The Anti-Tubercular Aminolipopeptide Trichoderin A Displays Selective Toxicity against Human Pancreatic Ductal Adenocarcinoma Cells Cultured under Glucose Starvation
Abstract
1. Introduction
2. Materials and Methods
2.1. Materials
2.2. General Procedure for Peptide Synthesis
2.2.1. (Method 1) Attachment of Fmoc-Aib-OH on Resin
2.2.2. (Method 2) Spectrophotometric Quantitation of First Residue Loading on Resin
2.2.3. (Method 3) Removal of Fmoc Protecting Group
2.2.4. (Method 4) Procedure for the Difficult Sequential Aib-Aib Coupling on Resin
2.2.5. (Method 5) Coupling of Fmoc-Protected Amino Acid
2.2.6. (Method 6) Attachment of N-Terminal Fatty Acid
2.2.7. (Method 7) HFIP-Mediated Resin Cleavage
2.2.8. (Method 8) Late-Stage Solution Phase C-Terminal Coupling of AMAE
2.2.9. LC-MS Analysis of Purified Peptides
2.2.10. Semipreparative RP-HPLC Purification of Crude Peptides
2.2.11. Analytical RP-HPLC of Purified Peptides
2.3. Cell Culture
2.4. Initial Cytotoxicity Assay: BxPC-3
2.5. Comparative Cytotoxicity Assay to Evaluate the Effect of Glucose on Cellular Proliferation: BxPC-3 and PANC-1
2.6. Data Analysis
- IC50, corresponding to the drug concentration that gave half-maximal response (i.e., 50% viability)
- AUC, corresponding to the calculated area under the curve with baseline set at y = 0 and the full concentration range used for both cell lines (i.e., 50.8 pM–9 µM).
- Emax, corresponding to the maximal response achieved by the drug at the highest concentration used in the assay (i.e., 1 µM for BxPC-3, 9 µM for PANC-1).
3. Results
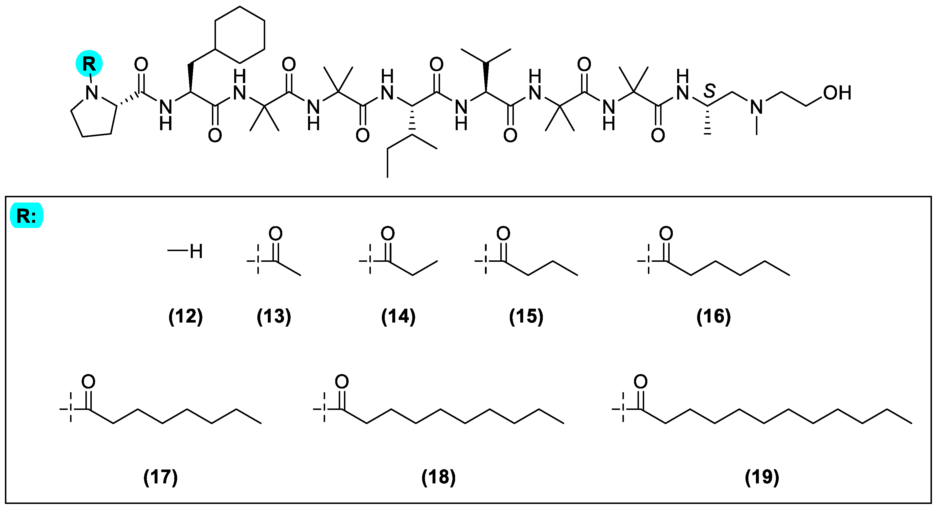
3.1. Chemical Synthesis of the Simplified Trichoderin A Analogue ()
3.2. In Vitro Antiproliferative Testing of the Simplified Trichoderin A Analogue ()
3.3. The Effect of N-Lipidation on the Bioactivity of the Simplified Trichoderin A Analogue ()
4. Discussion
5. Conclusions
Supplementary Materials
Author Contributions
Funding
Institutional Review Board Statement
Informed Consent Statement
Data Availability Statement
Acknowledgments
Conflicts of Interest
References
- Kleeff, J.; Korc, M.; Apte, M.; La Vecchia, C.; Johnson, C.D.; Biankin, A.V.; Neale, R.E.; Tempero, M.; Tuveson, D.A.; Hruban, R.H.; et al. Pancreatic Cancer. Nat. Rev. Dis. Primer 2016, 2, 16022. [Google Scholar] [CrossRef] [PubMed]
- Huang, J.; Lok, V.; Ngai, C.H.; Zhang, L.; Yuan, J.; Lao, X.Q.; Ng, K.; Chong, C.; Zheng, Z.-J.; Wong, M.C.S. Worldwide Burden of, Risk Factors for, and Trends in Pancreatic Cancer. Gastroenterology 2021, 160, 744–754. [Google Scholar] [CrossRef] [PubMed]
- Herting, C.J.; Karpovsky, I.; Lesinski, G.B. The Tumor Microenvironment in Pancreatic Ductal Adenocarcinoma: Current Perspectives and Future Directions. Cancer Metastasis Rev. 2021, 40, 675–689. [Google Scholar] [CrossRef] [PubMed]
- Tsang, E.S.; Tempero, M.A. Therapeutic Targets in the Pancreatic Adenocarcinoma Microenvironment: Past Challenges and Opportunities for the Future. J. Cancer Metastasis Treat. 2021, 7, 33. [Google Scholar] [CrossRef]
- Cairns, R.A.; Kalliomaki, T.; Hill, R.P. Acute (Cyclic) Hypoxia Enhances Spontaneous Metastasis of KHT Murine Tumors. Cancer Res. 2001, 61, 8903–8908. [Google Scholar]
- Cairns, R.A.; Hill, R.P. Acute Hypoxia Enhances Spontaneous Lymph Node Metastasis in an Orthotopic Murine Model of Human Cervical Carcinoma. Cancer Res. 2004, 64, 2054–2061. [Google Scholar] [CrossRef]
- Stubbing, L.A.; Kavianinia, I.; Brimble, M.A. Synthesis of AHMOD-Containing Aminolipopeptides, Unique Bioactive Peptaibiotics. Org. Biomol. Chem. 2017, 15, 3542–3549. [Google Scholar] [CrossRef]
- Kawada, M.; Inoue, H.; Ohba, S.-I.; Masuda, T.; Momose, I.; Ikeda, D. Leucinostatin A Inhibits Prostate Cancer Growth through Reduction of Insulin-like Growth Factor-I Expression in Prostate Stromal Cells. Int. J. Cancer 2010, 126, 810–818. [Google Scholar] [CrossRef]
- He, H.; Janso, J.E.; Yang, H.Y.; Bernan, V.S.; Lin, S.L.; Yu, K. Culicinin D, an Antitumor Peptaibol Produced by the Fungus Culicinomyces Clavisporus, Strain LL-12I252. J. Nat. Prod. 2006, 69, 736–741. [Google Scholar] [CrossRef]
- Pruksakorn, P.; Arai, M.; Kotoku, N.; Vilchèze, C.; Baughn, A.D.; Moodley, P.; Jacobs, W.R.; Kobayashi, M. Trichoderins, Novel Aminolipopeptides from a Marine Sponge-Derived Trichoderma Sp., Are Active against Dormant Mycobacteria. Bioorg. Med. Chem. Lett. 2010, 20, 3658–3663. [Google Scholar] [CrossRef]
- Pruksakorn, P.; Arai, M.; Liu, L.; Moodley, P.; Jacobs Jr., W. R.; Kobayashi, M. Action-Mechanism of Trichoderin A, an Anti-Dormant Mycobacterial Aminolipopeptide from Marine Sponge-Derived Trichoderma Sp. Biol. Pharm. Bull. 2011, 34, 1287–1290. [Google Scholar] [CrossRef]
- Deer, E.L.; González-Hernández, J.; Coursen, J.D.; Shea, J.E.; Ngatia, J.; Scaife, C.L.; Firpo, M.A.; Mulvihill, S.J. Phenotype and Genotype of Pancreatic Cancer Cell Lines. Pancreas 2010, 39, 425–435. [Google Scholar] [CrossRef]
- Kavianinia, I.; Kunalingam, L.; Harris, P.W.R.; Cook, G.M.; Brimble, M.A. Total Synthesis and Stereochemical Revision of the Anti-Tuberculosis Peptaibol Trichoderin A. Org. Lett. 2016, 18, 3878–3881. [Google Scholar] [CrossRef]
- PrestoBlue® and CyQUANT® Direct Confirmation Assay for Cell Viability Protocol—NZ. Available online: www.thermofisher.com/au/en/home/references/protocols/cell-and-tissue-analysis/protocols/prestoblue-and-cyquant-direct-confirmation-assay-for-cell-viability-protocol.html (accessed on 31 August 2021).
- CyQUANTTM Direct Cell Proliferation Assay. Available online: https://www.thermofisher.com/order/catalog/product/C35011 (accessed on 7 November 2021).
- Ackermann, T.; Tardito, S. Cell Culture Medium Formulation and Its Implications in Cancer Metabolism. Trends Cancer 2019, 5, 329–332. [Google Scholar] [CrossRef]
- Hung, K.; Harris, P.W.R.; Brimble, M.A. Synthesis of the Peptaibol Framework of the Anticancer Agent Culicinin D: Stereochemical Assignment of the AHMOD Moiety. Org. Lett. 2012, 14, 5784–5787. [Google Scholar] [CrossRef]
- Ko, K.-Y.; Wagner, S.; Yang, S.-H.; Furkert, D.P.; Brimble, M.A. Improved Synthesis of the Unnatural Amino Acids AHMOD and AMD, Components of the Anticancer Peptaibol Culicinin D. J. Org. Chem. 2015, 80, 8631–8636. [Google Scholar] [CrossRef]
- Kavianinia, I.; Stubbing, L.A.; Abbattista, M.R.; Harris, P.W.R.; Smaill, J.B.; Patterson, A.V.; Brimble, M.A. Alanine Scan-Guided Synthesis and Biological Evaluation of Analogues of Culicinin D, a Potent Anticancer Peptaibol. Bioorg. Med. Chem. Lett. 2020, 30, 127135. [Google Scholar] [CrossRef]
- PrestoBlueTM Cell Viability Reagent. Available online: https://www.thermofisher.com/order/catalog/product/A13262 (accessed on 7 November 2021).
- Momose, I.; Onodera, T.; Doi, H.; Adachi, H.; Iijima, M.; Yamazaki, Y.; Sawa, R.; Kubota, Y.; Igarashi, M.; Kawada, M. Leucinostatin Y: A Peptaibiotic Produced by the Entomoparasitic Fungus Purpureocillium Lilacinum 40-H-28. J. Nat. Prod. 2019, 82, 1120–1127. [Google Scholar] [CrossRef]
- Martínez-Reyes, I.; Chandel, N.S. Cancer Metabolism: Looking Forward. Nat. Rev. Cancer 2021, 21, 669–680. [Google Scholar] [CrossRef]
- Warburg, O. On the Origin of Cancer Cells. Science 1956, 123, 309–314. [Google Scholar] [CrossRef]
- Ashton, T.M.; McKenna, W.G.; Kunz-Schughart, L.A.; Higgins, G.S. Oxidative Phosphorylation as an Emerging Target in Cancer Therapy. Clin. Cancer Res. 2018, 24, 2482–2490. [Google Scholar] [CrossRef] [PubMed]
- Tataranni, T.; Agriesti, F.; Ruggieri, V.; Mazzoccoli, C.; Simeon, V.; Laurenzana, I.; Scrima, R.; Pazienza, V.; Capitanio, N.; Piccoli, C. Rewiring Carbohydrate Catabolism Differentially Affects Survival of Pancreatic Cancer Cell Lines with Diverse Metabolic Profiles. Oncotarget 2017, 8, 41265–41281. [Google Scholar] [CrossRef] [PubMed]
- Wang, Z.; Liu, F.; Fan, N.; Zhou, C.; Li, D.; Macvicar, T.; Dong, Q.; Bruns, C.J.; Zhao, Y. Targeting Glutaminolysis: New Perspectives to Understand Cancer Development and Novel Strategies for Potential Target Therapies. Front. Oncol. 2020, 10, 2321. [Google Scholar] [CrossRef] [PubMed]
- Masoud, R.; Reyes-Castellanos, G.; Lac, S.; Garcia, J.; Dou, S.; Shintu, L.; Abdel Hadi, N.; Gicquel, T.; El Kaoutari, A.; Diémé, B.; et al. Targeting Mitochondrial Complex I Overcomes Chemoresistance in High OXPHOS Pancreatic Cancer. Cell Rep. Med. 2020, 1, 100143. [Google Scholar] [CrossRef] [PubMed]
- Dai, M.; Chen, S.; Teng, X.; Chen, K.; Cheng, W. KRAS as a Key Oncogene in the Clinical Precision Diagnosis and Treatment of Pancreatic Cancer. J. Cancer 2022, 13, 3209–3220. [Google Scholar] [CrossRef]
- Luchini, C.; Paolino, G.; Mattiolo, P.; Piredda, M.L.; Cavaliere, A.; Gaule, M.; Melisi, D.; Salvia, R.; Malleo, G.; Shin, J.I.; et al. KRAS Wild-Type Pancreatic Ductal Adenocarcinoma: Molecular Pathology and Therapeutic Opportunities. J. Exp. Clin. Cancer Res. 2020, 39, 227. [Google Scholar] [CrossRef]
- Torphy, R.J.; Fujiwara, Y.; Schulick, R.D. Pancreatic Cancer Treatment: Better, but a Long Way to Go. Surg. Today 2020, 50, 1117–1125. [Google Scholar] [CrossRef]
- Chen, H.; Zhuo, Q.; Ye, Z.; Xu, X.; Ji, S. Organoid Model: A New Hope for Pancreatic Cancer Treatment? Biochim. Biophys. Acta BBA-Rev. Cancer 2021, 1875, 188466. [Google Scholar] [CrossRef]
- Reckzeh, E.S.; Karageorgis, G.; Schwalfenberg, M.; Ceballos, J.; Nowacki, J.; Stroet, M.C.M.; Binici, A.; Knauer, L.; Brand, S.; Choidas, A.; et al. Inhibition of Glucose Transporters and Glutaminase Synergistically Impairs Tumor Cell Growth. Cell Chem. Biol. 2019, 26, 1214–1228.e25. [Google Scholar] [CrossRef]
- Li, F.F.; Stubbing, L.A.; Kavianinia, I.; Abbattista, M.R.; Harris, P.W.R.; Smaill, J.B.; Patterson, A.V.; Brimble, M.A. Synthesis and Antiproliferative Activity of C- and N-Terminal Analogues of Culicinin D. Bioorg. Med. Chem. Lett. 2020, 30, 127331. [Google Scholar] [CrossRef]









| Antiproliferative Activity under ‘Low Glucose’ Condition | ||||||||||||
|---|---|---|---|---|---|---|---|---|---|---|---|---|
| PrestoBlue | CyQUANT Direct | |||||||||||
| BxPC-3 | PANC-1 | BxPC-3 | PANC-1 | |||||||||
| No. | IC50 (µM) | AUC (×10−5) | Emax @ 1 µM (%) | IC50 (µM) | AUC (×10−5) | Emax @ 9 µM (%) | IC50 (µM) | AUC (×10−5) | Emax @ 1 µM (%) | IC50 (µM) | AUC (×10−5) | Emax @ 9 µM (%) |
| (3) | 0.4 | 5.4 | 3.6 | 0.3 | 21.7 | 4.7 | 0.4 | 4.9 | 19.6 | 1.5 | 41.0 | 28.2 |
| (4) | 0.4 | 5.1 | 1.7 | 0.5 | 23.1 | 2.3 | 0.4 | 5.4 | 21.0 | 1.3 | 39.6 | 29.2 |
| (12) | >1 | 10.2 | 104.0 | >9 | 90.6 | 101.0 | >1 | 11 | 115.0 | >9 | 92.6 | 107.0 |
| (13) | >1 | 9.5 | 94.0 | 6.0 | 58.9 | 34.6 | >1 | 11 | 111.3 | 8.5 | 67.8 | 48.1 |
| (14) | 0.6 | 6.8 | 25.1 | 1.8 | 38.4 | 31.5 | 0.6 | 6.8 | 27.3 | 7.0 | 51.8 | 51.5 |
| (15) | 0.5 | 5.8 | 16.3 | 0.9 | 33.6 | 31.0 | 0.5 | 5.8 | 33.8 | 4.8 | 50.3 | 53.7 |
| (16) | 0.4 | 5.0 | 7.1 | 0.5 | 24.3 | 7.7 | 0.4 | 5.2 | 21.0 | 2.0 | 42.1 | 41.0 |
| (17) | 0.4 | 5.1 | 20.0 | 0.6 | 25.5 | 8.1 | 0.5 | 5.6 | 33.5 | 2.0 | 43.7 | 31.6 |
| (18) | 0.2 | 3.3 | 5.5 | 0.2 | 22.2 | 3.3 | 0.2 | 3.9 | 30.0 | 2.2 | 44.7 | 41.7 |
| (19) | 0.1 | 1.6 | 4.6 | 0.2 | 21.4 | 4.7 | 0.1 | 2.6 | 18.3 | 0.8 | 38.9 | 26.4 |
Disclaimer/Publisher’s Note: The statements, opinions and data contained in all publications are solely those of the individual author(s) and contributor(s) and not of MDPI and/or the editor(s). MDPI and/or the editor(s) disclaim responsibility for any injury to people or property resulting from any ideas, methods, instructions or products referred to in the content. |
© 2023 by the authors. Licensee MDPI, Basel, Switzerland. This article is an open access article distributed under the terms and conditions of the Creative Commons Attribution (CC BY) license (https://creativecommons.org/licenses/by/4.0/).
Share and Cite
Kasim, J.K.; Hong, J.; Hickey, A.J.R.; Phillips, A.R.J.; Windsor, J.A.; Harris, P.W.R.; Brimble, M.A.; Kavianinia, I. The Anti-Tubercular Aminolipopeptide Trichoderin A Displays Selective Toxicity against Human Pancreatic Ductal Adenocarcinoma Cells Cultured under Glucose Starvation. Pharmaceutics 2023, 15, 287. https://doi.org/10.3390/pharmaceutics15010287
Kasim JK, Hong J, Hickey AJR, Phillips ARJ, Windsor JA, Harris PWR, Brimble MA, Kavianinia I. The Anti-Tubercular Aminolipopeptide Trichoderin A Displays Selective Toxicity against Human Pancreatic Ductal Adenocarcinoma Cells Cultured under Glucose Starvation. Pharmaceutics. 2023; 15(1):287. https://doi.org/10.3390/pharmaceutics15010287
Chicago/Turabian StyleKasim, Johanes K., Jiwon Hong, Anthony J. R. Hickey, Anthony R. J. Phillips, John A. Windsor, Paul W. R. Harris, Margaret A. Brimble, and Iman Kavianinia. 2023. "The Anti-Tubercular Aminolipopeptide Trichoderin A Displays Selective Toxicity against Human Pancreatic Ductal Adenocarcinoma Cells Cultured under Glucose Starvation" Pharmaceutics 15, no. 1: 287. https://doi.org/10.3390/pharmaceutics15010287
APA StyleKasim, J. K., Hong, J., Hickey, A. J. R., Phillips, A. R. J., Windsor, J. A., Harris, P. W. R., Brimble, M. A., & Kavianinia, I. (2023). The Anti-Tubercular Aminolipopeptide Trichoderin A Displays Selective Toxicity against Human Pancreatic Ductal Adenocarcinoma Cells Cultured under Glucose Starvation. Pharmaceutics, 15(1), 287. https://doi.org/10.3390/pharmaceutics15010287

