Membrane Permeability and Aqueous Stability Study of Linear and Cyclic Diarylheptanoids from Corylus maxima
Abstract
:1. Introduction
2. Materials and Methods
2.1. Plant Material
2.2. Solvents and Chemicals
2.3. Extraction and Sample Preparation
2.4. UHPLC-DAD-Orbitrap® MS Analyses
2.5. Isolation Procedures
2.6. NMR Spectroscopy
2.7. Determination of Aqueous Stability
2.8. Parallel Artificial Membrane Permeability Assay (PAMPA) Studies
3. Results and Discussion
3.1. Structure Elucidation by UHPLC-Orbitrap® MS and NMR
3.2. Determination of Aqueous Stability
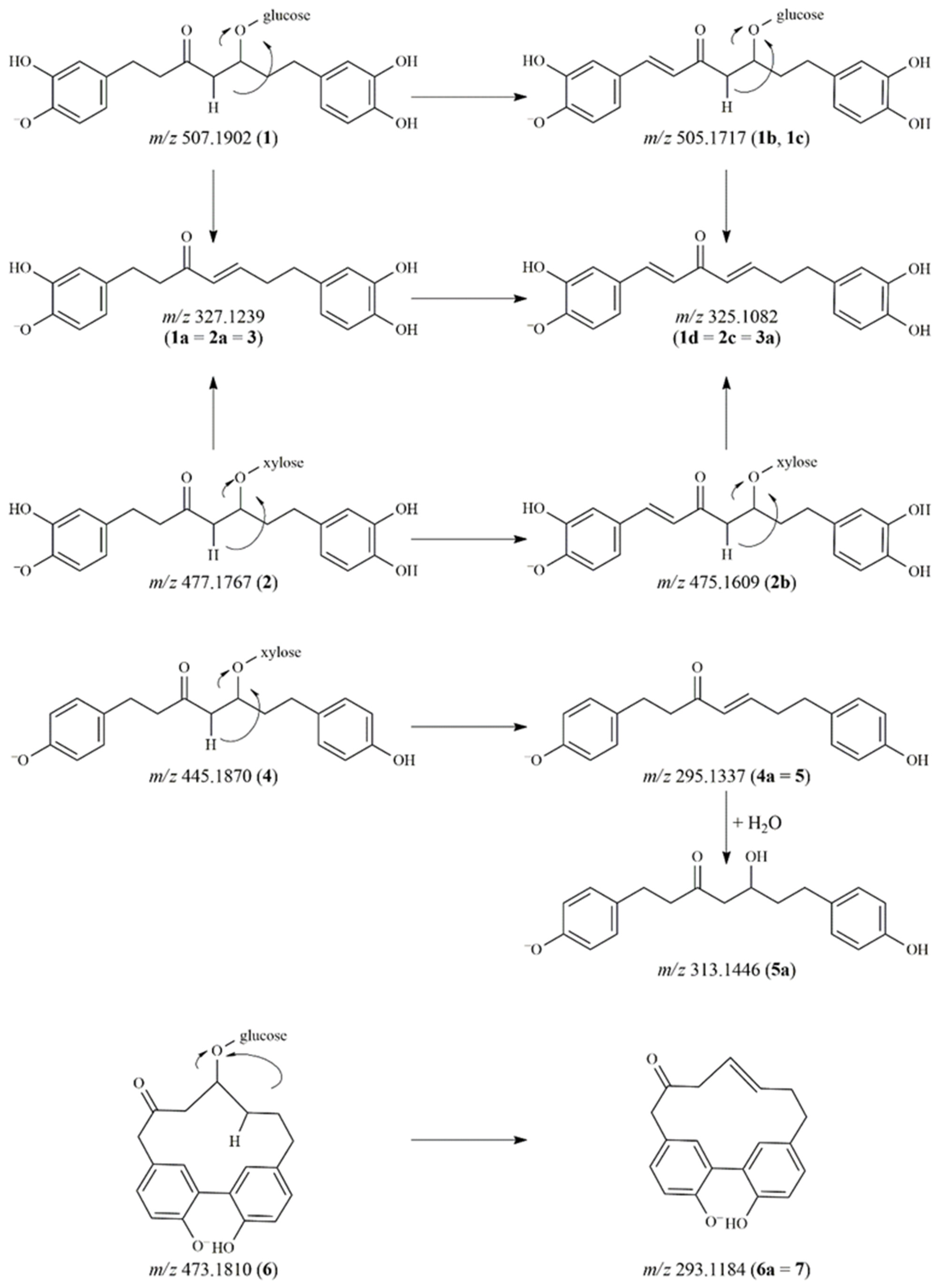
3.3. Characterization of the Degradation Products by UHPLC-Orbitrap® MS
3.4. Parallel Artificial Membrane Permeability Assay (PAMPA) Studies
4. Conclusions
Supplementary Materials
Author Contributions
Funding
Institutional Review Board Statement
Informed Consent Statement
Data Availability Statement
Conflicts of Interest
References
- Vogel, H.A.; Pelletier, P.J. Examen Chimique de la Racine de Curcuma. J. Pharm. Sci. Accessoires 1815, 1, 289–300. [Google Scholar]
- Alberti, Á.; Riethmüller, E.; Béni, S. Characterization of Diarylheptanoids: An Emerging Class of Bioactive Natural Products. J. Pharm. Biomed. Anal. 2018, 147, 13–34. [Google Scholar] [CrossRef] [PubMed] [Green Version]
- Riethmüller, E.; Alberti, Á.; Tóth, G.; Béni, S.; Ortolano, F.; Kéry, Á. Characterisation of Diarylheptanoid- and Flavonoid-Type Phenolics in Corylus avellana L. Leaves and Bark by HPLC/DAD-ESI/MS. Phytochem. Anal. 2013, 24, 493–503. [Google Scholar] [CrossRef] [PubMed]
- Riethmüller, E.; Tóth, G.; Alberti, Á.; Sonati, M.; Kéry, Á. Antioxidant Activity and Phenolic Composition of Corylus colurna. Nat. Prod. Commun. 2014, 9, 679–682. [Google Scholar] [PubMed]
- Riethmüller, E.; Tóth, G.; Alberti, Á.; Végh, K.; Burlini, I.; Könczöl, Á.; Balogh, G.T.; Kéry, Á. First Characterisation of Flavonoid- and Diarylheptanoid-Type Antioxidant Phenolics in Corylus maxima by HPLC-DAD-ESI-MS. J. Pharm. Biomed. Anal. 2015, 107, 159–167. [Google Scholar] [CrossRef]
- Bottone, A.; Cerulli, A.; D’Urso, G.; Masullo, M.; Montoro, P.; Napolitano, A.; Piacente, S. Plant Specialized Metabolites in Hazelnut (Corylus avellana) Kernel and Byproducts: An Update on Chemistry, Biological Activity, and Analytical Aspects. Planta Med. 2019, 85, 840–855. [Google Scholar] [CrossRef] [Green Version]
- Masullo, M.; Lauro, G.; Cerulli, A.; Bifulco, G.; Piacente, S. Corylus avellana: A Source of Diarylheptanoids With α-Glucosidase Inhibitory Activity Evaluated by In Vitro and In Silico Studies. Front. Plant. Sci. 2022, 13, 805660. [Google Scholar] [CrossRef]
- Nelson, K.M.; Dahlin, J.L.; Bisson, J.; Graham, J.; Pauli, G.F.; Walters, M.A. The Essential Medicinal Chemistry of Curcumin. J. Med. Chem. 2017, 60, 1620–1637. [Google Scholar] [CrossRef]
- Kuo, C.H.; Lee, C.W.; Lai, Y.C.; Lee, S.S. Determination of Oregonin in Alnus Plants and Biological Samples by Capillary Electrophoresis. J. Pharm. Biomed. Anal. 2008, 47, 195–200. [Google Scholar] [CrossRef]
- Sunnerheim-Sjöberg, K.; Knutsson, P.G. Platyphylloside: Metabolism and Digestibility Reduction In Vitro. J. Chem. Ecol. 1995, 21, 1339–1348. [Google Scholar] [CrossRef]
- Moon, K.; Ahn, B.K.; Lee, S.G.; Lee, S.H.; Yeom, D.W.; Choi, Y. Enhanced Aqueous Stability of Hirsutenone with Antioxidant. J. Pharm. Investig. 2011, 41, 331–336. [Google Scholar] [CrossRef]
- Avdeef, A. Absorption and Drug Development, 2nd ed.; John Wiley & Sons: Hoboken, NJ, USA, 2012; Chapter 7; pp. 319–498. [Google Scholar]
- Wada, H.; Tachibana, H.; Fuchino, H.; Tanaka, N. Three New Diarylheptanoid Glycosides from Alnus japonica. Chem. Pharm. Bull. 1998, 46, 1054–1055. [Google Scholar] [CrossRef] [Green Version]
- Ryu, M.; Sung, C.K.; Im, Y.J.; Chun, C. Activation of JNK and p38 in MCF-7 Cells and the In Vitro Anticancer Activity of Alnus hirsuta Extract. Molecules 2020, 25, 1073. [Google Scholar] [CrossRef] [PubMed] [Green Version]
- Chen, J.; Gonzalez-Laredo, R.F.; Karchesy, J.J. Minor Diarylheptanoid Glycosides of Alnus rubra Bark. Phytochemistry 2000, 53, 971–973. [Google Scholar] [CrossRef]
- Nomura, M.; Tokoroyama, T.; Kubota, T. Three New Cyclized C9–C1–C9 Compounds from Alnus japonica Steud. J. Chem. Soc. Chem. Commun. 1974, 2, 65–66. [Google Scholar] [CrossRef]
- Masullo, M.; Cerulli, A.; Olas, B.; Pizza, C.; Piacente, S. Giffonins A-I, Antioxidant Cyclized Diarylheptanoids from the Leaves of the Hazelnut Tree (Corylus avellana), Source of the Italian PGI Product “Nocciola di Giffoni”. J. Nat. Prod. 2015, 78, 17–25. [Google Scholar] [CrossRef]
- Cerulli, A.; Lauro, G.; Masullo, M.; Cantone, V.; Olas, B.; Kontek, B.; Nazzaro, F.; Bifulco, G.; Piacente, S. Cyclic Diarylheptanoids from Corylus avellana Green Leafy Covers: Determination of Their Absolute Configurations and Evaluation of Their Antioxidant and Antimicrobial Activities. J. Nat. Prod. 2017, 80, 1703–1713. [Google Scholar] [CrossRef]
- Felegyi-Tóth, C.A.; Garádi, Z.; Darcsi, A.; Csernák, O.; Boldizsár, I.; Béni, S.; Alberti, Á. Isolation and Quantification of Diarylheptanoids from European Hornbeam (Carpinus betulus L.) and HPLC-ESI-MS/MS Characterization of Its Antioxidative Phenolics. J. Pharm. Biomed. Anal. 2022, 210, 114554. [Google Scholar] [CrossRef]
- Meotti, F.C.; Senthilmohan, R.; Harwood, D.T.; Missau, F.C.; Pizzolatti, M.G.; Kettle, A.J. Myricitrin as a Substrate and Inhibitor of Myeloperoxidase: Implications for the Pharmacological Effects of Flavonoids. Free Radic. Biol. Med. 2008, 44, 109–120. [Google Scholar] [CrossRef]
- Könczöl, Á.; Müller, J.; Földes, E.; Béni, Z.; Végh, K.; Kéry, Á.; Balogh, G.T. Applicability of a Blood-Brain Barrier Specific Artificial Membrane Permeability Assay at the Early Stage of Natural Product-Based CNS Drug Discovery. J. Nat. Prod. 2013, 76, 655–663. [Google Scholar] [CrossRef]
- Lv, H.; She, G. Naturally Occurring Diarylheptanoids—A supplementary version. Rec. Nat. Prod. 2012, 6, 321–333. [Google Scholar]
- Chen, P.; Lin, X.; Yang, C.H.; Tang, X.; Chang, Y.W.; Zheng, W.; Luo, L.; Xu, C.; Chen, Y.H. Study on Chemical Profile and Neuroprotective Activity of Myrica rubra Leaf Extract. Molecules 2017, 22, 1226. [Google Scholar] [CrossRef] [Green Version]
- Dai, G.; Tong, Y.; Chen, X.; Ren, Z.; Ying, X.; Yang, F.; Chai, K. Myricanol Induces Apoptotic Cell Death and Anti-Tumor Activity in Non-Small Cell Lung Carcinoma In Vivo. Int. J. Mol. Sci. 2015, 16, 2717–2731. [Google Scholar] [CrossRef] [PubMed]
- Ibrahim, S.R.M.; Mohamed, G.A.; Khedr, A.I.M.; Aljaeid, B.M. Anti-oxidant and Anti-Inflammatory Cyclic Diarylheptanoids from Alnus japonica Stem Bark. Iran. J. Pharm. Res. 2017, 16, 83–91. [Google Scholar] [CrossRef]


| No. | [M-H]− (m/z) Experimental | [M-H]− (m/z) Calculated | Error (ppm) | Fragment Ions (m/z) (Molecular Formula, Mass Error in ppm) | Molecular Formula | Proposed Compound |
|---|---|---|---|---|---|---|
| 1 | 507.1870 | 507.1866 | 1.76 | 327.1239 (C19H19O5, 3.67), 205.0864 (C12H13O3, 2.16), 179.0699 (C10H11O3, −1.81), 121.0280 (C7H5O2, −3.48) | C25H32O11 | hirsutanonol-5-O-β-D-glucopyranoside * |
| 1a | 327.1239 | 327.1233 | 3.69 | 205.0864 (C12H13O3, 2.16), 179.0699 (C10H11O3, −1.81), 121.0280 (C7H5O2, 3.48) | C19H20O5 | hirsutenone |
| 1b | 505.1718 | 505.1710 | 2.66 | 325.1080 (C19H17O5, 2.93), 203.0706 (C12H11O3, 1.56), 161.0598 (C10H9O2, 0.58), 135.0435 (C8H7O2, −3.98), 121.0280 (C7H5O2, −3.48) | C25H30O11 | 1,7-bis(3,4-dihydroxyphenyl)hepta-1,4-dien-3-one-glycoside |
| 1c | 505.1717 | 505.1710 | 2.25 | 325.1080 (C19H17O5, 2.93), 203.0706 (C12H11O3, 1.56), 161.0598 (C10H9O2, 0.58), 135.0434 (C8H7O2, −4.41), 121.0280 (C7H5O2, −3.48) | C25H30O11 | 1,7-bis(3,4-dihydroxyphenyl)hepta-1,4-dien-3-one-glycoside |
| 1d | 325.1082 | 325.1076 | 3.67 | 203.0706 (C12H11O3, 1.56), 161.0596 (C10H9O2, −0.94), 135.0438 (C8H7O2, −2.19), 121.0280 (C7H5O2, −3.48) | C19H18O5 | 1,7-bis(3,4-dihydroxyphenyl)hepta-1,4-dien-3-one |
| 2 | 477.1767 | 477.1761 | 3.85 | 327.1234 (C19H19O5, 2.09), 205.0863 (C12H13O3, 1.94), 179.0699 (C10H11O3, −1.81), 121.0281 (C7H5O2, −2.91) | C24H29O10 | oregonin * |
| 2a | 327.1239 | 327.1233 | 3.67 | 205.0864 (C12H13O3, 2.16), 179.0699 (C10H11O3, −1.81), 121.0281 (C7H5O2, −2.91) | C19H20O5 | hirsutenone |
| 2b | 475.1609 | 475.1604 | 2.20 | 325.1081 (C19H17O5, 3.30), 203.0704 (C12H11O3, 0.51), 161.0598 (C10H9O2, 0.58), 135.0441 (C8H7O2, 0.08) | C24H28O10 | 1,7-bis(3,4-dihydroxyphenyl)hepta-1,4-dien-3-one-xyloside |
| 2c | 325.1083 | 325.1076 | 3.78 | 203.0706 (C12H11O3, 1.56), 161.0597 (C10H9O2, 0.20), 135.0438 (C8H7O2, −2.06) | C19H18O5 | 1,7-bis(3,4-dihydroxyphenyl)hepta-1,4-dien-3-one |
| 3 | 327.1239 | 327.1233 | 3.67 | 205.0863 (C12H13O3, 1.94), 179.0699 (C10H11O3, −1.81), 121.0280 (C7H5O2, −3.48) | C19H20O5 | hirsutenone |
| 3a | 325.1082 | 325.1076 | 3.57 | 203.0706 (C12H11O3, 1.56), 161.0596 (C10H9O2, −0.94), 151.0385 (C8H7O3, −3.13), 135.0438 (C8H7O2, −2.06), 121.0281 (C7H5O2, −2.91), 109.0281 (C6H5O2, −2.81) | C19H18O5 | 1,7-bis(3,4-dihydroxyphenyl)hepta-1,4-dien-3-one-glycoside |
| 4 | 445.1870 | 445.1862 | 2.82 | 295.1339 (C19H19O3, 3.32), 189.0912 (C12H13O2, 1.20) | C24H30O8 | platyphyllonol-5-O-β-D-xylopyranoside |
| 4a | 295.1337 | 295.1334 | 2.91 | 189.0911 (C12H13O2, 0.39) | C19H20O3 | platyphyllenone |
| 5 | 295.1338 | 295.1334 | 3.22 | 189.0911 (C12H13O2, 0.39) | C19H20O3 | platyphyllenone |
| 5a | 313.1446 | 313.1440 | 3.78 | 163.0753 (C10H11O2, −0.42), 149.0595 (C9H9O2, −1.22) | C19H22O4 | platyphyllone, platyphyllonol |
| 6 | 473.1810 | 473.1812 | 2.68 | 293.1183 (C19H17O3, 3.74), 265.1220 (C18H17O2, −0.78), 251.1070 (C17H15O2, 1.59), 224.0834 (C15H22O2, 0.79), 210.0673 (C14H10O2, −1.14), 197.0597 (C13H9O2, 0.08) | C25H30O9 | alnusonol-11-O-β-D-glucopyranoside |
| 6a | 293.1184 | 293.1178 | 3.65 | 265.1221 (C18H17O2, −0.89), 251.1071 (C17H15O2, 1.71), 224.0834 (C15H22O2, 0.79), 210.0673 (C14H10O2, −1.14), 197.0596 (C13H9O2, −0.53) | C19H18O3 | alnusone |
| 7 | 293.1184 | 293.1178 | 3.85 | 265.1221 (C18H17O2, −0.89), 251.1071 (C17H15O2, 1.71), 224.0835 (C15H22O2, 1.47), 210.0673 (C14H10O2, −1.14), 197.0596 (C13H9O2, −0.53) | C19H18O3 | alnusone |
| 8 | 369.1350 | 369.1338 | 3.32 | 339.0873 (C19H15O6, 2.85) | C21H22O6 | giffonin F |
| 9 | 343.1187 | 343.1182 | 3.11 | 283.0976 (C17H15O4, 4.03), 269.0819 (C16H13O4, 3.99), 211.0756 (C14H11O2, 1.26) | C19H20O6 | carpinontriol B |
| 10 | 447.0934 | 447.0927 | 2.60 | 301.0343 (C15H9O7, 0.18), 300.0274 (C15H8O7, 3.27), 271.0247 (C14H7O6, 3.71), 255.0296 (C14H7O5, 2.96) | C21H20O11 | quercitrin * |
| 11 | 463.0885 | 463.0877 | 3.08 | 316.0223 (C15H8O8, 3.55), 287.0197 (C14H7O7, 4.10), 271.0249 (C14H7O6, 4.38), 242.0219 (C13H6O5, 2.27), 178.9976 (C8H3O5, 0.50) | C21H20O12 | myricitrin * |
| 11a | 925.1686 | 925.1675 | 1.98 | 779.1099 (C36H27O20, 0.45), 633.0499 (C30H17O16, −2.79), 435.0356 (C22H11O10, 0.85) | C42H38O24 | myricitrin dimer derivative |
| 11b | 925.1682 | 925.1675 | 1.39 | 779.1106 (C36H27O20, 1.32), 633.0532 (C30H17O16, 2.42), 597.0872 (C28H21O15, −1.42), 513.0441 (C27H13O11, −3.35), 435.0369 (C22H11O10, 3.85) | C42H38O24 | myricitrin dimer derivative |
| 11c | 895.1583 | 895.1569 | 2.20 | 749.1026 (C35H25O19, 4.79), 585.0311 (C29H13O14, 1.86), 557.0357 (C28H13O13, 0.14) | C41H36O23 | myricitrin derivative |
| 11d | 941.1633 | 941.1624 | 1.52 | 897.1686 (C41H37O23, −4.43), 751.1133 (C35H27O19, −1.81), 527.0229 (C27H11O12, −4.08), 393.0253 (C20H9O9, 1.63) | C42H38O25 | myricitrin derivative |
| Aqueous Stability | log Pe PAMPA-BBB (n = 9) | log Pe PAMPA-GI (n = 9) | clog P | |||
|---|---|---|---|---|---|---|
| pH = 1.2 (n = 3) | pH = 6.8 (n = 3) | pH = 7.4 (n = 3) | ||||
| hirsutanonol-5-O-β-D-glucopyranoside (1) | 97.03 ± 2.74 | 95.95 ± 1.52 * | 63.26 ± 1.93 * | n.d. | n.d. | 1.3 |
| oregonin (2) | 98.67 ± 2.43 | 91.22 ± 3.01 * | 59.93 ± 2.85 * | n.d. | n.d. | 1.9 |
| hirsutenone (3) | 99.63 ± 0.37 | 96.22 ± 2.87 | 83.80 ± 2.41 * | n.d. | n.d. | 3.9 |
| platyphyllonol-5-O-β-D-xylopyranoside (4) | 100.47 ± 1.7 | 98.78 ± 0.91 | 89.79 ± 2.00 * | n.d. | n.d. | 2.6 |
| platyphyllenone (5) | 99.45 ± 1.05 | 94.98 ± 2.10 * | 90.40 ± 1.52 * | −5.24 ± 0.25 | −4.92 ± 0.07 | 4.5 |
| alnusonol-11-O-β-D-glucopyranoside (6) | 100.92 ± 2.92 | 74.03 ± 1.39 * | 61.76 ± 0.58 * | n.d. | n.d. | 1.6 |
| alnusone (7) | 99.86 ± 0.50 | 101.55 ± 2.14 | 100.47 ± 1.87 | −4.66 ± 0.14 | −4.90 ± 0.17 | 4.2 |
| giffonin F (8) | 99.97 ± 1.01 | 102.68 ± 2.45 | 100.92 ± 2.02 | n.d. | n.d. | 2.8 |
| carpinontriol B (9) | 102.75 ± 1.09 | 101.51 ± 1.75 | 103.28 ± 1.81 | n.d. | −5.49 ± 0.30 | 1.6 |
| quercitrin (10) | 100.91 ± 0.53 | 102.35 ± 1.85 | 100.75 ± 0.96 | n.d. | n.d. | 0.9 |
| myricitrin (11) | 96.23 ± 2.46 | 99.94 ± 0.55 | 48.44 ± 6.15 * | n.d. | n.d. | 0.6 |
Publisher’s Note: MDPI stays neutral with regard to jurisdictional claims in published maps and institutional affiliations. |
© 2022 by the authors. Licensee MDPI, Basel, Switzerland. This article is an open access article distributed under the terms and conditions of the Creative Commons Attribution (CC BY) license (https://creativecommons.org/licenses/by/4.0/).
Share and Cite
Felegyi-Tóth, C.A.; Tóth, Z.; Garádi, Z.; Boldizsár, I.; Nedves, A.N.; Simon, A.; Felegyi, K.; Alberti, Á.; Riethmüller, E. Membrane Permeability and Aqueous Stability Study of Linear and Cyclic Diarylheptanoids from Corylus maxima. Pharmaceutics 2022, 14, 1250. https://doi.org/10.3390/pharmaceutics14061250
Felegyi-Tóth CA, Tóth Z, Garádi Z, Boldizsár I, Nedves AN, Simon A, Felegyi K, Alberti Á, Riethmüller E. Membrane Permeability and Aqueous Stability Study of Linear and Cyclic Diarylheptanoids from Corylus maxima. Pharmaceutics. 2022; 14(6):1250. https://doi.org/10.3390/pharmaceutics14061250
Chicago/Turabian StyleFelegyi-Tóth, Csenge Anna, Zsófia Tóth, Zsófia Garádi, Imre Boldizsár, Andrea Nagyné Nedves, Alexandra Simon, Kristóf Felegyi, Ágnes Alberti, and Eszter Riethmüller. 2022. "Membrane Permeability and Aqueous Stability Study of Linear and Cyclic Diarylheptanoids from Corylus maxima" Pharmaceutics 14, no. 6: 1250. https://doi.org/10.3390/pharmaceutics14061250
APA StyleFelegyi-Tóth, C. A., Tóth, Z., Garádi, Z., Boldizsár, I., Nedves, A. N., Simon, A., Felegyi, K., Alberti, Á., & Riethmüller, E. (2022). Membrane Permeability and Aqueous Stability Study of Linear and Cyclic Diarylheptanoids from Corylus maxima. Pharmaceutics, 14(6), 1250. https://doi.org/10.3390/pharmaceutics14061250

