Nanoparticles of N-Vinylpyrrolidone Amphiphilic Copolymers and Pheophorbide a as Promising Photosensitizers for Photodynamic Therapy: Design, Properties and In Vitro Phototoxic Activity
Abstract
1. Introduction
2. Materials and Methods
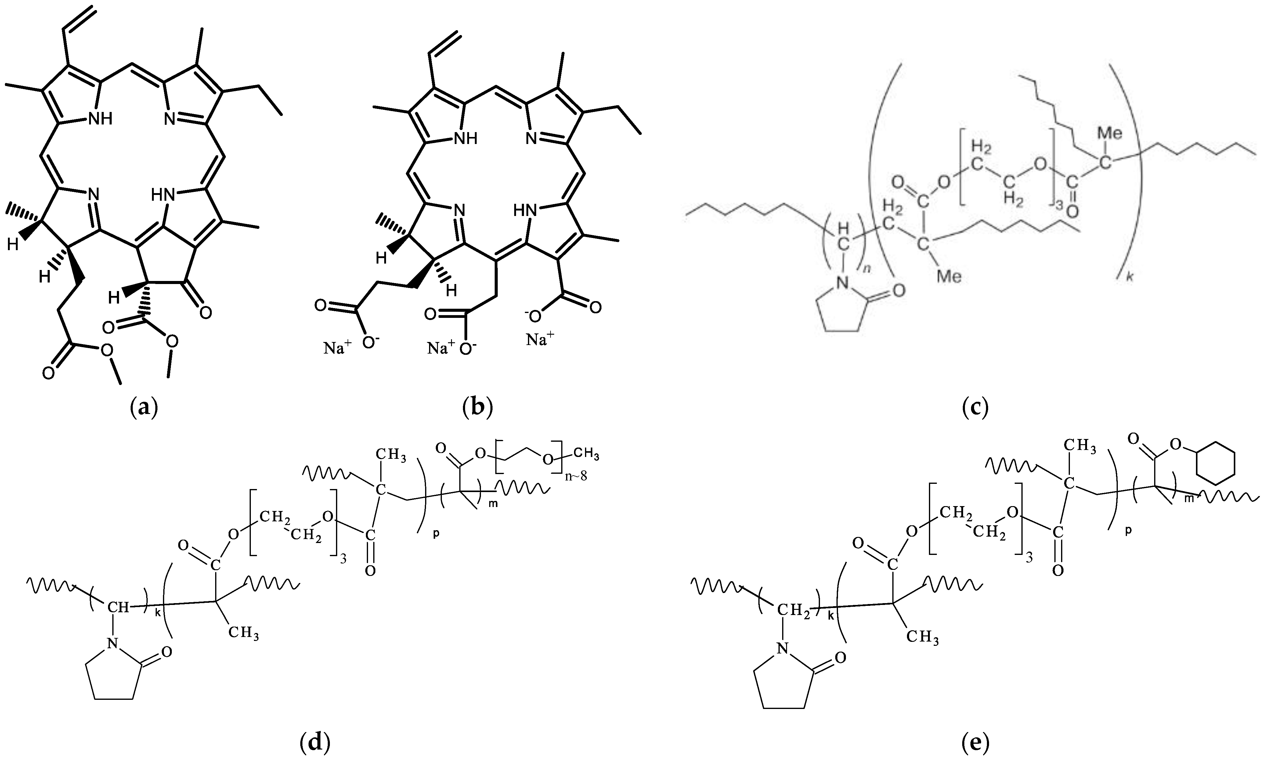
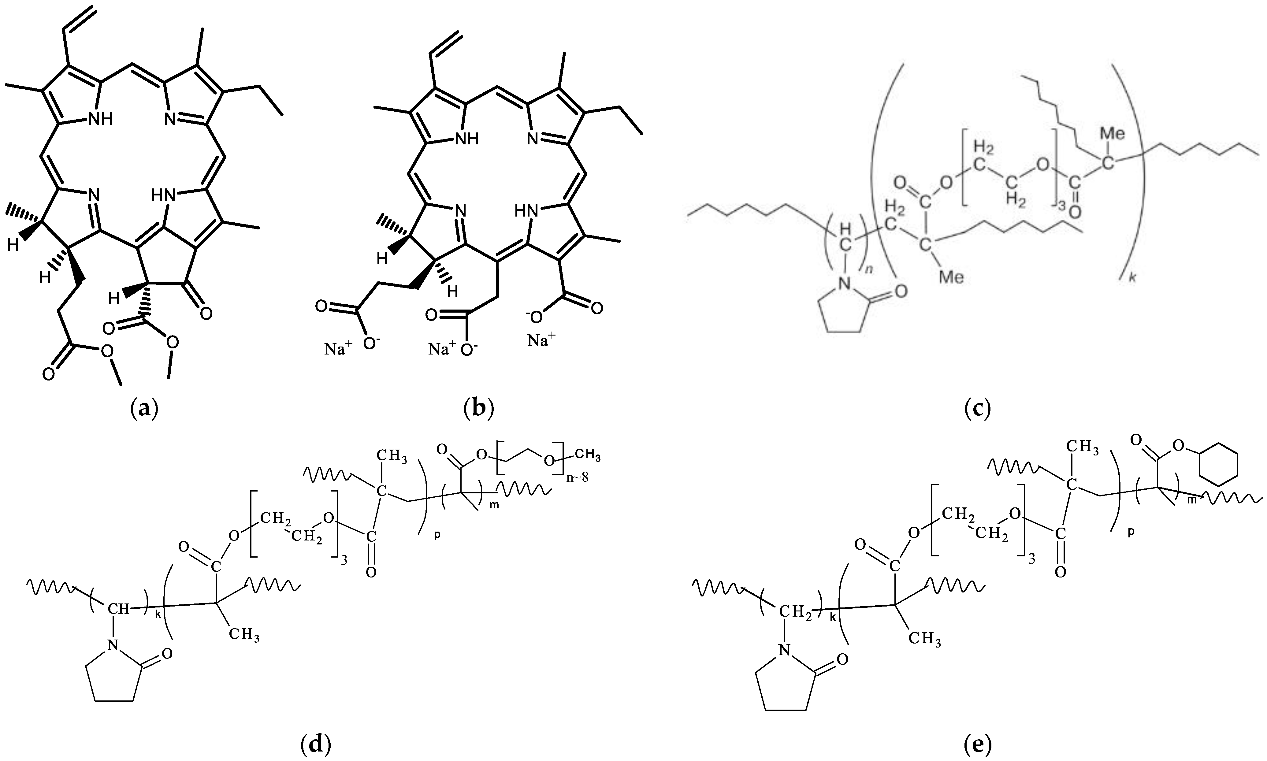
2.1. Photosensitizers
2.2. Synthesis of Copolymers
2.3. Encapsulation of Photosensitizers into Nanoparticles
2.4. Analysis of Copolymers
2.5. Dynamic Light-Scattering Experiments
2.6. Photophysical and Photochemical Studies
2.7. Phototoxicity Evaluation on HeLa Cell Line
2.8. Interaction of Nanoparticles with Liposmes and Tissue Homogenate
3. Results and Discussion
3.1. The VP Copolymer Parameters, Structure and Properties
3.2. The Dye Encapsulation into Polymer Particles
3.3. Studies of Nanoparticles Size by Dynamic Light Scattering
3.4. Absorbance and Fluorescence Spectra of Nanoparticles
3.5. Singlet Oxygen Generation
3.6. Phototoxic Activity of Nanoparticles in HeLa Cancer Cells
3.7. Interaction of Nanoparticles with Liposomes and Tissue Homogenate
3.8. Storage Stability of the Copolymer + MPP Nanoparticles
4. Conclusions
Supplementary Materials
Author Contributions
Funding
Institutional Review Board Statement
Informed Consent Statement
Data Availability Statement
Acknowledgments
Conflicts of Interest
References
- Correia, J.H.; Rodrigues, J.A.; Pimenta, S.; Dong, T.; Yang, Z. Photodynamic Therapy Review: Principles, Photosensitizers, Applications, and Future Directions. Pharmaceutics 2021, 13, 1332. [Google Scholar] [CrossRef] [PubMed]
- Hamblin, M.R. Photodynamic Therapy for Cancer: What’s Past Is Prologue. Photochem. Photobiol. 2020, 96, 506–516. [Google Scholar] [CrossRef] [PubMed]
- Kwiatkowski, S.; Knap, B.; Przystupski, D.; Saczko, J.; Kędzierska, E.; Knap-Czop, K.; Kotlińska, J.; Michel, O.; Kotowski, K.; Kulbacka, J. Photodynamic Therapy—Mechanisms, Photosensitizers and Combinations. Biomed. Pharmacother. 2018, 106, 1098–1107. [Google Scholar] [CrossRef] [PubMed]
- Dos Santos, A.F.; De Almeida, D.R.Q.; Terra, L.F.; Baptista, M.S.; Labriola, L. Photodynamic Therapy in Cancer Treatment—An Update Review. J. Cancer Metastasis Treat. 2019, 5, 25. [Google Scholar] [CrossRef]
- Niculescu, A.-G.; Grumezescu, A.M. Photodynamic Therapy—An Up-to-Date Review. Appl. Sci. 2021, 11, 3626. [Google Scholar] [CrossRef]
- Hu, J.-J.; Lei, Q.; Zhang, X.-Z. Recent Advances in Photonanomedicines for Enhanced Cancer Photodynamic Therapy. Prog. Mater. Sci. 2020, 114, 100685. [Google Scholar] [CrossRef]
- Escudero, A.; Carrillo-Carrión, C.; Castillejos, M.C.; Romero-Ben, E.; Rosales-Barrios, C.; Khiar, N. Photodynamic Therapy: Photosensitizers and Nanostructures. Mater. Chem. Front. 2021, 5, 3788–3812. [Google Scholar] [CrossRef]
- Koifman, O.I.; Ageeva, T.A.; Beletskaya, I.P.; Averin, A.D.; Yakushev, A.A.; Tomilova, L.G.; Dubinina, T.V.; Tsivadze, A.Y.; Gorbunova, Y.G.; Martynov, A.G.; et al. Macroheterocyclic Compounds—A Key Building Block in New Functional Materials and Molecular Devices. Macroheterocycles 2020, 13, 311–467. [Google Scholar] [CrossRef]
- Grin, M.A.; Suvorov, N.V.; Mironov, A.F. Natural Chlorins as a Promising Platform for Creating Targeted Theranostics in Oncology. Mendeleev Commun. 2020, 30, 406–418. [Google Scholar] [CrossRef]
- van Straten, D.; Mashayekhi, V.; de Bruijn, H.S.; Oliveira, S.; Robinson, D.J. Oncologic Photodynamic Therapy: Basic Principles, Current Clinical Status and Future Directions. Cancers 2017, 9, 19. [Google Scholar] [CrossRef]
- Zhang, J.; Jiang, C.; Figueiró Longo, J.P.; Azevedo, R.B.; Zhang, H.; Muehlmann, L.A. An Updated Overview on the Development of New Photosensitizers for Anticancer Photodynamic Therapy. Acta Pharm. Sin. B 2017, 8, 137–146. [Google Scholar] [CrossRef] [PubMed]
- Vannostrum, C. Polymeric Micelles to Deliver Photosensitizers for Photodynamic Therapy. Adv. Drug Deliv. Rev. 2004, 56, 9–16. [Google Scholar] [CrossRef] [PubMed]
- Kadkhoda, J.; Tarighatnia, A.; Barar, J.; Aghanejad, A.; Davaran, S. Recent Advances and Trends in Nanoparticles Based Photothermal and Photodynamic Therapy. Photodiagn. Photodyn. Ther. 2022, 37, 102697. [Google Scholar] [CrossRef] [PubMed]
- Ouyang, Z.; Gao, Y.; Shen, M.; Shi, X. Dendrimer-Based Nanohybrids in Cancer Photomedicine. Mater. Today Bio 2021, 10, 100111. [Google Scholar] [CrossRef]
- Moradi Kashkooli, F.; Soltani, M.; Souri, M. Controlled Anti-Cancer Drug Release through Advanced Nano-Drug Delivery Systems: Static and Dynamic Targeting Strategies. J. Control. Release 2020, 327, 316–349. [Google Scholar] [CrossRef] [PubMed]
- Kurmaz, S.V.; Fadeeva, N.V.; Terentiev, A.A. Method for Obtaining Nanoscale Systems of Low Molecular Weight Biologically Active Compounds Based on Amphiphilic Copolymers of N-Vinylpyrrolidone with Branched (Di)Methacrylates for Cosmeceutical Applications. RF Patent No. 2760274, 10 July 2020. [Google Scholar]
- Kurmaz, S.V.; Obraztsova, N.A.; Balakina, A.A.; Terent’ev, A.A. Preparation of the Amphiphilic Copolymer of N-Vinylpyrrolidone with Triethylene Glycol Dimethacrylate Nanoparticles and the Study of Their Properties in Vitro. Russ. Chem. Bull. 2016, 65, 2097–2102. [Google Scholar] [CrossRef]
- Kurmaz, S.V.; Fadeeva, N.V.; Fedorov, B.S.; Kozub, G.I.; Emel’yanova, N.S.; Kurmaz, V.A.; Manzhos, R.A.; Balakina, A.A.; Terentyev, A.A. New Antitumor Hybrid Materials Based on PtIV Organic Complex and Polymer Nanoparticles Consisting of N-Vinylpyrrolidone and (Di)Methacrylates. Mendeleev Commun. 2020, 30, 22–24. [Google Scholar] [CrossRef]
- Kurmaz, S.V.; Fadeeva, N.V.; Komendant, A.V.; Ignatiev, V.M.; Emelyanova, N.S.; Shilov, G.V.; Stupina, T.S.; Filatova, N.V.; Lapshina, M.A.; Terentyev, A.A. New Amphiphilic Terpolymers of N-Vinylpyrrolidone with Poly(Ethylene Glycol) Methyl Ether Methacrylate and Triethylene Glycol Dimethacrylate as Carriers of the Hydrophobic Fluorescent Dye. Polym. Bull. 2022, 79, 8905–8925. [Google Scholar] [CrossRef]
- Kurmaz, S.V.; Ivanova, I.I.; Fadeeva, N.V.; Perepelitsina, E.O.; Lapshina, M.A.; Balakina, A.A.; Terent’ev, A.A. New Amphiphilic Branched Copolymers of N-Vinylpyrrolidone with Methacrylic Acid for Biomedical Applications. Polym. Sci. Ser. A 2022, 64, 434–446. [Google Scholar] [CrossRef]
- Kurmaz, S.V.; Ignatiev, V.M.; Emel’yanova, N.S.; Kurmaz, V.A.; Konev, D.V.; Balakina, A.A.; Terentyev, A.A. New Nanosized Systems Doxorubicin—Amphiphilic Copolymers of N-Vinylpyrrolidone and (Di)Methacrylates with Antitumor Activity. Pharmaceutics 2022, 14, 2572. [Google Scholar] [CrossRef]
- Irvin-Choy, N.S.; Nelson, K.M.; Gleghorn, J.P.; Day, E.S. Design of Nanomaterials for Applications in Maternal/Fetal Medicine. J. Mater. Chem. B 2020, 8, 6548–6561. [Google Scholar] [CrossRef] [PubMed]
- Blanco, E.; Shen, H.; Ferrari, M. Principles of Nanoparticle Design for Overcoming Biological Barriers to Drug Delivery. Nat. Biotechnol. 2015, 33, 941–951. [Google Scholar] [CrossRef] [PubMed]
- Hoshyar, N.; Gray, S.; Han, H.; Bao, G. The Effect of Nanoparticle Size on in Vivo Pharmacokinetics and Cellular Interaction. Nanomedicine 2016, 11, 673–692. [Google Scholar] [CrossRef] [PubMed]
- Ponomarev, G.; Tavrovsky, L.D.; Zaretsky, A.M.; Ashmarov, V.V.; Baum, R.F. Photosensibilizator and Method for Its Preparing. Patent RU2276976C2, 27 May 2006. [Google Scholar]
- Nikolaeva, O.; Romanenko, Y.; Ageeva, T.; Koifman, O. Synthesis and Study of Copolymers of Methyl Pheophorbide a and Its CuII Complexes with Methyl Methacrylate. Macroheterocycles 2012, 5, 139–145. [Google Scholar] [CrossRef]
- Mal’shakova, M.V.; Belykh, D.V.; Kuchin, A.V. Synthesis of Chlorins with a Distal Vinyl Group. Chem. Nat. Compd. 2007, 43, 163–166. [Google Scholar] [CrossRef]
- Ponomarev, G.V.; Ipatova, O.M.; Prozorovskij, V.N.; Medvedeva, N.V.; Morozova, J.V.; Tikhonova, E.G. Method of Chlorine E6 Production. Patent RU 2330037(13) C1, 27 July 2006. [Google Scholar]
- Kurmaz, S.V.; Sen’, V.D.; Kulikov, A.V.; Konev, D.V.; Kurmaz, V.A.; Balakina, A.A.; Terent’ev, A.A.; Kornev, D.V.; Kurmaz, V.A.; Balakina, A.A.; et al. Polymer Nanoparticles of N-Vinylpyrrolidone Loaded with an Organic Aminonitroxyl Platinum (Iv) Complex. Characterization and Investigation of Their in Vitro Cytotoxicity. Russ. Chem. Bull. 2019, 68, 1769–1779. [Google Scholar] [CrossRef]
- Kurmaz, S.V.; Konev, D.V.; Kurmaz, V.A.; Kozub, G.I.; Ignat’ev, V.M.; Emel’yanova, N.S.; Balakina, A.A.; Terentyev, A.A. New Nanosized Systems with Antitumor Activity Based on the Pt(IV) Complexes with Nicotinamide Ligands and Amphiphilic Copolymers of N-Vinylpyrrolidone and (Di)Methacrylate. INEOS OPEN 2021, 4, 195–201. [Google Scholar] [CrossRef]
- Wang, P.; Qin, F.; Zhang, Z.; Cao, W. Quantitative Monitoring of the Level of Singlet Oxygen Using Luminescence Spectra of Phosphorescent Photosensitizer. Opt. Express 2015, 23, 22991–23003. [Google Scholar] [CrossRef]
- Poletaeva, D.A.; Kotel’nikova, R.A.; Mischenko, D.V.; Rybkin, A.Y.; Smolina, A.V.; Faingol’d, I.I.; Troshin, P.A.; Kornev, A.B.; Khakina, E.A.; Kotel’nikov, A.I. Estimation of Membrane Activity of Water-Soluble Polysubstituted Fullerene Derivatives by Luminescence Methods. Nanotechnol. Russ. 2012, 7, 302–307. [Google Scholar] [CrossRef]
- Kotelnikova, R.A.; Smolina, A.V.; Zhilenkov, A.V.; Soldatova, Y.V.; Faingold, I.I.; Troshin, P.A.; Kotelnikov, A.I. Interaction of Water-Soluble Pentaamino Acid Fullerene Derivatives with Membranes of Phosphatidylcholine Liposomes. Russ. Chem. Bull. 2018, 67, 366–370. [Google Scholar] [CrossRef]
- Redmond, R.W.; Gamlin, J.N. A Compilation of Singlet Oxygen Yields from Biologically Relevant Molecules. Photochem. Photobiol. 1999, 70, 391–475. [Google Scholar] [CrossRef] [PubMed]
- Rybkin, A.Y.; Belik, A.Y.; Goryachev, N.S.; Mikhaylov, P.A.; Kraevaya, O.A.; Filatova, N.V.; Parkhomenko, I.I.; Peregudov, A.S.; Terent’ev, A.A.; Larkina, E.A.; et al. Self-Assembling Nanostructures of Water-Soluble Fullerene[60]-Chlorin E6 Dyads: Synthesis, Photophysical Properties, and Photodynamic Activity. Dye. Pigment. 2020, 180, 108411. [Google Scholar] [CrossRef]
- Präbst, K.; Engelhardt, H.; Ringgeler, S.; Hübner, H. Basic Colorimetric Proliferation Assays: MTT, WST, and Resazurin. In Cell Viability Assays, Methods in Molecular Biology; Humana Press: New York, NY, USA, 2017; pp. 1–17. [Google Scholar]
- Chou, T.-C.; Talalay, P. Quantitative Analysis of Dose-Effect Relationships: The Combined Effects of Multiple Drugs or Enzyme Inhibitors. Adv. Enzym. Regul. 1984, 22, 27–55. [Google Scholar] [CrossRef] [PubMed]
- Lowry, O.H.; Rosebrough, N.J.; Farr, A.L.; Randall, R.J. Protein Measurement with the Folin Phenol Reagent. J. Biol. Chem. 1951, 193, 265–275. [Google Scholar] [CrossRef] [PubMed]
- Sidel’kovskaya, F. The Chemistry of N-Vinylpyrrolidone and Its Polymers; Nauka: Moscow, Russia, 1970. (In Russian) [Google Scholar]
- Kurmaz, S.V.; Pyryaev, A.N. Synthesis and Properties of Fullerene-Containing N-Vinylpyrrolidone Copolymers. Russ. J. Gen. Chem. 2012, 82, 1705–1714. [Google Scholar] [CrossRef]
- Kurmaz, S.V.; Fadeeva, N.V.; Ignat’ev, V.M.; Kurmaz, V.A.; Kurochkin, S.A.; Emel’yanova, N.S. Structure and State of Water in Branched N-Vinylpyrrolidone Copolymers as Carriers of a Hydrophilic Biologically Active Compound. Molecules 2020, 25, 6015. [Google Scholar] [CrossRef]
- Kurmaz, S.V.; Obraztsova, N.A.; Perepelitsina, E.O.; Shilov, G.V.; Anokhin, D.V.; Pechnikova, E.V. New Hybrid Macromolecular Structures of C60 Fullerene-Amphiphilic Copolymers of N-Vinylpyrrolidone and Triethylene Glycol Dimethacrylate. Mater. Today Commun. 2015, 4, 130–140. [Google Scholar] [CrossRef]
- Zhou, Y.; Yan, D. Supramolecular Self-Assembly of Amphiphilic Hyperbranched Polymers at All Scales and Dimensions: Progress, Characteristics and Perspectives. Chem. Commun. 2009, 10, 1172–1188. [Google Scholar] [CrossRef]
- Zhou, Y.; Huang, W.; Liu, J.; Zhu, X.; Yan, D. Self-Assembly of Hyperbranched Polymers and Its Biomedical Applications. Adv. Mater. 2010, 22, 4567–4590. [Google Scholar] [CrossRef]
- Zenkevich, E.; Sagun, E.; Knyukshto, V.; Shulga, A.; Mironov, A.; Efremova, O.; Bonnett, R.; Songca, S.P.; Kassem, M. Photophysical and Photochemical Properties of Potential Porphyrin and Chlorin Photosensitizers for PDT. J. Photochem. Photobiol. B Biol. 1996, 33, 171–180. [Google Scholar] [CrossRef]
- Batov, D.V.; Kustov, A.V.; Kruchin, S.O.; Makarov, V.V.; Berezin, D.B. Aggregation of Cationic Chlorin E6 Derivatives in Water and Aqueous Solutions of Polyvinilpyrrolidone. J. Struct. Chem. 2019, 60, 443–448. [Google Scholar] [CrossRef]
- Morales-Cruz, M.; Delgado, Y.; Castillo, B.; Figueroa, C.M.; Molina, A.M.; Torres, A.; Milián, M.; Griebenow, K. Smart Targeting to Improve Cancer Therapeutics. Drug Des. Devel. Ther. 2019, 13, 3753–3772. [Google Scholar] [CrossRef] [PubMed]
- Yang, Y.; Yu, C. Advances in Silica Based Nanoparticles for Targeted Cancer Therapy. Nanomed. Nanotechnol. Biol. Med. 2016, 12, 317–332. [Google Scholar] [CrossRef]
- Ikeda, A.; Matsumoto, M.; Akiyama, M.; Kikuchi, J.; Ogawa, T.; Takeya, T. Direct and Short-Time Uptake of [70]Fullerene into the Cell Membrane Using an Exchange Reaction from a [70]Fullerene-Gamma-Cyclodextrin Complex and the Resulting Photodynamic Activity. Chem. Commun. 2009, 12, 1547–1549. [Google Scholar] [CrossRef]
- Avci, P.; Sibel Erdem, S.; Hamblin, M.R. Photodynamic Therapy: One Step Ahead with Self-Assembled Nanoparticles. J. Biomed. Nanotechnol. 2014, 10, 1937–1952. [Google Scholar] [CrossRef] [PubMed]
- Sengupta, P.; Chatterjee, B.; Tekade, R.K. Current Regulatory Requirements and Practical Approaches for Stability Analysis of Pharmaceutical Products: A Comprehensive Review. Int. J. Pharm. 2018, 543, 328–344. [Google Scholar] [CrossRef]
- Ferrari, R.; Sponchioni, M.; Morbidelli, M.; Moscatelli, D. Polymer Nanoparticles for the Intravenous Delivery of Anticancer Drugs: The Checkpoints on the Road from the Synthesis to Clinical Translation. Nanoscale 2018, 10, 22701–22719. [Google Scholar] [CrossRef]








| The Copolymers | The Content of VP and (di)Methacry-Lates Units in Copolymers, mol% | Mw, kDa | CAC, mg mL−1 | Rh, nm |
|---|---|---|---|---|
| CPL1 | 94.6:5.4 | 24.0 | 4.1 | 4; 66 |
| CPL3 | 86.5:9.9 | 19.0 | 1.7 | 4; 77 |
| CPL5 | 90.7:9.3 | 120.0 | 3.6 | 2; 31 |
| CPL12 | 90.9:9.1 | 126.0 | 0.55 | 50 |
| MPP | Ce6 | CPL1 + MPP | CPL3 + MPP | CPL5 + MPP | CPL12 + MPP | |
|---|---|---|---|---|---|---|
| Solvent | Toluene | PBS | PBS | PBS | PBS | PBS |
| Range of DLS hydrodynamic sizes Rh, nm | − | 27 ± 20 | 77 ± 25 | 31 ± 15 | 95 ± 25 | 57 ± 10 |
| Q-band λmax, nm | 669 | 647 | 675 | 687 | 675 | 675 |
| Fluorescence λmax, nm | 677 | 653 | 671 | 672 | 676 | 676 |
| Relative fluorescence quantum yield | 1 | 1/7 | 1/249 | 1/108 | 1/258 | 1/65 |
| Relative singlet oxygen quantum yield ΦΔ, % | − | 0.75 | 0.4 | 0.5 | 0.63 | 0.8 |
| Dark cytotoxicity in HeLa cells (IC50), μM | − | 13 ± 1.1 | 5 ± 0.4 | 12.1 ± 0.6 | 5.2 ± 0.9 | 4.9 ± 0.2 |
| Phototoxicity in HeLa cells (IC50), μM | − | 0.83 ± 0.13 | 0.31 ± 0.03 | 0.5 ± 0.02 | 0.4 ± 0.07 | 0.3 ± 0.05 |
Disclaimer/Publisher’s Note: The statements, opinions and data contained in all publications are solely those of the individual author(s) and contributor(s) and not of MDPI and/or the editor(s). MDPI and/or the editor(s) disclaim responsibility for any injury to people or property resulting from any ideas, methods, instructions or products referred to in the content. |
© 2023 by the authors. Licensee MDPI, Basel, Switzerland. This article is an open access article distributed under the terms and conditions of the Creative Commons Attribution (CC BY) license (https://creativecommons.org/licenses/by/4.0/).
Share and Cite
Rybkin, A.Y.; Kurmaz, S.V.; Urakova, E.A.; Filatova, N.V.; Sizov, L.R.; Kozlov, A.V.; Koifman, M.O.; Goryachev, N.S. Nanoparticles of N-Vinylpyrrolidone Amphiphilic Copolymers and Pheophorbide a as Promising Photosensitizers for Photodynamic Therapy: Design, Properties and In Vitro Phototoxic Activity. Pharmaceutics 2023, 15, 273. https://doi.org/10.3390/pharmaceutics15010273
Rybkin AY, Kurmaz SV, Urakova EA, Filatova NV, Sizov LR, Kozlov AV, Koifman MO, Goryachev NS. Nanoparticles of N-Vinylpyrrolidone Amphiphilic Copolymers and Pheophorbide a as Promising Photosensitizers for Photodynamic Therapy: Design, Properties and In Vitro Phototoxic Activity. Pharmaceutics. 2023; 15(1):273. https://doi.org/10.3390/pharmaceutics15010273
Chicago/Turabian StyleRybkin, Alexander Yu., Svetlana V. Kurmaz, Elizaveta A. Urakova, Natalia V. Filatova, Lev R. Sizov, Alexey V. Kozlov, Mikhail O. Koifman, and Nikolai S. Goryachev. 2023. "Nanoparticles of N-Vinylpyrrolidone Amphiphilic Copolymers and Pheophorbide a as Promising Photosensitizers for Photodynamic Therapy: Design, Properties and In Vitro Phototoxic Activity" Pharmaceutics 15, no. 1: 273. https://doi.org/10.3390/pharmaceutics15010273
APA StyleRybkin, A. Y., Kurmaz, S. V., Urakova, E. A., Filatova, N. V., Sizov, L. R., Kozlov, A. V., Koifman, M. O., & Goryachev, N. S. (2023). Nanoparticles of N-Vinylpyrrolidone Amphiphilic Copolymers and Pheophorbide a as Promising Photosensitizers for Photodynamic Therapy: Design, Properties and In Vitro Phototoxic Activity. Pharmaceutics, 15(1), 273. https://doi.org/10.3390/pharmaceutics15010273

