Optimized Chitosan-Based Nanoemulsion Improves Luteolin Release
Abstract
1. Introduction
2. Materials and Methods
2.1. Materials
2.2. LUT Solubility Studies
2.3. Preparation of Nanoemulsion
2.4. Nanoemulsion Optimization
2.5. Preparation of Chitosan-Based Nanoemulsion
2.6. Nanoemulsion Characterization
2.6.1. Mean Diameter and Zeta Potential Analysis
2.6.2. Encapsulation Efficiency
2.6.3. Morphology
2.6.4. Rheology
2.6.5. Small Angle X-ray Scattering
2.7. Stability Studies
2.8. In Vitro Release
2.9. Statistical Analysis
3. Results and Discussion
3.1. LUT Solubility Studies and Hydrophile–Lipophile Balance Manipulation
3.2. Nanoemulsion Optimization
3.3. Chitosan Coating
3.4. Nanoemulsion Characterization
3.4.1. Globule Size and Zeta Potential Analysis
3.4.2. Transmission Electron Microscopy
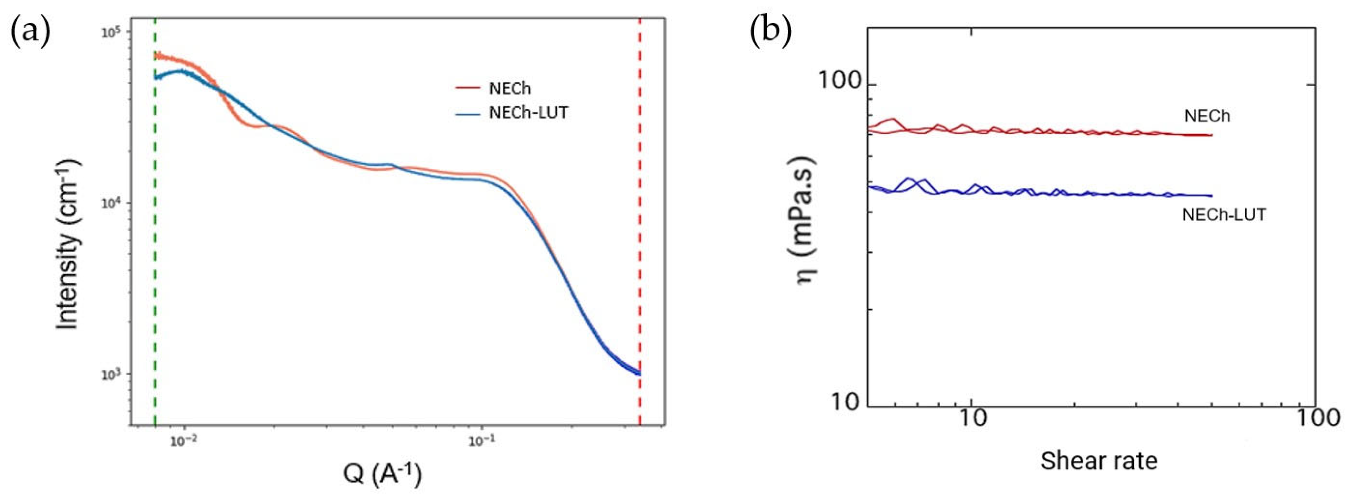
3.4.3. Small-Angle X-ray Scattering
3.4.4. Rheology
3.5. Stability Studies
3.6. In Vitro Release
4. Conclusions
Author Contributions
Funding
Institutional Review Board Statement
Informed Consent Statement
Data Availability Statement
Acknowledgments
Conflicts of Interest
References
- López-lázaro, M. Distribution and Biological Activities of the Flavonoid Luteolin. Mini-Rev. Med. Chem. 2009, 9, 31–59. [Google Scholar] [CrossRef] [PubMed]
- Naso, L.G.; Lezama, L.; Valcarcel, M.; Salado, C.; Villacé, P.; Kortazar, D.; Ferrer, E.G.; Williams, P.A.M. Bovine Serum Albumin Binding, Antioxidant and Anticancer Properties of an Oxidovanadium(IV) Complex with Luteolin. J. Inorg. Biochem. 2016, 157, 80–93. [Google Scholar] [CrossRef] [PubMed]
- Sulaiman, G.M. In Vitro Study of Molecular Structure and Cytotoxicity Effect of Luteolin in the Human Colon Carcinoma Cells. Eur. Food Res. Technol. 2015, 241, 83–90. [Google Scholar] [CrossRef]
- Shinde, P.; Agraval, H.; Singh, A.; Yadav, U.C.S.; Kumar, U. Synthesis of Luteolin Loaded Zein Nanoparticles for Targeted Cancer Therapy Improving Bioavailability and Efficacy. J. Drug Deliv. Sci. Technol. 2019, 52, 369–378. [Google Scholar] [CrossRef]
- Hara, K.; Haranishi, Y.; Terada, T.; Takahashi, Y.; Nakamura, M.; Sata, T. Effects of Intrathecal and Intracerebroventricular Administration of Luteolin in a Rat Neuropathic Pain Model. Pharmacol. Biochem. Behav. 2014, 125, 78–84. [Google Scholar] [CrossRef]
- Hashemzaei, M.; Abdollahzadeh, M.; Iranshahi, M.; Golmakani, E.; Rezaee, R.; Tabrizian, K. Effects of Luteolin and Luteolin-Morphine Co-Administration on Acute and Chronic Pain and Sciatic Nerve Ligated-Induced Neuropathy in Mice. J. Complement. Integr. Med. 2017, 14, 1. [Google Scholar] [CrossRef]
- Bustos, P.S.; Deza-Ponzio, R.; Páez, P.L.; Cabrera, J.L.; Virgolini, M.B.; Ortega, M.G. Flavonoids as Protective Agents against Oxidative Stress Induced by Gentamicin in Systemic Circulation. Potent Protective Activity and Microbial Synergism of Luteolin. Food Chem. Toxicol. 2018, 118, 294–302. [Google Scholar] [CrossRef]
- Törmäkangas, L.; Vuorela, P.; Saario, E.; Leinonen, M.; Saikku, P.; Vuorela, H. In Vivo Treatment of Acute Chlamydia Pneumoniae Infection with the Flavonoids Quercetin and Luteolin and an Alkyl Gallate, Octyl Gallate, in a Mouse Model. Biochem. Pharmacol. 2005, 70, 1222–1230. [Google Scholar] [CrossRef]
- Peng, M.; Watanabe, S.; Chan, K.W.K.; He, Q.; Zhao, Y.; Zhang, Z.; Lai, X.; Luo, D.; Vasudevan, S.G.; Li, G. Luteolin Restricts Dengue Virus Replication through Inhibition of the Proprotein Convertase Furin. Antivir. Res. 2017, 143, 176–185. [Google Scholar] [CrossRef]
- Zhou, Y.; Ding, B.Z.; Lin, Y.P.; Wang, H.B. MiR-34a, as a Suppressor, Enhance the Susceptibility of Gastric Cancer Cell to Luteolin by Directly Targeting HK1. Gene 2018, 644, 56–65. [Google Scholar] [CrossRef]
- Li, M.; Li, Q.; Zhao, Q.; Zhang, J.; Lin, J. Luteolin Improves the Impaired Nerve Functions in Diabetic Neuropathy: Behavioral and Biochemical Evidences. Int. J. Clin. Exp. Pathol. 2015, 8, 10112–10120. [Google Scholar]
- Hindarto, C.K.; Surini, S.; Saputri, F.C.; Irawan, C. In Vivo Evaluation of Luteolin-Loaded Phytosome In Vivo Evaluation of Luteolin-Loaded Phytosome. Pharma Innov. J. 2017, 6, 347–349. [Google Scholar]
- Deng, C.; Gao, C.; Tian, X.; Chao, B.; Wang, F.; Zhang, Y.; Zou, J.; Liu, D. Pharmacokinetics, Tissue Distribution and Excretion of Luteolin and Its Major Metabolites in Rats: Metabolites Predominate in Blood, Tissues and Are Mainly Excreted via Bile. J. Funct. Foods 2017, 35, 332–340. [Google Scholar] [CrossRef]
- Harwansh, R.K.; Deshmukh, R.; Rahman, A. Nanoemulsion: Promising Nanocarrier System for Delivery of Herbal Bioactives. J. Drug Deliv. Sci. Technol. 2019, 51, 224–233. [Google Scholar] [CrossRef]
- Ashaolu, T.J. Nanoemulsions for Health, Food, and Cosmetics: A Review. Environ. Chem. Lett. 2021, 19, 3381–3395. [Google Scholar] [CrossRef]
- Choudhury, H.; Pandey, M.; Gorain, B.; Chatterjee, B.; Madheswaran, T.; Md, S.; Mak, K.-K.; Tambuwala, M.; Chourasia, M.K.; Kesharwani, P. Nanoemulsions as Effective Carriers for the Treatment of Lung Cancer. In Nanotechnology-Based Targeted Drug Delivery Systems for Lung Cancer; Elsevier Inc.: Amsterdam, The Netherlands, 2019; pp. 217–247. ISBN 9780128157206. [Google Scholar]
- Chircov, C.; Grumezescu, A.M. Nanoemulsion Preparation, Characterization, and Application in the Field of Biomedicine. In Nanoarchitectonics in Biomedicine; Elsevier Inc.: Amsterdam, The Netherlands, 2019; pp. 145–184. ISBN 9780128162002. [Google Scholar]
- Deen, G.R.; Skovgaard, J.; Pedersen, J.S. Formation and Properties of Nanoemulsions; Elsevier Inc.: Amsterdam, The Netherlands, 2016; ISBN 9780128043066. [Google Scholar]
- Patel, M.R.; Patel, R.B.; Thakore, S.D. Nanoemulsion in Drug Delivery. In Applications of Nanocomposite Materials in Drug Delivery; Elsevier Inc.: Amsterdam, The Netherlands, 2018; pp. 667–700. ISBN 9780128137413. [Google Scholar]
- Shah, M.R.; Imran, M.; Ullah, S. Nanoemulsions. In Lipid-Based Nanocarriers for Drug Delivery and Diagnosis; Elsevier: Amsterdam, The Netherlands, 2017; pp. 111–137. ISBN 9780323527293. [Google Scholar]
- Siram, K.; Habibur Rahman, S.M.; Balakumar, K.; Duganath, N.; Chandrasekar, R.; Hariprasad, R. Pharmaceutical Nanotechnology: Brief Perspective on Lipid Drug Delivery and Its Current Scenario. In Biomedical Applications of Nanoparticles; Elsevier Inc.: Amsterdam, The Netherlands, 2019; pp. 91–115. ISBN 9780128165065. [Google Scholar]
- Hamedi, H.; Moradi, S.; Hudson, S.M.; Tonelli, A.E.; King, M.W. Chitosan Based Bioadhesives for Biomedical Applications: A Review. Carbohydr. Polym. 2022, 282, 119100. [Google Scholar] [CrossRef]
- Prajapati, D.; Pal, A.; Dimkpa, C.; Harish; Singh, U.; Devi, K.A.; Choudhary, J.L.; Saharan, V. Chitosan Nanomaterials: A Prelim of next-Generation Fertilizers; Existing and Future Prospects. Carbohydr. Polym. 2022, 288, 119356. [Google Scholar] [CrossRef]
- Liang, X.; Mu, M.; Fan, R.; Zou, B.; Guo, G. Functionalized Chitosan as a Promising Platform for Cancer Immunotherapy: A Review. Carbohydr. Polym. 2022, 290, 119452. [Google Scholar] [CrossRef]
- Dubey, S.K.; Bhatt, T.; Agrawal, M.; Saha, R.N.; Saraf, S.; Saraf, S.; Alexander, A. Application of Chitosan Modified Nanocarriers in Breast Cancer. Int. J. Biol. Macromol. 2022, 194, 521–538. [Google Scholar] [CrossRef]
- Lia, J.; Chengb, X.; Chenc, Y.; Hed, W.; Li Nia, P.X.; Wei, M. Vitamin E TPGS Modified Liposomes Enhance Cellular Uptake and Targeted Delivery of Luteolin: An in Vivo/in Vitro Evaluation. Int. J. Pharm. 2016, 512, 262–272. [Google Scholar] [CrossRef]
- Luo, Y.; Chen, S.; Zhou, J.; Chen, J.; Tian, L.; Gao, W.; Zhang, Y.; Ma, A.; Li, L.; Zhou, Z. Luteolin Cocrystals: Characterization, Evaluation of Solubility, Oral Bioavailability and Theoretical Calculation. J. Drug Deliv. Sci. Technol. 2019, 50, 248–254. [Google Scholar] [CrossRef]
- Shi, F.; Pan, H.; Lu, Y.; Ding, L. An HPLC–MS/MS Method for the Simultaneous Determination of Luteolin and Its Major Metabolites in Rat Plasma and Its Application to a Pharmacokinetic Study. J. Sep. Sci. 2018, 41, 3830–3839. [Google Scholar] [CrossRef] [PubMed]
- Wang, L.; Zhong, C.; Zu, Y.; Zhao, X.; Deng, Y.; Wu, W.; Sun, X.; Wang, L.; Wu, M. Preparation and Characterization of Luteolin Nanoparticles for Enhance Bioavailability and Inhibit Liver Microsomal Peroxidation in Rats. J. Funct. Foods 2019, 55, 57–64. [Google Scholar] [CrossRef]
- Leontowich, A.F.G.; Gomez, A.; Moreno, B.D.; Muir, D.; Spasyuk, D.; King, G.; Reid, J.W.; Kim, C.Y.; Kycia, S. The Lower Energy Diffraction and Scattering Side-Bounce Beamline for Materials Science at the Canadian Light Source Leontowich Adam F. G. J. Synchrotron Radiat. 2021, 28, 961–969. [Google Scholar] [CrossRef]
- Toby, B.H.; Von Dreele, R.B. GSAS-II: The Genesis of a Modern Open-Source All Purpose Crystallography Software Package. J. Appl. Crystallogr. 2013, 46, 544–549. [Google Scholar] [CrossRef]
- Von Dreele, R.B. Small-Angle Scattering Data Analysis in GSAS-II. J. Appl. Crystallogr. 2014, 47, 1784–1789. [Google Scholar] [CrossRef]
- Ilavsky, J.; Jemian, P.R. Irena: Tool Suite for Modeling and Analysis of Small-Angle Scattering. J. Appl. Crystallogr. 2009, 42, 347–353. [Google Scholar] [CrossRef]
- Bali, V.; Ali, M.; Ali, J. Study of Surfactant Combinations and Development of a Novel Nanoemulsion for Minimising Variations in Bioavailability of Ezetimibe. Colloids Surf. B Biointerfaces 2010, 76, 410–420. [Google Scholar] [CrossRef]
- Ding, Z.; Jiang, Y.; Liu, X. Nanemulsions-Based Drug Delivery for Brain Tumors. In Nanotechnology-Based Targeted Drug Delivery Systems for Brain Tumors; Elsevier Inc.: Amsterdam, The Netherlands, 2018; pp. 327–360. ISBN 9780128122181. [Google Scholar]
- Alzorqi, I.; Ketabchi, M.R.; Sudheer, S.; Manickam, S. Optimization of Ultrasound Induced Emulsification on the Formulation of Palm-Olein Based Nanoemulsions for the Incorporation of Antioxidant β-D-Glucan Polysaccharides. Ultrason. Sonochem. 2016, 31, 71–84. [Google Scholar] [CrossRef]
- Shakeel, F.; Haq, N.; Alshehri, S.; Ibrahim, M.A.; Elzayat, E.M.; Altamimi, M.A.; Mohsin, K.; Alanazi, F.K.; Alsarra, I.A. Solubility, Thermodynamic Properties and Solute-Solvent Molecular Interactions of Luteolin in Various Pure Solvents. J. Mol. Liq. 2018, 255, 43–50. [Google Scholar] [CrossRef]
- Sood, S.; Jain, K.; Gowthamarajan, K. Optimization of Curcumin Nanoemulsion for Intranasal Delivery Using Design of Experiment and Its Toxicity Assessment. Colloids Surf. B Biointerfaces 2014, 113, 330–337. [Google Scholar] [CrossRef] [PubMed]
- Shah, B.; Khunt, D.; Misra, M.; Padh, H. Non-Invasive Intranasal Delivery of Quetiapine Fumarate Loaded Microemulsion for Brain Targeting: Formulation, Physicochemical and Pharmacokinetic Consideration. Eur. J. Pharm. Sci. 2016, 91, 196–207. [Google Scholar] [CrossRef] [PubMed]
- Silva, H.D.; Poejo, J.; Abrunhosa, L.; Teresa, A.; Duarte, C.M.M.; Cerqueira, M.A.; Pinheiro, A.C.; Vicente, A.A. Evaluating the Effect of Chitosan Layer on Bioaccessibility and Cellular Uptake of Curcumin Nanoemulsions. J. Food Eng. 2019, 243, 89–100. [Google Scholar] [CrossRef]
- Fachel, F.N.S.; Medeiros-Neves, B.; Dal Prá, M.; Schuh, R.S.; Veras, K.S.; Bassani, V.L.; Koester, L.S.; Henriques, A.T.; Braganhol, E.; Teixeira, H.F.; et al. Box-Behnken Design Optimization of Mucoadhesive Chitosan-Coated Nanoemulsions for Rosmarinic Acid Nasal Delivery—In Vitro Studies. Carbohydr. Polym. 2018, 199, 572–582. [Google Scholar] [CrossRef] [PubMed]
- Abdou, E.M.; Kandil, S.M.; Miniawy, H.M.F.E.; El, H.M.F. Brain Targeting Efficiency of Antimigrain Drug Loaded Mucoadhesive Intranasal Nanoemulsion. Int. J. Pharm. 2017, 529, 667–677. [Google Scholar] [CrossRef]
- Benrabah, L.; Kemel, K.; Twarog, C.; Huang, N.; Solgadi, A.; Laugel, C.; Faivre, V. Lipid-Based Janus Nanoparticles for Pharmaceutical and Cosmetic Applications: Kinetics and Mechanisms of Destabilization with Time and Temperature. Colloids Surf. B Biointerfaces 2020, 195, 111242. [Google Scholar] [CrossRef] [PubMed]
- Bonferoni, M.C.; Rossi, S.; Sandri, G.; Ferrari, F.; Gavini, E.; Rassu, G.; Giunchedi, P. Nanoemulsions for “Nose-to-Brain” Drug Delivery. Pharmaceutics 2019, 11, 84. [Google Scholar] [CrossRef]
- Artiga-Artigas, M.; Lanjari-Pérez, Y.; Martín-Belloso, O. Curcumin-Loaded Nanoemulsions Stability as Affected by the Nature and Concentration of Surfactant. Food Chem. 2018, 266, 466–474. [Google Scholar] [CrossRef]
- Chatterjee, B.; Gorain, B.; Mohananaidu, K.; Sengupta, P.; Mandal, U.K.; Choudhury, H. Targeted Drug Delivery to the Brain via Intranasal Nanoemulsion: Available Proof of Concept and Existing Challenges. Int. J. Pharm. 2019, 565, 258–268. [Google Scholar] [CrossRef]
- Singh, Y.; Gopal, J.; Raval, K.; Ali, F.; Chaurasia, M.; Jain, N.K.; Chourasia, M.K. Nanoemulsion: Concepts, Development and Applications in Drug Delivery. J. Control. Release 2017, 252, 28–49. [Google Scholar] [CrossRef]
- Chung, C.; McClements, D.J. Characterization of Physicochemical Properties of Nanoemulsions: Appearance, Stability, and Rheology. In Nanoemulsions: Formulation, Applications, and Characterization; Elsevier Inc.: Amsterdam, The Netherlands, 2018; pp. 547–576. ISBN 9780128118399. [Google Scholar]
- Oprea, A.E.; Grumezescu, A.M. Nano-Technology: Applications in Food Industry; Elsevier Inc.: Amsterdam, The Netherlands, 2017; Volume 24, ISBN 978-0-12-811942-6. [Google Scholar]
- Hong, L.; Zhou, C.L.; Chen, F.P.; Han, D.; Wang, C.Y.; Li, J.X.; Chi, Z.; Liu, C.G. Development of a Carboxymethyl Chitosan Functionalized Nanoemulsion Formulation for Increasing Aqueous Solubility, Stability and Skin Permeability of Astaxanthin Using Low-Energy Method. J. Microencapsul. 2017, 34, 707–721. [Google Scholar] [CrossRef] [PubMed]
- Iqbal, R.; Ahmed, S.; Jain, G.K.; Vohora, D. Design and Development of Letrozole Nanoemulsion: A Comparative Evaluation of Brain Targeted Nanoemulsion with Free Letrozole against Status Epilepticus and Neurodegeneration in Mice. Int. J. Pharm. 2019, 565, 20–32. [Google Scholar] [CrossRef] [PubMed]
- Li, J.; Hwang, I.; Chen, X.; Jin, H. Effects of Chitosan Coating on Curcumin Loaded Nano-Emulsion: Study on Stability and in Vitro Digestibility. Food Hydrocoll. 2016, 60, 138–147. [Google Scholar] [CrossRef]
- Li, T.; Senesi, A.J.; Lee, B. Small Angle X-Ray Scattering for Nanoparticle Research. Chem. Rev. 2016, 116, 11128–11180. [Google Scholar] [CrossRef]
- Montes de Oca-Avalos, J.M.; Huck-Iriart, C.; Borroni, V.; Martínez, K.D.; Candal, R.J.; Herrera, M.L. Structural Characterization of Nanoemulsions Stabilized with Sodium Caseinate and of the Hydrogels Prepared from Them by Acid-Induced Gelation. Curr. Res. Food Sci. 2020, 3, 113–121. [Google Scholar] [CrossRef]
- Tetyczka, C.; Hodzic, A.; Kriechbaum, M.; Juraić, K.; Spirk, C.; Hartl, S.; Pritz, E.; Leitinger, G.; Roblegg, E. Comprehensive Characterization of Nanostructured Lipid Carriers Using Laboratory and Synchrotron X-Ray Scattering and Diffraction. Eur. J. Pharm. Biopharm. 2019, 139, 153–160. [Google Scholar] [CrossRef]
- Nayem, J.; Zhang, Z.; Tomlinson, A.; Zarraga, I.E.; Wagner, N.J.; Liu, Y. Micellar Morphology of Polysorbate 20 and 80 and Their Ester Fractions in Solution via Small-Angle Neutron Scattering. J. Pharm. Sci. 2020, 109, 1498–1508. [Google Scholar] [CrossRef]
- Podlogar, F.; Gašperlin, M.; Tomšič, M.; Jamnik, A.; Rogač, M.B. Structural Characterisation of Water-Tween 40®/Imwitor 308®-Isopropyl Myristate Microemulsions Using Different Experimental Methods. Int. J. Pharm. 2004, 276, 115–128. [Google Scholar] [CrossRef]
- Holmberg, K.; Jonsson, B.; Kronber, B.; Lindman, B. An Introduction to the Rheology of Polymer and Surfactant Solutions. In Surfactants and Polymers in Aqueous Solution; John Wiley & Sons, Ltd.: Hoboken, NJ, USA, 2002. [Google Scholar]
- Branco, I.G.; Sen, K.; Rinaldi, C. Effect of Sodium Alginate and Different Types of Oil on the Physical Properties of Ultrasound-Assisted Nanoemulsions. Chem. Eng. Process. Process Intensif. 2020, 153, 107942. [Google Scholar] [CrossRef]
- Pascual-Villalobos, M.J.; Guirao, P.; Díaz-Baños, F.G.; Cantó-Tejero, M.; Villora, G. Oil in Water Nanoemulsion Formulations of Botanical Active Substances. In Nano-Biopesticides Today and Future Perspectives; Elsevier Inc.: Amsterdam, The Netherlands, 2019; pp. 223–247. ISBN 9780128158296. [Google Scholar]
- Rai, V.K.; Mishra, N.; Yadav, K.S.; Yadav, N.P. Nanoemulsion as Pharmaceutical Carrier for Dermal and Transdermal Drug Delivery: Formulation Development, Stability Issues, Basic Considerations and Applications. J. Control. Release 2018, 270, 203–225. [Google Scholar] [CrossRef]
- Marhamati, M.; Ranjbar, G.; Rezaie, M. Effects of Emulsifiers on the Physicochemical Stability of Oil-in-Water Nanoemulsions: A Critical Review. J. Mol. Liq. 2021, 340, 117218. [Google Scholar] [CrossRef]
- Mistry, P.H.; Mohapatra, S.K.; Dash, A.K. Effect of High-Pressure Homogenization and Stabilizers on the Physicochemical Properties of Curcumin-Loaded Glycerol Monooleate/Chitosan Nanostructures. Nanomedicine 2012, 7, 1863–1876. [Google Scholar] [CrossRef] [PubMed]
- Dammak, I.; Sobral, P.J. do A. Formulation Optimization of Lecithin-Enhanced Pickering Emulsions Stabilized by Chitosan Nanoparticles for Hesperidin Encapsulation. J. Food Eng. 2018, 229, 2–11. [Google Scholar] [CrossRef]
- Kaur, K. Nanoemulsions as Delivery Vehicles for Food and Pharmaceuticals. In Emulsions; Elsevier Inc.: Amsterdam, The Netherlands, 2016; pp. 611–649. ISBN 9780128043066. [Google Scholar]
- Nascimento, T.; Reynaud, F.; Henrique, P.; Picciani, D.S.; Gyselle, K.; Holanda, D.; Nogueira, T. Chitosan-Based Fi Lms Containing Nanoemulsions of Methyl Salicylate: Formulation Development, Physical-Chemical and in Vitro Drug Release Characterization. Int. J. Biol. Macromol. 2020, 164, 2558–2568. [Google Scholar] [CrossRef]
- Patel, R.J.; Parikh, R.H. Intranasal Delivery of Topiramate Nanoemulsion: Pharmacodynamic, Pharmacokinetic and Brain Uptake Studies. Int. J. Pharm. 2020, 585, 119486. [Google Scholar] [CrossRef]
- Natesan, S.; Sugumaran, A.; Ponnusamy, C.; Thiagarajan, V.; Palanichamy, R.; Kandasamy, R. Chitosan Stabilized Camptothecin Nanoemulsions: Development, Evaluation and Biodistribution in Preclinical Breast Cancer Animal Mode. Int. J. Biol. Macromol. 2017, 104, 1846–1852. [Google Scholar] [CrossRef]
- Shao, Y.; Wu, C.; Wu, T.; Li, Y.; Chen, S.; Yuan, C.; Hu, Y. Eugenol-Chitosan Nanoemulsions by Ultrasound-Mediated Emulsi Fi Cation: Formulation, Characterization and Antimicrobial Activity. Carbohydr. Polym. 2018, 193, 144–152. [Google Scholar] [CrossRef]
- Barradas, T.N.; Senna, J.P.; Araujo, S.; Holanda, K.G.D.; Mansur, C.R.E. Formulation Characterization and in Vitro Drug Release of Hydrogel-Thickened Nanoemulsions for Topical Delivery of 8-Methoxypsoralen. Mater. Sci. Eng. C 2018, 6, 245–253. [Google Scholar] [CrossRef]






| Codified Independent Variables | Real Independent Variables | |||||
|---|---|---|---|---|---|---|
| Assay | X1 | X2 | X3 | Oil (mL) | Aqueous Phase (mL) | Surfactants (mL) |
| 1 | −1 | −1 | −1 | 0.5 | 3.0 | 1.0 |
| 2 | −1 | −1 | +1 | 0.5 | 3.0 | 2.0 |
| 3 | −1 | +1 | −1 | 0.5 | 5.0 | 1.0 |
| 4 | −1 | +1 | +1 | 0.5 | 5.0 | 2.0 |
| 5 | +1 | −1 | −1 | 1.0 | 3.0 | 1.0 |
| 6 | +1 | −1 | +1 | 1.0 | 3.0 | 2.0 |
| 7 | +1 | +1 | −1 | 1.0 | 5.0 | 1.0 |
| 8 | +1 | +1 | +1 | 1.0 | 5.0 | 2.0 |
| Formulation | Oil (mL) | Aqueous Phase (mL) | Surfactants (mL) | LUT (mg/mL) | Mean Diameter (nm) | Polydispersity Index |
|---|---|---|---|---|---|---|
| 1 | 0.5 | 3.0 | 1.0 | 0.8 | 810.2 ± 77.8 b,c | 0.902 ± 0.07 a |
| 2 | 0.5 | 3.0 | 2.0 | 0.8 | 385.1 ± 27.1 d | 0.381 ± 0.03 b |
| 3 | 0.5 | 5.0 | 1.0 | 0.8 | 146.0 ± 15.7 e | 0.805 ± 0.07 a |
| 4 | 0.5 | 5.0 | 2.0 | 0.8 | 39.7 ± 0.5 f | 0.163 ± 0.01 d |
| 5 | 1.0 | 3.0 | 1.0 | 0.8 | 2389.7 ± 186.5 a | 0.975 ± 0.04 a |
| 6 | 1.0 | 3.0 | 2.0 | 0.8 | 921.9 ± 52.8 b | 0.412 ± 0.06 b |
| 7 | 1.0 | 5.0 | 1.0 | 0.8 | 612.2 ± 26.7 c | 0.508 ± 0.07 b |
| 8 | 1.0 | 5.0 | 2.0 | 0.8 | 418.7 ± 8.2 d | 0.273 ± 0.02 c |
| Factors | Mean Diameter | ||||
|---|---|---|---|---|---|
| Sum Squares | DF | Mean Squares | F-Calc | p-Value | |
| Oil (X1) | 3,288,635 | 1 | 3,288,635 | 129.0678 * | 0.000000 * |
| Aqueous phase (X2) | 4,059,613 | 1 | 4,059,613 | 159.3261 * | 0.000000 * |
| Surfactants (X3) | 1,803,085 | 1 | 1,803,085 | 70.7650 * | 0.000000 * |
| X1:X2 | 605,886 | 1 | 605,886 | 23.7790 * | 0.000142 * |
| X1:X3 | 478,866 | 1 | 478,866 | 18.7939 * | 0.000450 * |
| X2:X3 | 951,658 | 1 | 951,658 | 37.3494 * | 0.000012 * |
| Residue | 433,158 | 17 | 25,480 | ||
| Total | 11,620,901 | 23 | |||
| Polydispersity index | |||||
| Oil (X1) | 0.012604 | 1 | 0.012604 | 2.3720 | 0.141932 |
| Aqueous phase (X2) | 0.252150 | 1 | 0.252150 | 47.4533 * | 0.000003 * |
| Surfactants (X3) | 1.300142 | 1 | 1.300142 | 244.6797 * | 0.000000 * |
| X1:X2 | 0.057624 | 1 | 0.057624 | 10.8445 * | 0.004294 * |
| X1:X3 | 0.026268 | 1 | 0.026268 | 4.9435 * | 0.040035 * |
| X2:X3 | 0.035574 | 1 | 0.035574 | 6.6948 * | 0.019171 * |
| Residue | 0.090332 | 17 | 0.005314 | ||
| Total | 1.774694 | 23 | |||
| Generated Model | R2 |
|---|---|
| 0.756 | |
| 0.864 |
| Formulation | Chitosan (%) | Mean Diameter (nm) | Polydispersity Index | Zeta Potential (mV) |
|---|---|---|---|---|
| 4 | - | 39.7 ± 0.5 d | 0.163 ± 0.010 b | −3.7 ± 0.67 e |
| 9 | 0.10 | 55.3 ± 3.2 d | 0.136 ± 0.006 c | +3.2 ± 0.02 d |
| 10 | 0.25 | 67.5 ± 3.3 c | 0.174 ± 0.005 b | +12.8 ± 0.04 c |
| 11 | 0.50 | 261.2 ± 15.9 b | 0.294 ± 0.013 a | +16.2 ± 0.03 b |
| 12 | 1.00 | 378.5 ± 20.8 a | 0.334 ± 0.030 a | +25.3 ± 0.10 a |
| Formulation | Mean Diameter (nm) | Polydispersity Index | Zeta Potential (mV) |
|---|---|---|---|
| NECh-LUT * | 67.5 ± 0.7 a | 0.174 ± 0.002 a | +12.8 ± 0.64 a |
| NE-LUT | 39.7 ± 0.3 b | 0.163 ± 0.003 a | −3.7 ± 0.67 b |
| NECh | 61.8 ± 1.6 a | 0.186 ± 0.007 a | +10.6 ± 0.92 a |
| Model | Free-LUT (r2) | NECh-LUT (r2) |
|---|---|---|
| Zero order | 0.927 | 0.695 |
| First order | 0.636 | 0.877 |
| Second order | 0.215 | 0.368 |
| Higuchi | 0.393 | 0.118 |
| Hixson–Crowell | 0.774 | 0.463 |
| Weibull | 0.995 | 0.986 |
Disclaimer/Publisher’s Note: The statements, opinions and data contained in all publications are solely those of the individual author(s) and contributor(s) and not of MDPI and/or the editor(s). MDPI and/or the editor(s) disclaim responsibility for any injury to people or property resulting from any ideas, methods, instructions or products referred to in the content. |
© 2023 by the authors. Licensee MDPI, Basel, Switzerland. This article is an open access article distributed under the terms and conditions of the Creative Commons Attribution (CC BY) license (https://creativecommons.org/licenses/by/4.0/).
Share and Cite
Diedrich, C.; Zittlau, I.C.; Khalil, N.M.; Leontowich, A.F.G.; Freitas, R.A.d.; Badea, I.; Mainardes, R.M. Optimized Chitosan-Based Nanoemulsion Improves Luteolin Release. Pharmaceutics 2023, 15, 1592. https://doi.org/10.3390/pharmaceutics15061592
Diedrich C, Zittlau IC, Khalil NM, Leontowich AFG, Freitas RAd, Badea I, Mainardes RM. Optimized Chitosan-Based Nanoemulsion Improves Luteolin Release. Pharmaceutics. 2023; 15(6):1592. https://doi.org/10.3390/pharmaceutics15061592
Chicago/Turabian StyleDiedrich, Camila, Isabella C. Zittlau, Najeh M. Khalil, Adam F. G. Leontowich, Rilton A. de Freitas, Ildiko Badea, and Rubiana M. Mainardes. 2023. "Optimized Chitosan-Based Nanoemulsion Improves Luteolin Release" Pharmaceutics 15, no. 6: 1592. https://doi.org/10.3390/pharmaceutics15061592
APA StyleDiedrich, C., Zittlau, I. C., Khalil, N. M., Leontowich, A. F. G., Freitas, R. A. d., Badea, I., & Mainardes, R. M. (2023). Optimized Chitosan-Based Nanoemulsion Improves Luteolin Release. Pharmaceutics, 15(6), 1592. https://doi.org/10.3390/pharmaceutics15061592

