Investigation of Alogliptin-Loaded In Situ Gel Implants by 23 Factorial Design with Glycemic Assessment in Rats
Abstract
1. Introduction
2. Materials and Methods
2.1. Materials
2.2. Methods
2.2.1. Preliminary Study for Selecting Solvents Used in Preparation of ISGI Formulations
Saturation Solubility Measurement of Alogliptin in Different Organic Solvents
Preparation of Alogliptin-Loaded ISGI Formulations
In Vitro Release Study of Alogliptin-Loaded ISGI Formulations
2.2.2. Experimental Design and Statistical Analysis
2.2.3. Optimization Process and Statistical Validation
- Zero order model: Qt = Ko.t,
- First order model: Qt = 1 − e−Kt,
- Higuchi model: Qt = KH.t1/2,
- Hixson–Crowell model: Qo1/3 −/Qt1/3 = KHC.t, and
- Korsmeyer–Peppas model: Qt/Q∞ = KKP.tn
2.2.4. In Vitro Characterization of Optimized ISGI Formulation
Scanning Electron Microscopy (SEM)
Fourier Transform Infrared (FTIR) Spectroscopy
Differential Scanning Calorimetry (DSC)
2.2.5. In Vivo Characterization of Optimized ISGI Formulation
Animals and Ethical Approval
Induction of Diabetes in Rats
Animal Groups
- Group 1: Control rats received regular tap water and food for six successive weeks.
- Group 2: Hyperglycemia-induced rats received the vehicle for another two weeks.
- Group 3: Hyperglycemia-induced rats received daily oral alogliptin solution (2.5 mg/kg) for 10 days.
- Group 4: Hyperglycemia-induced rats received a single subcutaneous injection of the optimized alogliptin-loaded ISGI preparation (25 mg/kg).
Measurement of Postprandial Blood Glucose in Rats
3. Results and Discussion
3.1. Preliminary Study for Selecting Solvents Used in Preparation of ISGI Formulations
3.2. Statistical Data Analysis
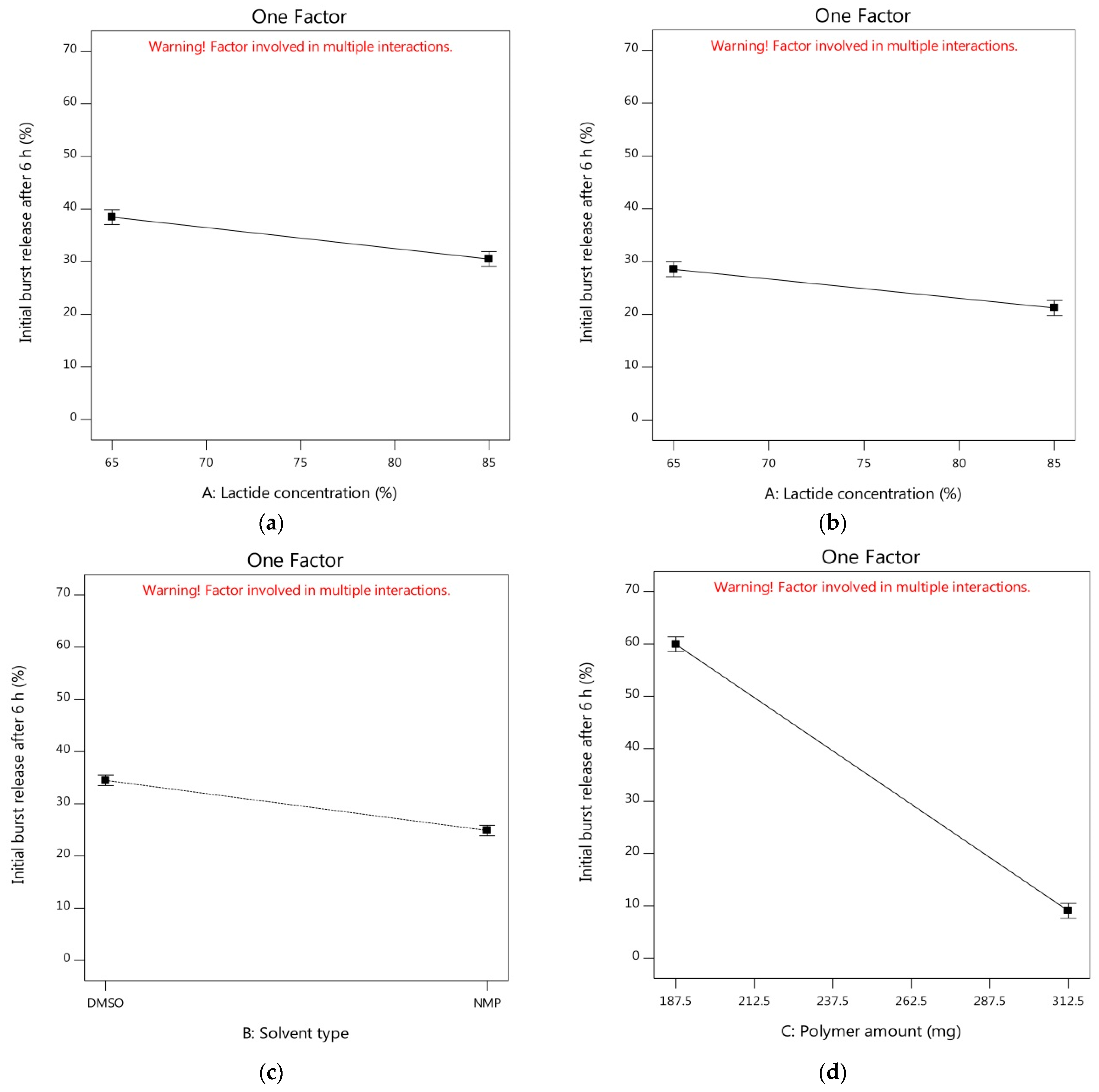
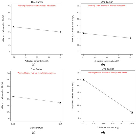
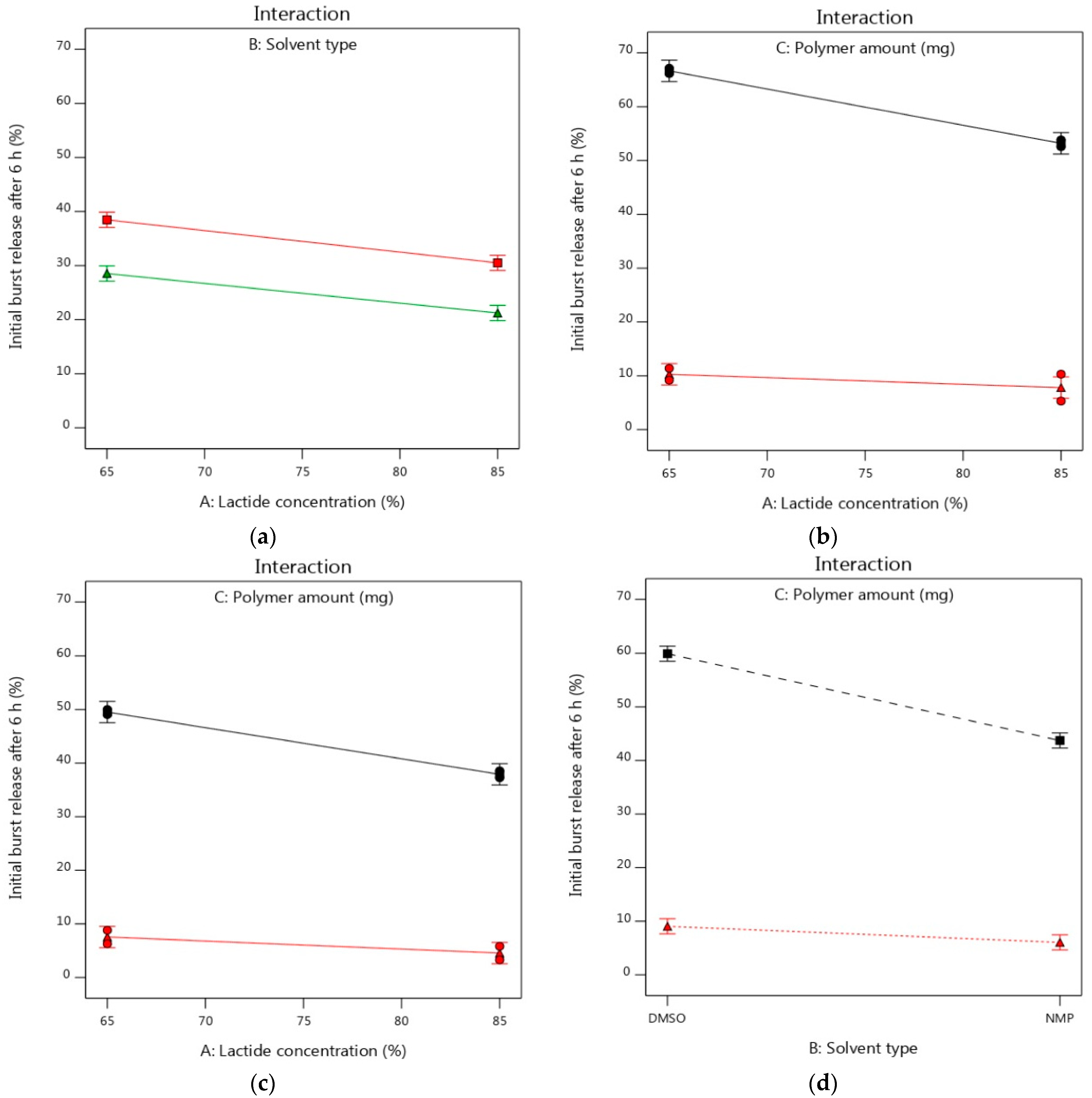
3.2.1. Effect of Independent Factors on Y1 Response
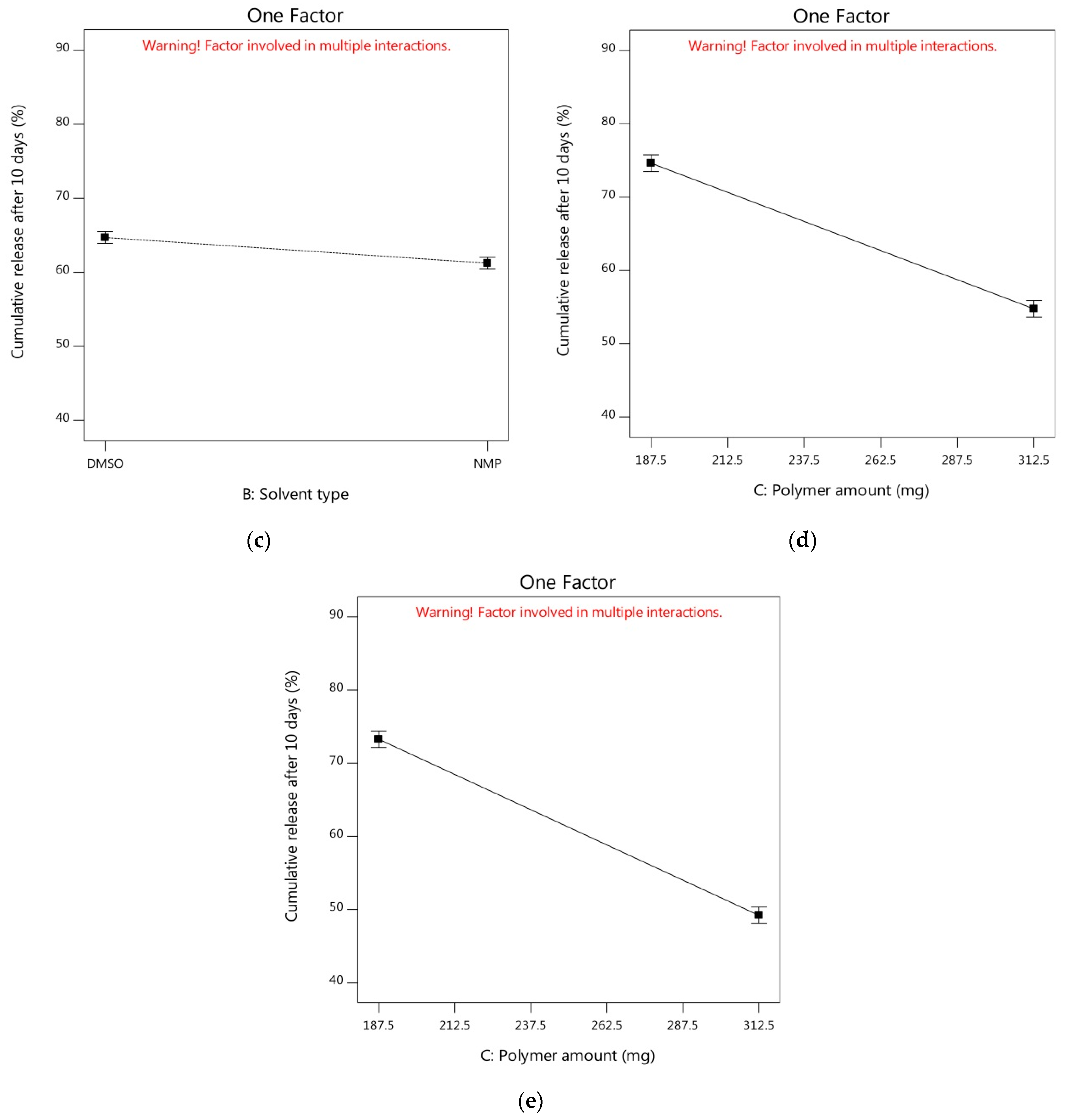
3.2.2. Effect of Independent Factors on Y2 Response
3.3. Optimization Process and Statistical Validation
3.4. Characterization of Optimized ISGI Formulation
3.4.1. SEM Study
3.4.2. FTIR Study
3.4.3. DSC Study
3.4.4. Influence of Oral Alogliptin Solution and Subcutaneous Optimized ISGI Formulation on Blood Glucose Level of Rats
4. Conclusions
Supplementary Materials
Author Contributions
Funding
Institutional Review Board Statement
Informed Consent Statement
Data Availability Statement
Conflicts of Interest
References
- World Health Organization (WHO). Diabetes. 2021. Available online: https://www.who.int/news-room/fact-sheets/detail/diabetes (accessed on 18 July 2022).
- World Health Organization (WHO). Global Report on Diabetes. 2016. Available online: https://www.who.int/publications/i/item/9789241565257 (accessed on 18 July 2022).
- Inzucchi, S.E.; Bergenstal, R.M.; Buse, J.B.; Diamant, M.; Ferrannini, E.; Nauck, M.; Peters, A.L.; Tsapas, A.; Wender, R.; Matthews, D.R. Management of Hyperglycaemia in Type 2 Diabetes, 2015: A Patient-Centred Approach. Update to a Position Statement of the American Diabetes Association and the European Association for the Study of Diabetes. Diabetologia 2015, 58, 429–442. [Google Scholar] [CrossRef] [PubMed]
- Davies, M.J.; D’Alessio, D.A.; Fradkin, J.; Kernan, W.N.; Mathieu, C.; Mingrone, G.; Rossing, P.; Tsapas, A.; Wexler, D.J.; Buse, J.B. Management of Hyperglycaemia in Type 2 Diabetes, 2018. A Consensus Report by the American Diabetes Association (ADA) and the European Association for the Study of Diabetes (EASD). Diabetologia 2018, 61, 2461–2498. [Google Scholar] [CrossRef] [PubMed]
- Chen, X.; He, Z.; Zhou, Z.; Yang, T.; Zhang, X.; Yang, Y.; Duan, W.; Zhou, S. Clinical Pharmacology of Dipeptidyl Peptidase 4 Inhibitors Indicated for the Treatment of Type 2 Diabetes Mellitus. Clin. Exp. Pharmacol. Physiol. 2015, 42, 999–1024. [Google Scholar] [CrossRef]
- Gomez-Peralta, F.; Abreu, C.; Gomez-Rodriguez, S.; Barranco, R.J.; Umpierrez, G.E. Safety and Efficacy of DPP4 Inhibitor and Basal Insulin in Type 2 Diabetes: An Updated Review and Challenging Clinical Scenarios. Diabetes Ther. 2018, 9, 1775–1789. [Google Scholar] [CrossRef] [PubMed]
- Food and Drug Administration (FDA). Approval Package for Nesina (Alogliptin) Tablets. 2003. Available online: https://www.accessdata.fda.gov/drugsatfda_docs/nda/2013/022271Orig1s000TOC.cfm (accessed on 18 July 2022).
- Food and Drug Administration (FDA). Approval Package for Kazano (Alogliptin and Metformin Hydrochloride) Tablets. 2013. Available online: https://www.accessdata.fda.gov/drugsatfda_docs/nda/2013/203414Orig1s000TOC.cfm (accessed on 18 July 2022).
- Food and Drug Administration (FDA). Approval Package for Oseni (Alogliptin and Pioglitazone) Tablets. 2013. Available online: https://www.accessdata.fda.gov/drugsatfda_docs/nda/2013/022426Orig1s000TOC.cfm (accessed on 18 July 2022).
- Kaku, K.; Kisanuki, K.; Shibata, M.; Oohira, T. Benefit-Risk Assessment of Alogliptin for the Treatment of Type 2 Diabetes Mellitus. Drug Saf. 2019, 42, 1311–1327. [Google Scholar] [CrossRef]
- Madhav, N.V.; Shakya, A.K.; Shakya, P.; Singh, K. Orotransmucosal Drug Delivery Systems: A Review. J. Control. Release 2009, 140, 2–11. [Google Scholar] [CrossRef] [PubMed]
- Wen, H.; Jung, H.; Li, X. Drug Delivery Approaches in Addressing Clinical Pharmacology-Related Issues: Opportunities and Challenges. AAPS J. 2015, 17, 1327–1340. [Google Scholar] [CrossRef]
- Kaoud, R.M.; Khalaf, A.H.; Alkrad, J.A. Development of Sustained Release Alogliptin Tablets Using a Multiparticulates System Made of Bentonite. Int. J. Appl. Pharm. 2021, 13, 68–73. [Google Scholar] [CrossRef]
- Chaudhary, K.; Patel, M.M.; Mehta, P.J. Long-Acting Injectables: Current Perspectives and Future Promise. Crit. Rev. Ther. Drug Carrier Syst. 2019, 36, 137–181. [Google Scholar] [CrossRef]
- Ibrahim, T.M.; El-Megrab, N.A.; El-Nahas, H.M. An Overview of PLGA In-Situ Forming Implants Based on Solvent Exchange Technique: Effect of Formulation Components and Characterization. Pharm. Dev. Technol. 2021, 26, 709–728. [Google Scholar] [CrossRef]
- Joiner, J.B.; King, J.L.; Shrivastava, R.; Howard, S.A.; Cottrell, M.L.; Kashuba, A.D.; Dayton, P.A.; Benhabbour, S.R. Effects of Injection Volume and Route of Administration on Dolutegravir In Situ Forming Implant Pharmacokinetics. Pharmaceutics 2022, 14, 615. [Google Scholar] [CrossRef]
- Suri, S.S.; Fenniri, H.; Singh, B. Nanotechnology-Based Drug Delivery Systems. J. Occup. Med. Toxicol. 2007, 2, 16. [Google Scholar] [CrossRef] [PubMed]
- Elzoghby, A.O.; Samy, W.M.; Elgindy, N.A. Albumin-Based Nanoparticles as Potential Controlled Release Drug Delivery Systems. J. Control. Release 2012, 157, 168–182. [Google Scholar] [CrossRef]
- Van Hemelryck, S.; Wens, R.; Van Poppel, H.; Luijks, M.; Shahidi, K.; Marczak, M.; Kahnt, A.; Holm, R.; Mannaert, E.; Langguth, P. In Vitro Evaluation of Poly(lactide-Co-glycolide) In Situ Forming Gels for Bedaquiline Fumarate Salt and Pharmacokinetics Following Subcutaneous Injection in Rats. Pharmaceutics 2021, 13, 1231. [Google Scholar] [CrossRef]
- Kempe, S.; Mäder, K. In Situ Forming Implants—An Attractive Formulation Principle for Parenteral Depot Formulations. J. Control. Release 2021, 161, 668–679. [Google Scholar] [CrossRef]
- Li, Z.; Mu, H.; Larsen, S.W.; Jensen, H.; Østergaard, J. An In Vitro Gel-Based System for Characterizing and Predicting the Long-Term Performance of PLGA In Situ Forming Implants. Int. J. Pharm. 2021, 609, 121183. [Google Scholar] [CrossRef]
- Benhabbour, S.R.; Kovarova, M.; Jones, C.; Copeland, D.J.; Shrivastava, R.; Swanson, M.D.; Sykes, C.; Ho, P.T.; Cottrell, M.L.; Sridharan, A.; et al. Ultra-Long-Acting Tunable Biodegradable and Removable Controlled Release Implants for Drug Delivery. Nat. Commun. 2019, 10, 4324. [Google Scholar] [CrossRef] [PubMed]
- Enayati, M.; Mobedi, H.; Hojjati-Emami, S.; Mirzadeh, H.; Jafari-Nodoushan, M. In Situ Forming PLGA Implant for 90 Days Controlled Release of Leuprolide Acetate for Treatment of Prostate Cancer. Polym. Adv. Technol. 2017, 28, 867–875. [Google Scholar] [CrossRef]
- Ibrahim, T.M.; Eissa, R.G.; El-Megrab, N.A.; El-Nahas, H.M. Morphological Characterization of Optimized Risperidone-Loaded In-Situ Gel Forming Implants with Pharmacokinetic and Behavioral Assessments in Rats. J. Drug Deliv. Sci. Technol. 2021, 61, 102195. [Google Scholar] [CrossRef]
- Ahmed, T.A.; Ibrahim, H.M.; Samy, A.M.; Kaseem, A.; Nutan, M.T.H.; Hussain, M.D. Biodegradable Injectable In Situ Implants and Microparticles for Sustained Release of Montelukast: In Vitro Release, Pharmacokinetics, and Stability. AAPS PharmSciTech. 2014, 15, 772–780. [Google Scholar] [CrossRef]
- Bode, C.; Kranz, H.; Siepmann, F.; Siepmann, J. In-Situ Forming PLGA Implants for Intraocular Dexamethasone Delivery. Int. J. Pharm. 2018, 548, 337–348. [Google Scholar] [CrossRef]
- Ahmed, T.A.; Alharby, Y.A.; El-Helw, A.M.; Hosny, K.M.; El-Say, K.M. Depot Injectable Atorvastatin Biodegradable In Situ Gel: Development, Optimization, In Vitro, and In Vivo Evaluation. Drug Des. Devel. Ther. 2016, 10, 405–415. [Google Scholar] [CrossRef] [PubMed]
- Kamali, H.; Khodaverdi, E.; Hadizadeh, F.; Mohajeri, S.A.; Nazari, A.; Jafarian, A.H. Comparison of In-Situ Forming Composite Using PLGA-PEG-PLGA with In-Situ Forming Implant Using PLGA: In-Vitro, Ex-Vivo, and In-Vivo Evaluation of Naltrexone Release. J. Drug Deliv. Sci. Technol. 2019, 50, 188–200. [Google Scholar] [CrossRef]
- Yu, Y.; Ngo, H.V.; Jin, G.; Tran, P.H.; Tran, T.T.; Nguyen, V.H.; Park, C.; Lee, B. Double-Controlled Release of Poorly Water-Soluble Paliperidone Palmitate from Self-Assembled Albumin-Oleic Acid Nanoparticles in PLGA In Situ Forming Implant. Int. J. Nanomedicine 2021, 16, 2819–2831. [Google Scholar] [CrossRef] [PubMed]
- Berger, J.; Reist, M.; Mayer, J.M.; Felt, O.; Peppas, N.A.; Gurny, R. Structure and Interactions in Covalently and Ionically Crosslinked Chitosan Hydrogels for Biomedical Applications. Eur. J. Pharm. Biopharm. 2004, 57, 19–34. [Google Scholar] [CrossRef]
- Yaghmur, A.; Rappolt, M.; Larsen, S. In Situ Forming Drug Delivery Systems Based on Lyotropic Liquid Crystalline Phases: Structural Characterization and Release Properties. J. Drug Deliv. Sci. Technol. 2013, 23, 325–332. [Google Scholar] [CrossRef]
- Ahmed, T.A.; Hussain, Z. Preparation of Parenteral In Situ Gel Formulation Based on Smart PLGA Polymer: Concepts to Decrease Initial Drug Burst and Extend Drug Release. In Biodegradable Polymers: Recent Developments and New perspectives; Rohman, G., Ed.; IAPC Publishing: Zagreb, Croatia, 2010; pp. 315–336. [Google Scholar]
- Tang, H.; Zhao, W.; Yu, J.; Li, Y.; Zhao, C. Recent Development of pH-Responsive Polymers for Cancer Nanomedicine. Molecules. 2019, 24, 4. [Google Scholar] [CrossRef]
- Agossa, K.; Delepierre, A.; Lizambard, M.; Delcourt-Debruyne, E.; Siepmann, J.; Siepmann, F.; Neut, C. In-Situ Forming Implants for Dual Controlled Release of Chlorhexidine and Ibuprofen for Periodontitis Treatment: Microbiological and Mechanical Key Properties. J. Drug Deliv. Sci. Technol. 2020, 60, 101956. [Google Scholar] [CrossRef]
- Bisht, R.; Jaiswal, J.K.; Oliver, V.F.; Eurtivong, C.; Reynisson, J.; Rupenthal, I.D. Preparation and Evaluation of PLGA Nanoparticle-Loaded Biodegradable Light-Responsive Injectable Implants as a Promising Platform for Intravitreal Drug Delivery. J. Drug Deliv. Sci. Technol. 2017, 40, 142–156. [Google Scholar] [CrossRef]
- Thakur, R.R.; McMillan, H.L.; Jones, D.S. Solvent Induced Phase Inversion-Based In Situ Forming Controlled Release Drug Delivery Implants. J. Control. Release 2014, 176, 8–23. [Google Scholar] [CrossRef]
- Sun, Y.; Jensen, H.; Petersen, N.J.; Larsen, S.W.; Østergaard, J. Phase Separation of In Situ Forming Poly (Lactide-Co-Glycolide Acid) Implants Investigated Using a Hydrogel-Based Subcutaneous Tissue Surrogate and UV–Vis Imaging. J. Pharm. Biomed. Anal. 2017, 145, 682–691. [Google Scholar] [CrossRef] [PubMed]
- Khaing, E.M.; Mahadlek, J.; Okonogi, S.; Phaechamud, T. Lime Peel Oil–Incorporated Rosin-Based Antimicrobial In Situ Forming Gel. Gels 2022, 8, 169. [Google Scholar] [CrossRef]
- Silva, G.R.; Almeida, A.P.; Fernandes-Cunha, G.M.; Castro, B.F.; Vieira, L.C.; Fulgêncio, G.O.; Silva-Cunha, A.; Fialho, S.L. Safety and In Vivo Release of Fluconazole-Loaded Implants in Rabbits’ Eyes. Drug Deliv. Sci. Technol. 2016, 35, 323–326. [Google Scholar] [CrossRef]
- Elmowafy, E.M.; Tiboni, M.; Soliman, M.E. Biocompatibility, Biodegradation and Biomedical Applications of Poly(Lactic Acid)/Poly(Lactic-Co-Glycolic Acid) Micro and Nanoparticles. J. Pharm. Investig. 2019, 49, 347–380. [Google Scholar] [CrossRef]
- Kapoor, D.N.; Katare, O.P.; Dhawan, S. In Situ Forming Implant for Controlled Delivery of an Anti-HIV Fusion Inhibitor. Int. J. Pharm. 2012, 426, 132–143. [Google Scholar] [CrossRef]
- Wang, L.; Kleiner, L.; Venkatraman, S. Structure Formation in Injectable Poly(Lactide–Co-Glycolide) Depots. J. Control. Release. 2003, 90, 345–354. [Google Scholar] [CrossRef]
- Chuenbarn, T.; Sirirak, J.; Tuntarawongsa, S.; Okonogi, S.; Phaechamud, T. Design and Comparative Evaluation of Vancomycin HCl-Loaded Rosin-Based In Situ Forming Gel and Microparticles. Gels 2022, 8, 231. [Google Scholar] [CrossRef]
- Patel, R.B.; Solorio, L.; Wu, H.; Krupka, T.; Exner, A.A. Effect of Injection Site on In Situ Implant Formation and Drug Release In Vivo. J. Control. Release 2010, 147, 350–358. [Google Scholar] [CrossRef]
- Malakar, J.; Nayak, A.K.; Goswami, S. Use of Response Surface Methodology in the Formulation and Optimization of Bisoprolol Fumarate Matrix Tablets for Sustained Drug Release. ISRN Pharmaceutics 2012, 2012, 730624. [Google Scholar] [CrossRef][Green Version]
- Wong, W.H.; Lee, W.X.; Ramanan, R.N.; Tee, L.H.; Kong, K.W.; Galanakis, C.M.; Sun, J.; Prasad, K.N. Two Level Half Factorial Design for the Extraction of Phenolics, Flavonoids and Antioxidants Recovery from Palm Kernel By-Product. Ind. Crops Prod. 2015, 63, 238–248. [Google Scholar] [CrossRef]
- Alara, O.; Abdurahman, N.; Olalere, O. Ethanolic Extraction of Flavonoids, Phenolics and Antioxidants from Vernonia Amygdalina Leaf Using Two-Level Factorial Design. J. King Saud Univ. Sci. 2020, 32, 7–16. [Google Scholar] [CrossRef]
- Politis, S.N.; Colombo, P.; Colombo, G.M.; Rekkas, D. Design of Experiments (DoE) in Pharmaceutical Development. Drug Dev. Ind. Pharm. 2017, 43, 889–901. [Google Scholar] [CrossRef] [PubMed]
- Kastner, E.; Kaur, R.; Lowry, D.; Moghaddam, B.; Wilkinson, A.; Perrie, Y. High-Throughput Manufacturing of Size-Tuned Liposomes by a New Microfluidics Method Using Enhanced Statistical Tools for Characterization. Int. J. Pharm. 2014, 477, 361–368. [Google Scholar] [CrossRef] [PubMed]
- Hani, U.; Osmani, R.A.; Alqahtani, A.; Ghazwani, M.; Rahamathulla, M.; Almordy, S.A.; Alsaleh, H.A. 23 Full Factorial Design for Formulation and Evaluation of Floating Oral In Situ Gelling System of Piroxicam. J. Pharm. Innov. 2021, 16, 528–536. [Google Scholar] [CrossRef]
- Abbas, Z.; Marihal, S. Gellan Gum-Based Mucoadhesive Microspheres of Almotriptan for Nasal Administration: Formulation Optimization Using Factorial Design, Characterization, and In Vitro Evaluation. J. Pharm. Bioallied. Sci. 2014, 6, 267. [Google Scholar] [CrossRef]
- Shehata, T.M.; Nair, A.B.; Al-Dhubiab, B.E.; Shah, J.; Jacob, S.; Alhaider, I.A.; Attimarad, M.; Elsewedy, H.S.; Ibrahim, M.M. Vesicular Emulgel Based System for Transdermal Delivery of Insulin: Factorial Design and In Vivo Evaluation. Appl. Sci. 2020, 10, 5341. [Google Scholar] [CrossRef]
- Teja, S.P.; Damodharan, N. 23 Full Factorial Model for Particle Size Optimization of Methotrexate Loaded Chitosan Nanocarriers: A Design of Experiments (DoE) Approach. Biomed Res. Int. 2018, 2018, 7834159. [Google Scholar] [CrossRef]
- Abouelatta, S.M.; Aboelwafa, A.A.; El-Gazayerly, O.N. Gastroretentive Raft Liquid Delivery System as a New Approach to Release Extension for Carrier-Mediated Drug. Drug Deliv. 2018, 25, 1161–1174. [Google Scholar] [CrossRef]
- Ervina, M.; Lie, H.S.; Diva, J.; Caroline; Tewfik, S.; Tewfik, I. Optimization of Water Extract of Cinnamomum Burmannii Bark to Ascertain Its in Vitro Antidiabetic and Antioxidant Activities. Biocatal. Agric. Biotechnol. 2019, 19, 101152. [Google Scholar] [CrossRef]
- Patil, S.B.; Sawant, K.K. Development, Optimization and In Vitro Evaluation of Alginate Mucoadhesive Microspheres of Carvedilol for Nasal Delivery. J. Microencapsul. 2009, 26, 432–443. [Google Scholar] [CrossRef]
- Abdel-Salam, F.S.; Elkheshen, S.A.; Mahmoud, A.A.; Basalious, E.B.; Amer, M.S.; Mostafa, A.A.; Elkasabgy, N.A. In-Situ Forming Chitosan Implant-Loaded with Raloxifene Hydrochloride and Bioactive Glass Nanoparticles for Treatment of Bone Injuries: Formulation and Biological Evaluation in Animal Model. Int. J. Pharm. 2020, 580, 119213. [Google Scholar] [CrossRef] [PubMed]
- Sarkar, P.; Bhattacharya, S.; Pal, T.P. Application of Statistical Design to Evaluate Critical Process Parameters and Optimize Formulation Technique of Polymeric Nanoparticles. Royal Soc. Open Sci. 2019, 6, 1–23. [Google Scholar] [CrossRef]
- Kumar, L.; Reddy, M.S.; Managuli, R.S.; Pai, K.G. Full Factorial Design for Optimization, Development and Validation of HPLC Method to Determine Valsartan in Nanoparticles. Saudi Pharm. J. 2015, 23, 549–555. [Google Scholar] [CrossRef] [PubMed]
- Abdulla, N.A.; Balata, G.F.; El-ghamry, H.A.; Gomaa, E. Intranasal Delivery of Clozapine Using Nanoemulsion-Based In-Situ Gels: An Approach for Bioavailability Enhancement. Saudi Pharm. J. 2021, 29, 1466–1485. [Google Scholar] [CrossRef] [PubMed]
- Rowe, R.C.; Sheskey, P.J.; Quinn, M.E. Handbook of Pharmaceutical Excipients, 6th ed.; Pharmaceutical Press: London, UK, 2009. [Google Scholar]
- European Medicines Agency (EMA). Vipidia—CHMP Assessment Report. 2013. Available online: https://www.ema.europa.eu/en/documents/assessment-report/vipidia-epar-public-assessment-report_en.pdf (accessed on 18 July 2022).
- Vasanthi, R.; Noori, K.; Sundar, P.S.; Raja, M.A.; Dutt, K.R.; Rao, K.N.V.; Mahesh, M. Development of Rapid Stability Indicating method for Simultaneous Estimation of Alogliptin and Pioglitazone in Bulk and Combined Dosage Form by RP-Hplc Method. Indo. Am. J. Pharm. 2017, 3, 234–244. [Google Scholar]
- Chanshetti, U.; Shelke, V.; Jadhav, S.; Shankarwar, S.; Chondhekar, T.; Shankarwar, A.; Sudarsan, V.; Jogad, M. Density and Molar Volume Studies of Phosphate Glasses. Facta. Univ. Ser. Phys. Chem. Tech. 2011, 9, 29–36. [Google Scholar] [CrossRef]
- Camargo, J.A.; Sapin, A.; Nouvel, C.; Daloz, D.; Leonard, M.; Bonneaux, F.; Six, J.L.; Maincent, P. Injectable PLA-Based In Situ Forming Implants for Controlled Release of Ivermectin a BCS Class II Drug: Solvent Selection Based on Physico-Chemical Characterization. Drug Dev. Ind. Pharm. 2013, 39, 146–155. [Google Scholar] [CrossRef]
- Kim, Y.; Beck-Broichsitter, M.; Banga, A. Design and Evaluation of a Poly(Lactide-Co-GlyColide)-Based In Situ Film-Forming System for Topical Delivery of Trolamine Salicylate. Pharmaceutics 2019, 11, 409. [Google Scholar] [CrossRef]
- Garner, J.; Skidmore, S.; Hadar, J.; Park, H.; Park, K.; Jhon, Y.K.; Qin, B.; Wang, Y. Analysis of Semi-Solvent Effects for PLGA Polymers. Int. J. Pharm. 2021, 602, 120627. [Google Scholar] [CrossRef]
- Voigt, V. Biodegradable In Situ Forming Systems and Sponge-Like Implants. Ph.D. Thesis, Freie Universität Berlin, Berlin, Germany, 2006. Available online: http://www.diss.fuberlin.de/2006/284/ (accessed on 18 July 2022).
- Patki, M.; Palekar, S.; Reznik, S.; Patel, K. Self-Injectable Extended Rrelease Formulation of Remdesivir (SelfExRem): A Potential Formulation Alternative for COVID-19 Treatment. Int. J. Pharm. 2021, 597, 120329. [Google Scholar] [CrossRef]
- Lertsuphotvanit, N.; Santimaleeworagun, W.; Narakornwit, W.; Chuenbarn, T.; Mahadlek, J.; Chantadee, T.; Phaechamud, T. Borneol-Based Antisolvent-Induced In Situ Forming Matrix for Crevicular Pocket Delivery of Vancomycin Hydrochloride. Int. J. Pharm. 2022, 617, 121603. [Google Scholar] [CrossRef] [PubMed]
- Parent, M.; Nouvel, C.; Koerber, M.; Sapin, A.; Maincent, P.; Boudier, A. PLGA In Situ Implants Formed by Phase Inversion: Critical Physicochemical Parameters to Modulate Drug Release. J. Control. Release 2013, 172, 292–304. [Google Scholar] [CrossRef] [PubMed]
- Gad, H.A. Simvastatin In-Situ Forming Implants: Preparation and Characterization. Int. J. Pharm. Pharm. Res. 2016, 7, 44–57. [Google Scholar]
- Zhang, Q.; Fassihi, R. Release Rate Determination from In Situ Gel Forming PLGA Implant: A Novel ‘Shape-Controlled Basket in Tube’ Method. J. Pharm. Pharmacol. 2020, 72, 1038–1048. [Google Scholar] [CrossRef] [PubMed]
- Sheshala, R.; Hong, G.C.; Yee, W.P.; Meka, V.S.; Thakur, R.R.S. In Situ Forming Phase-Inversion Implants for Sustained Ocular Delivery of Triamcinolone Acetonide. Drug Deliv. Transl. Res. 2019, 9, 534–542. [Google Scholar] [CrossRef]
- Ibrahim, T.M.; El-Megrab, N.A.; El-Nahas, H.M. Optimization of Injectable PLGA In-Situ Forming Implants of Anti-Psychotic Risperidone via Box-Behnken Design. J. Drug Deliv. Sci. Technol. 2020, 58, 101803. [Google Scholar] [CrossRef]
- Lu, Y.; Yu, Y.; Tang, X. Sucrose Acetate Isobutyrate as an In Situ Forming System for Sustained Risperidone Release. J. Pharm. Sci. 2007, 96, 3252–3262. [Google Scholar] [CrossRef]
- Koocheki, S.; Madaeni, S.S.; Niroomandi, P. Development of an Enhanced Formulation for Delivering Sustained Release of Buprenorphine Hydrochloride. Saudi Pharm. J. 2011, 19, 255–262. [Google Scholar] [CrossRef]
- Kilicarslan, M.; Koerber, M.; Bodmeier, R. In Situ Forming Implants for the Delivery of Metronidazole to Periodontal Pockets: Pormulation and Drug Release Studies. Drug Dev. Ind. Pharm. 2014, 40, 619–624. [Google Scholar] [CrossRef]
- Turino, L.N.; Mariano, R.N.; Boimvaser, S.; Luna, J.A. In Situ-Formed Microparticles of PLGA from O/W Emulsions Stabilized with PVA: Encapsulation and Controlled Release of Progesterone. J. Pharm. Innov. 2014, 9, 132–140. [Google Scholar] [CrossRef]
- Jadhav, S.; Reddy, P.; Narayanan, K.; Bhosale, P. Development of RP-HPLC, Stability Indicating Method for Degradation Products of Linagliptin in Presence of Metformin HCl by Applying 2 Level Factorial Design; and Identification of Impurity-VII, VIII and IX and Synthesis of Impurity-VII. Sci. Pharm. 2017, 85, 25. [Google Scholar] [CrossRef]
- Nair, A.; Shah, J.; Al-Dhubiab, B.; Jacob, S.; Patel, S.; Venugopala, K.; Morsy, M.; Gupta, S.; Attimarad, M.; Sreeharsha, N.; et al. Clarithromycin Solid Lipid Nanoparticles for Topical Ocular Therapy: Optimization, Evaluation and In Vivo Studies. Pharmaceutics 2021, 13, 523. [Google Scholar] [CrossRef] [PubMed]
- Quarta, E.; Sonvico, F.; Bettini, R.; De Luca, C.; Dotti, A.; Catalucci, D.; Iafisco, M.; Degli Esposti, L.; Colombo, G.; Trevisi, G.; et al. Inhalable Microparticles Embedding Calcium Phosphate Nanoparticles for Heart Targeting: The Formulation Experimental Design. Pharmaceutics 2021, 13, 1825. [Google Scholar] [CrossRef]
- Habib, B.A.; Sayed, S.; Elsayed, G.M. Enhanced Transdermal Delivery of Ondansetron Using Nanovesicular Systems: Fabrication, Characterization, Optimization and Ex-Vivo Permeation Study-Box-Cox Transformation Practical Example. Eur. J. Pharm. Sci. 2018, 115, 352–361. [Google Scholar] [CrossRef]
- Singh, S.; Singla, Y.P.; Aroa, S. Statistical, Diagnostic and Response Surface Analysis of Nefopam Hydrochloride Nanospheres Using 35 Box-Behnken Design. Int. J. Pharm. Pharm. Sci. 2015, 7, 89–101. [Google Scholar]
- Dave, K.; Desai, S. Factorial Design for Development of a High-Performance Thin-Layer Chromatography Method for the Simultaneous Estimation of Abacavir Sulfate, Lamivudine Hydrochloride, and Dolutegravir Sodium. J. Planar Chromatogr.—Mod. TLC 2018, 31, 489–495. [Google Scholar] [CrossRef]
- Sathyamoorthy, N.; Magharla, D.; Chintamaneni, P.; Vankayalu, S. Optimization of Paclitaxel Loaded Poly (ε-Caprolactone) Nanoparticles Using Box Behnken Design. Beni-Suef Univ. J. Basic Appl. Sci. 2017, 6, 362–373. [Google Scholar] [CrossRef]
- Maddiboyina, B.; Jhawat, V.; Nakkala, R.K.; Desu, P.K.; Gandhi, S. Design Expert Assisted Formulation, Characterization and Optimization of Microemulsion Based Solid Lipid Nanoparticles of Repaglinide. Prog. Biomater. 2021, 10, 309–320. [Google Scholar] [CrossRef]
- Hosny, K.M.; Rizg, W.Y.; Khallaf, R.A. Preparation and Optimization of In Situ Gel Loaded with Rosuvastatin-Ellagic Acid Nanotransfersomes to Enhance the Anti-Proliferative Activity. Pharmaceutics. 2020, 12, 263. [Google Scholar] [CrossRef]
- Shah, M.; Garg, S.K. Application of Full Factorial Design in Optimization of Solvent-Free Microwave Extraction of Ginger Essential Oil. J. Eng. 2014, 2014, 828606. [Google Scholar] [CrossRef]
- Roy, H.; Shaik, A. Box-Behnken Design for Optimization of Formulation Variables for Fast Dissolving Tablet of Urapidil. Asian, J. Pharm. 2018, 12, S954. [Google Scholar] [CrossRef]
- Dehghan, S.; Aboofazeli, R.; Avadi, M.; Khaksa, R. Formulation Optimization of Nifedipine Containing Microspheres Using Factorial Design. Afr. J. Pharm. Pharmacol. 2010, 4, 346–354. [Google Scholar]
- Kamali, H.; Khodaverdi, E.; Hadizadeh, F.; Yazdian-Robati, R.; Haghbin, A.; Zohuri, G. An In-Situ Forming Implant Formulation of Naltrexone with Minimum Initial Burst Release Using Mixture of PLGA Copolymers and Ethyl Heptanoate as an Additive: In-Vitro, Ex-Vivo, and In-Vivo Release Evaluation. J. Drug Deliv. Sci. Technol. 2018, 47, 95–105. [Google Scholar] [CrossRef]
- Wang, X.; Burgess, D.J. Drug Release from In Situ Forming Implants and Advances in Release Testing. Adv. Drug Deliv. Rev. 2021, 178, 113912. [Google Scholar] [CrossRef] [PubMed]
- Zhang, X.; Yang, L.; Zhang, C.; Liu, D.; Meng, S.; Zhang, W.; Meng, S. Effect of Polymer Permeability and Solvent Removal Rate on In Situ Forming Implants: Drug Burst Release and Microstructure. Pharmaceutics 2019, 11, 520. [Google Scholar] [CrossRef] [PubMed]
- Dhekale, N.H.; Bindu, K.H.; Kirankumar, K.Y.; Gore, A.H.; Anbhule, P.V.; Kolekar, G.B. Development and Optimization of a Multivariate RP-UPLC Method for Determination of Telmisartan and its Related Substances by Applying a Two-Level Factorial Design Approach: Application to Quality Control Study. Anal. Methods 2014, 6, 5168. [Google Scholar] [CrossRef]
- Zhang, X.; Zhang, C.; Zhang, W.; Meng, S.; Liu, D.; Wang, P.; Guo, J.; Li, J.; Guan, Y.; Yang, D. Feasibility of Poly (E-Caprolactone-Co-DL-Lactide) as a Biodegradable Material for In Situ Forming Implants: Evaluation of Drug Release and In Vivo Degradation. Drug Dev. Ind. Pharm. 2013, 41, 342–352. [Google Scholar] [CrossRef]
- Hosny, K.M.; Rizg, W.Y. Quality by Design Approach to Optimize the Formulation Variables Influencing the Characteristics of Biodegradable Intramuscular In-Situ Gel Loaded with Alendronate Sodium for Osteoporosis. PLoS ONE 2018, 13, 1–11. [Google Scholar] [CrossRef]
- Kumari, N.; Pathak, K. Dual Controlled Release, In Situ Gelling Periodontal Sol of Metronidazole Benzoate and Serratiopeptidase: Statistical Optimization and Mechanistic Evaluation. Curr. Drug Deliv. 2012, 9, 74–84. [Google Scholar] [CrossRef]
- Eldeeb, A.E.; Salah, S.; Mabrouk, M.; Amer, M.S.; Elkasabgy, N.A. Dual-Drug Delivery via Zein In Situ Forming Implants Augmented with Titanium-Doped Bioactive Glass for Bone Regeneration: Preparation, In Vitro Characterization, and In Vivo Evaluation. Pharmaceutics 2022, 14, 274. [Google Scholar] [CrossRef] [PubMed]
- Hiremath, J.G.; Khamar, N.S.; Palavalli, S.G.; Rudani, C.G.; Aitha, R.; Mura, P. Paclitaxel Loaded Carrier Based Biodegradable Polymeric Implants: Preparation and In Vitro Characterization. Saudi Pharm. J. 2013, 21, 85–91. [Google Scholar] [CrossRef] [PubMed]
- Rahimi, M.; Mobedi, H.; Behnamghader, A. In Situ-Forming PLGA Implants Loaded with Leuprolide Acetate/B-Cyclodextrin Complexes: Mathematical Modelling and Degradation. J. Microencapsul. 2016, 33, 355–364. [Google Scholar] [CrossRef] [PubMed]
- Fialho, S.L.; Cunha, A.D.S. Manufacturing Techniques of Biodegradable Implants Intended for Intraocular Application. Drug Deliv. 2005, 12, 109–116. [Google Scholar] [CrossRef]
- Ibrahim, H.M.; Ahmed, T.A.; Hussain, M.D.; Rahman, Z.; Samy, A.M.; Kaseem, A.A.; Nutan, M.T. Development of Meloxicam In Situ Implant Formulation by Quality by Design Principle. Drug Dev. Ind. Pharm. 2014, 40, 66–73. [Google Scholar] [CrossRef]
- Ayyoob, M.; Kim, Y. Effect of Chemical Composition Variant and Oxygen Plasma Treatments on the Wettability of PLGA Thin Films, Synthesized by Direct Copolycondensation. Polymers 2018, 10, 1132. [Google Scholar] [CrossRef]
- Chen, Y.; Li, Y.; Shen, W.; Li, K.; Yu, L.; Chen, Q.; Ding, J. Controlled Release of Liraglutide Using Thermogelling Polymers in Treatment of Diabetes. Sci. Rep. 2016, 6, 31593. [Google Scholar] [CrossRef]
















| Independent Factors | Unit | Symbol | Type | Actual Levels (Coded) | |
|---|---|---|---|---|---|
| Low (−1) | High (+1) | ||||
| Lactide concentration in PLGA | % | A | Numeric | 65 | 85 |
| Type of solvent | - | B | Categoric | DMSO | NMP |
| PLGA amount | mg | C | Numeric | 187.5 | 312.5 |
| Dependent responses | Unit | Symbol | Goal | ||
| Burst release after 6 h | % | Y1 | Minimize | ||
| Cumulative release after 10 days | % | Y2 | Maximize | ||
| Formulation * | Actual Levels | Coded Levels | ||||
|---|---|---|---|---|---|---|
| A (%) | B | C (mg) | A (%) | B | C (mg) | |
| F1 | 65 | NMP | 312.5 | −1 | +1 | +1 |
| F2 | 85 | DMSO | 312.5 | +1 | −1 | +1 |
| F3 | 65 | NMP | 312.5 | −1 | +1 | +1 |
| F4 | 85 | DMSO | 187.5 | +1 | −1 | −1 |
| F5 | 85 | NMP | 312.5 | +1 | +1 | +1 |
| F6 | 65 | DMSO | 187.5 | −1 | −1 | −1 |
| F7 | 65 | NMP | 187.5 | −1 | +1 | −1 |
| F8 | 65 | DMSO | 187.5 | −1 | −1 | −1 |
| F9 | 65 | DMSO | 312.5 | −1 | −1 | +1 |
| F10 | 85 | DMSO | 312.5 | +1 | −1 | +1 |
| F11 | 85 | NMP | 187.5 | +1 | +1 | −1 |
| F12 | 85 | DMSO | 187.5 | +1 | −1 | −1 |
| F13 | 65 | DMSO | 312.5 | −1 | −1 | +1 |
| F14 | 65 | NMP | 187.5 | −1 | +1 | −1 |
| F15 | 85 | NMP | 312.5 | +1 | +1 | +1 |
| F16 | 85 | NMP | 187.5 | +1 | +1 | −1 |
| Solvent | Viscosity * (cP) | Molecular Volume ** (mL/mole) | Solubility of Alogliptin in Solvents (mg/mL) | Ability of Solvents to Dissolve PLGA (85:15) |
|---|---|---|---|---|
| Water-miscible solvents | ||||
| NMP | 1.65 | 96.25 | 177.67 ± 1.54 | Good |
| BA | 6.00 | 103.98 | 170.12 ± 0.98 | Good |
| DMSO | 2.00 | 71.03 | 125.45 ± 0.39 | Good |
| PEG 400 | 90.00 | 336.28–371.68 | 140.33 ± 1.38 | Poor |
| PG | 58.10 | 73.16 | 42.51 ± 1.01 | Poor |
| Non-miscible solvents | ||||
| EA | 0.423 | 97.68 | 1.12 ± 0.41 | Good |
| TA | 17.40 | 188.11 | 0.67 ± 0.19 | Poor |
| BB | 10.90 | 189.51 | 0.25 ± 0.08 | Poor |
| Formulation | Y1 (%) | Y2 (%) | ||||
|---|---|---|---|---|---|---|
| Actual | Predicted | Residual | Actual | Predicted | Residual | |
| F1 | 6.28 | 7.55 | −1.27 | 53.14 | 54.07 | −0.93 |
| F2 | 5.30 | 7.80 | −2.50 | 51.92 | 52.85 | −0.93 |
| F3 | 8.81 | 7.55 | 1.27 | 54.99 | 54.07 | 0.93 |
| F4 | 52.55 | 53.19 | −0.64 | 69.35 | 70.30 | −0.95 |
| F5 | 3.29 | 4.55 | −1.26 | 43.08 | 44.33 | −1.25 |
| F6 | 66.15 | 66.65 | −0.49 | 78.04 | 78.98 | −0.94 |
| F7 | 49.04 | 49.52 | −0.47 | 76.32 | 77.36 | −1.04 |
| F8 | 67.14 | 66.65 | 0.49 | 79.91 | 78.98 | 0.94 |
| F9 | 9.19 | 10.29 | −1.10 | 55.99 | 56.72 | −0.72 |
| F10 | 10.30 | 7.80 | 2.50 | 53.77 | 52.85 | 0.93 |
| F11 | 37.26 | 37.91 | −0.65 | 68.17 | 69.18 | −1.01 |
| F12 | 53.84 | 53.19 | 0.64 | 71.24 | 70.30 | 0.95 |
| F13 | 11.39 | 10.29 | 1.10 | 57.44 | 56.72 | 0.72 |
| F14 | 49.99 | 49.52 | 0.47 | 78.39 | 77.36 | 1.04 |
| F15 | 5.82 | 4.55 | 1.27 | 45.58 | 44.33 | 1.25 |
| F16 | 38.56 | 37.91 | 0.65 | 70.19 | 69.18 | 1.01 |
| Source | Sum of Squares | df | Mean Square | F-Value | p-Value | Significance | % Contribution |
|---|---|---|---|---|---|---|---|
| Model | 8712.93 | 7 | 1244.70 | 415.84 | <0.0001 | Significant | - |
| A | 233.33 | 1 | 233.33 | 77.95 | <0.0001 | Significant | 2.67 |
| B | 368.92 | 1 | 368.92 | 123.25 | <0.0001 | Significant | 4.22 |
| C | 7838.50 | 1 | 7838.50 | 2618.71 | <0.0001 | Significant | 89.72 |
| AB | 0.4465 | 1 | 0.4465 | 0.1492 | 0.7094 | Non-significant | 0.005 |
| AC | 95.84 | 1 | 95.84 | 32.02 | 0.0005 | Significant | 1.09 |
| BC | 174.50 | 1 | 174.50 | 58.30 | <0.0001 | Significant | 1.99 |
| ABC | 1.39 | 1 | 1.39 | 0.4638 | 0.5151 | Non-significant | 0.016 |
| Pure error | 23.95 | 8 | 2.99 | - | - | - | 0.27 |
| Cor total | 8736.87 | 15 | - | - | - | - | - |
| Fit statistics | |||||||
| SD | 1.73 | R2 | 0.9973 | ||||
| Mean | 29.68 | Adjusted R2 | 0.9949 | ||||
| C.V.% | 5.83 | Predicted R2 | 0.9890 | ||||
| PRESS | 95.78 | Adequate precision | 50.7598 | ||||
| Source | Sum of Squares | df | Mean Square | F-Value | p-Value | Significance | % Contribution |
|---|---|---|---|---|---|---|---|
| Model | 2247.48 | 7 | 321.07 | 167.04 | <0.0001 | Significant | - |
| A | 232.12 | 1 | 232.12 | 120.76 | <0.0001 | Significant | 10.26 |
| B | 48.33 | 1 | 48.33 | 25.14 | 0.0010 | Significant | 2.14 |
| C | 1929.30 | 1 | 1929.30 | 1003.74 | <0.0001 | Significant | 85.26 |
| AB | 7.19 | 1 | 7.19 | 3.74 | 0.0892 | Non-significant | 0.32 |
| AC | 2.64 | 1 | 2.64 | 1.37 | 0.2751 | Non-significant | 0.12 |
| BC | 17.77 | 1 | 17.77 | 9.24 | 0.0161 | Significant | 0.79 |
| ABC | 10.14 | 1 | 10.14 | 5.28 | 0.0507 | Non-significant | 0.45 |
| Pure error | 15.38 | 8 | 1.92 | - | - | - | 0.68 |
| Cor total | 2262.86 | 15 | - | - | - | - | - |
| Fit statistics | |||||||
| SD | 1.39 | R2 | 0.9932 | ||||
| Mean | 62.97 | Adjusted R2 | 0.9873 | ||||
| C.V.% | 2.20 | Predicted R2 | 0.9728 | ||||
| PRESS | 61.51 | Adequate precision | 35.3427 | ||||
| Formulation | Zero Order Model | First Order Model | Higuchi Model | Hixson–Crowell Model | Korsmeyer–Peppas Model | |
|---|---|---|---|---|---|---|
| R2 | R2 | R2 | R2 | R2 | n | |
| Optimized ISGI formulation | 0.7299 | 0.8818 | 0.9807 | 0.8417 | 0.9851 | 0.446 |
Publisher’s Note: MDPI stays neutral with regard to jurisdictional claims in published maps and institutional affiliations. |
© 2022 by the authors. Licensee MDPI, Basel, Switzerland. This article is an open access article distributed under the terms and conditions of the Creative Commons Attribution (CC BY) license (https://creativecommons.org/licenses/by/4.0/).
Share and Cite
Ibrahim, T.M.; Ayoub, M.M.; El-Bassossy, H.M.; El-Nahas, H.M.; Gomaa, E. Investigation of Alogliptin-Loaded In Situ Gel Implants by 23 Factorial Design with Glycemic Assessment in Rats. Pharmaceutics 2022, 14, 1867. https://doi.org/10.3390/pharmaceutics14091867
Ibrahim TM, Ayoub MM, El-Bassossy HM, El-Nahas HM, Gomaa E. Investigation of Alogliptin-Loaded In Situ Gel Implants by 23 Factorial Design with Glycemic Assessment in Rats. Pharmaceutics. 2022; 14(9):1867. https://doi.org/10.3390/pharmaceutics14091867
Chicago/Turabian StyleIbrahim, Tarek M., Margrit M. Ayoub, Hany M. El-Bassossy, Hanan M. El-Nahas, and Eman Gomaa. 2022. "Investigation of Alogliptin-Loaded In Situ Gel Implants by 23 Factorial Design with Glycemic Assessment in Rats" Pharmaceutics 14, no. 9: 1867. https://doi.org/10.3390/pharmaceutics14091867
APA StyleIbrahim, T. M., Ayoub, M. M., El-Bassossy, H. M., El-Nahas, H. M., & Gomaa, E. (2022). Investigation of Alogliptin-Loaded In Situ Gel Implants by 23 Factorial Design with Glycemic Assessment in Rats. Pharmaceutics, 14(9), 1867. https://doi.org/10.3390/pharmaceutics14091867

