Measuring Creatinine Clearance Is the Most Accurate Way for Calculating the Proper Continuous Infusion Meropenem Dose for Empirical Treatment of Severe Gram-Negative Infections among Critically Ill Patients
Abstract
:1. Introduction
2. Materials and Methods
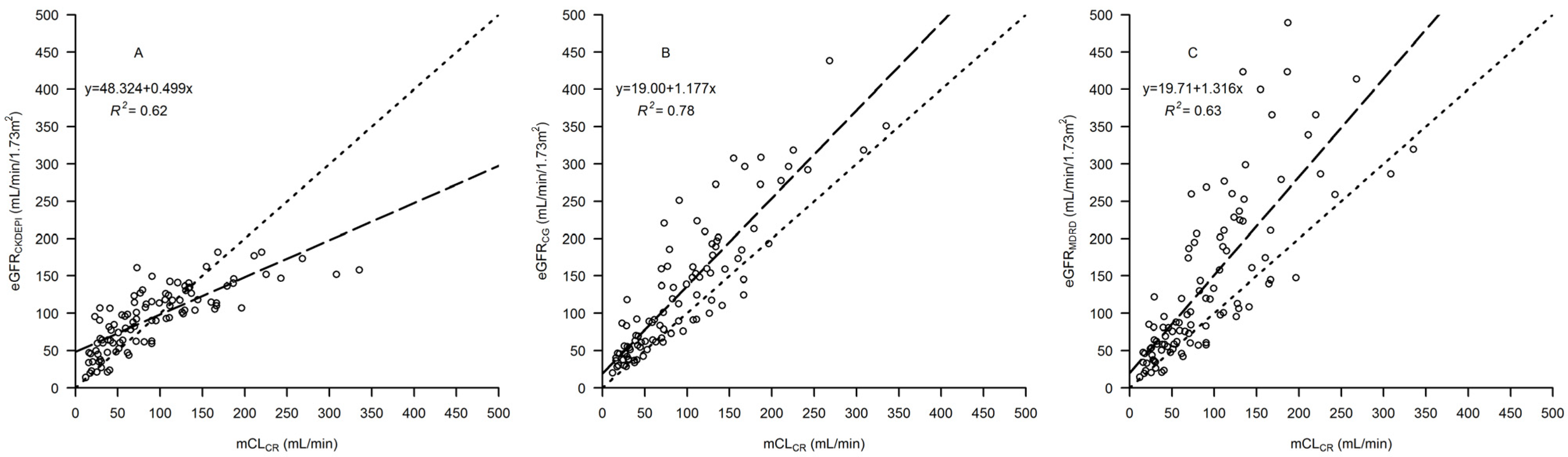
3. Results
4. Discussion
5. Conclusions
Author Contributions
Funding
Institutional Review Board Statement
Informed Consent Statement
Data Availability Statement
Conflicts of Interest
References
- Vincent, J.L.; Sakr, Y.; Singer, M.; Martin-Loeches, I.; Machado, F.R.; Marshall, J.C.; Finfer, S.; Pelosi, P.; Brazzi, L.; Aditianingsih, D.; et al. Prevalence and Outcomes of Infection Among Patients in Intensive Care Units in 2017. JAMA 2020, 323, 1478–1487. [Google Scholar] [CrossRef]
- Blot, S.I.; Pea, F.; Lipman, J. The effect of pathophysiology on pharmacokinetics in the critically ill patient--concepts appraised by the example of antimicrobial agents. Adv. Drug Deliv. Rev. 2014, 77, 3–11. [Google Scholar] [CrossRef] [PubMed]
- Jamal, J.A.; Roger, C.; Roberts, J.A. Understanding the impact of pathophysiological alterations during critical illness on drug pharmacokinetics. Anaesth. Crit. Care Pain Med. 2018, 37, 515–517. [Google Scholar] [CrossRef] [PubMed]
- Paul, M.; Carrara, E.; Retamar, P.; Tangden, T.; Bitterman, R.; Bonomo, R.A.; de Waele, J.; Daikos, G.L.; Akova, M.; Harbarth, S.; et al. European Society of Clinical Microbiology and Infectious Diseases (ESCMID) guidelines for the treatment of infections caused by multidrug-resistant Gram-negative bacilli (endorsed by European society of intensive care medicine). Clin. Microbiol. Infect. 2022, 28, 521–547. [Google Scholar] [CrossRef]
- Tiseo, G.; Brigante, G.; Giacobbe, D.R.; Maraolo, A.E.; Gona, F.; Falcone, M.; Giannella, M.; Grossi, P.; Pea, F.; Rossolini, G.M.; et al. Diagnosis and management of infections caused by multidrug-resistant bacteria: Guideline endorsed by the Italian Society of Infection and Tropical Diseases (SIMIT), the Italian Society of Anti-Infective Therapy (SITA), the Italian Group for Antimicrobial Stewardship (GISA), the Italian Association of Clinical Microbiologists (AMCLI) and the Italian Society of Microbiology (SIM). Int. J. Antimicrob. Agents 2022, 60, 106611. [Google Scholar] [PubMed]
- Rodriguez-Bano, J.; Gutierrez-Gutierrez, B.; Machuca, I.; Pascual, A. Treatment of Infections Caused by Extended-Spectrum-Beta-Lactamase-, AmpC-, and Carbapenemase-Producing Enterobacteriaceae. Clin. Microbiol. Rev. 2018, 31, e00079-17. [Google Scholar] [CrossRef]
- Tamma, P.D.; Aitken, S.L.; Bonomo, R.A.; Mathers, A.J.; van Duin, D.; Clancy, C.J. Infectious Diseases Society of America Guidance on the Treatment of Extended-Spectrum beta-lactamase Producing Enterobacterales (ESBL-E), Carbapenem-Resistant Enterobacterales (CRE), and Pseudomonas aeruginosa with Difficult-to-Treat Resistance (DTR-P. aeruginosa). Clin. Infect. Dis. 2021, 72, 1109–1116. [Google Scholar] [PubMed]
- Bassetti, M.; Righi, E.; Vena, A.; Graziano, E.; Russo, A.; Peghin, M. Risk stratification and treatment of ICU-acquired pneumonia caused by multidrug- resistant/extensively drug-resistant/pandrug-resistant bacteria. Curr. Opin. Crit. Care 2018, 24, 385–393. [Google Scholar] [CrossRef]
- Ellis, J.M.; Kuti, J.L.; Nicolau, D.P. Use of Monte Carlo simulation to assess the pharmacodynamics of beta-lactams against Pseudomonas aeruginosa infections in children: A report from the OPTAMA program. Clin. Ther. 2005, 27, 1820–1830. [Google Scholar] [CrossRef]
- Cojutti, P.G.; Gatti, M.; Rinaldi, M.; Tonetti, T.; Laici, C.; Mega, C.; Siniscalchi, A.; Giannella, M.; Viale, P.; Pea, F. Impact of Maximizing Css/MIC Ratio on Efficacy of Continuous Infusion Meropenem Against Documented Gram-Negative Infections in Critically Ill Patients and Population Pharmacokinetic/Pharmacodynamic Analysis to Support Treatment Optimization. Front. Pharmacol. 2021, 12, 781892. [Google Scholar] [CrossRef]
- Gatti, M.; Cojutti, P.G.; Pascale, R.; Tonetti, T.; Laici, C.; Dell’Olio, A.; Siniscalchi, A.; Giannella, M.; Viale, P.; Pea, F. Assessment of a PK/PD Target of Continuous Infusion Beta-Lactams Useful for Preventing Microbiological Failure and/or Resistance Development in Critically Ill Patients Affected by Documented Gram-Negative Infections. Antibiotics 2021, 10, 1311. [Google Scholar] [CrossRef] [PubMed]
- Cojutti, P.G.; Lazzarotto, D.; Candoni, A.; Dubbini, M.V.; Zannier, M.E.; Fanin, R.; Pea, F. Real-time TDM-based optimization of continuous-infusion meropenem for improving treatment outcome of febrile neutropenia in oncohaematological patients: Results from a prospective, monocentric, interventional study. J. Antimicrob. Chemother. 2020, 75, 3029–3037. [Google Scholar] [CrossRef]
- Pea, F.; Viale, P.; Cojutti, P.; Furlanut, M. Dosing nomograms for attaining optimum concentrations of meropenem by continuous infusion in critically ill patients with severe gram-negative infections: A pharmacokinetics/pharmacodynamics-based approach. Antimicrob. Agents Chemother. 2012, 56, 6343–6348. [Google Scholar] [CrossRef] [PubMed]
- Pai, M.P.; Cojutti, P.; Pea, F. Pharmacokinetics and pharmacodynamics of continuous infusion meropenem in overweight, obese, and morbidly obese patients with stable and unstable kidney function: A step toward dose optimization for the treatment of severe gram-negative bacterial infections. Clin. Pharmacokinet. 2015, 54, 933–941. [Google Scholar] [PubMed]
- Franceschi, L.; Cojutti, P.; Baraldo, M.; Pea, F. Stability of generic meropenem solutions for administration by continuous infusion at normal and elevated temperatures. Ther. Drug Monit. 2014, 36, 674–676. [Google Scholar] [CrossRef]
- Cockcroft, D.W.; Gault, M.H. Prediction of creatinine clearance from serum creatinine. Nephron 1976, 16, 31–41. [Google Scholar] [CrossRef]
- Levey, A.S.; Stevens, L.A.; Schmid, C.H.; Zhang, Y.L.; Castro, A.F., 3rd; Feldman, H.I.; Kusek, J.W.; Eggers, P.; Van Lente, F.; Greene, T.; et al. A new equation to estimate glomerular filtration rate. Ann. Intern. Med. 2009, 150, 604–612. [Google Scholar] [CrossRef]
- Levey, A.S.; Coresh, J.; Greene, T.; Stevens, L.A.; Zhang, Y.L.; Hendriksen, S.; Kusek, J.W.; Van Lente, F.; Chronic Kidney Disease Epidemiology, C. Using standardized serum creatinine values in the modification of diet in renal disease study equation for estimating glomerular filtration rate. Ann. Intern. Med. 2006, 145, 247–254. [Google Scholar] [CrossRef]
- Cojutti, P.; Maximova, N.; Pea, F. Pharmacokinetics and pharmacodynamics of continuous-infusion meropenem in pediatric hematopoietic stem cell transplant patients. Antimicrob. Agents Chemother. 2015, 59, 5535–5541. [Google Scholar] [CrossRef]
- Dong, J.; Liu, Y.; Li, L.; Ding, Y.; Qian, J.; Jiao, Z. Interactions between Meropenem and Renal Drug Transporters. Curr. Drug Metab. 2022, 23, 423–431. [Google Scholar] [CrossRef]
- Parizkova, R.C.; Martinkova, J.; Havel, E.; Safranek, P.; Kaska, M.; Astapenko, D.; Bezouska, J.; Chladek, J.; Cerny, V. Impact of cumulative fluid balance on the pharmacokinetics of extended infusion meropenem in critically ill patients with sepsis. Crit. Care 2021, 25, 251. [Google Scholar] [CrossRef] [PubMed]
- Udy, A.A.; Morton, F.J.; Nguyen-Pham, S.; Jarrett, P.; Lassig-Smith, M.; Stuart, J.; Dunlop, R.; Starr, T.; Boots, R.J.; Lipman, J. A comparison of CKD-EPI estimated glomerular filtration rate and measured creatinine clearance in recently admitted critically ill patients with normal plasma creatinine concentrations. BMC Nephrol. 2013, 14, 250. [Google Scholar] [CrossRef] [PubMed]
- Baptista, J.P.; Udy, A.A.; Sousa, E.; Pimentel, J.; Wang, L.; Roberts, J.A.; Lipman, J. A comparison of estimates of glomerular filtration in critically ill patients with augmented renal clearance. Crit. Care 2011, 15, R139. [Google Scholar] [CrossRef] [PubMed]
- Adnan, S.; Ratnam, S.; Kumar, S.; Paterson, D.; Lipman, J.; Roberts, J.; Udy, A.A. Select critically ill patients at risk of augmented renal clearance: Experience in a Malaysian intensive care unit. Anaesth. Intensive Care 2014, 42, 715–722. [Google Scholar] [CrossRef]
- Declercq, P.; Gijsen, M.; Meijers, B.; Schetz, M.; Nijs, S.; D’Hoore, A.; Wauters, J.; Spriet, I. Reliability of serum creatinine-based formulae estimating renal function in non-critically ill surgery patients: Focus on augmented renal clearance. J. Clin. Pharm. Ther. 2018, 43, 695–706. [Google Scholar] [CrossRef] [PubMed]
- Al-Dorzi, H.M.; Alsadhan, A.A.; Almozaini, A.S.; Alamri, A.M.; Tamim, H.; Sadat, M.; Al-Swaidan, L.; Elhassan, E.; Arabi, Y.M. The Performance of Equations That Estimate Glomerular Filtration Rate against Measured Urinary Creatinine Clearance in Critically Ill Patients. Crit. Care Res. Pract. 2021, 2021, 5520653. [Google Scholar] [CrossRef] [PubMed]
- Bragadottir, G.; Redfors, B.; Ricksten, S.E. Assessing glomerular filtration rate (GFR) in critically ill patients with acute kidney injury--true GFR versus urinary creatinine clearance and estimating equations. Crit. Care 2013, 17, R108. [Google Scholar] [CrossRef]
- Silva, C.M.; Udy, A.A.; Baptista, J.P. Urinary Creatinine Clearance and Pharmacokinetics Studies: If We Can Measure It, Why Do We Estimate It? Antimicrob. Agents Chemother. 2020, 64, e00980-20. [Google Scholar] [CrossRef]
- Gatti, M.; Cojutti, P.G.; Bartoletti, M.; Tonetti, T.; Bianchini, A.; Ramirez, S.; Pizzilli, G.; Ambretti, S.; Giannella, M.; Mancini, R.; et al. Expert clinical pharmacological advice may make an antimicrobial TDM program for emerging candidates more clinically useful in tailoring therapy of critically ill patients. Crit. Care 2022, 26, 178. [Google Scholar] [CrossRef]





| Variable | Median or Count | IQR Range or % | |
|---|---|---|---|
| Age (yrs) | 58.5 | 54–67 | |
| Gender (male/female) | 35/11 | 76.1/24.9 | |
| Body weight (kg) | 70.0 | 60.0–80.0 | |
| BMI (kg/m2) | 24.2 | 21.7–26.8 | |
| Assessement of renal function | |||
| Serum creatinine | 0.7 | 0.4–1.2 | |
| mCLCR (mL/min) | 74.7 | 40.5–129.3 | |
| eGFRCKDEPI (mL/min/1.73 m2) | 103.1 | 62.6–126.7 | |
| eGFRCG (mL/min/1.73 m2) | 112.6 | 61.7–185.2 | |
| eGFRMDRD (mL/min/1.73 m2) | 108.5 | 58.9–207.0 | |
| Patients with AKI | 13 | 28.3 | |
| Patients with ARC | 12 | 26.1 | |
| Reason for meropenem | |||
| IAI | 18 | 39.1 | |
| HAP | 10 | 21.7 | |
| Sepsis/septic shock | 9 | 19.6 | |
| BSI | 6 | 13.1 | |
| Others | 3 | 6.5 | |
| Meropenem treatment | |||
| Dose (g q24h by CI) | 2.0 | 2.0–4.0 | |
| Treatment duration (days) | 12.0 | 8.0–19.0 | |
| Css (mg/L) | 13.4 | 9.4–19.5 | |
| Clearance (L/h) | 7.8 | 5.3–11.6 | |
| mCLCR | Css = 8 mg/L | Css = 16 mg/L | ||||
|---|---|---|---|---|---|---|
| eGFRCKDEPI | eGFRCG | eGFRMDRD | eGFRCKDEPI | eGFRCG | eGFRMDRD | |
| 10 | 0.34 | 0.18 | 0.19 | 0.68 | 0.36 | 0.38 |
| 30 | 0.26 | 0.21 | 0.25 | 0.52 | 0.42 | 0.50 |
| 60 | 0.13 | 0.25 | 0.33 | 0.26 | 0.50 | 0.66 |
| 90 | 0.00 | 0.30 | 0.41 | 0.00 | 0.60 | 0.82 |
| 120 | −0.13 | 0.34 | 0.49 | −0.26 | 0.68 | 0.97 |
| 150 | −0.26 | 0.39 | 0.57 | −0.52 | 0.78 | 1.14 |
| 180 | −0.38 | 0.43 | 0.65 | −0.76 | 0.86 | 1.30 |
| 210 | −0.51 | 0.48 | 0.73 | −1.02 | 0.96 | 1.46 |
| 240 | −0.64 | 0.52 | 0.81 | −1.28 | 1.04 | 1.62 |
| 270 | −0.76 | 0.57 | 0.89 | −1.52 | 1.14 | 1.78 |
| 300 | −0.89 | 0.61 | 0.97 | −1.78 | 1.22 | 1.94 |
Disclaimer/Publisher’s Note: The statements, opinions and data contained in all publications are solely those of the individual author(s) and contributor(s) and not of MDPI and/or the editor(s). MDPI and/or the editor(s) disclaim responsibility for any injury to people or property resulting from any ideas, methods, instructions or products referred to in the content. |
© 2023 by the authors. Licensee MDPI, Basel, Switzerland. This article is an open access article distributed under the terms and conditions of the Creative Commons Attribution (CC BY) license (https://creativecommons.org/licenses/by/4.0/).
Share and Cite
Troisi, C.; Cojutti, P.G.; Rinaldi, M.; Laici, C.; Siniscalchi, A.; Viale, P.; Pea, F. Measuring Creatinine Clearance Is the Most Accurate Way for Calculating the Proper Continuous Infusion Meropenem Dose for Empirical Treatment of Severe Gram-Negative Infections among Critically Ill Patients. Pharmaceutics 2023, 15, 551. https://doi.org/10.3390/pharmaceutics15020551
Troisi C, Cojutti PG, Rinaldi M, Laici C, Siniscalchi A, Viale P, Pea F. Measuring Creatinine Clearance Is the Most Accurate Way for Calculating the Proper Continuous Infusion Meropenem Dose for Empirical Treatment of Severe Gram-Negative Infections among Critically Ill Patients. Pharmaceutics. 2023; 15(2):551. https://doi.org/10.3390/pharmaceutics15020551
Chicago/Turabian StyleTroisi, Carla, Pier Giorgio Cojutti, Matteo Rinaldi, Cristiana Laici, Antonio Siniscalchi, Pierluigi Viale, and Federico Pea. 2023. "Measuring Creatinine Clearance Is the Most Accurate Way for Calculating the Proper Continuous Infusion Meropenem Dose for Empirical Treatment of Severe Gram-Negative Infections among Critically Ill Patients" Pharmaceutics 15, no. 2: 551. https://doi.org/10.3390/pharmaceutics15020551
APA StyleTroisi, C., Cojutti, P. G., Rinaldi, M., Laici, C., Siniscalchi, A., Viale, P., & Pea, F. (2023). Measuring Creatinine Clearance Is the Most Accurate Way for Calculating the Proper Continuous Infusion Meropenem Dose for Empirical Treatment of Severe Gram-Negative Infections among Critically Ill Patients. Pharmaceutics, 15(2), 551. https://doi.org/10.3390/pharmaceutics15020551

