]
- Nguyen, H.L.-T.; Truong, V.D.; Truong, M.-N.; Nguyen, T.H.; Nguyen, N.P.; Tran, H.; Nguyen, N.T.; Vo, L.T.; Le, M.-T.; Mai, H.N. The protective effects of young pomelo fruits extract against acute hyperlipidemia and high-fat diet-induced obese mice. Pharmacol. Res.-Mod. Chin. Med. 2024, 11, 100438. [Google Scholar] [CrossRef]
- Jin, M.; Zheng, Y.; Hu, Q. Preparation and characterization of bovine serum albumin alginate/chitosan microspheres for oral administration. Asian J. Pharm. Sci. 2009, 4, 215–221. [Google Scholar]
- Yu, L.X.; Amidon, G.; Khan, M.A.; Hoag, S.W.; Polli, J.; Raju, G.K.; Woodcock, J. Understanding pharmaceutical quality by design. Aaps J. 2014, 16, 771–783. [Google Scholar] [CrossRef]
- Jones, B.; Goos, P. I-optimal versus D-optimal split-plot response surface designs. J. Qual. Technol. 2012, 44, 85–101. [Google Scholar] [CrossRef]
- Walsh, S.J.; Lu, L.; Anderson-Cook, C.M. I-optimal or G-optimal: Do we have to choose? Qual. Eng. 2024, 36, 227–248. [Google Scholar] [CrossRef]
- Alshora, D.H.; Ibrahim, M.A.; Alanazi, F.K. Chapter 6—Nanotechnology from particle size reduction to enhancing aqueous solubility. In Surface Chemistry of Nanobiomaterials; Grumezescu, A.M., Ed.; William Andrew Publishing: Norwich, NY, USA, 2016; pp. 163–191. [Google Scholar] [CrossRef]
- Dizaj, S.M.; Vazifehasl, Z.; Salatin, S.; Adibkia, K.; Javadzadeh, Y. Nanosizing of drugs: Effect on dissolution rate. Res. Pharm. Sci. 2015, 10, 95–108. [Google Scholar] [PubMed]
- Mishra, M. Chapter 2: Process-Selection Criteria. In Handbook of Encapsulation and Controlled Release; CRC Press: Boca Raton, FL, USA, 2015. [Google Scholar]
- Mokhtari, S.; Jafari, S.M.; Assadpour, E. Development of a nutraceutical nano-delivery system through emulsification/internal gelation of alginate. Food Chem. 2017, 229, 286–295. [Google Scholar] [CrossRef]
- Shukla, S.; Jain, D.; Verma, K. Formulation and in vitro characterization of alginate microspheres loaded with diloxanide furoate for colon-specific drug delivery. AJP 2010, 4, 199. [Google Scholar]
- Kalalo, T.; Miatmoko, A.; Tanojo, H.; Erawati, T.; Hariyadi, D.; Rosita, N. Effect of sodium alginate concentration on characteristics, stability and drug release of inhalation quercetin microspheres. Indones. J. Pharm. 2022, 9, 107–114. [Google Scholar] [CrossRef]
- Silva, C.M.; Ribeiro, A.J.; Figueiredo, I.V.; Gonçalves, A.R.; Veiga, F. Alginate microspheres prepared by internal gelation: Development and effect on insulin stability. Int. J. Pharm. 2006, 311, 1–10. [Google Scholar] [CrossRef]
- Essifi, K.; Brahmi, M.; Berraaouan, D.; Ed-Daoui, A.; El Bachiri, A.; Fauconnier, M.-L.; Tahani, A. Influence of sodium alginate concentration on microcapsules properties foreseeing the protection and controlled release of bioactive substances. J. Chem. 2021, 2021, 5531479. [Google Scholar] [CrossRef]
- Scolari, I.R.; Páez, P.L.; Sánchez-Borzone, M.E.; Granero, G.E. Promising chitosan-coated alginate-tween 80 nanoparticles as rifampicin coadministered ascorbic acid delivery carrier against Mycobacterium tuberculosis. AAPS PharmSciTech 2019, 20, 67. [Google Scholar] [CrossRef]
- Lee, K.; Mooney, D. Alginate: Properties and biomedical applications. Prog. Polym. Sci. 2012, 37, 106–126. [Google Scholar] [CrossRef] [PubMed]
- Hu, L.; Kong, D.; Hu, Q.; Yang, X.; Xu, H. Preparation and optimization of a novel microbead formulation to improve solubility and stability of curcumin. Part. Sci. Technol. 2017, 35, 448–454. [Google Scholar] [CrossRef]
- Yasmin, F.; Chen, X.; Eames, B.F. Effect of process parameters on the initial burst release of protein-loaded alginate nanospheres. J. Funct. Biomater. 2019, 10, 42. [Google Scholar] [CrossRef] [PubMed]
- Essifi, K.; Lakrat, M.; Berraaouan, D.; Fauconnier, M.-L.; El Bachiri, A.; Tahani, A. Optimization of gallic acid encapsulation in calcium alginate microbeads using Box-Behnken Experimental Design. Polym. Bull. 2021, 78, 5789–5814. [Google Scholar] [CrossRef]
- ALQuadeib, B.; Eltahir, E.; Alagili, M. The oral administration of lidocaine HCl biodegradable microspheres: Formulation and optimization. Int. J. Nanomed. 2020, 15, 857–869. [Google Scholar] [CrossRef] [PubMed]
- Khorshidian, N.; Mahboubi, A.; Kalantari, N.; Hosseini, H.; Yousefi, M.; Arab, M.; da Cruz, A.; Mortazavian, A.; Mahdavi, F. Chitosan-coated alginate microcapsules loaded with herbal galactagogue extract: Formulation optimization and characterization. Iran. J. Pharm. Res. 2019, 18, 1180–1195. [Google Scholar] [CrossRef]
- Dai, Y.; Li, P.; Zhang, J.; Wang, A.; Wei, Q. Swelling characteristics and drug delivery properties of nifedipine-loaded pH sensitive alginate–chitosan hydrogel beads. J. Biomed. Mater. Res. B Appl. Biomater. 2008, 86B, 493–500. [Google Scholar] [CrossRef]
- Villate, A.; San Nicolas, M.; Olivares, M.; Aizpurua-Olaizola, O.; Usobiaga, A. Chitosan-coated alginate microcapsules of a full-spectrum Cannabis extract: Characterization, long-term stability and in vitro bioaccessibility. Pharmaceutics 2023, 15, 859. [Google Scholar] [CrossRef]
- Sæther, H.; Holme, H.; Maurstad, G.; Smidsrød, O.; Stokke, B. Polyelectrolyte complex formation using alginate and chitosan. Carbohydr. Polym. 2008, 74, 813–821. [Google Scholar] [CrossRef]
- Zimet, P.; Mombrú, Á.W.; Faccio, R.; Brugnini, G.; Miraballes, I.; Rufo, C.; Pardo, H. Optimization and characterization of nisin-loaded alginate-chitosan nanoparticles with antimicrobial activity in lean beef. LWT 2018, 91, 107–116. [Google Scholar] [CrossRef]
- Bhunchu, S.; Muangnoi, C.; Rojsitthisak, P.; Rojsitthisak, P. Curcumin diethyl disuccinate encapsulated in chitosan/alginate nanoparticles for improvement of its in vitro cytotoxicity against MDA-MB-231 human breast cancer cells. Pharmazie 2016, 71, 691–700. [Google Scholar] [CrossRef] [PubMed]
- Andrikopoulos, S.; Blair, A.R.; Deluca, N.; Fam, B.C.; Proietto, J. Evaluating the glucose tolerance test in mice. Am. J. Physiol.-Endocrinol. Metab. 2008, 295, E1323–E1332. [Google Scholar] [CrossRef] [PubMed]
- McGuinness, O.P.; Ayala, J.E.; Laughlin, M.R.; Wasserman, D.H. NIH experiment in centralized mouse phenotyping: The Vanderbilt experience and recommendations for evaluating glucose homeostasis in the mouse. Am. J. Physiol. Endocrinol. Metab. 2009, 297, E849–E855. [Google Scholar] [CrossRef]
- Pacini, G.; Omar, B.; Ahrén, B. Methods and Models for Metabolic Assessment in Mice. J. Diabetes Res. 2013, 2013, 986906. [Google Scholar] [CrossRef]
- Jiménez-Maldonado, A.; García-Suárez, P.C.; Rentería, I.; Moncada-Jiménez, J.; Plaisance, E.P. Impact of high-intensity interval training and sprint interval training on peripheral markers of glycemic control in metabolic syndrome and type 2 diabetes. Biochim. Biophys. Acta Mol. Basis Dis. 2020, 1866, 165820. [Google Scholar] [CrossRef] [PubMed]
- Membrez, M.; Chou, C.J.; Raymond, F.; Mansourian, R.; Moser, M.; Monnard, I.; Ammon-Zufferey, C.; Mace, K.; Mingrone, G.; Binnert, C. Six weeks’ sebacic acid supplementation improves fasting plasma glucose, HbA1c and glucose tolerance in db/db mice. Diabetes Obes. Metab. 2010, 12, 1120–1126. [Google Scholar] [CrossRef]
- Kim, J.-G.; Jo, S.-H.; Ha, K.-S.; Kim, S.-C.; Kim, Y.-C.; Apostolidis, E.; Kwon, Y.-I. Effect of long-term supplementation of low molecular weight chitosan oligosaccharide (GO2KA1) on fasting blood glucose and HbA1c in db/db mice model and elucidation of mechanism of action. BMC Complement. Altern. Med. 2014, 14, 272. [Google Scholar] [CrossRef]
- Gayathri, G.A.; Kavya, P.; Ashwini, D.; Chakraborty, E.; Ahmed, I.A.; Mahalingam, G. Vitexin isolated from Acanthus ilicifolius L. leaf enhances GLUT-4 translocation in experimental diabetic rats. Aquacult. Int. 2023, 31, 3159–3187. [Google Scholar] [CrossRef]
- Ranjan, R.; Kishore, K.; Ranjan, R.; Sheikh, T.J.; Jha, A.K.; Ojha, B.K.; Kumar, S.; Kumar, R. Nutraceutical Potential of Vitexin: A Flavone Glycoside. J. Phytopharmacol. 2023, 12, 44–50. [Google Scholar] [CrossRef]
- Matthews, D.R.; Hosker, J.P.; Rudenski, A.S.; Naylor, B.A.; Treacher, D.F.; Turner, R.C. Homeostasis model assessment: Insulin resistance and β-cell function from fasting plasma glucose and insulin concentrations in man. Diabetologia 1985, 28, 412–419. [Google Scholar] [CrossRef]
- Reaven, G.M. HOMA-beta in the UKPDS and ADOPT. Is the natural history of type 2 diabetes characterised by a progressive and inexorable loss of insulin secretory function? Maybe? Maybe not? Diabetes Vasc. Dis. Res. 2009, 6, 133–138. [Google Scholar] [CrossRef] [PubMed]
- Lenzen, S. The mechanisms of alloxan- and streptozotocin-induced diabetes. Diabetologia 2008, 51, 216–226. [Google Scholar] [CrossRef]
- Zhang, L.; Shi, L.; Han, J.; Li, Z. Protection of β-pancreatic cells from dysfunctionality of insulin using vitexin by apoptosis of INS-1 cells. Arch. Physiol. Biochem. 2023, 129, 1160–1167. [Google Scholar] [CrossRef]
- Yin, P.; Wang, Y.; Yang, L.; Sui, J.; Liu, Y. Hypoglycemic Effects in Alloxan-Induced Diabetic Rats of the Phenolic Extract from Mongolian Oak Cups Enriched in Ellagic Acid, Kaempferol and Their Derivatives. Molecules 2018, 23, 1046. [Google Scholar] [CrossRef] [PubMed]
- Tafesse, T.B.; Hymete, A.; Mekonnen, Y.; Tadesse, M. Antidiabetic activity and phytochemical screening of extracts of the leaves of Ajuga remota Benth on alloxan-induced diabetic mice. BMC Complement. Altern. Med. 2017, 17, 243. [Google Scholar] [CrossRef]
- Mostafavinia, A.; Amini, A.; Ghorishi, S.K.; Pouriran, R.; Bayat, M. The effects of dosage and the routes of administrations of streptozotocin and alloxan on induction rate of type1 diabetes mellitus and mortality rate in rats. Lab. Anim. Res. 2016, 32, 160–165. [Google Scholar] [CrossRef]
- Wang, F.; Yin, J.; Ma, Y.; Jiang, H.; Li, Y. Vitexin alleviates lipopolysaccharide—Induced islet cell injury by inhibiting HMGB1 release. Mol. Med. Rep. 2017, 15, 1079–1086. [Google Scholar] [CrossRef] [PubMed]
- Nurdiana, S.; Goh, Y.M.; Ahmad, H.; Dom, S.M.; Syimal’ain Azmi, N.; Noor Mohamad Zin, N.S.; Ebrahimi, M. Changes in pancreatic histology, insulin secretion and oxidative status in diabetic rats following treatment with Ficus deltoidea and vitexin. BMC Complement. Altern. Med. 2017, 17, 290. [Google Scholar] [CrossRef]
- Nguyen, D.T.; Le, T.N.N.; Ngo, D.K.; Khuu, H.M.; Tran, K.T.; Le, H.T.; Tran, H.V.; Phan, T.-T.N.; Kim Khuyen, V.T.; Do, H.H.; et al. Development and Validation of an HPLC-MS/MS Method for the Simultaneous Quantification of Vitexin and Isovitexin in Rabbit Plasma: Pharmacokinetic Insights on a Microcapsule Formulation. Molecules 2025, 30, 1690. [Google Scholar] [CrossRef]
- Granados-Guzmán, G.; Castro-Ríos, R.; Waksman de Torres, N.; Salazar-Aranda, R. Optimization and Validation of a Microscale In vitro Method to Assess α-Glucosidase Inhibition Activity. Curr. Anal. Chem. 2018, 14, 458–464. [Google Scholar] [CrossRef]
- Yin, Z.; Zhang, W.; Feng, F.; Zhang, Y.; Kang, W. α-Glucosidase inhibitors isolated from medicinal plants. Food Sci. Hum. Wellness 2014, 3, 136–174. [Google Scholar] [CrossRef]















| Factor | Unit | Level | ||
|---|---|---|---|---|
| Lower | Medium | Upper | ||
| (X1) Alginate concentration | % (w/w) | 1.0 | - | 3.0 |
| (X2) Calcium chloride concentration | % (w/w) | 5.0 | - | 15.0 |
| (X3) Tween 80 ratio | % (w/w) | 5.0 | - | 15.0 |
| (X4) Span 80 ratio | % (w/w) | 5.0 | - | 15.0 |
| (X5) Alginate type | - | Low | Medium | High |
| Response | Unit | Criteria Goals | ||
| (Y1) Alginate core size | µm | In range [below 30 µm] | ||
| (Y2) Loading capacity | % (w/w) | Maximize | ||
| (Y3) Encapsulation efficiency | % (w/w) | In range [upper 50%] | ||
| (Y4) The release rate after 1 h | % (w/w) | In range [below 60%] | ||
| Run | X1 (%) | X2 (%) | X3 (%) | X4 (%) | X5 | Y1 (µm) | Y2 (%) | Y3 (%) | Y4 (%) |
|---|---|---|---|---|---|---|---|---|---|
| 1 | 1.71 | 6.70 | 10.98 | 14.40 | Medium | 50.1 ± 14.8 | 18.7 ± 0.4 | 45.8 ± 1.0 | 53.4 ± 5.5 |
| 2 | 1.00 | 14.80 | 15.00 | 5.00 | High | 15.1 ± 5.0 | 23.5 ± 1.0 | 41.2 ± 1.7 | 74.4 ± 2.4 |
| 3 | 2.49 | 10.45 | 15.00 | 15.00 | Low | 45.6 ± 11.0 | 16.6 ± 0.9 | 52.2 ± 2.9 | 52.6 ± 10.3 |
| 4 | 1.67 | 7.25 | 5.05 | 9.25 | Medium | 18.9 ± 5.8 | 23.9 ± 0.4 | 53.7 ± 0.9 | 64.9 ± 2.3 |
| 5 | 3.00 | 7.30 | 11.20 | 9.00 | Medium | 89.7 ± 15.7 | 2.6 ± 0.1 | 10.2 ± 0.4 | 99.5 ± 2.7 |
| 6 | 1.00 | 5.00 | 15.00 | 5.00 | Low | 12.3 ± 3.8 | 24.9 ± 0.8 | 48.5 ± 1.5 | 81.2 ± 4.8 |
| 7 | 2.90 | 10.50 | 5.00 | 9.85 | Medium | 45.9 ± 10.6 | 17.9 ± 0.1 | 51.9 ± 0.2 | 78.7 ± 0.2 |
| 8 | 2.43 | 5.00 | 7.50 | 11.05 | Low | 22.0 ± 5.6 | 13.0 ± 0.8 | 41.0 ± 2.4 | 73.8 ± 2.5 |
| 9 | 1.58 | 15.00 | 12.45 | 9.00 | Low | 9.7 ± 2.6 | 21.7 ± 0.6 | 51.0 ± 1.5 | 86.9 ± 0.8 |
| 10 | 1.97 | 14.70 | 10.00 | 15.00 | Medium | 32.2 ± 9.6 | 13.6 ± 0.6 | 35.3 ± 1.5 | 72.8 ± 4.0 |
| 11 | 2.50 | 7.00 | 15.00 | 7.70 | High | 54.3 ± 14.7 | 2.2 ± 0.1 | 7.0 ± 0.2 | 98.9 ± 0.5 |
| 12 | 3.00 | 15.00 | 15.00 | 5.00 | Medium | 45.5 ± 10.4 | 6.3 ± 0.6 | 25.9 ± 2.6 | 96.0 ± 0.7 |
| 13 | 3.00 | 10.25 | 10.95 | 5.00 | Low | 25.1 ± 6.3 | 10.4 ± 0.4 | 36.8 ± 1.3 | 80.4 ± 0.1 |
| 14 | 2.43 | 5.00 | 7.50 | 11.05 | Low | 28.8 ± 6.5 | 13.5 ± 0.7 | 41.8 ± 2.1 | 74.9 ± 7.3 |
| 15 | 2.40 | 8.17 | 6.75 | 15.00 | High | 57.5 ± 15.2 | 12.4 ± 0.5 | 37.3 ± 1.5 | 84.8 ± 1.2 |
| 16 | 3.00 | 5.00 | 13.56 | 15.00 | Medium | 71.5 ± 15.1 | 6.7 ± 0.5 | 31.1 ± 2.5 | 92.9 ± 3.0 |
| 17 | 1.00 | 15.00 | 5.00 | 14.50 | High | 19.7 ± 6.5 | 35.3 ± 0.8 | 63.5 ± 1.4 | 84.7 ± 1.1 |
| 18 | 1.00 | 9.80 | 9.00 | 15.00 | Low | 12.8 ± 5.0 | 30.9 ± 1.0 | 43.3 ± 1.4 | 70.9 ± 10.2 |
| 19 | 1.50 | 9.50 | 5.00 | 5.00 | Low | 19.1 ± 5.5 | 18.3 ± 0.4 | 38.5 ± 0.9 | 59 ± 7.6 |
| 20 | 1.22 | 12.65 | 5.00 | 8.37 | High | 10.6 ± 3.5 | 16.7 ± 0.7 | 28.4 ± 1.2 | 78.2 ± 11.5 |
| 21 | 1.00 | 15.00 | 15.00 | 14.85 | High | 11.7 ± 4.2 | 15.1 ± 0.3 | 18.1 ± 0.3 | 77.2 ± 2.5 |
| 22 | 1.58 | 15.00 | 12.45 | 9.00 | Low | 10.5 ± 3.9 | 21.6 ± 0.9 | 51.8 ± 2.1 | 88.0 ± 4.2 |
| 23 | 3.00 | 5.00 | 5.00 | 5.00 | High | 70.4 ± 15.0 | 4.0 ± 0.1 | 13.3 ± 0.5 | 92.6 ± 4.0 |
| 24 | 1.07 | 9.50 | 15.00 | 10.10 | Medium | 54.2 ± 17.4 | 20.0 ± 1.0 | 32.1 ± 1.6 | 73.8 ± 4.1 |
| 25 | 1.00 | 5.00 | 15.00 | 15.00 | High | 15.8 ± 5.6 | 14.2 ± 0.3 | 15.0 ± 0.3 | 81.7 ± 3.9 |
| 26 | 2.62 | 12.29 | 14.95 | 10.89 | Medium | 54.9 ± 14.2 | 6.9 ± 0.4 | 25.0 ± 1.3 | 77.5 ± 4.2 |
| 27 | 3.00 | 15.00 | 13.00 | 13.65 | High | 107.0 ± 16.1 | 3.9 ± 0.2 | 13.2 ± 0.7 | 90.8 ± 7.2 |
| 28 | 1.00 | 7.00 | 8.45 | 8.05 | High | 11.4 ± 4.0 | 24.3 ± 0.6 | 28.0 ± 0.7 | 73.0 ± 5.1 |
| 29 | 2.40 | 8.17 | 6.75 | 15.00 | High | 40.8 ± 10.0 | 12.3 ± 0.3 | 38.8 ± 0.8 | 87.1 ± 3.2 |
| 30 | 1.00 | 5.00 | 5.00 | 15.00 | Medium | 21.4 ± 6.5 | 14.7 ± 0.4 | 16.9 ± 0.5 | 92.8 ± 4.0 |
| 31 | 2.00 | 5.35 | 10.00 | 5.00 | Medium | 67.0 ± 16.1 | 12.0 ± 0.8 | 30.7 ± 2.1 | 89.1 ± 7.3 |
| 32 | 2.50 | 7.00 | 15.00 | 7.70 | High | 81.7 ± 17.1 | 2.6 ± 0.2 | 8.0 ± 0.5 | 99.2 ± 8.0 |
| 33 | 3.00 | 15.00 | 5.00 | 15.00 | Low | 49.5 ± 12.7 | 10.9 ± 0.7 | 37.7 ± 2.4 | 86.1 ± 11.0 |
| 34 | 2.33 | 14.83 | 6.78 | 6.00 | High | 43.9 ± 13.8 | 16.1 ± 0.2 | 52.3 ± 0.7 | 81.8 ± 2.3 |
| 35 | 1.00 | 15.00 | 6.30 | 5.00 | Medium | 15.7 ± 4.7 | 33.4 ± 0.9 | 55.1 ± 1.4 | 77.4 ± 3.6 |
| 36 | 1.00 | 7.00 | 8.45 | 8.05 | High | 14.9 ± 4.6 | 24.8 ± 0.6 | 26.0 ± 0.6 | 72.0 ± 0.3 |
| Response | Transform | Model | R2 | F-Value | p-Value |
|---|---|---|---|---|---|
| (Y1) Alginate core size | Square root | 2FI | 0.9324 | 10.34 | <0.0001 |
| (Y2) Loading capacity | Inverse square root | 2FI | 0.8936 | 6.30 | 0.0004 |
| (Y3) Encapsulation efficiency | Natural lograrit | Linear | 0.5141 | 5.11 | 0.0011 |
| (Y4) The in vitro release rate after 1 h | Power (λ = 3) | Quadratic | 0.8950 | 3.91 | 0.0112 |
| Source | Sum of Square | Degrees of Freedom | Mean Square | F-Value | p-Value |
|---|---|---|---|---|---|
| (Y1) Alginate core size | |||||
| Model | 137.27 | 20 | 6.86 | 10.34 | <0.0001 |
| X1 | 64.97 | 1 | 64.97 | 97.88 | <0.0001 |
| X3 | 5.82 | 1 | 5.82 | 8.77 | 0.0097 |
| X5 | 22.49 | 2 | 11.25 | 16.94 | 0.0001 |
| X1.X5 | 12.91 | 2 | 6.45 | 9.72 | 0.0020 |
| CV% | 14.05 | ||||
| (Y2) Loading capacity | |||||
| Model | 0.54 | 20 | 0.03 | 6.30 | 0.0004 |
| X1 | 0.21 | 1 | 0.21 | 50.08 | <0.0001 |
| X3 | 0.06 | 1 | 0.06 | 14.37 | 0.0018 |
| X5 | 0.06 | 2 | 0.03 | 7.12 | 0.0067 |
| X1.X3 | 0.03 | 1 | 0.03 | 8.11 | 0.0122 |
| X2.X4 | 0.02 | 1 | 0.02 | 4.59 | 0.0489 |
| X3.X5 | 0.05 | 2 | 0.02 | 5.42 | 0.0169 |
| CV% | 21.80 | ||||
| (Y3) Encapsulation efficiency | |||||
| Model | 5.88 | 6 | 0.98 | 5.15 | 0.0010 |
| X1 | 0.89 | 1 | 0.89 | 4.66 | 0.0394 |
| X2 | 1.13 | 1 | 1.13 | 5.93 | 0.0213 |
| X3 | 1.36 | 1 | 1.36 | 7.16 | 0.0121 |
| X5 | 2.88 | 2 | 1.44 | 7.58 | 0.0023 |
| CV% | 47.32 | ||||
| (Y4) The in vitro release rate after 1 h | |||||
| Model | 1.53 × 1012 | 24 | 6.38 × 1010 | 3.91 | 0.0112 |
| X1 | 3.41 × 1011 | 1 | 3.41 × 1011 | 20.88 | 0.0008 |
| X1.X5 | 1.31 × 1011 | 2 | 6.57 × 1010 | 4.02 | 0.0489 |
| X2.X5 | 1.84 × 1011 | 2 | 9.21 × 1010 | 5.64 | 0.0206 |
| X3.X4 | 2.14 × 1011 | 1 | 2.14 × 1011 | 13.08 | 0.0041 |
| (X2)2 | 2.04 × 1011 | 1 | 2.04 × 1011 | 12.47 | 0.0047 |
| CV% | 23.09 | ||||
| Factor/Response | Design Experts Suggestions | Design Experts Predictions | Experimental Results |
|---|---|---|---|
| (X1) Alginate concentration | 1.17% | - | |
| (X2) Calcium chloride concentration | 7.60% | - | |
| (X3) Tween 80 ratio | 5.78% | - | |
| (X4) Span 80 ratio | 5.00% | - | |
| (X5) Alginate type | Low viscosity | - | |
| (Y1) Alginate core size | - | 11.97 µm | 7.70 ± 1.45 µm (p = 0.1253) |
| (Y2) Loading capacity | - | 24.49% | 24.44 ± 0.32% (p = 0.8837) |
| (Y3) Encapsulation efficiency | - | 61.45% | 61.53 ± 0.19% (p = 0.8834) |
| (Y4) The in vitro release rate after 1 h | - | 57.67% | 57.59 ± 0.57% (p = 0.9156) |
| Kinetic Models | pH 7.4 | pH 1.2 and 6.8 | ||
|---|---|---|---|---|
| R2 | K | R2 | K | |
| Zero-order | 0.3543 | 16.56 ± 0.09 | 0.1511 | 6.26 ± 0.06 |
| First-order | 0.8577 | 0.51 ± 0.01 | 0.9957 | 0.17 ± 0.00 |
| Higuchi | 0.9264 | 38.32 ± 0.14 | 0.9086 | 23.81 ± 0.19 |
| Hixson–Crowell | 0.7601 | 0.13 ± 0.00 | 0.9915 | 0.05 ± 0.00 |
| Korsmeyer–Peppas | 0.9937 | 47.45 ± 0.55 n = 0.35 ± 0.01 | 0.9241 | 28.00 ± 0.01 n = 0.43 ± 0.00 |
| Peppas–Sahlin | 0.9937 | K1 = 47.59 ± 4.53 K2 = −0.10 ± 3.94 m = 0.35 ± 0.03 | 0.9960 | K1 = 17.80 ± 0.70 K2 = −0.78 ± 0.06 m = 0.83 ± 0.02 |
| Group | Day 1 | Day 7 | Day 14 | Day 21 |
|---|---|---|---|---|
| Control | 120.571 ± 4.001 | 86.071 ± 5.073 | 100.000 ± 1.674 | 109.286 ± 7.196 |
| ALX | 287.857 ± 21.122 **** | 270.429 ± 43.562 *** | 328.143 ± 34.149 **** | 453.571 ± 26.977 **** |
| GBC | 273.667 ± 23.369 **** | 314.333 ± 40.470 **** | 278.333 ± 33.830 ** | 275.000 ± 49.592 **,### |
| mVTX/iVTX 30 | 295.857 ± 21.641 **** | 311.143 ± 31.982 *** | 331.143 ± 30.237 **** | 281.429 ± 41.212 **,## |
| mVTX/iVTX 60 | 271.000 ± 14.260 **** | 272.375 ± 33.405 ** | 316.625 ± 34.271 **** | 177.000 ± 35.982 #### |
| Time (Days) | 1–7 | 1–14 | 1–21 |
|---|---|---|---|
| Control | 619.929 ± 18.111 | 1271.179 ± 37.777 | 2003.679 ± 59.679 |
| ALX | 1674.857 ± 184.954 **** | 3769.857 ± 432.573 **** | 6505.857 ± 575.539 **** |
| GBC | 1764.000 ± 181.351 **** | 3838.333 ± 368.046 **** | 5775.000 ± 545.439 **** |
| mVTX/iVTX 30 | 1821.000 ± 155.659 **** | 4069.000 ± 361.217 **** | 6213.000 ± 564.951 **** |
| mVTX/iVTX 60 | 1630.125 ± 116.547 **** | 3691.625 ± 325.562 **** | 5419.313 ± 466.729 **** |
| Time (mins) | 0–15 | 0–30 | 0–60 | 0–120 |
|---|---|---|---|---|
| Glucose | 2642.81 ± 98.21 | 6310.31 ± 382.02 | 11,560.31 ± 927.79 | 17,534.06 ± 1261.74 |
| GBC | 1668.75 ± 144.46 **** | 3415.31 ± 333.74 **** | 5817.19 ± 562.26 **** | 8963.44 ± 743.66 **** |
| mVTX/iVTX 30 | 2197.50 ± 174.02 | 4864.69 ± 330.71 **,## | 9017.81 ± 517.87 *,## | 15,385.31 ± 859.79 #### |
| mVTX/iVTX 60 | 1989.38 ± 69.24 ** | 4216.88 ± 164.65 **** | 7657.50 ± 256.44 *** | 13,781.25 ± 397.35 *,## |
| Group | HbA1c (%) | Insulin (μU/mL) |
|---|---|---|
| Control | 4.367 ± 0.110 | 0.169 ± 0.029 |
| ALX | 7.715 ± 0.166 **** | 0.123 ± 0.017 |
| GBC | 6.600 ± 0.352 **** | 0.137 ± 0.018 |
| mVTX/iVTX 30 | 6.994 ± 0.478 **** | 0.173 ± 0.037 |
| mVTX/iVTX 60 | 6.725 ± 0.504 **** | 0.150 ± 0.012 |
| Group | HOMA-IR | HOMA-β |
|---|---|---|
| Control | 0.0457 ± 0.0088 | 1.2213 ± 0.2784 |
| ALX | 0.1277 ± 0.0163 ** | 0.1137 ± 0.0296 |
| GBC | 0.0995 ± 0.0221 | 0.3878 ± 0.1417 |
| mVTX/iVTX 30 | 0.1103 ± 0.0399 | 0.3820 ± 0.0395 |
| mVTX/iVTX 60 | 0.1006 ± 0.0139 | 0.3088 ± 0.1171 |
Disclaimer/Publisher’s Note: The statements, opinions and data contained in all publications are solely those of the individual author(s) and contributor(s) and not of MDPI and/or the editor(s). MDPI and/or the editor(s) disclaim responsibility for any injury to people or property resulting from any ideas, methods, instructions or products referred to in the content. |
© 2025 by the authors. Licensee MDPI, Basel, Switzerland. This article is an open access article distributed under the terms and conditions of the Creative Commons Attribution (CC BY) license (https://creativecommons.org/licenses/by/4.0/).
Share and Cite
Mai, N.H.; Do, H.-H.; Tran, P.H.Y.; Nguyen, C.-P.; Nguyen, V.-H.; Nguyen, N.P.N.; Ngo, K.-D.; Nguyen, D.-T.; Le, M.-Q. Optimization of Controlled-Release Microspheres Containing Vitexin and Isovitexin Through Experimental Design and Evaluation of Their Hypoglycemic Effects. Pharmaceutics 2025, 17, 819. https://doi.org/10.3390/pharmaceutics17070819
Mai NH, Do H-H, Tran PHY, Nguyen C-P, Nguyen V-H, Nguyen NPN, Ngo K-D, Nguyen D-T, Le M-Q. Optimization of Controlled-Release Microspheres Containing Vitexin and Isovitexin Through Experimental Design and Evaluation of Their Hypoglycemic Effects. Pharmaceutics. 2025; 17(7):819. https://doi.org/10.3390/pharmaceutics17070819
Chicago/Turabian StyleMai, Nhu Huynh, Hoang-Han Do, Phi Hoang Yen Tran, Cong-Phi Nguyen, Van-Ha Nguyen, Ngoc Phuc Nguyen Nguyen, Kien-Duc Ngo, Duc-Tuan Nguyen, and Minh-Quan Le. 2025. "Optimization of Controlled-Release Microspheres Containing Vitexin and Isovitexin Through Experimental Design and Evaluation of Their Hypoglycemic Effects" Pharmaceutics 17, no. 7: 819. https://doi.org/10.3390/pharmaceutics17070819
APA StyleMai, N. H., Do, H.-H., Tran, P. H. Y., Nguyen, C.-P., Nguyen, V.-H., Nguyen, N. P. N., Ngo, K.-D., Nguyen, D.-T., & Le, M.-Q. (2025). Optimization of Controlled-Release Microspheres Containing Vitexin and Isovitexin Through Experimental Design and Evaluation of Their Hypoglycemic Effects. Pharmaceutics, 17(7), 819. https://doi.org/10.3390/pharmaceutics17070819

