Parietin Cyclodextrin-Inclusion Complex as an Effective Formulation for Bacterial Photoinactivation
Abstract
:1. Introduction
2. Materials and Methods
2.1. Materials
2.2. Bacterial Strains and Media
2.3. Light Source
2.4. Stoichiometry: Job’s Plot
2.5. Phase Solubility Study
2.6. Preparation of PTN/HP-β-CD Complexes and Physical Mixture
2.7. Characterization of PTN/HP-β-CD Complexes
2.7.1. 1H NMR Spectroscopy and 2D ROESY
2.7.2. FT-IR Analysis
2.7.3. Powder X-ray Diffraction (PXRD)
2.7.4. Scanning Electron Microscopy (SEM)
2.7.5. Differential Scanning Calorimetry (DSC)
2.7.6. UV/Vis Absorption Spectroscopy
2.7.7. Singlet Oxygen Quantum Yield
2.7.8. Photostability of Inclusion Complexes
2.8. Bacterial Viability Assay
2.9. Statistical Analysis
3. Results and Discussion
3.1. Stoichiometry: Job’s Plot
3.2. Phase Solubility Study
3.3. Characterization of PTN/HP-β-CD Complexes
3.3.1. 1H NMR Spectroscopy and 2D ROESY
3.3.2. FT-IR Analysis
3.3.3. Powder X-ray Diffraction (PXRD)
3.3.4. Scanning Electron Microscopy (SEM)
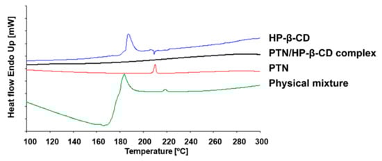
3.3.5. Differential Scanning Calorimetry (DSC)
3.3.6. UV/Vis Absorption Spectroscopy
3.3.7. Singlet Oxygen Quantum Yield
3.3.8. Photostability of Inclusion Complex
3.4. Bacterial Viability Assay
4. Conclusions
Author Contributions
Funding
Institutional Review Board Statement
Informed Consent Statement
Data Availability Statement
Acknowledgments
Conflicts of Interest
References
- Organisation for Economic Co-operation and Development (OECD) and European Centers for Disease Control and Prevention. Antimicrobial Resistance: Trackling the Burden in the European Union; Briefing Note for EU/EEA Countries; OECD Publications: Paris, France, 2019. [Google Scholar]
- O’Neill, J. Tackling Drug-Resistant Infections Globally: Final Report and Recommendations. The Review on Antimicrobial Resistance; Government of the United Kingdom: London, UK, 2016. [Google Scholar]
- Renwick, M.J.; Simpkin, V.; Mossialos, E. Targeting Innovation in Antibiotic Drug Discovery and Development: The Need for a One Health—One Europe—One World Framework; European Observatory on Health Systems and Policies: Copenhagen, Denmark, 2016; ISBN 9789289050401. [Google Scholar]
- Prestinaci, F.; Pezzotti, P.; Pantosti, A. Antimicrobial resistance: A global multifaceted phenomenon. Pathog. Glob. Health 2015, 109, 309–318. [Google Scholar] [CrossRef] [PubMed] [Green Version]
- Spellberg, B. The Future of Antibiotics. Crit. Care 2014, 18, 228. [Google Scholar] [CrossRef] [PubMed] [Green Version]
- Polat, E.; Kang, K. Natural Photosensitizers in Antimicrobial Photodynamic Therapy. Biomedicines 2021, 9, 584. [Google Scholar] [CrossRef] [PubMed]
- Hamblin, M.R. Antimicrobial photodynamic inactivation: A bright new technique to kill resistant microbes. Curr. Opin. Microbiol. 2016, 33, 67–73. [Google Scholar] [CrossRef] [PubMed] [Green Version]
- Cieplik, F.; Deng, D.; Crielaard, W.; Buchalla, W.; Hellwig, E.; Al-Ahmad, A.; Maisch, T. Antimicrobial photodynamic therapy—What we know and what we don’t. Crit. Rev. Microbiol. 2018, 44, 571–589. [Google Scholar] [CrossRef] [PubMed] [Green Version]
- Agel, M.R.; Baghdan, E.; Pinnapireddy, S.R.; Lehmann, J.; Schäfer, J.; Bakowsky, U. Curcumin loaded nanoparticles as efficient photoactive formulations against gram-positive and gram-negative bacteria. Colloids Surf. B Biointerfaces 2019, 178, 460–468. [Google Scholar] [CrossRef]
- Plenagl, N.; Seitz, B.S.; Duse, L.; Pinnapireddy, S.R.; Jedelska, J.; Brüßler, J.; Bakowsky, U. Hypericin Inclusion Complexes Encapsulated in Liposomes for Antimicrobial Photodynamic Therapy. Int. J. Pharm. 2019, 570, 118666. [Google Scholar] [CrossRef]
- Maldonado-Carmona, N.; Ouk, T.S.; Calvete, M.J.F.; Pereira, M.M.; Villandier, N.; Leroy-Lhez, S. Conjugating biomaterials with photosensitizers: Advances and perspectives for photodynamic antimicrobial chemotherapy. Photochem. Photobiol. Sci. 2020, 19, 445–461. [Google Scholar] [CrossRef]
- Wainwright, M.; Maisch, T.; Nonell, S.; Plaetzer, K.; Almeida, A.; Tegos, G.P.; Hamblin, M.R. Photoantimicrobials-Are We Afraid of the Light? Lancet Infect. Dis. 2017, 17, e49–e55. [Google Scholar] [CrossRef]
- Solhaug, K.A.; Gauslaa, Y. Parietin, a Photoprotective Secondary Product of the Lichen Xanthoria Parietina. Oecologia 1996, 108, 412–418. [Google Scholar] [CrossRef]
- Basile, A.; Rigano, D.; Loppi, S.; di Santi, A.; Nebbioso, A.; Sorbo, S.; Conte, B.; Paoli, L.; de Ruberto, F.; Molinari, A.; et al. Antiproliferative, Antibacterial and Antifungal Activity of the Lichen Xanthoria Parietina and Its Secondary Metabolite Parietin. Int. J. Mol. Sci. 2015, 16, 7861–7875. [Google Scholar] [CrossRef] [PubMed]
- Nguyen, K.-H.; Chollet-Krugler, M.; Gouault, N.; Tomasi, S. UV-Protectant Metabolites from Lichens and Their Symbiotic Partners. Nat. Prod. Rep. 2013, 30, 1490–1508. [Google Scholar] [CrossRef] [PubMed]
- Boustie, J.; Grube, M. Lichens—A Promising Source of Bioactive Secondary Metabolites. Plant Genet. Resour. 2005, 3, 273–287. [Google Scholar] [CrossRef] [Green Version]
- Comini, L.R.; Morán Vieyra, F.E.; Mignone, R.A.; Páez, P.L.; Laura Mugas, M.; Konigheim, B.S.; Cabrera, J.L.; Núñez Montoya, S.C.; Borsarelli, C.D. Parietin: An Efficient Photo-Screening Pigment in Vivo with Good Photosensitizing and Photodynamic Antibacterial Effects in Vitro. Photochem. Photobiol. Sci. 2017, 16, 201–210. [Google Scholar] [CrossRef] [PubMed]
- Cogno, I.S.; Gilardi, P.; Comini, L.; Núñez-Montoya, S.C.; Cabrera, J.L.; Rivarola, V.A. Natural Photosensitizers in Photodynamic Therapy: In Vitro Activity against Monolayers and Spheroids of Human Colorectal Adenocarcinoma SW480 Cells. Photodiagnosis Photodyn. Ther. 2020, 31, 101852. [Google Scholar] [CrossRef]
- Ayoub, A.M.; Amin, M.U.; Ambreen, G.; Dayyih, A.A.; Abdelsalam, A.M.; Somaida, A.; Engelhardt, K.; Wojcik, M.; Schäfer, J.; Bakowsky, U. Photodynamic and Antiangiogenic Activities of Parietin Liposomes in Triple Negative Breast Cancer. Mater. Sci. Eng. C 2021, 112543. [Google Scholar] [CrossRef]
- Davis, M.E.; Brewster, M.E. Cyclodextrin-Based Pharmaceutics: Past, Present and Future. Nat. Rev. Drug Discov. 2004, 3, 1023–1035. [Google Scholar] [CrossRef]
- Szejtli, J. Introduction and General Overview of Cyclodextrin Chemistry. Chem. Rev. 1998, 98, 1743–1754. [Google Scholar] [CrossRef] [PubMed]
- Dentuto, P.L.; Catucci, L.; Cosma, P.; Fini, P.; Agostiano, A.; Hackbarth, S.; Rancan, F.; Roeder, B. Cyclodextrin/Chlorophyll a Complexes as Supramolecular Photosensitizers. Bioelectrochemistry 2007, 70, 39–43. [Google Scholar] [CrossRef]
- Aggelidou, C.; Theodossiou, T.A.; Gonçalves, A.R.; Lampropoulou, M.; Yannakopoulou, K. A Versatile δ-Aminolevulinic Acid (ALA)-Cyclodextrin Bimodal Conjugate-Prodrug for PDT Applications with the Help of Intracellular Chemistry. Beilstein J. Org. Chem. 2014, 10, 2414–2420. [Google Scholar] [CrossRef]
- Yakavets, I.; Lassalle, H.-P.; Scheglmann, D.; Wiehe, A.; Zorin, V.; Bezdetnaya, L. Temoporfin-in-Cyclodextrin-in-Liposome—A New Approach for Anticancer Drug Delivery: The Optimization of Composition. Nanomaterials 2018, 8, 847. [Google Scholar] [CrossRef] [PubMed] [Green Version]
- Paul, S.; Heng, P.W.S.; Chan, L.W. PH-Dependent Complexation of Hydroxypropyl-Beta-Cyclodextrin with Chlorin E6: Effect on Solubility and Aggregation in Relation to Photodynamic Efficacy. J. Pharm. Pharmacol. 2016, 68, 439–449. [Google Scholar] [CrossRef] [PubMed]
- Wikene, K.O.; Hegge, A.B.; Bruzell, E.; Tønnesen, H.H. Formulation and Characterization of Lyophilized Curcumin Solid Dispersions for Antimicrobial Photodynamic Therapy (APDT): Studies on Curcumin and Curcuminoids LII. Drug Dev. Ind. Pham. 2015, 41, 969–977. [Google Scholar] [CrossRef] [PubMed] [Green Version]
- Allison, R.R.; Downie, G.H.; Cuenca, R.; Hu, X.-H.; Childs, C.J.; Sibata, C.H. Photosensitizers in Clinical PDT. Photodiagnosis Photodyn. Ther. 2004, 1, 27–42. [Google Scholar] [CrossRef]
- Henderson, B.W.; Busch, T.M.; Snyder, J.W. Fluence Rate as a Modulator of PDT Mechanisms. Lasers Surg. Med. 2006, 38, 489–493. [Google Scholar] [CrossRef]
- Hegge, A.B.; Vukicevic, M.; Bruzell, E.; Kristensen, S.; Tønnesen, H.H. Solid Dispersions for Preparation of Phototoxic Supersaturated Solutions for Antimicrobial Photodynamic Therapy (APDT): Studies on Curcumin and Curcuminoides L. Eur. J. Pharm. Biopharm. 2013, 83, 95–105. [Google Scholar] [CrossRef]
- Ribeiro, C.P.S.; Gamelas, S.R.D.; Faustino, M.A.F.; Gomes, A.T.P.C.; Tomé, J.P.C.; Almeida, A.; Lourenço, L.M.O. Unsymmetrical Cationic Porphyrin-Cyclodextrin Bioconjugates for Photoinactivation of Escherichia Coli. Photodiagnosis Photodyn. Ther. 2020, 31, 101788. [Google Scholar] [CrossRef]
- Mora, S.J.; Cormick, M.P.; Milanesio, M.E.; Durantini, E.N. The Photodynamic Activity of a Novel Porphyrin Derivative Bearing a Fluconazole Structure in Different Media and against Candida Albicans. Dye. Pigment. 2010, 87, 234–240. [Google Scholar] [CrossRef]
- Gao, Y.; Wang, J.; Hu, D.; Deng, Y.; Chen, T.; Jin, Q.; Ji, J. Bacteria-Targeted Supramolecular Photosensitizer Delivery Vehicles for Photodynamic Ablation against Biofilms. Macromol. Rapid Commun. 2019, 40, e1800763. [Google Scholar] [CrossRef] [PubMed]
- Abu Dayyih, A.; Alawak, M.; Ayoub, A.M.; Amin, M.U.; Abu Dayyih, W.; Engelhardt, K.; Duse, L.; Preis, E.; Brüßler, J.; Bakowsky, U. Thermosensitive liposomes encapsulating hypericin: Characterization and photodynamic efficiency. Int. J. Pharm. 2021, 609, 121195. [Google Scholar] [CrossRef] [PubMed]
- Qiu, N.; Zhao, X.; Liu, Q.; Shen, B.; Liu, J.; Li, X.; An, L. Inclusion Complex of Emodin with Hydroxypropyl-$β$-Cyclodextrin: Preparation, Physicochemical and Biological Properties. J. Mol. Liq. 2019, 289, 111151. [Google Scholar] [CrossRef]
- Higuchi, T.; Connors, K.A. Phase Solubility Techniques. Adv. Anal. Chem. Instrum. 1965, 4, 117–212. [Google Scholar]
- Abdelsalam, A.M.; Somaida, A.; Ambreen, G.; Ayoub, A.M.; Tariq, I.; Engelhardt, K.; Garidel, P.; Fawaz, I.; Amin, M.U.; Wojcik, M.; et al. Surface Tailored Zein as a Novel Delivery System for Hypericin: Application in Photodynamic Therapy. Mater. Sci. Eng. C 2021, 129, 112420. [Google Scholar] [CrossRef]
- Raschpichler, M.; Preis, E.; Pinnapireddy, S.R.; Baghdan, E.; Pourasghar, M.; Schneider, M.; Bakowsky, U. Photodynamic Inactivation of Circulating Tumor Cells: An Innovative Approach against Metastatic Cancer. Eur. J. Pharm. Biopharm. 2020, 157, 38–46. [Google Scholar] [CrossRef]
- Zhao, R.; Sandström, C.; Zhang, H.; Tan, T. NMR Study on the Inclusion Complexes of β-Cyclodextrin with Isoflavones. Molecules 2016, 21, 372. [Google Scholar] [CrossRef] [PubMed] [Green Version]
- Edwards, H.G.M.; Newton, E.M.; Wynn-Williams, D.D.; Coombes, S.R. Molecular Spectroscopic Studies of Lichen Substances 1: Parietin and Emodin. J. Mol. Struct. 2003, 648, 49–59. [Google Scholar] [CrossRef]
- Zhou, S.-Y.; Ma, S.-X.; Cheng, H.-L.; Yang, L.-J.; Chen, W.; Yin, Y.-Q.; Shi, Y.-M.; Yang, X.-D. Host–Guest Interaction between Pinocembrin and Cyclodextrins: Characterization, Solubilization and Stability. J. Mol. Struct. 2014, 1058, 181–188. [Google Scholar] [CrossRef]
- Jahed, V.; Zarrabi, A.; Bordbar, A.; Hafezi, M.S. NMR (1H, ROESY) Spectroscopic and Molecular Modelling Investigations of Supramolecular Complex of β-Cyclodextrin and Curcumin. Food Chem. 2014, 165, 241–246. [Google Scholar] [CrossRef]
- Savic-Gajic, I.; Savic, I.M.; Nikolic, V.D.; Nikolic, L.B.; Popsavin, M.M.; Kapor, A.J. Study of the Solubility, Photostability and Structure of Inclusion Complexes of Carvedilol with β-Cyclodextrin and (2-Hydroxypropyl)-β-Cyclodextrin. J. Incl. Phenom. Macrocycl. Chem. 2016, 86, 7–17. [Google Scholar] [CrossRef]
- Soomro, N.A.; Wu, Q.; Amur, S.A.; Liang, H.; Ur Rahman, A.; Yuan, Q.; Wei, Y. Natural Drug Physcion Encapsulated Zeolitic Imidazolate Framework, and Their Application as Antimicrobial Agent. Colloids Surf. B Biointerfaces 2019, 182, 110364. [Google Scholar] [CrossRef]
- Yang, B.; Lin, J.; Chen, Y.; Liu, Y. Artemether/Hydroxypropyl-Beta-Cyclodextrin Host-Guest System: Characterization, Phase-Solubility and Inclusion Mode. Bioorganic Med. Chem. 2009, 17, 6311–6317. [Google Scholar] [CrossRef] [PubMed]
- Sid, D.; Baitiche, M.; Elbahri, Z.; Djerboua, F.; Boutahala, M.; Bouaziz, Z.; Le Borgne, M. Solubility Enhancement of Mefenamic Acid by Inclusion Complex with β-Cyclodextrin: In Silico Modelling, Formulation, Characterisation, and in Vitro Studies. J. Enzyme Inhib. Med. Chem. 2021, 36, 605–617. [Google Scholar] [CrossRef] [PubMed]
- Zhang, L.-M.; Xie, W.-G.; Wen, T.-T.; Zhao, X. Thermal Behavior of Five Free Anthraquinones from Rhubarb. J. Therm. Anal. Calorim. 2010, 100, 215–218. [Google Scholar] [CrossRef]
- Păduraru, O.M.; Bosînceanu, A.; Ţântaru, G.; Vasile, C. Effect of Hydroxypropyl-β-Cyclodextrin on the Solubility of an Antiarrhythmic Agent. Ind. Eng. Chem. Res. 2013, 52, 2174–2181. [Google Scholar] [CrossRef]
- Parvathaneni, V.; Elbatanony, R.S.; Goyal, M.; Chavan, T.; Vega, N.; Kolluru, S.; Muth, A.; Gupta, V.; Kunda, N.K. Repurposing Bedaquiline for Effective Non-Small Cell Lung Cancer (NSCLC) Therapy as Inhalable Cyclodextrin-Based Molecular Inclusion Complexes. Int. J. Mol. Sci. 2021, 22, 4783. [Google Scholar] [CrossRef] [PubMed]
- Kim, J.-S. Study of Flavonoid/Hydroxypropyl-β-Cyclodextrin Inclusion Complexes by UV-Vis, FT-IR, DSC, and X-Ray Diffraction Analysis. Prev. Nutr. Food Sci. 2020, 25, 449–456. [Google Scholar] [CrossRef] [PubMed]
- Sanramé, C.N.; De Rossi, R.H.; Argüello, G.A. Effect of β-Cyclodextrin on the Excited State Properties of 3-Substituted Indole Derivatives. J. Phys. Chem. 1996, 100, 8151–8156. [Google Scholar] [CrossRef]
- Cannavà, C.; Crupi, V.; Guardo, M.; Majolino, D.; Stancanelli, R.; Tommasini, S.; Ventura, C.A.; Venuti, V. Phase Solubility and FTIR-ATR Studies of Idebenone/Sulfobutyl Ether β-Cyclodextrin Inclusion Complex. J. Incl. Phenom. Macrocycl. Chem. 2013, 75, 255–262. [Google Scholar] [CrossRef]
- Heydari, A.; Iranmanesh, M.; Doostan, F.; Sheibani, H. Preparation of Inclusion Complex Between Nifedipine and Ethylenediamine-β-Cyclodextrin as Nanocarrier Agent. Pharm. Chem. J. 2015, 49, 605–612. [Google Scholar] [CrossRef]
- Wang, Y.; Cohen, B.; Aykaç, A.; Vargas-Berenguel, A.; Douhal, A. Femto- to Micro-Second Photobehavior of Photosensitizer Drug Trapped within a Cyclodextrin Dimer. Photochem. Photobiol. Sci. 2013, 12, 2119–2129. [Google Scholar] [CrossRef]
- Monti, S.; Sortino, S. Photoprocesses of Photosensitizing Drugs within Cyclodextrin Cavities. Chem. Soc. Rev. 2002, 31, 287–300. [Google Scholar] [CrossRef] [PubMed]
- Hu, L.; Zhang, H.; Song, W.; Gu, D.; Hu, Q. Investigation of Inclusion Complex of Cilnidipine with Hydroxypropyl-β-Cyclodextrin. Carbohydr. Polym. 2012, 90, 1719–1724. [Google Scholar] [CrossRef]
- Del Castillo, M.L.R.; López-Tobar, E.; Sanchez-Cortes, S.; Flores, G.; Blanch, G.P. Stabilization of Curcumin against Photodegradation by Encapsulation in Gamma-Cyclodextrin: A Study Based on Chromatographic and Spectroscopic (Raman and UV-Visible) Data. Vib. Spectrosc. 2015, 81, 106–111. [Google Scholar] [CrossRef]
- Loftsson, T.; Brewster, M.E. Pharmaceutical Applications of Cyclodextrins. 1. Drug Solubilization and Stabilization. J. Pharm. Sci. 1996, 85, 1017–1025. [Google Scholar] [CrossRef]
- Preis, E.; Baghdan, E.; Agel, M.R.; Anders, T.; Pourasghar, M.; Schneider, M.; Bakowsky, U. Spray Dried Curcumin Loaded Nanoparticles for Antimicrobial Photodynamic Therapy. Eur. J. Pharm. Biopharm. 2019, 142, 531–539. [Google Scholar] [CrossRef] [PubMed]
- Preis, E.; Anders, T.; Širc, J.; Hobzova, R.; Cocarta, A.-I.; Bakowsky, U.; Jedelská, J. Biocompatible Indocyanine Green Loaded PLA Nanofibers for in Situ Antimicrobial Photodynamic Therapy. Mater. Sci. Eng. C 2020, 115, 111068. [Google Scholar] [CrossRef] [PubMed]
- Kiesslich, T.; Gollmer, A.; Maisch, T.; Berneburg, M.; Plaetzer, K. A Comprehensive Tutorial on in Vitro Characterization of New Photosensitizers for Photodynamic Antitumor Therapy and Photodynamic Inactivation of Microorganisms. BioMed. Res. Int. 2013, 2013, 840417. [Google Scholar] [CrossRef]










| Protons | δ (ppm) | |
|---|---|---|
| HP-β-CD | PTN/HP-β-CD Complexes | |
| H-1 | 5.64 | 5.66 |
| H-2 | 3.27 | 3.32 |
| H-3 | 3.72 | 3.74 |
| H-4 | 3.13 | 3.12 |
| H-5 | 3.54 | 3.53 |
| H-6 | 3.58 | 3.59 |
| CH3 | 1.00 | 1.00 |
Publisher’s Note: MDPI stays neutral with regard to jurisdictional claims in published maps and institutional affiliations. |
© 2022 by the authors. Licensee MDPI, Basel, Switzerland. This article is an open access article distributed under the terms and conditions of the Creative Commons Attribution (CC BY) license (https://creativecommons.org/licenses/by/4.0/).
Share and Cite
Ayoub, A.M.; Gutberlet, B.; Preis, E.; Abdelsalam, A.M.; Abu Dayyih, A.; Abdelkader, A.; Balash, A.; Schäfer, J.; Bakowsky, U. Parietin Cyclodextrin-Inclusion Complex as an Effective Formulation for Bacterial Photoinactivation. Pharmaceutics 2022, 14, 357. https://doi.org/10.3390/pharmaceutics14020357
Ayoub AM, Gutberlet B, Preis E, Abdelsalam AM, Abu Dayyih A, Abdelkader A, Balash A, Schäfer J, Bakowsky U. Parietin Cyclodextrin-Inclusion Complex as an Effective Formulation for Bacterial Photoinactivation. Pharmaceutics. 2022; 14(2):357. https://doi.org/10.3390/pharmaceutics14020357
Chicago/Turabian StyleAyoub, Abdallah Mohamed, Bernd Gutberlet, Eduard Preis, Ahmed Mohamed Abdelsalam, Alice Abu Dayyih, Ayat Abdelkader, Amir Balash, Jens Schäfer, and Udo Bakowsky. 2022. "Parietin Cyclodextrin-Inclusion Complex as an Effective Formulation for Bacterial Photoinactivation" Pharmaceutics 14, no. 2: 357. https://doi.org/10.3390/pharmaceutics14020357
APA StyleAyoub, A. M., Gutberlet, B., Preis, E., Abdelsalam, A. M., Abu Dayyih, A., Abdelkader, A., Balash, A., Schäfer, J., & Bakowsky, U. (2022). Parietin Cyclodextrin-Inclusion Complex as an Effective Formulation for Bacterial Photoinactivation. Pharmaceutics, 14(2), 357. https://doi.org/10.3390/pharmaceutics14020357

