Population Pharmacokinetic Modeling for Twice-Daily Intravenous Busulfan in a Large Cohort of Pediatric Patients Undergoing Hematopoietic Stem Cell Transplantation—A 10-Year Single-Center Experience
Abstract
1. Introduction
2. Methods
2.1. Study Design and Patients
2.2. Busulfan Treatment Regimen
2.3. Co-Medication
2.4. Busulfan Sampling and Dose Adjustments
2.5. Population Pharmacokinetic Analysis
2.6. Non-parametric Estimation of AUC, Cmax, CL, V, t1/2, and MRT
2.7. Covariate Analysis
2.8. Simulations of CL with Time
2.9. Model Evaluation
3. Results
3.1. Patient Characteristics
3.2. Population Pharmacokinetic Analysis
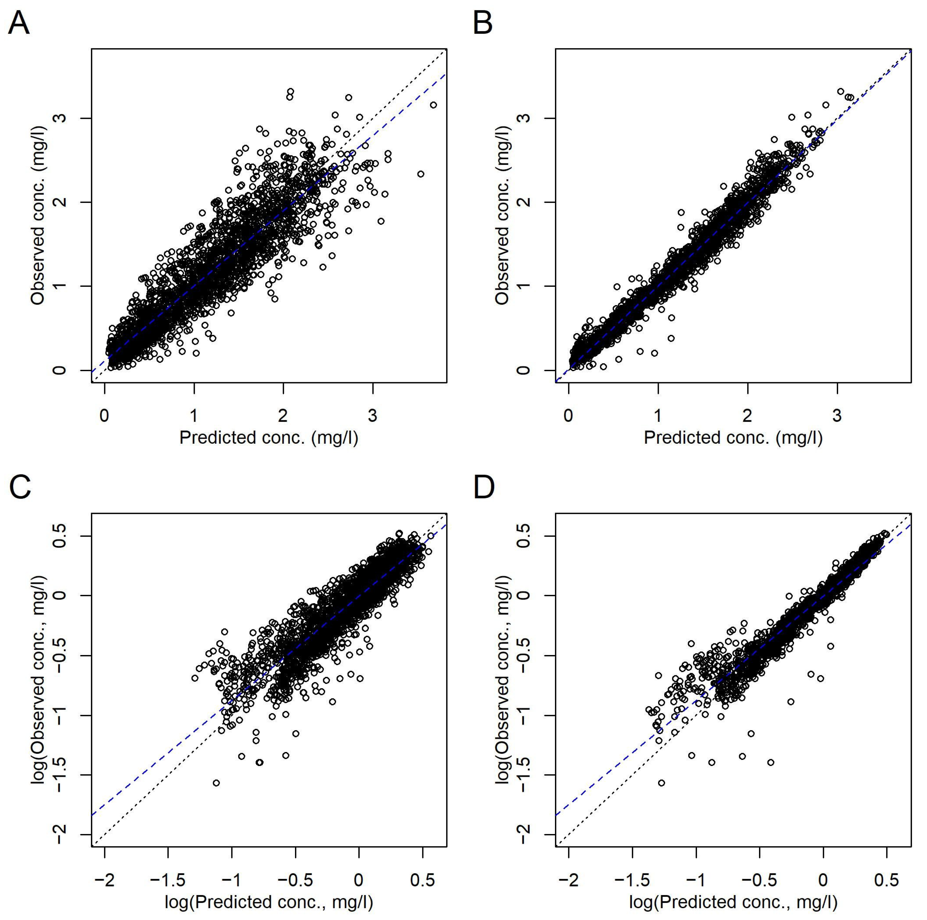
3.3. Model Validation
3.4. Inter-Individual and Inter-Occasion Variability of Busulfan CL
3.5. Dose Adjustments and Busulfan Exposure
4. Discussion
Supplementary Materials
Author Contributions
Funding
Institutional Review Board Statement
Informed Consent Statement
Data Availability Statement
Acknowledgments
Conflicts of Interest
References
- Chiesa, R.; Wynn, R.F.; Veys, P. Haematopoietic stem cell transplantation in inborn errors of metabolism. Curr. Opin. Hematol. 2016, 23, 530–535. [Google Scholar] [CrossRef] [PubMed]
- Peters, C.; Dalle, J.H.; Locatelli, F.; Poetschger, U.; Sedlacek, P.; Buechner, J.; Shaw, P.J.; Staciuk, R.; Ifversen, M.; Pichler, H.; et al. Total Body Irradiation or Chemotherapy Conditioning in Childhood ALL: A Multinational, Randomized, Noninferiority Phase III Study. J. Clin. Oncol. 2021, 39, 295–307. [Google Scholar] [CrossRef] [PubMed]
- Granger, M.M.; Naranjo, A.; Bagatell, R.; DuBois, S.G.; McCune, J.S.; Tenney, S.C.; Weiss, B.D.; Mosse, Y.P.; Asgharzadeh, S.; Grupp, S.A.; et al. Myeloablative Busulfan/Melphalan Consolidation following Induction Chemotherapy for Patients with Newly Diagnosed High-Risk Neuroblastoma: Children’s Oncology Group Trial ANBL12P1. Transplant. Cell. Ther. 2021, 27, 490.e1–490.e8. [Google Scholar] [CrossRef] [PubMed]
- Krivoy, N.; Hoffer, E.; Lurie, Y.; Bentur, Y.; Rowe, J.M. Busulfan use in hematopoietic stem cell transplantation: Pharmacology, dose adjustment, safety and efficacy in adults and children. Curr. Drug. Saf. 2008, 3, 60–66. [Google Scholar] [CrossRef] [PubMed]
- Galaup, A.; Paci, A. Pharmacology of dimethanesulfonate alkylating agents: Busulfan and treosulfan. Expert Opin. Drug Metab. Toxicol. 2012, 9, 333–347. [Google Scholar] [CrossRef] [PubMed]
- Van der Stoep, M.Y.E.C.; Oostenbrink, L.V.E.; Bredius, R.G.M.; Moes, D.J.A.R.; Guchelaar, H.-J.; Zwaveling, J.; Lankester, A.C. Therapeutic Drug Monitoring of Conditioning Agents in Pediatric Allogeneic Stem Cell Transplantation; Where do We Stand? Front. Pharmacol. 2022, 13, 826004. [Google Scholar] [CrossRef] [PubMed]
- Nath, C.E.; Earl, J.W.; Pati, N.; Stephen, K.; Shaw, P.J. Variability in the pharmacokinetics of intravenous busulphan given as a single daily dose to paediatric blood or marrow transplant recipients. Br. J. Clin. Pharmacol. 2008, 66, 50–59. [Google Scholar] [CrossRef] [PubMed]
- Philippe, M.; Neely, M.; Rushing, T.; Bertrand, Y.; Bleyzac, N.; Goutelle, S. Maximal concentration of intravenous busulfan as a determinant of veno-occlusive disease: A pharmacokinetic-pharmacodynamic analysis in 293 hematopoietic stem cell transplanted children. Bone Marrow Transplant. 2019, 54, 448–457. [Google Scholar] [CrossRef]
- Geddes, M.; Kangarloo, S.B.; Naveed, F.; Quinlan, D.; Chaudhry, M.A.; Stewart, D.; Savoie, M.L.; Bahlis, N.J.; Brown, C.; Storek, J.; et al. High busulfan exposure is associated with worse outcomes in a daily i.v. busulfan and fludarabine allogeneic transplant regimen. Biol. Blood Marrow Transplant. 2008, 14, 220–228. [Google Scholar] [CrossRef]
- McCune, J.S.; Gooley, T.; Gibbs, J.P.; Sanders, J.E.; Petersdorf, E.W.; Appelbaum, F.R.; Anasetti, C.; Risler, L.; Sultan, D.; Slattery, J.T. Busulfan concentration and graft rejection in pediatric patients undergoing hematopoietic stem cell transplantation. Bone Marrow Transplant. 2002, 30, 167–173. [Google Scholar] [CrossRef]
- Bartelink, I.H.; Bredius, R.G.; Belitser, S.V.; Suttorp, M.M.; Bierings, M.; Knibbe, C.A.; Egeler, M.; Lankester, A.C.; Egberts, A.C.; Zwaveling, J.; et al. Association between busulfan exposure and outcome in children receiving intravenous busulfan before hematologic stem cell transplantation. Biol. Blood Marrow Transplant. 2009, 15, 231–241. [Google Scholar] [CrossRef] [PubMed]
- Klyuchnikov, E.; Langebrake, C.; Badbaran, A.; Dadkhah, A.; Massoud, R.; Freiberger, P.; Ayuk, F.; Janson, D.; Wolschke, C.; Bacher, U.; et al. Individualized busulfan dosing improves outcomes compared to fixed-dose administration in pre-transplant minimal residual disease-positive acute myeloid leukemia patients with intermediate-risk undergoing allogeneic stem cell transplantation in CR. Eur. J. Haematol. 2023, 110, 188–197. [Google Scholar] [CrossRef] [PubMed]
- Bartelink, I.H.; Lalmohamed, A.; van Reij, E.M.; Dvorak, C.C.; Savic, R.M.; Zwaveling, J.; Bredius, R.G.; Egberts, A.C.; Bierings, M.; Kletzel, M.; et al. Association of busulfan exposure with survival and toxicity after haemopoietic cell transplantation in children and young adults: A multicentre, retrospective cohort analysis. Lancet Haematol. 2016, 3, e526–e536. [Google Scholar] [CrossRef] [PubMed]
- Güngör, T.; Teira, P.; Slatter, M.; Stussi, G.; Stepensky, P.; Moshous, D.; Vermont, C.; Ahmad, I.; Shaw, P.J.; da Cunha, J.M.T.; et al. Reduced-intensity conditioning and HLA-matched haemopoietic stem-cell transplantation in patients with chronic granulomatous disease: A prospective multicentre study. Lancet 2014, 383, 436–448. [Google Scholar] [CrossRef] [PubMed]
- Felber, M.; Steward, C.G.; Kentouche, K.; Fasth, A.; Wynn, R.F.; Zeilhofer, U.; Haunerdinger, V.; Volkmer, B.; Prader, S.; Gruhn, B.; et al. Targeted busulfan-based reduced-intensity conditioning and HLA-matched HSCT cure hemophagocytic lymphohistiocytosis. Blood Adv. 2020, 4, 1998–2010. [Google Scholar] [CrossRef] [PubMed]
- Bolinger, A.; Zangwill, A.; Slattery, J.; Risler, L.; Sultan, D.; Glidden, D.; Norstad, D.; Cowan, M. Target dose adjustment of busulfan in pediatric patients undergoing bone marrow transplantation. Bone Marrow Transplant. 2001, 28, 1013–1018. [Google Scholar] [CrossRef]
- Ansari, M.; Théoret, Y.; Rezgui, M.A.; Peters, C.; Mezziani, S.; Desjean, C.; Vachon, M.-F.; Champagne, M.A.; Duval, M.; Krajinovic, M.; et al. Association between busulfan exposure and outcome in children receiving intravenous busulfan before hematopoietic stem cell transplantation. Ther. Drug Monit. 2014, 36, 93–99. [Google Scholar] [CrossRef]
- Bartelink, I.H.; Boelens, J.J.; Bredius, R.G.; Egberts, A.C.; Wang, C.; Bierings, M.B.; Shaw, P.J.; Nath, C.E.; Hempel, G.; Zwaveling, J.; et al. Body weight-dependent pharmacokinetics of busulfan in paediatric haematopoietic stem cell transplantation patients: Towards individualized dosing. Clin. Pharmacokinet. 2012, 51, 331–345. [Google Scholar] [CrossRef]
- Nguyen, L.; Fuller, D.; Lennon, S.; Leger, F.; Puozzo, C.I.V. busulfan in pediatrics: A novel dosing to improve safety/efficacy for hematopoietic progenitor cell transplantation recipients. Bone Marrow Transplant. 2004, 33, 979–987. [Google Scholar] [CrossRef]
- Davis, J.M.; Ivanova, A.; Chung, Y.; Shaw, J.R.; Rao, K.V.; Ptachcinski, J.R.; Sharf, J.P.; Serody, J.S.; Armistead, P.M.; Wood, W.A.; et al. Evaluation of a Test Dose Strategy for Pharmacokinetically-Guided Busulfan Dosing for Hematopoietic Stem Cell Transplantation. Biol. Blood Marrow Transplant. 2019, 25, 391–397. [Google Scholar] [CrossRef]
- Kangarloo, S.B.; Naveed, F.; Ng, E.S.; Chaudhry, M.A.; Wu, J.; Bahlis, N.J.; Brown, C.B.; Daly, A.; Duggan, P.; Geddes, M.; et al. Development and validation of a test dose strategy for once-daily i.v. busulfan: Importance of fixed infusion rate dosing. Biol. Blood Marrow Transplant. 2012, 18, 295–301. [Google Scholar] [CrossRef] [PubMed][Green Version]
- Lee, J.W.; Kang, H.J.; Lee, S.H.; Yu, K.-S.; Kim, N.H.; Yuk, Y.J.; Jang, M.K.; Han, E.J.; Kim, H.; Song, S.H.; et al. Highly variable pharmacokinetics of once-daily intravenous busulfan when combined with fludarabine in pediatric patients: Phase I clinical study for determination of optimal once-daily busulfan dose using pharmacokinetic modeling. Biol. Blood Marrow Transplant. 2012, 18, 944–950. [Google Scholar] [CrossRef] [PubMed]
- McCune, J.S.; Bemer, M.J.; Barrett, J.S.; Baker, K.S.; Gamis, A.S.; Holford, N.H. Busulfan in infant to adult hematopoietic cell transplant recipients: A population pharmacokinetic model for initial and Bayesian dose personalization. Clin. Cancer Res. 2014, 20, 754–763. [Google Scholar] [CrossRef] [PubMed]
- Ben Hassine, K.; Nava, T.; Théoret, Y.; Nath, C.E.; Daali, Y.; Kassir, N.; Lewis, V.; Bredius, R.G.M.; Shaw, P.J.; Bittencourt, H.; et al. Precision dosing of intravenous busulfan in pediatric hematopoietic stem cell transplantation: Results from a multicenter population pharmacokinetic study. CPT Pharmacomet. Syst. Pharmacol. 2021, 10, 1043–1056. [Google Scholar] [CrossRef] [PubMed]
- Savic, R.M.; Cowan, M.J.; Dvorak, C.C.; Pai, S.-Y.; Pereira, L.; Bartelink, I.H.; Boelens, J.J.; Bredius, R.G.; Wynn, R.F.; Cuvelier, G.D.; et al. Effect of weight and maturation on busulfan clearance in infants and small children undergoing hematopoietic cell transplantation. Biol. Blood Marrow Transplant. 2013, 19, 1608–1614. [Google Scholar] [CrossRef] [PubMed]
- Bertholle-Bonnet, V.; Bleyzac, N.; Galambrun, C.; Mialou, V.; Bertrand, Y.; Souillet, G.; Aulagner, G. Influence of underlying disease on busulfan disposition in pediatric bone marrow transplant recipients: A nonparametric population pharmacokinetic study. Ther. Drug Monit. 2007, 29, 177–184. [Google Scholar] [CrossRef] [PubMed]
- Myers, A.L.; Kawedia, J.D.; Champlin, R.E.; Kramer, M.A.; Nieto, Y.; Ghose, R.; Andersson, B.S. Clarifying busulfan metabolism and drug interactions to support new therapeutic drug monitoring strategies: A comprehensive review. Expert Opin. Drug Metab. Toxicol. 2017, 13, 901–923. [Google Scholar] [CrossRef] [PubMed]
- Ansari, M.; Huezo-Diaz, P.; Rezgui, M.A.; Marktel, S.; Duval, M.; Bittencourt, H.; Cappelli, B.; Krajinovic, M. Influence of glutathione S-transferase gene polymorphisms on busulfan pharmacokinetics and outcome of hematopoietic stem-cell transplantation in thalassemia pediatric patients. Bone Marrow Transplant. 2016, 51, 377–383. [Google Scholar] [CrossRef]
- Huezo-Diaz, P.; Uppugunduri, C.R.; Tyagi, A.K.; Krajinovic, M.; Ansari, M. Pharmacogenetic aspects of drug metabolizing enzymes in busulfan based conditioning prior to allogenic hematopoietic stem cell transplantation in children. Curr. Drug Metab. 2014, 15, 251–264. [Google Scholar] [CrossRef]
- Takahashi, T.; Jaber, M.M.; Brown, S.J.; Al-Kofahi, M. Population Pharmacokinetic Model of Intravenous Busulfan in Hematopoietic Cell Transplantation: Systematic Review and Comparative Simulations. Clin. Pharmacokinet. 2023, 62, 955–968. [Google Scholar] [CrossRef]
- Ehrsson, H.; Hassan, M. Binding of busulfan to plasma proteins and blood cells. J. Pharm. Pharmacol. 1984, 36, 694–696. [Google Scholar] [CrossRef] [PubMed]
- Hassan, M.; Ehrsson, H.; Ehrnebo, M.; Wallin, I.; Smedmyr, B.; Eksborg, S.; Simonsson, B. Pharmacokinetic and metabolic studies of high-dose busulphan in adults. Eur. J. Clin. Pharmacol. 1989, 36, 525–530. [Google Scholar] [CrossRef] [PubMed]
- Nava, T.; Rezgui, M.A.; Uppugunduri, C.R.; Curtis, P.H.-D.; Théoret, Y.; Duval, M.; Daudt, L.E.; Ansari, M.; Krajinovic, M.; Bittencourt, H. GSTA1 Genetic Variants and Conditioning Regimen: Missing Key Factors in Dosing Guidelines of Busulfan in Pediatric Hematopoietic Stem Cell Transplantation. Biol. Blood Marrow Transplant. 2017, 23, 1918–1924. [Google Scholar] [CrossRef] [PubMed]
- DeLeve, L.D.; Wang, X. Role of oxidative stress and glutathione in busulfan toxicity in cultured murine hepatocytes. Pharmacology 2000, 60, 143–154. [Google Scholar] [CrossRef] [PubMed]
- Dirven, H.A.; Van Ommen, B.; Van Bladeren, P.J. Involvement of human glutathione S-transferase isoenzymes in the conjugation of cyclophosphamide metabolites with glutathione. Cancer Res. 1994, 54, 6215–6220. [Google Scholar] [PubMed]
- McGill, M.R.; Jaeschke, H. Metabolism and disposition of acetaminophen: Recent advances in relation to hepatotoxicity and diagnosis. Pharm. Res. 2013, 30, 2174–2187. [Google Scholar] [CrossRef]
- Hassan, Z.; Hellstrom-Lindberg, E.; Alsadi, S.; Edgren, M.; Hagglund, H.; Hassan, M. The effect of modulation of glutathione cellular content on busulphan-induced cytotoxicity on hematopoietic cells in vitro and in vivo. Bone Marrow Transplant. 2002, 30, 141–147. [Google Scholar] [CrossRef]
- R Core Team. R: A Language and Enivronment for Statistical Computing; R Foundation for Statistical Computing: Vienna, Austria, 2017. [Google Scholar]
- Comets, E.; Lavenu, A.; Lavielle, M. Parameter Estimation in Nonlinear Mixed Effect Models Using saemix, an R Implementation of the SAEM Algorithm. J. Stat. Softw. 2017, 80, 1–41. [Google Scholar] [CrossRef]
- Delyon, B.; Lavielle, M.; Moulines, E. Convergence of a Stochastic Approximation Version of the EM Algorithm. Ann. Stat. 1999, 27, 94–128. [Google Scholar] [CrossRef]
- Rowland, M.; Tozer, T.N. Clinical Pharmacokinetics and Pharmacodynamics. Concepts and Applications, 4th ed.; Wolters Kuwer, Lippincott Williams & Wilkins: London, UK, 2011. [Google Scholar]
- Jeong, S.-H.; Jang, J.-H.; Lee, Y.-B. Population pharmacokinetic analysis of lornoxicam in healthy Korean males considering creatinine clearance and CYP2C9 genetic polymorphism. J. Pharm. Investig. 2022, 52, 109–127. [Google Scholar] [CrossRef]
- Wade, J.R.; Edholm, M.; Salmonson, T. A guide for reporting the results of population pharmacokinetic analyses: A Swedish perspective. AAPS J. 2005, 7, E456–E460. [Google Scholar] [CrossRef] [PubMed][Green Version]
- Mosteller, R.D. Simplified calculation of body-surface area. N. Engl. J. Med. 1987, 317, 1098. [Google Scholar] [CrossRef] [PubMed]
- Wells, J.C.K.; Fewtrell, M.S.; Davies, P.S.W.; Williams, J.E.; Coward, W.A.; Cole, T.J. Prediction of total body water in infants and children. Arch. Dis. Child. 2005, 90, 965–971. [Google Scholar] [CrossRef] [PubMed]
- Karlsson, M.O.; Savic, R.M. Diagnosing model diagnostics. Clin. Pharmacol. Ther. 2007, 82, 17–20. [Google Scholar] [CrossRef] [PubMed]
- Yeh, R.F.; Pawlikowski, M.A.; Blough, D.K.; McDonald, G.B.; O’donnell, P.V.; Rezvani, A.; Deeg, H.J.; McCune, J.S. Accurate targeting of daily intravenous busulfan with 8-hour blood sampling in hospitalized adult hematopoietic cell transplant recipients. Biol. Blood Marrow Transplant. 2012, 18, 265–272. [Google Scholar] [CrossRef] [PubMed]
- Almog, S.; Kurnik, D.; Shimoni, A.; Loebstein, R.; Hassoun, E.; Gopher, A.; Halkin, H.; Nagler, A. Linearity and stability of intravenous busulfan pharmacokinetics and the role of glutathione in busulfan elimination. Biol. Blood Marrow Transplant. 2011, 17, 117–123. [Google Scholar] [CrossRef] [PubMed]
- De Castro, F.A.; Lanchote, V.L.; Voltarelli, J.C.; Colturato, V.A.; Simoes, B.P. Influence of fludarabine on the pharmacokinetics of oral busulfan during pretransplant conditioning for hematopoietic stem cell transplantation. J. Clin. Pharmacol. 2013, 53, 1205–1211. [Google Scholar] [CrossRef]
- Bonin, M.; Pursche, S.; Bergeman, T.; Leopold, T.; Illmer, T.; Ehninger, G.; Schleyer, E.; Bornhauser, M. F-ara-A pharmacokinetics during reduced-intensity conditioning therapy with fludarabine and busulfan. Bone Marrow Transplant. 2007, 39, 201–206. [Google Scholar] [CrossRef]
- Ishiwata, Y.; Nagata, M.; Tsuge, K.; Takahashi, H.; Suzuki, S.; Imai, K.; Takagi, M.; Kanegane, H.; Morio, T.; Yasuhara, M. Population Pharmacokinetics of Intravenous Busulfan in Japanese Pediatric Patients With Primary Immunodeficiency Diseases. J. Clin. Pharmacol. 2018, 58, 327–331. [Google Scholar] [CrossRef]
- Long-Boyle, J.R.; Savic, R.; Yan, S.; Bartelink, I.; Musick, L.; French, D.; Law, J.; Horn, B.; Cowan, M.J.; Dvorak, C.C. Population pharmacokinetics of busulfan in pediatric and young adult patients undergoing hematopoietic cell transplant: A model-based dosing algorithm for personalized therapy and implementation into routine clinical use. Ther. Drug Monit. 2015, 37, 236–245. [Google Scholar] [CrossRef]
- Hassan, M.; Ljungman, P.; Bolme, P.; Ringden, O.; Syruckova, Z.; Bekassy, A.; Stary, J.; Wallin, I.; Kallberg, N. Busulfan bioavailability. Blood 1994, 84, 2144–2150. [Google Scholar] [CrossRef] [PubMed]
- Lawson, R.; Staatz, C.E.; Fraser, C.J.; Ramachandran, S.; Teague, L.; Mitchell, R.; O’Brien, T.; Hennig, S. Population pharmacokinetic model for once-daily intravenous busulfan in pediatric subjects describing time-associated clearance. CPT Pharmacomet. Syst. Pharmacol. 2022, 11, 1002–1017. [Google Scholar] [CrossRef] [PubMed]
- Gibbs, J.P.; Liacouras, C.A.; Baldassano, R.N.; Slattery, J.T. Up-regulation of glutathione S-transferase activity in enterocytes of young children. Drug Metab. Dispos. 1999, 27, 1466–1469. [Google Scholar] [PubMed]
- Copelan, E.; Bechtel, T.; Avalos, B.; Elder, P.; Ezzone, S.; Scholl, M.D.; Penza, S. Busulfan levels are influenced by prior treatment and are associated with hepatic veno-occlusive disease and early mortality but not with delayed complications following marrow transplantation. Bone Marrow Transplant. 2001, 27, 1121–1124. [Google Scholar] [CrossRef] [PubMed][Green Version]
- Marsit, H.; Philippe, M.; Neely, M.; Rushing, T.; Bertrand, Y.; Ducher, M.; Leclerc, V.; Guitton, J.; Bleyzac, N.; Goutelle, S. Intra-individual Pharmacokinetic Variability of Intravenous Busulfan in Hematopoietic Stem Cell-Transplanted Children. Clin. Pharmacokinet. 2020, 59, 1049–1061. [Google Scholar] [CrossRef] [PubMed]
- Russell, J.A.; Tran, H.T.; Quinlan, D.; Chaudhry, A.; Duggan, P.; Brown, C.; Stewart, D.; Ruether, J.D.; Morris, D.; Glück, S.; et al. Once-daily intravenous busulfan given with fludarabine as conditioning for allogeneic stem cell transplantation: Study of pharmacokinetics and early clinical outcomes. Biol. Blood Marrow Transplant. 2002, 8, 468–476. [Google Scholar] [CrossRef] [PubMed]
- Fernandez, H.F.; Tran, H.T.; Albrecht, F.; Lennon, S.; Caldera, H.; Goodman, M.S. Evaluation of safety and pharmacokinetics of administering intravenous busulfan in a twice-daily or daily schedule to patients with advanced hematologic malignant disease undergoing stem cell transplantation. Biol. Blood Marrow Transplant. 2002, 8, 486–492. [Google Scholar] [CrossRef]
- Langenhorst, J.B.; Boss, J.; van Kesteren, C.; Lalmohamed, A.; Kuball, J.; Egberts, A.C.G.; Boelens, J.J.; Huitema, A.D.R.; van Maarseveen, E.M. A semi-mechanistic model based on glutathione depletion to describe intra-individual reduction in busulfan clearance. Br. J. Clin. Pharmacol. 2020, 86, 1499–1509. [Google Scholar] [CrossRef]
- Canna, S.W.; Marsh, R.A. Pediatric hemophagocytic lymphohistiocytosis. Blood 2020, 135, 1332–1343. [Google Scholar] [CrossRef]
- Ouachée-Chardin, M.; Elie, C.; de Saint Basile, G.; Le Deist, F.; Mahlaoui, N.; Picard, C.; Neven, B.; Casanova, J.L.; Tardieu, M.; Cavazzana-Calvo, M.; et al. Hematopoietic stem cell transplantation in hemophagocytic lymphohistiocytosis: A single-center report of 48 patients. Pediatrics 2006, 117, e743–e750. [Google Scholar] [CrossRef]
- Corbacioglu, S.; Cesaro, S.; Faraci, M.; Valteau-Couanet, D.; Gruhn, B.; Rovelli, A.; Boelens, J.J.; Hewitt, A.; Schrum, J.; Schulz, A.S.; et al. Defibrotide for prophylaxis of hepatic veno-occlusive disease in paediatric haemopoietic stem-cell transplantation: An open-label, phase 3, randomised controlled trial. Lancet 2012, 379, 1301–1309. [Google Scholar] [CrossRef] [PubMed]
- El-Serafi, I.; Remberger, M.; El-Serafi, A.; Benkessou, F.; Zheng, W.; Martell, E.; Ljungman, P.; Mattsson, J.; Hassan, M. The effect of N-acetyl-l-cysteine (NAC) on liver toxicity and clinical outcome after hematopoietic stem cell transplantation. Sci. Rep. 2018, 8, 8293. [Google Scholar] [CrossRef] [PubMed]
- Sjoo, F.; Aschan, J.; Barkholt, L.; Hassan, Z.; Ringden, O.; Hassan, M. N-acetyl-L-cysteine does not affect the pharmacokinetics or myelosuppressive effect of busulfan during conditioning prior to allogeneic stem cell transplantation. Bone Marrow Transplant. 2003, 32, 349–354. [Google Scholar] [CrossRef] [PubMed]
- Nguyen, L.; Leger, F.; Lennon, S.; Puozzo, C. Intravenous busulfan in adults prior to haematopoietic stem cell transplantation: A population pharmacokinetic study. Cancer Chemother. Pharmacol. 2006, 57, 191–198. [Google Scholar] [CrossRef]
- Zwaveling, J.; Bredius, R.G.M.; Cremers, S.C.L.M.; Ball, L.M.; Lankester, A.C.; Teepe-Twiss, I.M.; Egeler, R.M.; Hartigh, J.D.; Vossen, J.M. Intravenous busulfan in children prior to stem cell transplantation: Study of pharmacokinetics in association with early clinical outcome and toxicity. Bone Marrow Transplant. 2005, 35, 17–23. [Google Scholar] [CrossRef]
- Dunn, A.; Moffett, B.S.; Ivaturi, V.; Gobburu, J.V.S. Characterization of drug–drug interactions on the pharmacokinetic disposition of busulfan in paediatric patients during haematopoietic stem cell transplantation conditioning. Br. J. Clin. Pharmacol. 2022, 88, 2223–2235. [Google Scholar] [CrossRef]
- Gandhi, V.; Plunkett, W. Cellular and Clinical Pharmacology of Fludarabine. Clin. Pharmacokinet. 2002, 41, 93–103. [Google Scholar] [CrossRef]
- Siddiqi, M.; Nusrat, S.; Alam, P.; Malik, S.; Chaturvedi, S.K.; Ajmal, M.R.; Abdelhameed, A.S.; Khan, R.H. Investigating the site selective binding of busulfan to human serum albumin: Biophysical and molecular docking approaches. Int. J. Biol. Macromol. 2018, 107, 1414–1421. [Google Scholar] [CrossRef]






| Patients (n = 124) | Demographics |
|---|---|
| 2015 (2010–2020) | Year of transplantation |
| 4.3 (0.2–27.0) | Age (years) |
| 23 (18%) | Age <1 (years) |
| 95 (77%) | Age 1–18 (years) |
| 6 (5%) | Age >18 (years) |
| 17.2 (4.3–85.0) | Body weight (kg) |
| 0.71 (0.25–2.06) | Body surface area (m2) |
| Sex | |
| 89 (72%) | Male |
| 35 (28%) | Female |
| Indication | |
| 42 (34%) | Malignant disease |
| 13 (10%) | ALL |
| 12 (10%) | AML |
| 6 (5%) | Neuroblastoma |
| 11 (9%) | Others |
| 4 (3%) | JMML |
| 5 (4%) | MDS |
| 1 (1%) | Ewing sarcoma |
| 1 (1%) | Lymphoma |
| 82 (66%) | Non-malignant disease |
| 32 (26%) | CGD |
| 14 (11%) | HLH or XLP |
| 12 (10%) | Hemoglobinopathies |
| 6 (5%) | β-Thalassemia major |
| 6 (5%) | Sickle cell anemia |
| 14 (11%) | Primary immunodeficiencies |
| 6 (5%) | SCID |
| 3 (2%) | Wiskott–Aldrich syndrome |
| 5 (4%) | Others 1 |
| 8 (6%) | Metabolic diseases |
| 4 (3%) | MPS |
| 2 (2%) | X-ALD |
| 1 (1%) | Other leukodystrophy |
| 1 (1%) | Alpha-mannosidosis |
| 2 (2%) | Thrombocytopenia |
| Conditioning | |
| 82 (66%) | Bu/Flu |
| 13 (10%) | Bu/Flu/TTP |
| 4 (3%) | Bu/Flu/Mel |
| 1 (1%) | Bu/Flu/CP |
| 10 (8%) | Bu/Clo |
| 7 (6%) | Bu/Mel |
| 6 (5%) | Bu/CP/Mel |
| 1 (1%) | Bu/CP |
| Serotherapy | |
| 57 (46%) | Alemtuzumab |
| 54 (44%) | ATG |
| 13 (10%) | No |
| Stem cell source | |
| 78 (63%) | Bone marrow |
| 36 (29%) | Peripheral blood stem cell |
| 10 (8%) | Umbilical cord blood |
| HLA compatibility | |
| 50 (40%) | MUD |
| 38 (31%) | MMUD |
| 24 (19%) | MRD |
| 5 (4%) | Haplo |
| 7 (6%) | Auto |
| Laboratory parameters | |
| 0.3 (0.17–0.41) | Hematocrit (L/L) |
| 4.0 (0.16–20.9) | White blood cells (G/L) |
| 61 (34–84) | Serum total protein (g/L) |
| 34 (19–50) | Serum albumin (g/L) |
| Step 1: Building the Basic Structural Model (a) | ||||||||
|---|---|---|---|---|---|---|---|---|
| Model | Number of Compartments | PK Parameters | Random Effects for | df (b) | Δ-2LL (c) | Ref. Model (d) | Comment | Parameters in Table 3 |
| 1 * | 1 | ln(V), ln(k) | ln(V), ln(k) | 4 | 0 | - | ||
| 2 | 1 | ln(V), ln(k), dk, ln(κk) | ln(V), ln(k), dk, ln(κk) | 8 | −2245 | 1 * | Excluded, Shrinkage for ln(κk) >40% | |
| 3 * | 1 | ln(V), ln(k), dk, ln(κk) | ln(V), ln(k), dk | 7 | −2128 | 1 * | Critical Δ-2LL for Δ3 parameters: −7.82(p = 0.05) | θV1, θk1, θdk1, θκk, all Ω2 |
| 4 | 2 | ln(V), ln(k), ln(V1), ln(k1) | ln(V), ln(k), ln(V1) | 7 | −163 | 1 * | ||
| Step 2: Search for covariates by forward inclusion based on model 3 * Inclusion criteria: Δ-2LL (c) ≤−3.84 (p = 0.05) and effect (absolute value, |θ|) ≥ 0.1 (≥ 10% in linear scale) | ||||||||
| Model | Step 2a: Testing alternative body size metrics as covariates for ln(V) | df | Δ-2LL | Ref. model | Reason for not including | Parameter in Table 3 | ||
| 5 | ln(W) on ln(V) | 8 | −294.2 | 3 * | Model 9 * | |||
| 6 | ln(BSA) on ln(V) | 8 | −304.6 | 3 * | Model 9 * | |||
| 7 | ln(H) on ln(V) | 8 | −284.5 | 3 * | Model 9 * | |||
| 8 | ln(FFM) on ln(V) | 8 | −288.3 | 3 * | Model 9 * | |||
| 9 * | ln(TBW) on ln(V) | 8 | −305.4 | 3 * | θV2 | |||
| Step 2b: Including additional covariates | ||||||||
| 10 | Model 9 * with Tinf on ln(V) | 9 | −31.7 | 9 * | θV3 | |||
| 11 | Model 10 with Tinf on ln(k) | 10 | −15.2 | 10 | θk6 | |||
| 12 | Model 11 with ALL on ln(k) | 11 | −14.8 | 11 | θθk5 | |||
| 13 | Model 12 with HLH/XLP on dk | 12 | −6.94 | 12 | θdk2 | |||
| 14 | Model 13 with Alb on ln(k) | 13 | −6.09 | 13 | θk4 | |||
| 15 | Model 14 with ln(TBW) on ln(k) | 14 | −6.54 | 14 | θk2 | |||
| 16 ** | Model 15 with ln(Fmat) on ln(k) | 15 | −11.4 | 15 | θk3 | |||
| 17 | Model 16 ** with ln(Leu) on ln(k) | 16 | −5.42 | 16 ** | Step 3 | |||
| 18 * | Model 17 with ln(Hct) on ln(V) | 16 | −5.25 | 16 ** | Step 3 | |||
| Step 3: Evaluation of covariates by backward exclusion Exclusion criterium: Δ-2LL ≥ −6.63 (p = 0.01) | ||||||||
| 17 | Model 18 *, excluding ln(Hct) on ln(V) | 15 | −5.25 | 18 | Δ-2LL ≥ −6.63 | |||
| 16 ** | Model 17, excluding ln(Leu) on ln(k) | 15 | −5.42 | 18 | Δ-2LL ≥ −6.63 | |||
| Excluding individual covariates from model 16 ** | 14 | ≤−7.40 | 16 ** | |||||
| Step 4: Search for the effects of co-medication | ||||||||
| 19 | NAC on ln(k) | 16 | −0.03 | 16 ** | Δ-2LL > −3.84 | |||
| 20 | NAC on ln(V) | 16 | −112.8 | 16 ** | |θ| < 0.1 (0.099) (f) | |||
| 21 | Clofarabine with NAC on ln(k) | 16 | −1.48 | 16 ** | Δ-2LL > −3.84 | |||
| 22 | Clofarabine with NAC on ln(V) | 16 | +0.62 | 16 ** | Δ-2LL > −3.84 | |||
| 23 | Paracetamol w/o NAC on ln(k) | 16 | −4.33 | 16 ** | |θ| < 0.1 (0.02) | |||
| 24 | Paracetamol w/o NAC on ln(V) | 16 | −18.5 | 16 ** | |θ| < 0.1 (−0.05) | |||
| 25 | Fludarabine on ln(k) | 16 | +0.47 | 16 ** | Δ-2LL > −3.84 | |||
| 26 | Fludarabine on ln(V) | 16 | +1.57 | 16 ** | Δ-2LL > −3.84 | |||
| Fixed Effects | |||||||
|---|---|---|---|---|---|---|---|
| Parameter (a) | Reference Value (b) | Fit Value | SE (c) | Range in Population (d) | Untransformed Fit Value (e) | p (f) | CI (95%) from Bootstrapping (g) |
| , ln(V, L) at reference values | 2.459 | 0.0189 | 11.70 L | - | 2.432, 2.491 | ||
| , effect of Δln(TBW, L) | 10 L | 0.931 | 0.0233 | −1.21; 1.40 | - | <0.001 | 0.872, 0.987 |
| , effect of ΔTinf (h) | 3 h | 0.226 | 0.0356 | 0; 0.23 | 1.254 | <0.001 | 0.134, 0.329 |
| , ln(k, h−1) at reference values | −1.007 | 0.0329 | 0.365 h−1 | - | −1.065, −0.952 | ||
| , effect of Δln(TBW, L) | 10 L | −0.189 | 0.0411 | −0.28; 0.24 | - | < 0.001 | −0.291, −0.106 |
| , effect of ln(Fmat) | 0 | 0.697 | 0.2001 | −0.40; 0 | - | < 0.001 | 0.348, 1.061 |
| , effect of Δln(Alb, g/L) | 30 g/L | 0.331 | 0.1073 | −0.15; 0.16 | - | 0.001 | 0.090, 0.653 |
| , effect of ALL | No ALL | −0.210 | 0.0592 | −0.21; 0 | 0.810 | < 0.001 | −0.398, −0.030 |
| , effect of ΔTinf (h) | 3 h | −0.161 | 0.0420 | −0.16; 0 | 0.851 | < 0.001 | −0.264, −0.085 |
| , dk (h−1) at no HLH/XLP | - | −0.167 | 0.0191 | −0.167 | - | −0.198, −0.122 | |
| , effect of HLH/XLP | No HLH/XLP | −0.145 | 0.0540 | −0.15; 0 | −0.145 | 0.0035 | −0.255, −0.030 |
| , ln(κk, h−1) | - | −2.965 | 0.1094 | 0.0516 h−1 | - | −3.204, −2.390 | |
| Inter-individual variability: variance Ω2 (standard deviation Ω) of the random effects | |||||||
| Parameter | Fit Ω2 (Ω) | SE of Ω2 | Shrinkage | ||||
| Ω2 (Ω) of ln(V) | - | 0.029 (0.169) | 0.0039 | 5.5% | |||
| Ω2 (Ω) of ln(k) | - | 0.033 (0.182) | 0.0048 | 12.5% | |||
| Ω2 (Ω) of dk | - | 0.032 (0.180) | 0.0047 | 12.5% | |||
| Residual error | |||||||
| Residual error with SE | - | 0.076 | 0.0008 | - | - | ||
Disclaimer/Publisher’s Note: The statements, opinions and data contained in all publications are solely those of the individual author(s) and contributor(s) and not of MDPI and/or the editor(s). MDPI and/or the editor(s) disclaim responsibility for any injury to people or property resulting from any ideas, methods, instructions or products referred to in the content. |
© 2023 by the authors. Licensee MDPI, Basel, Switzerland. This article is an open access article distributed under the terms and conditions of the Creative Commons Attribution (CC BY) license (https://creativecommons.org/licenses/by/4.0/).
Share and Cite
Schreib, K.M.; Bräm, D.S.; Zeilhofer, U.B.; Müller, D.; Güngör, T.; Krämer, S.D.; Hauri-Hohl, M.M. Population Pharmacokinetic Modeling for Twice-Daily Intravenous Busulfan in a Large Cohort of Pediatric Patients Undergoing Hematopoietic Stem Cell Transplantation—A 10-Year Single-Center Experience. Pharmaceutics 2024, 16, 13. https://doi.org/10.3390/pharmaceutics16010013
Schreib KM, Bräm DS, Zeilhofer UB, Müller D, Güngör T, Krämer SD, Hauri-Hohl MM. Population Pharmacokinetic Modeling for Twice-Daily Intravenous Busulfan in a Large Cohort of Pediatric Patients Undergoing Hematopoietic Stem Cell Transplantation—A 10-Year Single-Center Experience. Pharmaceutics. 2024; 16(1):13. https://doi.org/10.3390/pharmaceutics16010013
Chicago/Turabian StyleSchreib, Katharina M., Dominic S. Bräm, Ulrike Barbara Zeilhofer, Daniel Müller, Tayfun Güngör, Stefanie D. Krämer, and Mathias M. Hauri-Hohl. 2024. "Population Pharmacokinetic Modeling for Twice-Daily Intravenous Busulfan in a Large Cohort of Pediatric Patients Undergoing Hematopoietic Stem Cell Transplantation—A 10-Year Single-Center Experience" Pharmaceutics 16, no. 1: 13. https://doi.org/10.3390/pharmaceutics16010013
APA StyleSchreib, K. M., Bräm, D. S., Zeilhofer, U. B., Müller, D., Güngör, T., Krämer, S. D., & Hauri-Hohl, M. M. (2024). Population Pharmacokinetic Modeling for Twice-Daily Intravenous Busulfan in a Large Cohort of Pediatric Patients Undergoing Hematopoietic Stem Cell Transplantation—A 10-Year Single-Center Experience. Pharmaceutics, 16(1), 13. https://doi.org/10.3390/pharmaceutics16010013

