Synthesis and Preclinical Evaluation of Radiolabeled [103Ru]BOLD-100
Abstract
1. Introduction
2. Experimental Part
2.1. Materials and Methods
2.2. [103Ru]RuCl3·xH2O Production
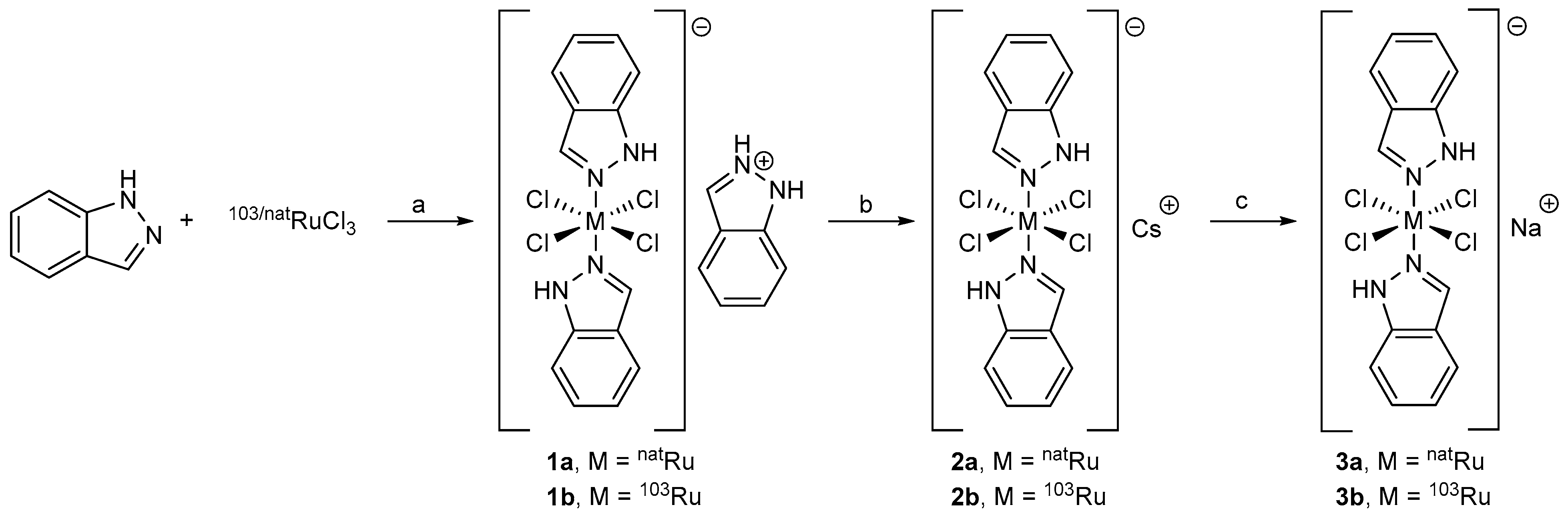
2.3. Syntheses
2.4. Cell Culture and Cytotoxicity Assays
2.5. Animals
2.6. Statistics
3. Results and Discussion
3.1. Production of 103RuCl3
3.2. Synthesis
3.3. Cytotoxicity In Vitro
3.4. Biodistribution Experiments
4. Conclusions
Supplementary Materials
Author Contributions
Funding
Institutional Review Board Statement
Informed Consent Statement
Data Availability Statement
Acknowledgments
Conflicts of Interest
References
- Antonarakis, E.S.; Emadi, A. Ruthenium-based chemotherapeutics: Are they ready for prime time? Cancer Chemother. Pharmacol. 2010, 66, 1. [Google Scholar] [CrossRef] [PubMed]
- Coverdale, J.P.; Laroiya-McCarron, T.; Romero-Canelón, I. Designing ruthenium anticancer drugs: What have we learnt from the key drug candidates? Inorganics 2019, 7, 31. [Google Scholar] [CrossRef]
- Alessio, E.; Messori, L. The Deceptively Similar Ruthenium(III) Drug Candidates KP1019 and NAMI-A Have Different Actions. What Did We Learn in the Past 30 Years? In Metalo-Drugs: Development and Action of Anticancer Agents; Sigel, A., Siegel, H., Freisinger, E., Sigel, R.K.O., Eds.; De Gruyter: Berlin, Germany, 2018; Volume 18, pp. 141–170. [Google Scholar]
- Alessio, E.; Messori, L. NAMI-A and KP1019/1339, two iconic ruthenium anticancer drug candidates face-to-face: A case story in medicinal inorganic chemistry. Molecules 2019, 24, 1995. [Google Scholar] [CrossRef] [PubMed]
- Leijen, S.; Burgers, S.A.; Baas, P.; Pluim, D.; Tibben, M.; van Werkhoven, E.; Alessio, E.; Sava, G.; Beijnen, J.H.; Schellens, J.H. Phase I/II study with ruthenium compound NAMI-A and gemcitabine in patients with non-small cell lung cancer after first line therapy. Investig. New Drugs 2015, 33, 201. [Google Scholar] [CrossRef] [PubMed]
- Hartinger, C.G.; Jakupec, M.A.; Zorbas-Seifried, S.; Groessl, M.; Egger, A.; Berger, W.; Zorbas, H.; Dyson, P.J.; Keppler, B.K. KP1019, a new redox-active anticancer agent–Preclinical development and results of a clinical phase I study in tumor patients. Chem. Biodivers. 2008, 5, 2140. [Google Scholar] [CrossRef]
- Trondl, R.; Heffeter, P.; Kowol, C.R.; Jakupec, M.A.; Berger, W.; Keppler, B.K. NKP-1339, the first ruthenium-based anticancer drug on the edge to clinical application. Chem. Sci. 2014, 5, 2925. [Google Scholar] [CrossRef]
- Bijelic, A.; Theiner, S.; Keppler, B.K.; Rompel, A. X-ray Structure Analysis of Indazolium trans-[Tetrachlorobis(1H-indazole)ruthenate(III)] (KP1019) Bound to Human Serum Albumin Reveals Two Ruthenium Binding Sites and Provides Insights into the Drug Binding Mechanism. J. Med. Chem. 2016, 59, 5894. [Google Scholar] [CrossRef]
- Yin, H.; Liao, L.; Fang, J. Enhanced Permeability and Retention (EPR) Effect Based Tumor Targeting: The Concept, Application and Prospect. JSM Clin. Oncol. Res. 2014, 2, 101010. [Google Scholar]
- Schluga, P.; Hartinger, C.G.; Egger, A.; Reisner, E.; Galanski, M.; Jakupec, M.A.; Keppler, B.K. Redox behavior of tumor-inhibiting ruthenium (III) complexes and effects of physiological reductants on their binding to GMP. Dalton Trans. 2006, 14, 1796. [Google Scholar] [CrossRef]
- Schoenhacker-Alte, B.; Mohr, T.; Pirker, C.; Kryeziu, K.; Kuhn, P.-S.; Buck, A.; Hofmann, T.; Gerner, C.; Hermann, G.; Koellensperger, G.; et al. Sensitivity towards the GRP78 inhibitor KP1339/IT-139 is characterized by apoptosis induction via caspase 8 upon disruption of ER homeostasis. Cancer Lett. 2017, 404, 79. [Google Scholar] [CrossRef]
- Bakewell, S.J.; Rangel, D.F.; Ha, D.P.; Sethuraman, J.; Crouse, R.; Hadley, E.; Costich, T.L.; Zhou, X.; Nichols, P.; Lee, A.S. Suppression of stress induction of the 78-kilodalton glucose regulated protein (GRP78) in cancer by IT-139, an anti-tumor ruthenium small molecule inhibitor. Oncotarget 2018, 9, 29698. [Google Scholar] [CrossRef] [PubMed]
- Wang, M.; Ye, R.; Barron, E.; Baumeister, P.; Mao, C.; Luo, S.; Fu, Y.; Luo, B.; Dubeau, L.; Hinton, D.R. Essential role of the unfolded protein response regulator GRP78/BiP in protection from neuronal apoptosis. Cell Death Differ. 2010, 17, 488. [Google Scholar] [CrossRef]
- Bakewell, S.; Conde, I.; Fallah, Y.; McCoy, M.; Jin, L.; Shajahan-Haq, A.N. Inhibition of DNA Repair Pathways and Induction of ROS Are Potential Mechanisms of Action of the Small Molecule Inhibitor BOLD-100 in Breast Cancer. Cancers 2020, 12, 2647. [Google Scholar] [CrossRef]
- Park, B.J.; Raha, P.; Pankovich, J.; Bazett, M. Utilization of Cancer Cell Line Screening to Elucidate the Anticancer Activity and Biological Pathways Related to the Ruthenium-Based Therapeutic BOLD-100. Cancers 2023, 15, 28. [Google Scholar] [CrossRef] [PubMed]
- Burris, H.A.; Bakewell, S.; Bendell, J.C.; Infante, J.; Jones, S.F.; Spigel, D.R.; Weiss, G.J.; Ramanathan, R.K.; Ogden, A.; Von Hoff, D. Safety and activity of IT-139, a ruthenium-based compound, in patients with advanced solid tumours: A first-in-human, open-label, dose-escalation phase I study with expansion cohort. ESMO Open 2016, 1, 1. [Google Scholar] [CrossRef]
- Available online: https://www.clinicaltrials.gov/ (accessed on 5 August 2023).
- O’Kane, G.M.; Spratlin, J.L.; Oh, D.-Y.; Rha, S.Y.; Elimova, E.; Kavan, P.; Choi, M.K.; Goodwin, R.A.; Kim, S.T.; Koo, D.-H.; et al. BOLD-100-001 (TRIO039): A phase 1b/2a study of BOLD-100 in combination with FOLFOX chemotherapy in patients with pre-treated advanced gastric and biliary tract cancer: Efficacy and safety analysis. J. Clin. Oncol. 2023, 41 (Suppl. S16), 4098. [Google Scholar] [CrossRef]
- Pagliara, M.M.; Tagliaferri, L.; Azario, L.; Lenkowicz, J.; Lanza, A.; Autorino, R.; Caputo, C.G.; Gambacorta, M.A.; Valentini, V.; Blasi, M.A. Ruthenium brachytherapy for uveal melanomas: Factors affecting the development of radiation complications. Brachytherapy 2018, 17, 432. [Google Scholar] [CrossRef]
- Tarmann, L.; Wackernagel, W.; Avian, A.; Mayer, C.; Schneider, M.; Winkler, P.; Langmann, G. Ruthenium-106 plaque brachytherapy for uveal melanoma. Br. J. Ophthalmol. 2015, 99, 1644. [Google Scholar] [CrossRef]
- Tárkányi, F.; Hermanne, A.; Ditrói, F.; Takács, S.; Ignatyuk, A. Investigation of activation cross section data of alpha particle induced nuclear reaction on molybdenum up to 40 MeV: Review of production routes of medically relevant 97,103Ru. Nucl. Instrum. Methods Phys. Res. Sect. B 2017, 399, 83. [Google Scholar] [CrossRef]
- Neves, M.; Kling, A.; Oliveira, A. Radionuclides used for therapy and suggestion for new candidates. J. Radioanal. Nucl. Chem. 2005, 266, 377. [Google Scholar] [CrossRef]
- Available online: https://www-nds.iaea.org/ (accessed on 16 January 2023).
- Srivastava, S.C.; Mausner, L.F.; Clarke, M.J. Radioruthenium-Labeled Compounds for Diagnostric Tumor Imaging. In Ruthenium and Other Non-Platinum Metal Complexes in Cancer Chemotherapy; Baulieu, E., Forman, D.T., Ingelman-Sundberg, M., Jaenicke, L., Kellen, J.A., Nagai, Y., Springer, G.F., Träger, L., Will-Shahab, L., Wittliff, J.L., Eds.; Springer-Verlag: Berlin/Heidelberg, Germany, 1989; Volume 10, pp. 111–150. [Google Scholar]
- Oster, Z.; Som, P.; Gil, M.; Fairchild, R.; Goldman, A.; Schachner, E.; Sacker, D.; Atkins, H.; Meinken, G.; Srivastava, S. Ruthenium-97 DTPA: A new radiopharmaceutical for cisternography. J. Nucl. Med. 1981, 22, 269–273. [Google Scholar] [PubMed]
- Taylor, A.J.; Wenzel, M. The Fate of [103Ru]Ruthenocene in Mice and Rats. Xenobiotica 1978, 8, 107–112. [Google Scholar] [CrossRef]
- Som, P.; Oster, Z.; Matsui, K.; Guglielmi, G.; Persson, B.; Pellettieri, M.; Srivastava, S.; Richards, P.; Atkins, H.; Brill, A. 97Ru-transferrin uptake in tumor and abscess. Eur. J. Nucl. Med. 1983, 8, 491–494. [Google Scholar] [CrossRef] [PubMed]
- Tanabe, M. Clinical trials on tumor scanning with 103Ru. Radioisotopes 1976, 25, 232. [Google Scholar] [CrossRef] [PubMed][Green Version]
- Weiss, A.; Berndsen, R.H.; Dubois, M.; Müller, C.; Schibli, R.; Griffioen, A.W.; Dyson, P.J.; Nowak-Sliwinska, P. In vivo anti-tumor activity of the organometallic ruthenium(II)-arene complex [Ru(η6-p-cymene)Cl2(pta)] (RAPTA-C) in human ovarian and colorectal carcinomas. Chem. Sci. 2014, 5, 4742. [Google Scholar] [CrossRef]
- Borisova, N.E.; Orlova, M.A.; Knizhnikov, V.A.; Dolgova, V.K.; Reshetova, M.D.; Orlov, A.P. First 97Ru complex with pyridine-2, 6-dicarboxamide conjugate for potential use as radiopharmaceutical. Mendeleev Commun. 2021, 31, 207–209. [Google Scholar] [CrossRef]
- Available online: https://www.psi.ch/en/nis/pna (accessed on 20 February 2023).
- Vojkovsky, T.; Sill, K.; Carie, A. Manufacture of trans-[Tetrachlorobis(1h-indazole)ruthenate (iii)] and Compositions Thereof. WO2018204930A1, 8 November 2018. [Google Scholar]
- Griffith, W.P. The Chemistry of the Rarer Platinum Metals (Os, Ru, Ir, and Rh); Interscience Publishers: New York, NY, USA, 1967. [Google Scholar]
- Bytzek, A.K.; Koellensperger, G.; Keppler, B.K.; Hartinger, C.G. Biodistribution of the novel anticancer drug sodium trans-[tetrachloridobis(1H-indazole)ruthenate(III)] KP-1339/IT139 in nude BALB/c mice and implications on its mode of action. J. Inorg. Biochem. 2016, 160, 250. [Google Scholar] [CrossRef]
- Wallimann, R.H.; Schindler, P.; Hensinger, H.; Tschan, V.J.; Busslinger, S.D.; Kneuer, R.; Müller, C.; Schibli, R. Inductively Coupled Plasma Mass Spectrometry—A Valid Method for the Characterization of Metal Conjugates in View of the Development of Radiopharmaceuticals. Mol. Pharm. 2023, 20, 2150. [Google Scholar] [CrossRef]



| Nuclide | t1/2 (Days) | Energy (keV) | Decay Mode | Application |
|---|---|---|---|---|
| 97Ru | 2.8 | Eγ = 215.7 (86%) | Electron capture | SPECT |
| 103Ru | 39.3 | = 223.5, Eγ = 497.1 (91%) | β− | Therapy |
| 106Ru | 371.8 | = 39.4 | β− | Therapy |
| IC50 [µM] [a] | ||
|---|---|---|
| Compound | HCT116 | CT26 |
| 3a | 99.4 ± 14.5 | 188.2 ± 17.8 |
| 3b | 94.7 ± 11.7 | 173.1 ± 15.1 |
Disclaimer/Publisher’s Note: The statements, opinions and data contained in all publications are solely those of the individual author(s) and contributor(s) and not of MDPI and/or the editor(s). MDPI and/or the editor(s) disclaim responsibility for any injury to people or property resulting from any ideas, methods, instructions or products referred to in the content. |
© 2023 by the authors. Licensee MDPI, Basel, Switzerland. This article is an open access article distributed under the terms and conditions of the Creative Commons Attribution (CC BY) license (https://creativecommons.org/licenses/by/4.0/).
Share and Cite
Happl, B.; Brandt, M.; Balber, T.; Benčurová, K.; Talip, Z.; Voegele, A.; Heffeter, P.; Kandioller, W.; Van der Meulen, N.P.; Mitterhauser, M.; et al. Synthesis and Preclinical Evaluation of Radiolabeled [103Ru]BOLD-100. Pharmaceutics 2023, 15, 2626. https://doi.org/10.3390/pharmaceutics15112626
Happl B, Brandt M, Balber T, Benčurová K, Talip Z, Voegele A, Heffeter P, Kandioller W, Van der Meulen NP, Mitterhauser M, et al. Synthesis and Preclinical Evaluation of Radiolabeled [103Ru]BOLD-100. Pharmaceutics. 2023; 15(11):2626. https://doi.org/10.3390/pharmaceutics15112626
Chicago/Turabian StyleHappl, Barbara, Marie Brandt, Theresa Balber, Katarína Benčurová, Zeynep Talip, Alexander Voegele, Petra Heffeter, Wolfgang Kandioller, Nicholas P. Van der Meulen, Markus Mitterhauser, and et al. 2023. "Synthesis and Preclinical Evaluation of Radiolabeled [103Ru]BOLD-100" Pharmaceutics 15, no. 11: 2626. https://doi.org/10.3390/pharmaceutics15112626
APA StyleHappl, B., Brandt, M., Balber, T., Benčurová, K., Talip, Z., Voegele, A., Heffeter, P., Kandioller, W., Van der Meulen, N. P., Mitterhauser, M., Hacker, M., Keppler, B. K., & Mindt, T. L. (2023). Synthesis and Preclinical Evaluation of Radiolabeled [103Ru]BOLD-100. Pharmaceutics, 15(11), 2626. https://doi.org/10.3390/pharmaceutics15112626

