Improved Olfactory Deposition of Theophylline Using a Nanotech Soft Mist Nozzle Chip
Abstract
:1. Introduction
2. Materials and Methods
2.1. User Study
2.2. In Vitro Deposition Study
3. Results
3.1. Effect of the User Instruction on the Inhalation Flow Characteristics
3.2. Effect of the Nozzle Parameters on the Deposition Pattern at a Fixed Inhalation Flow Rate
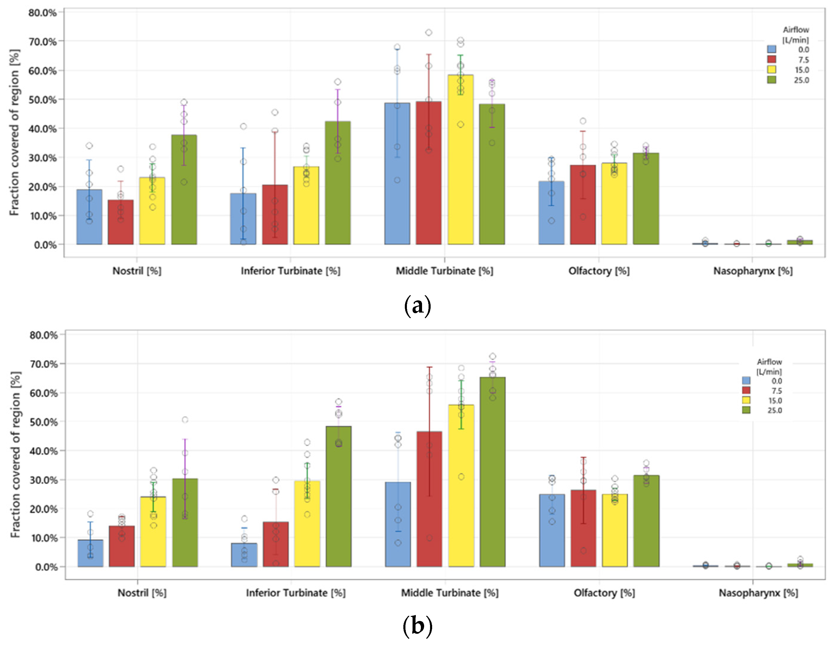
3.3. Effect of the Inhalation Flow Rate on the Deposition Pattern
4. Discussion
5. Conclusions
Supplementary Materials
Author Contributions
Funding
Institutional Review Board Statement
Informed Consent Statement
Data Availability Statement
Conflicts of Interest
References
- Jahnsen, F.L.; Gran, E.; Haye, R.; Brandtzaeg, P. Human Nasal Mucosa Contains Antigen-Presenting Cells of Strikingly Different Functional Phenotypes. Am. J. Respir. Cell Mol. Biol. 2004, 30, 31–37. [Google Scholar] [CrossRef] [PubMed]
- Fröhlich, E. Non-Cellular Layers of the Respiratory Tract: Protection against Pathogens and Target for Drug Delivery. Pharmaceutics 2022, 14, 992. [Google Scholar] [CrossRef] [PubMed]
- Vecellio, L.; De Gersem, R.; Le Guellec, S.; Reychler, G.; Pitance, L.; Le Pennec, D.; Diot, P.; Chantrel, G.; Bonfils, P.; Jamar, F. Deposition of aerosols delivered by nasal route with jet and mesh nebulizers. Int. J. Pharm. 2011, 407, 87–94. [Google Scholar] [CrossRef] [PubMed]
- Kundoor, V.; Dalby, R.N. Assessment of Nasal Spray Deposition Pattern in a Silicone Human Nose Model Using a Color-Based Method. Pharm. Res. 2010, 27, 30–36. [Google Scholar] [CrossRef] [PubMed]
- Suman, J.D.; Laube, B.L.; Dalby, R. Comparison of Nasal Deposition and Clearance of Aerosol Generated by a Nebulizer and an Aqueous Spray Pump. Pharm. Res. 1999, 16, 1648–1652. [Google Scholar] [CrossRef] [PubMed]
- Kimbell, J.S.; Segal, R.A.; Asgharian, B.; Wong, B.A.; Schroeter, J.D.; Southall, J.P.; Dickens, C.J.; Brace, G.; Miller, F.J. Characterization of Deposition from Nasal Spray Devices Using A Computational Fluid Dynamics Model of The Human Nasal Passages. J. Aerosol. Med. 2007, 20, 59–74. [Google Scholar] [CrossRef] [PubMed]
- Suman, J.D.; Laube, B.L.; Dalby, R. Nasal nebulizers versus aqueous spray pumps: A comparison of deposition patterns in human volunteers. Respir. Drug Deliv. 1998, 6, 211–218. [Google Scholar]
- Foo, M.Y.; Cheng, Y.-S.; Su, W.-C.; Donovan, M.D. The Influence of Spray Properties on Intranasal Deposition. J. Aerosol Med. 2007, 20, 495–508. [Google Scholar] [CrossRef] [PubMed]
- D’Angelo, D.; Kooij, S.; Verhoeven, F.; Sonvico, F.; van Rijn, C. Fluorescence-enabled evaluation of nasal tract deposition and coverage of pharmaceutical formulations in a silicone nasal cast using an innovative spray device. J. Adv. Res. 2023, 44, 227–232. [Google Scholar] [CrossRef] [PubMed]
- St. Martin, M.B.; Hitzman, C.J.; Wiedmann, T.S.; Rimell, F.L. Deposition of Aerosolized Particles in the Maxillary Sinuses before and after Endoscopic Sinus Surgery. Am. J. Rhinol. 2007, 21, 196–197. [Google Scholar] [CrossRef] [PubMed]
- Merkus, P.; Ebbens, F.A.; Muller, B.; Fokkens, W.J. Influence of anatomy and head position on intranasal drug deposition. Eur. Arch. Oto-Rhino-Laryngol. Head Neck 2006, 263, 827–832. [Google Scholar] [CrossRef] [PubMed]
- Henkin, R.I.; Schultz, M.; Minnick-Poppe, L. Intranasal Theophylline Treatment of Hyposmia and Hypogeusia: A pilot study. Arch. Otolaryngol. Head Neck Surg. 2012, 138, 1064–1070. [Google Scholar] [CrossRef] [PubMed]
- Moon, C.; Simpson, P.J.; Tu, Y.; Cho, H.; Ronnett, G.V. Regulation of intracellular cyclic GMP levels in olfactory sensory neurons. J. Neurochem. 2005, 95, 200–209. [Google Scholar] [CrossRef] [PubMed]
- Lochhead, J.J.; Thorne, R.G. Intranasal drug delivery to the brain. In Drug Delivery to the Brain; Hammarlund-Udenaes, M., de Lange, R.G.T., Eds.; Springer: New York, NY, USA, 2014; Volume 10, pp. 401–431. [Google Scholar]
- Xi, J.; Wang, Z.; Nevorski, D.; White, T.; Zhou, Y. Nasal and Olfactory Deposition with Normal and Bidirectional Intranasal Delivery Techniques: In Vitro Tests and Numerical Simulations. J. Aerosol. Med. Pulm. Drug Deliv. 2017, 30, 118–131. [Google Scholar] [CrossRef] [PubMed]
- Yarragudi, S.B.; Kumar, H.; Jain, R.; Tawhai, M.; Rizwan, S. Olfactory Targeting of Microparticles Through Inhalation and Bi-directional Airflow: Effect of Particle Size and Nasal Anatomy. J. Aerosol. Med. Pulm. Drug Deliv. 2020, 33, 258–270. [Google Scholar] [CrossRef] [PubMed]
- Sasaki, K.; Fukakusa, S.; Torikai, Y.; Suzuki, C.; Sonohata, I.; Kawahata, T.; Magata, Y.; Kawai, K.; Haruta, S. Effective nose-to-brain drug delivery using a combination system targeting the olfactory region in monkeys. J. Control. Release 2023, 359, 384–399. [Google Scholar] [CrossRef] [PubMed]
- Lochhead, J.J.; Thorne, R.G. Intranasal delivery of biologics to the central nervous system. Adv. Drug Deliv. Rev. 2012, 64, 614–628. [Google Scholar] [CrossRef]
- Bharadwaj, V.N.; Tzabazis, A.Z.; Klukinov, M.; Manering, N.A.; Yeomans, D.C. Intranasal Administration for Pain: Oxytocin and Other Polypeptides. Pharmaceutics 2021, 13, 1088. [Google Scholar] [CrossRef]
- Van Woensel, M.; Mathivet, T.; Wauthoz, N.; Rosière, R.; Garg, A.D.; Agostinis, P.; Mathieu, V.; Kiss, R.; Lefranc, F.; Boon, L.; et al. Sensitization of glioblastoma tumor micro-environment to chemo- and immunotherapy by Galectin-1 intranasal knock-down strategy. Sci. Rep. 2017, 7, 1217. [Google Scholar] [CrossRef] [PubMed]
- Zhang, Y.; Almazi, J.G.; Ong, H.X.; Johansen, M.D.; Ledger, S.; Traini, D.; Hansbro, P.M.; Kelleher, A.D.; Ahlenstiel, C.L. Nanoparticle Delivery Platforms for RNAi Therapeutics Targeting COVID-19 Disease in the Respiratory Tract. Int. J. Mol. Sci. 2022, 23, 2408. [Google Scholar] [CrossRef] [PubMed]








| # | Instruction |
|---|---|
| 1 | “Inhale gently through the nose, do not sniff.” |
| 2 | “Inhale normally through the nose.” |
| 3 | “Inhale slowly through the nose.” |
| 4 | “Inhale with the idea that you would like to smell something that is difficult to smell.” |
| 5 | “Inhale firmly through the nose.” |
| Device Info | Region Coverage Percentages | |||||
|---|---|---|---|---|---|---|
| Nozzle Type | Total Nasal Cast [%] | Nostril [%] | Inferior Turbinate [%] | Middle Turbinate [%] | Olfactory [%] | Nasopharynx [%] |
| Nanotech chip 4 µm × 48 pores | 30.5% (±2.9%) | 22.9% (±6.4%) | 26.8% (±4.8%) | 58.3% (±8.8%) | 27.9% (±3.7%) | 0.2% (±0.2%) |
| Nanotech chip 5 µm × 48 pores | 29.6% (±4.9%) | 23.1% (±6.5%) | 27.8% (±7.9%) | 54.1% (±10.6%) | 24.8% (±2.6%) | 0.1% (±0.1%) |
| Swirl nozzle | 19.7% (±1.2%) | 21.2% (±0.4%) | 13.9% (±4.0%) | 37.0% (±1.1%) | 10.8% (±1.4%) | 1.3% (±1.0%) |
Disclaimer/Publisher’s Note: The statements, opinions and data contained in all publications are solely those of the individual author(s) and contributor(s) and not of MDPI and/or the editor(s). MDPI and/or the editor(s) disclaim responsibility for any injury to people or property resulting from any ideas, methods, instructions or products referred to in the content. |
© 2023 by the authors. Licensee MDPI, Basel, Switzerland. This article is an open access article distributed under the terms and conditions of the Creative Commons Attribution (CC BY) license (https://creativecommons.org/licenses/by/4.0/).
Share and Cite
Zhang, M.X.; Verhoeven, F.; Ravensbergen, P.; Kooij, S.; Geoffrion, R.; Bonn, D.; van Rijn, C.J.M. Improved Olfactory Deposition of Theophylline Using a Nanotech Soft Mist Nozzle Chip. Pharmaceutics 2024, 16, 2. https://doi.org/10.3390/pharmaceutics16010002
Zhang MX, Verhoeven F, Ravensbergen P, Kooij S, Geoffrion R, Bonn D, van Rijn CJM. Improved Olfactory Deposition of Theophylline Using a Nanotech Soft Mist Nozzle Chip. Pharmaceutics. 2024; 16(1):2. https://doi.org/10.3390/pharmaceutics16010002
Chicago/Turabian StyleZhang, Madeline X., Frank Verhoeven, Pieter Ravensbergen, Stefan Kooij, Rick Geoffrion, Daniel Bonn, and Cees J. M. van Rijn. 2024. "Improved Olfactory Deposition of Theophylline Using a Nanotech Soft Mist Nozzle Chip" Pharmaceutics 16, no. 1: 2. https://doi.org/10.3390/pharmaceutics16010002
APA StyleZhang, M. X., Verhoeven, F., Ravensbergen, P., Kooij, S., Geoffrion, R., Bonn, D., & van Rijn, C. J. M. (2024). Improved Olfactory Deposition of Theophylline Using a Nanotech Soft Mist Nozzle Chip. Pharmaceutics, 16(1), 2. https://doi.org/10.3390/pharmaceutics16010002

