Spray Dried Levodopa-Doped Powder Potentially for Intranasal Delivery
Abstract
1. Introduction
2. Materials and Methods
2.1. Materials
2.2. Preparation of Feed Solution
2.3. Fabrication of Spray Dried (SD) L-Dopa Powders
2.4. Particle Characterization
2.4.1. Particle Size and Morphology
2.4.2. Moisture Content, Powder Density and Flowability
2.4.3. Powder X-ray Diffraction (XRD)
2.4.4. Thermal Analysis
2.4.5. Fourier Transform Infrared (FT-IR)
2.5. In Vitro L-Dopa Release Study
2.6. In Vitro Mucoadhesion Test
2.7. In Vitro Nasal Delivery and Deposition Performance of L-Dopa Powders
2.8. Statistical Analysis
3. Results and Discussion
3.1. Particle Size, Morphology, Density, and Moisture Content
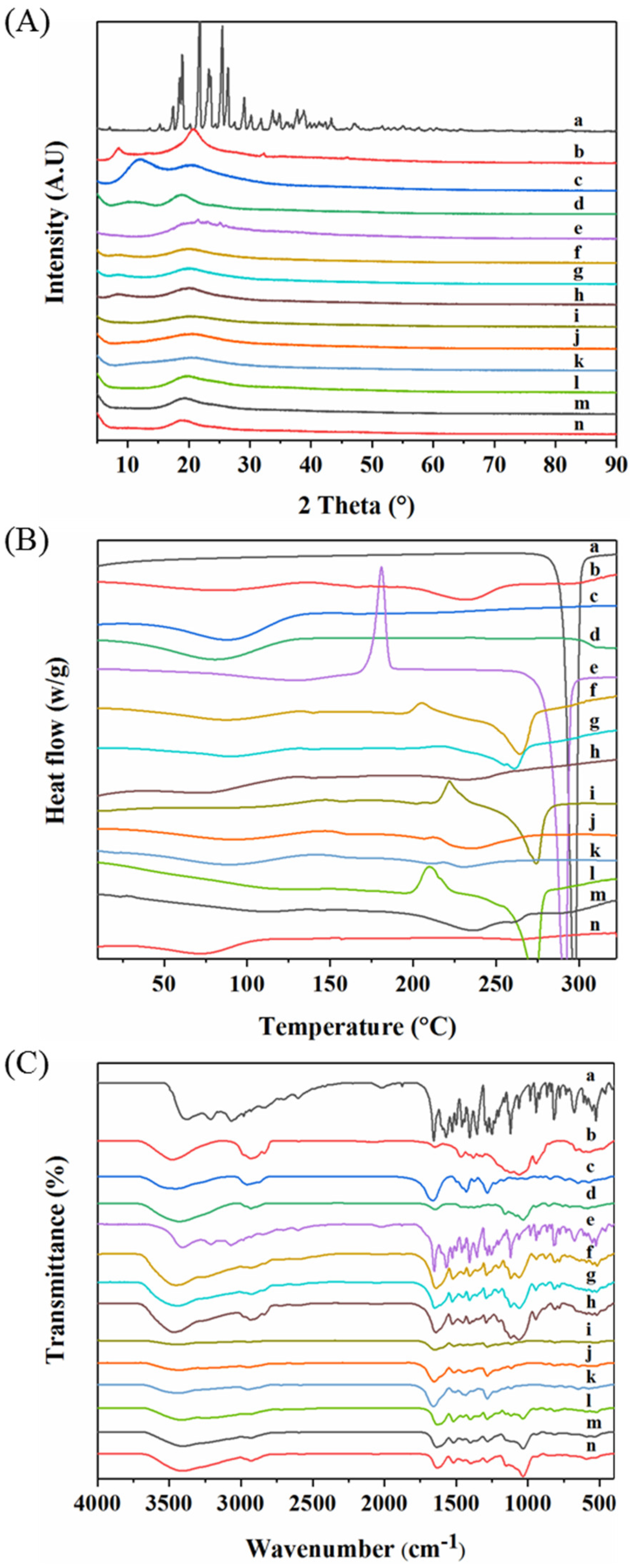
3.2. Particle Crystal Property and Storage Stability
3.3. In Vitro L-Dopa Release Behavior
3.4. In Vitro Mucoadhesive Property
3.5. In Vitro Nasal Deposition Performance
4. Conclusions
Supplementary Materials
Author Contributions
Funding
Institutional Review Board Statement
Informed Consent Statement
Data Availability Statement
Conflicts of Interest
References
- Ambrus, R.; Gieszinger, P.; Gaspar, R.; Sztojkov-Ivanov, A.; Ducza, E.; Marki, A.; Janaky, T.; Tomosi, F.; Kecskemeti, G.; Szabo-Revesz, P.; et al. Investigation of the absorption of nanosized lamotrigine containing nasal powder via the nasal cavity. Molecules 2020, 25, 1065. [Google Scholar] [CrossRef] [PubMed]
- Laffleur, F.; Bauer, B. Progress in nasal drug delivery systems. Int. J. Pharm. 2021, 607, 120994. [Google Scholar] [CrossRef] [PubMed]
- Rassu, G.; Soddu, E.; Cossu, M.; Gavini, E.; Giunchedi, P.; Dalpiaz, A. Particulate formulations based on chitosan for nose-to-brain delivery of drugs. A review. J. Drug Deliv. Sci. Technol. 2016, 32, 77–87. [Google Scholar] [CrossRef]
- Agrawal, M.; Saraf, S.; Saraf, S.; Antimisiaris, S.G.; Chougule, M.B.; Shoyele, S.A.; Alexander, A. Nose-to-brain drug delivery: An update on clinical challenges and progress towards approval of anti-Alzheimer drugs. J. Control. Release 2018, 281, 139–177. [Google Scholar] [CrossRef] [PubMed]
- Lochhead, J.J.; Wolak, D.J.; Pizzo, M.E.; Thorne, R.G. Rapid transport within cerebral perivascular spaces underlies widespread tracer distribution in the brain after intranasal administration. J. Cereb. Blood Flow Metab. 2015, 35, 371–381. [Google Scholar] [CrossRef]
- Pires, A.; Fortuna, A.; Alves, G.; Falcão, A. Intranasal drug delivery: How, why and what for? J. Pharm. Pharm. Sci. 2009, 12, 288–311. [Google Scholar] [CrossRef]
- Privalova, A.M.; Gulyaeva, N.V.; Bukreeva, T.V. Intranasal administration: A prospective drug delivery route to the brain. Neurochem. J. 2012, 6, 77–88. [Google Scholar] [CrossRef]
- Davie, C.A. A review of Parkinson’s disease. Br. Med. Bull. 2008, 86, 109–127. [Google Scholar] [CrossRef]
- Marsili, L.; Marconi, R.; Colosimo, C. Treatment strategies in early Parkinson’s disease. Int. Rev. Neurobiol. 2017, 132, 345–360. [Google Scholar] [CrossRef]
- Olanow, C.W. The scientific basis for the current treatment of Parkinson’s disease. Annu. Rev. Med. 2004, 55, 41–60. [Google Scholar] [CrossRef]
- Ahmad, M.Z.; Sabri, A.H.B.; Anjani, Q.K.; Dominguez-Robles, J.; Abdul Latip, N.; Hamid, K.A. Design and development of levodopa loaded polymeric nanoparticles for intranasal delivery. Pharmaceuticals 2022, 15, 370. [Google Scholar] [CrossRef] [PubMed]
- Arisoy, S.; Sayiner, O.; Comoglu, T.; Onal, D.; Atalay, O.; Pehlivanoglu, B. In vitro and in vivo evaluation of levodopa-loaded nanoparticles for nose to brain delivery. Pharm. Dev. Technol. 2020, 25, 735–747. [Google Scholar] [CrossRef] [PubMed]
- Dankyi, B.O.; Amponsah, S.K.; Allotey-Babington, G.L.; Adams, I.; Goode, N.A.; Nettey, H. Chitosan-coated hydroxypropylmethyl cellulose microparticles of levodopa (and carbidopa): In vitro and rat model kinetic characteristics. Curr. Ther. Res. 2020, 93, 100612. [Google Scholar] [CrossRef]
- Kiss, T.; Alapi, T.; Varga, G.; Bartos, C.; Ambrus, R.; Szabo-Revesz, P.; Katona, G. Interaction studies between levodopa and different excipients to develop coground binary mixtures for intranasal application. J. Pharm. Sci. 2019, 108, 2552–2560. [Google Scholar] [CrossRef] [PubMed]
- Tiozzo Fasiolo, L.; Manniello, M.D.; Tratta, E.; Buttini, F.; Rossi, A.; Sonvico, F.; Bortolotti, F.; Russo, P.; Colombo, G. Opportunity and challenges of nasal powders: Drug formulation and delivery. Eur. J. Pharm. Sci. 2018, 113, 2–17. [Google Scholar] [CrossRef] [PubMed]
- Kim, T.K.; Kang, W.; Chun, I.K.; Oh, S.Y.; Lee, Y.H.; Gwak, H.S. Pharmacokinetic evaluation and modeling of formulated levodopa intranasal delivery systems. Eur. J. Pharm. Sci. 2009, 38, 525–532. [Google Scholar] [CrossRef]
- Bale, S.; Khurana, A.; Reddy, A.S.S.; Singh, M.; Godugu, C. Overview on therapeutic applications of microparticulate drug delivery systems. Crit. Rev. Ther. Drug Carr. Syst. 2016, 33, 309–361. [Google Scholar] [CrossRef]
- Khan, A.R.; Liu, M.; Khan, M.W.; Zhai, G. Progress in brain targeting drug delivery system by nasal route. J. Control. Release 2017, 268, 364–389. [Google Scholar] [CrossRef]
- Bartos, C.; Pallagi, E.; Szabo-Revesz, P.; Ambrus, R.; Katona, G.; Kiss, T.; Rahimi, M.; Csoka, I. Formulation of levodopa containing dry powder for nasal delivery applying the quality-by-design approach. Eur. J. Pharm. Sci. 2018, 123, 475–483. [Google Scholar] [CrossRef]
- Cho, W.; Kim, M.S.; Jung, M.S.; Park, J.; Cha, K.H.; Kim, J.S.; Park, H.J.; Alhalaweh, A.; Velaga, S.P.; Hwang, S.J. Design of salmon calcitonin particles for nasal delivery using spray-drying and novel supercritical fluid-assisted spray-drying processes. Int. J. Pharm. 2015, 478, 288–296. [Google Scholar] [CrossRef]
- Montes, A.; Gordillo, M.D.; Pereyra, C.; De los Santos, D.M.; Martínez de la Ossa, E.J. Ibuprofen–polymer precipitation using supercritical CO2 at low temperature. J. Supercrit. Fluids 2014, 94, 91–101. [Google Scholar] [CrossRef]
- Prosapio, V.; Reverchon, E.; De Marco, I. Coprecipitation of Polyvinylpyrrolidone/β-Carotene by Supercritical Antisolvent Processing. Ind. Eng. Chem. Res. 2015, 54, 11568–11575. [Google Scholar] [CrossRef]
- Sharma, S.; Lohan, S.; Murthy, R.S. Formulation and characterization of intranasal mucoadhesive nanoparticulates and thermo-reversible gel of levodopa for brain delivery. Drug Dev. Ind. Pharm. 2014, 40, 869–878. [Google Scholar] [CrossRef] [PubMed]
- Di, A.; Zhang, S.; Liu, X.; Tong, Z.; Sun, S.; Tang, Z.; Chen, X.D.; Wu, W.D. Microfluidic spray dried and spray freeze dried uniform microparticles potentially for intranasal drug delivery and controlled release. Powder Technol. 2021, 379, 144–153. [Google Scholar] [CrossRef]
- Jiang, T.; Yan, S.; Zhang, S.; Yin, Q.; Chen, X.D.; Wu, W.D. Uniform lactose microspheres with high crystallinity fabricated by micro-fluidic spray drying technology combined with post-treatment process. Powder Technol. 2021, 392, 690–702. [Google Scholar] [CrossRef]
- Ma, X.; Yan, S.; Zhang, S.; Yin, Q.; Chen, X.D.; Wu, W.D. Shell-formation mediated surface composition of uniform two-component microparticles fabricated by micro-fluidic spray drying: Effect of component size and solubility. Particuology 2022, 67, 68–78. [Google Scholar] [CrossRef]
- Dukovski, B.J.; Plantic, I.; Cuncic, I.; Krtalic, I.; Juretic, M.; Pepic, I.; Lovric, J.; Hafner, A. Lipid/alginate nanoparticle-loaded in situ gelling system tailored for dexamethasone nasal delivery. Int. J. Pharm. 2017, 533, 480–487. [Google Scholar] [CrossRef]
- Nižić, L.; Potaś, J.; Winnicka, K.; Szekalska, M.; Erak, I.; Gretić, M.; Jug, M.; Hafner, A. Development, characterisation and nasal deposition of melatonin-loaded pectin/hypromellose microspheres. Eur. J. Pharm. Sci. 2020, 141, 105115. [Google Scholar] [CrossRef]
- Wu, W.D.; Amelia, R.; Hao, N.; Selomulya, C.; Zhao, D.; Chiu, Y.L.; Chen, X.D. Assembly of uniform photoluminescent microcomposites using a novel micro-fluidic-jet-spray-dryer. AIChE J. 2011, 57, 2726–2737. [Google Scholar] [CrossRef]
- Wang, Y.; Kho, K.; Cheow, W.S.; Hadinoto, K. A comparison between spray drying and spray freeze drying for dry powder inhaler formulation of drug-loaded lipid-polymer hybrid nanoparticles. Int. J. Pharm. 2012, 424, 98–106. [Google Scholar] [CrossRef]
- Carr, R.L. Evaluating flow properties of solids. Chem. Eng. J. 1965, 18, 163–168. [Google Scholar]
- Ignjatović, J.; Đuriš, J.; Cvijić, S.; Dobričić, V.; Montepietra, A.; Lombardi, C.; Ibric, S.; Rossi, A. Development of solid lipid microparticles by melt-emulsification/spray-drying processes as carriers for pulmonary drug delivery. Eur. J. Pharm. Sci. 2021, 156, 105588. [Google Scholar] [CrossRef] [PubMed]
- Dondeti, P.; Zia, H.; Needham, T.E. Bioadhesive and formulation parameters affecting nasal absorption. Int. J. Pharm. 1996, 127, 115–133. [Google Scholar] [CrossRef]
- Mitchell, J.P. Practices of coating collection surfaces of cascade impactors: A survey of members of the European Pharmaceutical Aerosol Group (EPAG). Drug Deliv. Lung 2003, 14, 75–78. [Google Scholar]
- Thakkar, S.G.; Warnken, Z.N.; Alzhrani, R.F.; Valdes, S.A.; Aldayel, A.M.; Xu, H.; Williams, R.O., III; Cui, Z. Intranasal immunization with aluminum salt-adjuvanted dry powder vaccine. J. Control. Release 2018, 292, 111–118. [Google Scholar] [CrossRef]
- Djupesland, P.G.; Messina, J.C.; Mahmoud, R.A. Breath powered nasal delivery: A new route to rapid headache relief. Headache 2013, 53, 72–84. [Google Scholar] [CrossRef]
- Häußermann, S.; Bailey, A.G.; Maul, C. A system to reproduce human breathing patterns: Its development and validation. J. Aerosol Med. 2000, 13, 199–204. [Google Scholar] [CrossRef]
- Ye, X.; Patil, H.; Feng, X.; Tiwari, R.V.; Lu, J.; Gryczke, A.; Kolter, K.; Langley, N.; Majumdar, S.; Neupane, D.; et al. Conjugation of hot-melt extrusion with high-pressure homogenization: A novel method of continuously preparing nanocrystal solid dispersions. AAPS PharmSciTech 2016, 17, 78–88. [Google Scholar] [CrossRef]
- Wu, W.D.; Liu, W.; Gengenbach, T.; Woo, M.W.; Selomulya, C.; Chen, X.D.; Weeks, M. Towards spray drying of high solids dairy liquid: Effects of feed solid content on particle structure and functionality. J. Food Eng. 2014, 123, 130–135. [Google Scholar] [CrossRef]
- Alhajj, N.; O’Reilly, N.J.; Cathcart, H. Designing enhanced spray dried particles for inhalation: A review of the impact of excipients and processing parameters on particle properties. Powder Technol. 2021, 384, 313–331. [Google Scholar] [CrossRef]
- Polson, A. The some aspects of diffusion in solution and a definition of a colloidal particle. J. Phys. Chem. 1950, 54, 649–652. [Google Scholar] [CrossRef]
- Vehring, R. Pharmaceutical particle engineering via spray drying. Pharm. Res. 2008, 25, 999–1022. [Google Scholar] [CrossRef] [PubMed]
- Bahrainian, S.; Mirmoeini, M.S.; Gilani, Z.; Gilani, K. Engineering of levodopa inhalable microparticles in combination with leucine and dipalmitoylphosphatidylcholine by spray drying technique. Eur. J. Pharm. Sci. 2021, 167, 106008. [Google Scholar] [CrossRef]
- Jermain, S.V.; Brough, C.; Williams, R.O., III. Amorphous solid dispersions and nanocrystal technologies for poorly water-soluble drug delivery-An update. Int. J. Pharm. 2018, 535, 379–392. [Google Scholar] [CrossRef] [PubMed]
- Paul, M.; Lau, R. Potentials and challenges of Levodopa particle formulation for treatment of Parkinson’s disease through intranasal and pulmonary delivery. Adv. Powder Technol. 2020, 31, 2357–2365. [Google Scholar] [CrossRef]
- Karimian, R.; Aghajani, M. Cyclodextrins and their derivatives as carrier molecules in drug and gene delivery systems. Curr. Org. Chem. 2019, 23, 1256–1269. [Google Scholar] [CrossRef]
- Williams, M.L.; Landel, R.F.; Ferry, J.D. The temperature dependence of relaxation mechanisms in amorphous polymers and other glass-forming liquids. J. Am. Chem. Soc. 1955, 77, 3701–3707. [Google Scholar] [CrossRef]
- Okada, H.; Ueda, K.; Yasuda, Y.; Higashi, K.; Inoue, M.; Ito, M.; Noguchi, S.; Kawakami, K.; Moribe, K. Correlation between drug dissolution and resistance to water-induced phase separation in solid dispersion formulations revealed by solid-state NMR spectroscopy. Int. J. Pharm. 2020, 577, 119086. [Google Scholar] [CrossRef]
- Ding, C.; Zhang, M.; Li, G. Preparation and characterization of collagen/hydroxypropyl methylcellulose (HPMC) blend film. Carbohydr. Polym. 2015, 119, 194–201. [Google Scholar] [CrossRef]
- Konno, H.; Taylor, L.S. Ability of different polymers to inhibit the crystallization of amorphous felodipine in the presence of moisture. Pharm. Res. 2008, 25, 969–978. [Google Scholar] [CrossRef]
- Rojewska, M.; Olejniczak-Rabinek, M.; Bartkowiak, A.; Snela, A.; Prochaska, K.; Lulek, J. The wettability and swelling of selected mucoadhesive polymers in simulated saliva and vaginal fluids. Colloids Surf. B 2017, 156, 366–374. [Google Scholar] [CrossRef] [PubMed]
- Verma, S.; Rudraraju, V.S. Wetting kinetics: An alternative approach towards understanding the enhanced dissolution rate for amorphous solid dispersion of a poorly soluble drug. AAPS PharmSciTech 2015, 16, 1079–1090. [Google Scholar] [CrossRef] [PubMed]
- Ding, D.; Kundukad, B.; Somasundar, A.; Vijayan, S.; Khan, S.A.; Doyle, P.S. Design of mucoadhesive PLGA microparticles for ocular drug delivery. ACS Appl. Bio Mater. 2018, 1, 561–571. [Google Scholar] [CrossRef] [PubMed]
- Karavasili, C.; Katsamenis, O.L.; Bouropoulos, N.; Nazar, H.; Thurner, P.J.; van der Merwe, S.M.; Fatouros, D.G. Preparation and characterization of bioadhesive microparticles comprised of low degree of quaternization trimethylated chitosan for nasal administration: Effect of concentration and molecular weight. Langmuir 2014, 30, 12337–12344. [Google Scholar] [CrossRef] [PubMed]
- Li, D.; Yamamoto, H.; Takeuchi, H.; Kawashima, Y. A novel method for modifying AFM probe to investigate the interaction between biomaterial polymers (Chitosan-coated PLGA) and mucin film. Eur. J. Pharm. Biopharm. 2010, 75, 277–283. [Google Scholar] [CrossRef] [PubMed]
- Jiménez-castellanos, M.R.; Zia, H.; Rhodes, C.T. Mucoadhesive drug delivery systems. Drug Dev. Ind. Pharm. 1993, 19, 143–194. [Google Scholar] [CrossRef]
- Jiang, L.; Gao, L.; Wang, X.; Tang, L.; Ma, J. The application of mucoadhesive polymers in nasal drug delivery. Drug Dev. Ind. Pharm. 2010, 36, 323–336. [Google Scholar] [CrossRef]
- Le Guellec, S.; Le Pennec, D.; Gatier, S.; Leclerc, L.; Cabrera, M.; Pourchez, J.; Diot, P.; Reychler, G.; Pitance, L.; Durand, M.; et al. Validation of anatomical models to study aerosol deposition in human nasal cavities. Pharm. Res. 2014, 31, 228–237. [Google Scholar] [CrossRef][Green Version]
- Warnken, Z.N.; Smyth, H.D.C.; Davis, D.A.; Weitman, S.; Kuhn, J.G.; Williams, R.O., III. Personalized medicine in nasal delivery: The use of patient-specific administration parameters to improve nasal drug targeting using 3D-printed nasal replica casts. Mol. Pharm. 2018, 15, 1392–1402. [Google Scholar] [CrossRef]
- Kublik, H.; Vidgren, M.T. Nasal delivery systems and their effect on deposition and absorption. Adv. Drug Deliv. Rev. 1998, 29, 157–177. [Google Scholar] [CrossRef]






| Sample | L-Dopa (g/100 g Solution) | HPMC (g/100 g Solution) | PVP (g/100 g Solution) | CD (g/100 g Solution) | Total Solid Content (wt%) |
|---|---|---|---|---|---|
| L-dopa | 0.3 | / | / | / | 0.3 |
| L2H1 | 0.4 | 0.2 | / | / | 0.6 |
| L1H1 | 0.3 | 0.3 | / | / | 0.6 |
| L1H2 | 0.2 | 0.4 | / | / | 0.6 |
| L2P1 | 0.4 | / | 0.2 | / | 0.6 |
| L1P1 | 0.3 | / | 0.3 | / | 0.6 |
| L1P2 | 0.2 | / | 0.4 | / | 0.6 |
| L2CD1 | 0.4 | / | / | 0.2 | 0.6 |
| L1CD1 | 0.3 | / | / | 0.3 | 0.6 |
| L1CD2 | 0.2 | / | / | 0.4 | 0.6 |
| Sample | Particle Geometric Diameter (Dg, μm) | Moisture Content (wt%) | Bulk Density (ρb, g/cm3) | Tapped Density (ρt, g/cm3) | Carr’s Index (CI, %) | Calculated Particle Aerodynamic Diameter (Da, μm) |
|---|---|---|---|---|---|---|
| SD-L-dopa | 25.61 ± 0.46 | / | / | / | / | / |
| SD-L2H1 | 43.39 ± 1.41 | 5.68 ± 0.25 | 0.34 ± 0.01 | 0.49 ± 0.01 | 30.03 ± 1.94 | 30.38 ± 0.99 |
| SD-L1H1 | 44.40 ± 1.43 | 5.73 ± 2.07 | 0.29 ± 0.01 | 0.47 ± 0.01 | 37.32 ± 2.51 | 30.44 ± 0.98 |
| SD-L1H2 | 45.70 ± 1.68 | 5.38 ± 0.65 | 0.25 ± 0.02 | 0.35 ± 0.02 | 29.34 ± 2.70 | 27.04 ± 1.00 |
| SD-L2P1 | 40.27 ± 1.06 | 5.26 ± 0.17 | 0.50 ± 0.01 | 0.75 ± 0.02 | 32.61 ± 1.00 | 34.88 ± 0.92 |
| SD-L1P1 | 40.99 ± 1.35 | 6.01 ± 0.63 | 0.45 ± 0.02 | 0.68 ± 0.02 | 34.51 ± 2.74 | 33.81 ± 1.11 |
| SD-L1P2 | 40.81 ± 1.43 | 6.33 ± 0.20 | 0.43 ± 0.02 | 0.58 ± 0.02 | 26.31 ± 2.10 | 31.08 ± 1.09 |
| SD-L2CD1 | 36.92 ± 0.88 | 4.57 ± 0.43 | 0.57 ± 0.02 | 0.65 ± 0.02 | 12.10 ± 1.86 | 29.77 ± 0.71 |
| SD-L1CD1 | 38.83 ± 0.95 | 4.33 ± 0.32 | 0.47 ± 0.01 | 0.54 ± 0.02 | 12.68 ± 2.52 | 28.54 ± 0.70 |
| SD-L1CD2 | 38.91 ± 1.07 | 4.33 ± 0.28 | 0.42 ± 0.02 | 0.52 ± 0.02 | 17.91 ± 1.06 | 28.06 ± 0.77 |
Publisher’s Note: MDPI stays neutral with regard to jurisdictional claims in published maps and institutional affiliations. |
© 2022 by the authors. Licensee MDPI, Basel, Switzerland. This article is an open access article distributed under the terms and conditions of the Creative Commons Attribution (CC BY) license (https://creativecommons.org/licenses/by/4.0/).
Share and Cite
Liu, X.; Yan, S.; Li, M.; Zhang, S.; Guo, G.; Yin, Q.; Tong, Z.; Chen, X.D.; Wu, W.D. Spray Dried Levodopa-Doped Powder Potentially for Intranasal Delivery. Pharmaceutics 2022, 14, 1384. https://doi.org/10.3390/pharmaceutics14071384
Liu X, Yan S, Li M, Zhang S, Guo G, Yin Q, Tong Z, Chen XD, Wu WD. Spray Dried Levodopa-Doped Powder Potentially for Intranasal Delivery. Pharmaceutics. 2022; 14(7):1384. https://doi.org/10.3390/pharmaceutics14071384
Chicago/Turabian StyleLiu, Xuan, Shen Yan, Mengyuan Li, Shengyu Zhang, Gang Guo, Quanyi Yin, Zhenbo Tong, Xiao Dong Chen, and Winston Duo Wu. 2022. "Spray Dried Levodopa-Doped Powder Potentially for Intranasal Delivery" Pharmaceutics 14, no. 7: 1384. https://doi.org/10.3390/pharmaceutics14071384
APA StyleLiu, X., Yan, S., Li, M., Zhang, S., Guo, G., Yin, Q., Tong, Z., Chen, X. D., & Wu, W. D. (2022). Spray Dried Levodopa-Doped Powder Potentially for Intranasal Delivery. Pharmaceutics, 14(7), 1384. https://doi.org/10.3390/pharmaceutics14071384

