A New Control Strategy for High-Pressure Homogenization to Improve the Safety of Injectable Lipid Emulsions
Abstract
:1. Introduction
2. Materials and Methods
2.1. Lipofundin MCT/LCT 20%
2.2. Emulsification Process
2.3. Analytical Methods for Emulsion Characterization
2.3.1. Photon Correlation Spectroscopy
2.3.2. Single-Particle Optical Sensing
2.3.3. Optical Microscopy
2.3.4. Data Analysis
3. Results and Discussion
3.1. Effect of the Homogenization Cycles
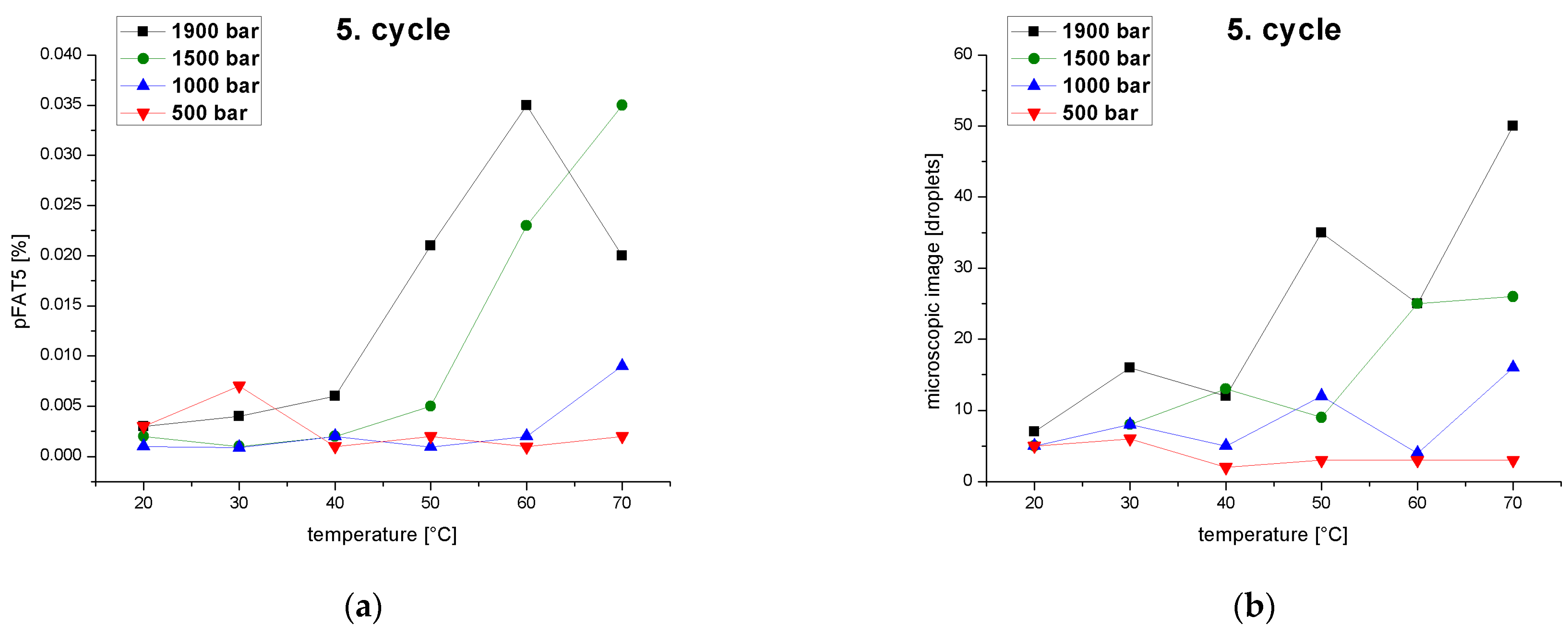
3.2. Effect of Temperature and Pressure
3.3. Derived Control Strategy
4. Conclusions
5. Patents
Author Contributions
Funding
Institutional Review Board Statement
Informed Consent Statement
Data Availability Statement
Acknowledgments
Conflicts of Interest
References
- Yu, D.G.; Lv, H. Preface—Striding into Nano Drug Delivery. Curr. Drug Deliv. 2022, 19, 1–3. [Google Scholar] [CrossRef]
- Yu, D.G. Preface—Bettering drug delivery knowledge from pharmaceutical techniques and excipients. Curr. Drug Deliv. 2021, 18, 2–3. [Google Scholar] [CrossRef]
- Cannon, P.G.J.B.; Shi, Y. Emulsions, Microemulsions, and Lipid-Based Drug Delivery Systems for Drug Solubilization and Delivery—Part I: Parenteral Applications, 3rd ed.; CRC Press: Boca Raton, FL, USA, 2017. [Google Scholar]
- Fell, G.L.; Nandivada, P.; Gura, K.M.; Puder, M. Intravenous Lipid Emulsions in Parenteral Nutrition. Adv. Nutr. Int. Rev. J. 2015, 6, 600–610. [Google Scholar] [CrossRef] [PubMed] [Green Version]
- Lee, S.H.; Kang, D.; Ok, S.-H.; Kim, J.-Y.; Bae, S.I.; Hwang, Y.; Park, K.-E.; Kim, J.W.; Sohn, J.-T. Lipofundin MCT/LCT Inhibits Levcromakalim-Induced Vasodilation by Inhibiting Endothelial Nitric Oxide Release. Int. J. Mol. Sci. 2020, 21, 1763. [Google Scholar] [CrossRef] [Green Version]
- Holm, R. Parenteral Products. In Specialised Pharmaceutical Formulation: The Science and Technology of Dosage Form; Royal Society of Chemistry: London, UK, 2022; ISBN 978-1-83916-175-9. [Google Scholar]
- Klein, M.E.; Rieckmann, M.; Lucas, H.; Meister, A.; Loppnow, H.; Mäder, K. Phosphatidylserine (PS) and phosphatidylglycerol (PG) enriched mixed micelles (MM): A new nano-drug delivery system with anti-inflammatory potential? Eur. J. Pharm. Sci. 2020, 152, 105451. [Google Scholar] [CrossRef]
- Agalloco, R.M.J.; Akers, J. Future of Parenteral Manufacturing. In The Future of Parenteral Manufacturing. In Parenteral Medications, 4th ed.; Agalloco, J., Akers, J., Madesen, R., Eds.; CRC Press: Boca Raton, FL, USA, 2019; ISBN 9781498719148. [Google Scholar]
- Choradiya, B.R.; Patil, S.B. A comprehensive review on nanoemulsion as an ophthalmic drug delivery system. J. Mol. Liq. 2021, 339, 116751. [Google Scholar] [CrossRef]
- Zuccato, D.; Guadagnino, E. Glass for Pharmaceutical Use. In Encyclopedia of Glass Science, Technology, History, and Culture; John Wiley & Sons: Hoboken, NJ, USA, 2021; pp. 879–889. [Google Scholar] [CrossRef]
- Watrobska-Swietlikowska, D. Stability of commercial parenteral lipid emulsions repacking to polypropylene syringes. PLoS ONE 2019, 14, e0214451. [Google Scholar] [CrossRef]
- Islami, M.; Alsharhan, M.; Alfattani, A.; Alawwad, M.; Almeshari, H. Safety and Efficacy of Multi-chamber Bag Parenteral Nutrition. Res. Sq. 2021. [Google Scholar] [CrossRef]
- Pande, A.A.L. Development and Manufacturing of Injectable (Parenteral) Drug Products. World J. Pharm. Res. 2019, 9, 1047–1067. [Google Scholar] [CrossRef]
- Grumbach, C.; Czermak, P. Process Analytical Technology for the Production of Parenteral Lipid Emulsions According to Good Manufacturing Practices. Processes 2022, 10, 1174. [Google Scholar] [CrossRef]
- Mert, I.D. The applications of microfluidization in cereals and cereal-based products: An overview. The applications of microfluidization in cereals and cereal-based products. Crit. Rev. Food Sci. Nutr. 2019, 60, 1007–1024. [Google Scholar] [CrossRef] [PubMed]
- Ozturk, O.K.; Turasan, H. Latest developments in the applications of microfluidization to modify the structure of macromolecules leading to improved physicochemical and functional properties. Crit. Rev. Food Sci. Nutr. 2021, 62, 4481–4503. [Google Scholar] [CrossRef] [PubMed]
- Yadav, K.S.; Kale, K. High Pressure Homogenizer in Pharmaceuticals: Understanding Its Critical Processing Parameters and Applications. J. Pharm. Innov. 2019, 15, 690–701. [Google Scholar] [CrossRef]
- Zhang, W.; Xie, F.; Lan, X.; Gong, S.; Wang, Z. Characteristics of pectin from black cherry tomato waste modified by dynamic high-pressure microfluidization. J. Food Eng. 2018, 216, 90–97. [Google Scholar] [CrossRef]
- Guo, X.; Chen, M.; Li, Y.; Dai, T.; Shuai, X.; Chen, J.; Liu, C. Modification of food macromolecules using dynamic high pressure microfluidization: A review. Trends Food Sci. Technol. 2020, 100, 223–234. [Google Scholar] [CrossRef]
- Deng, Y.; Zhong, G.; Wang, Y.; Wang, N.; Yu, Q.; Yu, X. Quality by design approach for the preparation of fat-soluble vitamins lipid injectable emulsion. Int. J. Pharm. 2019, 571, 118717. [Google Scholar] [CrossRef]
- Jeevanandam, J.; Chan, Y.S.; Danquah, M.K. Nano-formulations of drugs: Recent developments, impact and challenges. Biochimie 2016, 128, 99–112. [Google Scholar] [CrossRef] [PubMed]
- Kumar, N.; Mandal, A. Thermodynamic and physicochemical properties evaluation for formation and characterization of oil-in-water nanoemulsion. J. Mol. Liq. 2018, 266, 147–159. [Google Scholar] [CrossRef]
- Hörmann, K.; Zimmer, A. Drug delivery and drug targeting with parenteral lipid nanoemulsions—A review. J. Control. Release 2016, 223, 85–98. [Google Scholar] [CrossRef]
- Klang, M.G. PFAT5 and the Evolution of Lipid Admixture Stability. J. Parenter. Enter. Nutr. 2015, 39, 67S–71S. [Google Scholar] [CrossRef]
- Mediavilla, M.; Molina, A.; Navarro, L.; Grau, L.; Pujol, M.D.; Cardenete, J.; Cardona, D.; Riera, R. Physicochemical Com-patibility of Amiodarone with Parenteral Nutrition. J. Parenter. Enter. Nutr. 2019, 43, 298–304. [Google Scholar] [CrossRef] [PubMed]
- Basil, T.; Watanabe, E.; Assenheimer, T.; Carmo, L.d.; Nele, M.; Tavares, F. Microscope analysis and evaluation of the desta-bilization process of water-in-oil emulsion under application of electric field. IEEE Trans. Dielectr. Electr. Insul. 2020, 27, 873–881. [Google Scholar] [CrossRef]
- Raviadaran, R.; Chandran, D.; Shin, L.H.; Manickam, S. Optimization of palm oil in water nano-emulsion with curcumin using microfluidizer and response surface methodology. LWT 2018, 96, 58–65. [Google Scholar] [CrossRef]
- Washington, C.; Davis, S. The production of parenteral feeding emulsions by Microfluidizer. Int. J. Pharm. 1988, 44, 169–176. [Google Scholar] [CrossRef]
- Jong, L. Characterization of Soy Protein Nanoparticles Prepared by High Shear Microfluidization. J. Dispers. Sci. Technol. 2013, 34, 469–475. [Google Scholar] [CrossRef]
- Meleson, K.; Graves, S.; Mason, T.G. Formation of Concentrated Nanoemulsions by Extreme Shear. Soft Mater. 2004, 2, 109–123. [Google Scholar] [CrossRef]
- Villalobos-Castillejos, F.; Granillo-Guerrero, V.G.; Leyva-Daniel, D.E.; Alamilla-Beltrán, L.; Gutiérrez-López, G.F.; Monroy-Villagrana, A.; Jafari, S.M. Fabrication of Nanoemulsions by Microfluidization. In Nanoemulsions; Elsevier BV: Amsterdam, The Netherlands, 2018; pp. 207–232. ISBN 9780128118382. [Google Scholar]
- Salvia-Trujillo, L.; Rojas-Graü, M.A.; Soliva-Fortuny, R.; Martín-Belloso, O. Effect of processing parameters on physicochemical characteristics of microfluidized lemongrass essential oil-alginate nanoemulsions. Food Hydrocoll. 2013, 30, 401–407. [Google Scholar] [CrossRef]
- McClements, D.J. Food Emulsions Principles, Practice and Techniques, 3rd ed.; CRC Press LLC.; Taylor & Francis Inc.: London, UK, 2015. [Google Scholar]
- Fredrick, E.; Walstra, P.; Dewettinck, K. Factors governing partial coalescence in oil-in-water emulsions. Adv. Colloid Interface Sci. 2010, 153, 30–42. [Google Scholar] [CrossRef]
- El-Loly, M. Composition, properties and nutritional aspects of milk fat globule membrane—A review. Pol. J. Food Nutr. Sci. 2011, 61, 7–32. [Google Scholar] [CrossRef] [Green Version]
- Ricaurte, L.; Perea, M.D.J.; Martinez, A.; Quintanilla-Carvajal, M.X. Production of high-oleic palm oil nanoemulsions by high-shear homogenization (microfluidization). Innov. Food Sci. Emerg. Technol. 2016, 35, 75–85. [Google Scholar] [CrossRef]
- Bamba, B.S.B.; Shi, J.; Tranchant, C.C.; Xue, S.J.; Forney, C.F.; Lim, L.-T.; Xu, W.; Xu, G. Coencapsulation of Polyphenols and Anthocyanins from Blueberry Pomace by Double Emulsion Stabilized by Whey Proteins: Effect of Homogenization Parameters. Molecules 2018, 23, 2525. [Google Scholar] [CrossRef] [PubMed] [Green Version]
- Páez-Hernández, G.; Mondragón-Cortez, P.; Espinosa-Andrews, H. Developing curcumin nanoemulsions by high-intensity methods: Impact of ultrasonication and microfluidization parameters. LWT 2019, 111, 291–300. [Google Scholar] [CrossRef]
- Abliz, A.; Liu, J.; Mao, L.; Yuan, F.; Gao, Y. Effect of dynamic high pressure microfluidization treatment on physical stability, microstructure and carotenoids release of sea buckthorn juice. LWT 2020, 135, 110277. [Google Scholar] [CrossRef]
- Tang, S.Y.; Shridharan, P.; Sivakumar, M. Impact of process parameters in the generation of novel aspirin nanoemulsions—Comparative studies between ultrasound cavitation and microfluidizer. Ultrason. Sonochemistry 2013, 20, 485–497. [Google Scholar] [CrossRef] [PubMed]
- Ozturk, O.K.; Turasan, H. Applications of microfluidization in emulsion-based systems, nanoparticle formation, and beverages. Trends Food Sci. Technol. 2021, 116, 609–625. [Google Scholar] [CrossRef]
- Tesch, S.; Schubert, H. Influence of increasing viscosity of the aqueous phase on the short-term stability of protein sta-bilized emulsions. J. Food Eng. 2002, 52, 305–312. [Google Scholar] [CrossRef]
- Lee, L.; Norton, I.T. Comparing droplet breakup for a high-pressure valve homogeniser and a Microfluidizer for the potential production of food-grade nanoemulsions. J. Food Eng. 2013, 114, 158–163. [Google Scholar] [CrossRef]
- Thompson, A.; Singh, H. Preparation of Liposomes from Milk Fat Globule Membrane Phospholipids Using a Microfluidizer. J. Dairy Sci. 2006, 89, 410–419. [Google Scholar] [CrossRef]
- Cappellani, M.R.; Perinelli, D.R.; Pescosolido, L.; Schoubben, A.; Cespi, M.; Cossi, R.; Blasi, P. Injectable nanoemulsions prepared by high pressure homogenization: Processing, sterilization, and size evolution. Appl. Nanosci. 2018, 8, 1483–1491. [Google Scholar] [CrossRef]
- Peng, J.; Dong, W.-J.; Li, L.; Xu, J.-M.; Jin, D.-J.; Xia, X.-J.; Liu, Y.-L. Effect of high-pressure homogenization preparation on mean globule size and large-diameter tail of oil-in-water injectable emulsions. J. Food Drug Anal. 2015, 23, 828–835. [Google Scholar] [CrossRef]
- Jafari, S.M.; Assadpoor, E.; He, Y.; Bhandari, B. Re-coalescence of emulsion droplets during high-energy emulsification. Food Hydrocoll. 2008, 22, 1191–1202. [Google Scholar] [CrossRef]
- Yuan, Y.; Gao, Y.; Zhao, J.; Mao, L. Characterization and stability evaluation of β-carotene nanoemulsions prepared by high pressure homogenization under various emulsifying conditions. Food Res. Int. 2008, 41, 61–68. [Google Scholar] [CrossRef]
- Samani, S.A.; Naji, M.H. Effect of homogenizer pressure and temperature on physicochemical, oxidative stability, viscosity, droplet size, and sensory properties of Sesame vegetable cream. Food Sci. Nutr. 2019, 7, 899–906. [Google Scholar] [CrossRef] [PubMed]
- Jafari, S.M.; He, Y.; Bhandari, B. Production of sub-micron emulsions by ultrasound and microfluidization techniques. J. Food Eng. 2007, 82, 478–488. [Google Scholar] [CrossRef]
- Santana, R.; Perrechil, F.A.; Cunha, R.L. High- and Low-Energy Emulsifications for Food Applications: A Focus on Process Parameters. Food Eng. Rev. 2013, 5, 107–122. [Google Scholar] [CrossRef]
- Rustom, I.Y.; López-Leival, M.H.; Nair, B.M. Effect of emulsifier type and homogenization temperature and pressure on physical properties of peanut extract. Int. J. Food Sci. Technol. 2007, 30, 773–781. [Google Scholar] [CrossRef]
- RPanigrahi, K.V.D.; Sahu, P.K.; Swain, S. Quality by design prospects of pharmaceuticals ap-plication of double emulsion method for PLGA loaded nanoparticles. SN Appl. Sci. 2021, 3, 638. [Google Scholar] [CrossRef]











| Raw Material | Amount | Supplier |
|---|---|---|
| Glycerol | 250.0 g | August Hedinger |
| Egg lecithin | 120.0 g | Lipoid |
| Sodium oleate | 3.0 g | Sigma-Aldrich Chemie |
| Alpha-tocopherol | 2.0 g | Brenntag |
| Refined Soybean Oil IV | 1000.0 g | Gustav Heess |
| Medium chain triglyceride | 1000.0 g | Cremer Oleo |
| Water for injection | 7625.0 g | B. Braun Melsungen |
| Measurement Parameter | Setting |
|---|---|
| Light source | He-Nelaser (632.8 nm) |
| Angle | 90° (singe angle analysis) |
| Channel width | Automatic (20–30 µs) |
| Temperature | 23 °C |
| Viscosity (continuous phase) | 0.933 cP (water at 23 °C) |
| Refractive index (continuous phase) | 1.333 (water) |
| Measurement time | 10 min |
| Number of measurements | 1 |
| Measurement Parameter | Setting |
|---|---|
| Data Collection Time | 90 s |
| Number of Channels | 128 |
| Diluent Flow Rate | 60 mL/min |
| Target Concentration | 1000 Part/mL |
| Injection Loop Volume | 1.0 mL |
| Syringe Volume | 2.5 mL |
| Initial 2nd-Stage Dilution Factor | 100 |
| Temperature [°C] | MPD [nm] Cycle 1: 1900 Bar Cycle 2: 500 Bar | MPD [nm] Cycle 1: 1500 Bar Cycle 2: 500 Bar | MPD [nm] Cycle 1: 1000 Bar Cycle 2: 500 Bar | MPD [nm] Cycle 1: 500 Bar Cycle 2: 500 Bar |
|---|---|---|---|---|
| 20 | 273.7 ± 27.1 | 275.6 ± 89.6 | 332.6 ± 98.1 | 353.9 ± 167.7 |
| 30 | 264.6 ± 52.9 | 270.2 ± 7.8 | 303.5 ± 27.0 | 363.4 ± 102.5 |
| 40 | 265.2 ± 52.0 | 268.9 ± 42.8 | 305.7 ± 87.1 | 338.8 ± 72.8 |
| 50 | 255.1 ± 42.9 | 253.8 ± 47.0 | 281.8 ± 78.3 | 313.9 ± 99.8 |
| 60 | 229.4 ±48.9 | 256.0 ± 14.6 | 267.0 ± 23.0 | 298.5 ± 102.4 |
| 70 | 237.8 ± 63.0 | 251.0 ± 16.3 | 264.8 ± 33.6 | 290.5 ± 50.3 |
| Cycle | Pressure | Temperature |
|---|---|---|
| primary | 500–1900 bar | 30–60 °C |
| secondary | 500 bar | 30–60 °C |
Publisher’s Note: MDPI stays neutral with regard to jurisdictional claims in published maps and institutional affiliations. |
© 2022 by the authors. Licensee MDPI, Basel, Switzerland. This article is an open access article distributed under the terms and conditions of the Creative Commons Attribution (CC BY) license (https://creativecommons.org/licenses/by/4.0/).
Share and Cite
Grumbach, C.; Krüger, V.; Czermak, P. A New Control Strategy for High-Pressure Homogenization to Improve the Safety of Injectable Lipid Emulsions. Pharmaceutics 2022, 14, 1603. https://doi.org/10.3390/pharmaceutics14081603
Grumbach C, Krüger V, Czermak P. A New Control Strategy for High-Pressure Homogenization to Improve the Safety of Injectable Lipid Emulsions. Pharmaceutics. 2022; 14(8):1603. https://doi.org/10.3390/pharmaceutics14081603
Chicago/Turabian StyleGrumbach, Carsten, Volker Krüger, and Peter Czermak. 2022. "A New Control Strategy for High-Pressure Homogenization to Improve the Safety of Injectable Lipid Emulsions" Pharmaceutics 14, no. 8: 1603. https://doi.org/10.3390/pharmaceutics14081603
APA StyleGrumbach, C., Krüger, V., & Czermak, P. (2022). A New Control Strategy for High-Pressure Homogenization to Improve the Safety of Injectable Lipid Emulsions. Pharmaceutics, 14(8), 1603. https://doi.org/10.3390/pharmaceutics14081603

