Population Pharmacokinetics of Amikacin in Patients on Veno-Arterial Extracorporeal Membrane Oxygenation
Abstract
:1. Introduction
2. Patients and Methods
2.1. Patients and Setting
2.2. Study Design
2.3. Assay
2.4. Therapeutic Amikacin Monitoring
2.5. Statistical Analysis
2.6. Population Pharmacokinetics
2.7. Dosing Regimen Evaluation
3. Results
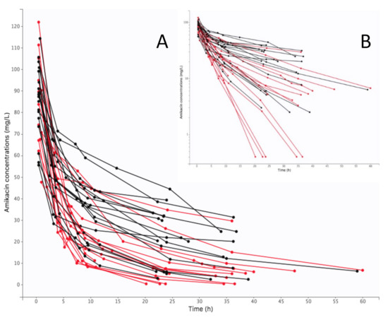
3.1. Patients
3.2. Bacteriological Findings
3.3. Population Pharmacokinetic Model
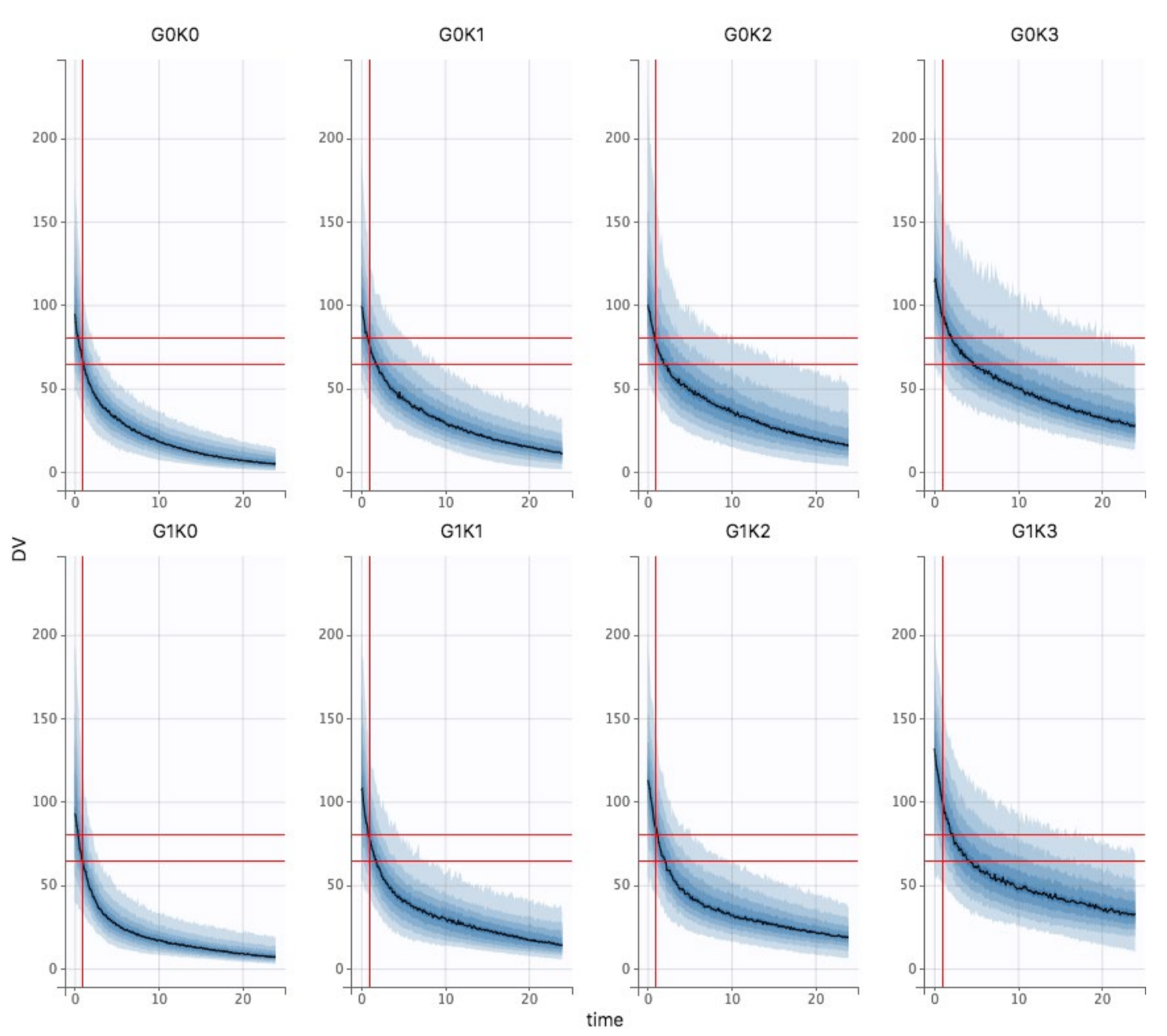
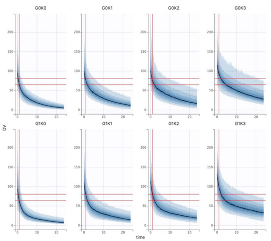
3.4. Dosing Regimen Simulations
4. Discussion
5. Conclusions
Supplementary Materials
Author Contributions
Funding
Institutional Review Board Statement
Informed Consent Statement
Data Availability Statement
Conflicts of Interest
Ethical Approval and Consent to Participate
References
- Mongardon, N.; De Roux, Q.; Clariot, S. Veno-Arterial ECMO in Critically Ill Patients: The Age of Maturity? Anaesth. Crit. Care Pain Med. 2018, 37, 193–194. [Google Scholar] [CrossRef] [PubMed]
- de Roux, Q.; Renaudier, M.; Bougouin, W.; Boccara, J.; Fihman, V.; Lepeule, R.; Cherait, C.; Fiore, A.; Hemery, F.; Decousser, J.-W.; et al. Diagnostic Yield of Routine Daily Blood Culture in Patients on Veno-Arterial Extracorporeal Membrane Oxygenation. Crit. Care Lond. Engl. 2021, 25, 241. [Google Scholar] [CrossRef] [PubMed]
- de Roux, Q.; Botterel, F.; Lepeule, R.; Taccone, F.S.; Langeron, O.; Mongardon, N. Candida Bloodstream Infection under Veno-Arterial ECMO Therapy. Crit. Care Lond. Engl. 2019, 23, 314. [Google Scholar] [CrossRef] [PubMed] [Green Version]
- Schmidt, M.; Bréchot, N.; Hariri, S.; Guiguet, M.; Luyt, C.E.; Makri, R.; Leprince, P.; Trouillet, J.-L.; Pavie, A.; Chastre, J.; et al. Nosocomial Infections in Adult Cardiogenic Shock Patients Supported by Venoarterial Extracorporeal Membrane Oxygenation. Clin. Infect. Dis. Off. Publ. Infect. Dis. Soc. Am. 2012, 55, 1633–1641. [Google Scholar] [CrossRef] [PubMed] [Green Version]
- Biffi, S.; Di Bella, S.; Scaravilli, V.; Peri, A.M.; Grasselli, G.; Alagna, L.; Pesenti, A.; Gori, A. Infections during Extracorporeal Membrane Oxygenation: Epidemiology, Risk Factors, Pathogenesis and Prevention. Int. J. Antimicrob. Agents 2017, 50, 9–16. [Google Scholar] [CrossRef]
- Singer, M.; Deutschman, C.S.; Seymour, C.W.; Shankar-Hari, M.; Annane, D.; Bauer, M.; Bellomo, R.; Bernard, G.R.; Chiche, J.-D.; Coopersmith, C.M.; et al. The Third International Consensus Definitions for Sepsis and Septic Shock (Sepsis-3). JAMA 2016, 315, 801–810. [Google Scholar] [CrossRef]
- Sun, H.-Y.; Ko, W.-J.; Tsai, P.-R.; Sun, C.-C.; Chang, Y.-Y.; Lee, C.-W.; Chen, Y.-C. Infections Occurring during Extracorporeal Membrane Oxygenation Use in Adult Patients. J. Thorac. Cardiovasc. Surg. 2010, 140, 1125.e2–1132e2. [Google Scholar] [CrossRef] [Green Version]
- Shekar, K.; Fraser, J.F.; Smith, M.T.; Roberts, J.A. Pharmacokinetic Changes in Patients Receiving Extracorporeal Membrane Oxygenation. J. Crit. Care 2012, 27, 741.e9–741.e18. [Google Scholar] [CrossRef]
- Roy, B.J.; Cornish, J.D.; Clark, R.H. Venovenous Extracorporeal Membrane Oxygenation Affects Renal Function. Pediatrics 1995, 95, 573–578. [Google Scholar]
- Bouglé, A.; Dujardin, O.; Lepère, V.; Ait Hamou, N.; Vidal, C.; Lebreton, G.; Salem, J.-E.; El-Helali, N.; Petijean, G.; Amour, J. PHARMECMO: Therapeutic Drug Monitoring and Adequacy of Current Dosing Regimens of Antibiotics in Patients on Extracorporeal Life Support. Anaesth. Crit. Care Pain Med. 2019, 38, 493–497. [Google Scholar] [CrossRef]
- Touchard, C.; Aubry, A.; Eloy, P.; Bréchot, N.; Lebreton, G.; Franchineau, G.; Besset, S.; Hékimian, G.; Nieszkowska, A.; Leprince, P.; et al. Predictors of Insufficient Peak Amikacin Concentration in Critically Ill Patients on Extracorporeal Membrane Oxygenation. Crit. Care 2018, 22, 199. [Google Scholar] [CrossRef] [PubMed]
- Gélisse, E.; Neuville, M.; de Montmollin, E.; Bouadma, L.; Mourvillier, B.; Timsit, J.F.; Sonneville, R. Extracorporeal Membrane Oxygenation (ECMO) Does Not Impact on Amikacin Pharmacokinetics: A Case-Control Study. Intensive Care Med. 2016, 42, 946–948. [Google Scholar] [CrossRef] [PubMed]
- Ruiz-Ramos, J.; Gimeno, R.; Pérez, F.; Ramirez, P.; Villarreal, E.; Gordon, M.; Vicent, C.; Remedios Marqués, M.; Castellanos-Ortega, Á. Pharmacokinetics of Amikacin in Critical Care Patients on Extracorporeal Device. ASAIO J. Am. Soc. Artif. Intern. Organs 2018, 64, 686–688. [Google Scholar] [CrossRef] [PubMed]
- Boidin, C.; Bourguignon, L.; Cohen, S.; Roger, C.; Lefrant, J.-Y.; Roberts, J.A.; Allaouchiche, B.; Lepape, A.; Friggeri, A.; Goutelle, S. Amikacin Initial Dose in Critically Ill Patients: A Nonparametric Approach to Optimize A Priori Pharmacokinetic/Pharmacodynamic Target Attainments in Individual Patients. Antimicrob. Agents Chemother. 2019, 63, e00993-19. [Google Scholar] [CrossRef] [Green Version]
- National Kidney Foundation. K/DOQI Clinical Practice Guidelines for Chronic Kidney Disease: Evaluation, Classification, and Stratification. Am. J. Kidney Dis. Off. J. Natl. Kidney Found. 2002, 39, S1–S266. [Google Scholar]
- Khwaja, A. KDIGO Clinical Practice Guidelines for Acute Kidney Injury. Nephron Clin. Pract. 2012, 120, c179–c184. [Google Scholar] [CrossRef]
- Agence Française Sanitaire Des Produits de Santé. Mise Au Point Sur Le Bon Usage Des Aminosides Administrés Par Voie Injectable: Gentamicine, Tobramycine, Nétilmicine, Amikacine; AFSSAPS: Paris, France, 2011. [Google Scholar]
- Marsot, A.; Guilhaumou, R.; Riff, C.; Blin, O. Amikacin in Critically Ill Patients: A Review of Population Pharmacokinetic Studies. Clin. Pharmacokinet. 2017, 56, 127–138. [Google Scholar] [CrossRef]
- Burdet, C.; Pajot, O.; Couffignal, C.; Armand-Lefèvre, L.; Foucrier, A.; Laouénan, C.; Wolff, M.; Massias, L.; Mentré, F. Population Pharmacokinetics of Single-Dose Amikacin in Critically Ill Patients with Suspected Ventilator-Associated Pneumonia. Eur. J. Clin. Pharmacol. 2015, 71, 75–83. [Google Scholar] [CrossRef] [Green Version]
- Matar, K.M.; Al-lanqawi, Y.; Abdul-Malek, K.; Jelliffe, R. Amikacin Population Pharmacokinetics in Critically Ill Kuwaiti Patients. BioMed Res. Int. 2013, 2013, 202818. [Google Scholar] [CrossRef]
- Joubert, P.; Bressolle, F.; Gouby, A.; Douçot, P.Y.; Saissi, G.; Gomeni, R. A Population Approach to the Forecasting of Amikacin Plasma and Urinary Levels Using a Prescribed Dosage Regimen. Eur. J. Drug Metab. Pharmacokinet. 1999, 24, 39–46. [Google Scholar] [CrossRef]
- Bressolle, F.; Gouby, A.; Martinez, J.M.; Joubert, P.; Saissi, G.; Guillaud, R.; Gomeni, R. Population Pharmacokinetics of Amikacin in Critically Ill Patients. Antimicrob. Agents Chemother. 1996, 40, 1682–1689. [Google Scholar] [CrossRef] [PubMed] [Green Version]
- Aréchiga-Alvarado, N.A.; Medellín-Garibay, S.E.; Milán-Segovia, R.D.C.; Ortiz-Álvarez, A.; Magaña-Aquino, M.; Romano-Moreno, S. Population Pharmacokinetics of Amikacin Administered Once Daily in Patients with Different Renal Functions. Antimicrob. Agents Chemother. 2020, 64, e02178-19. [Google Scholar] [CrossRef] [PubMed]
- Delattre, I.K.; Musuamba, F.T.; Verbeeck, R.K.; Dugernier, T.; Spapen, H.; Laterre, P.-F.; Wittebole, X.; Cumps, J.; Taccone, F.S.; Vincent, J.-L.; et al. Empirical Models for Dosage Optimization of Four Beta-Lactams in Critically Ill Septic Patients Based on Therapeutic Drug Monitoring of Amikacin. Clin. Biochem. 2010, 43, 589–598. [Google Scholar] [CrossRef] [PubMed]
- Lugo, G.; Castañeda-Hernández, G. Relationship between Hemodynamic and Vital Support Measures and Pharmacokinetic Variability of Amikacin in Critically Ill Patients with Sepsis. Crit. Care Med. 1997, 25, 806–811. [Google Scholar] [CrossRef] [PubMed]
- Erstad, B.L. Dosing of Medications in Morbidly Obese Patients in the Intensive Care Unit Setting. Intensive Care Med. 2004, 30, 18–32. [Google Scholar] [CrossRef] [PubMed]
- Schneider, A.G.; Baldwin, I.; Freitag, E.; Glassford, N.; Bellomo, R. Estimation of Fluid Status Changes in Critically Ill Patients: Fluid Balance Chart or Electronic Bed Weight? J. Crit. Care 2012, 27, 745.e7–745.e12. [Google Scholar] [CrossRef]
- Shekar, K.; Roberts, J.A.; Mcdonald, C.I.; Fisquet, S.; Barnett, A.G.; Mullany, D.V.; Ghassabian, S.; Wallis, S.C.; Fung, Y.L.; Smith, M.T.; et al. Sequestration of Drugs in the Circuit May Lead to Therapeutic Failure during Extracorporeal Membrane Oxygenation. Crit. Care 2012, 16, R194. [Google Scholar] [CrossRef] [Green Version]
- Shekar, K.; Roberts, J.A.; Mcdonald, C.I.; Ghassabian, S.; Anstey, C.; Wallis, S.C.; Mullany, D.V.; Fung, Y.L.; Fraser, J.F. Protein-Bound Drugs Are Prone to Sequestration in the Extracorporeal Membrane Oxygenation Circuit: Results from an Ex Vivo Study. Crit. Care 2015, 19, 164. [Google Scholar] [CrossRef] [Green Version]




| Control (n = 15) | V-A ECMO (n = 24) | p | |
|---|---|---|---|
| Age (years) | 62 (52–75) | 60 (51–64) | 0.23 |
| Male sex | 10 (67%) | 16 (64%) | 0.79 |
| SAPS II | 46 (39–58) | 60 (52–69) | 0.01 |
| Inclusion | |||
| Delay between ICU admission and amikacin injection (days) | 5 (2–8) | 5 (1–9) | 0.47 |
| SOFA | 11 (9–12) | 13 (11–16) | 0.01 |
| Total Body Weight (kg) | 70 (65–84) | 75 (60–87) | 0.77 |
| Height (cm) | 168 (164–172) | 173 (166–176) | 0.11 |
| BMI (kg/m2) | 26 (24–30) | 25 (22–29) | 0.42 |
| Norepinepinephrine dosing (μg/kg/min) | 0.4 (0.1–1.3) | 0.4 (0.1–1.5) | 0.69 |
| Reason for admission | |||
| Postoperative/cardiac surgery | 13 (87%) | 11 (46%) | |
| Valve replacement | 3 (23%) | 5 (45%) | |
| Heart transplantation | 3 (27%) | ||
| Aorta replacement | 2 (15%) | 0 | |
| Coronary artery bypass graft | 4 (31%) | 1 (9%) | |
| Other | 4 (31%) | 2 (18%) | |
| Medical | 2 (13%) | 13 (54%) | |
| Cardiogenic shock | 1 (50%) | 10 (77%) | |
| Dilated heart disease | 1 (100%) | 4 (40%) | |
| Ischemic heart disease | - | 2 (20%) | |
| Myocarditis | - | 1 (10%) | |
| Other | 1 (50%) | 3 (30%) | |
| Refractory cardiac arrest | - | 3 (23%) | |
| Reason of V-A ECMO support | |||
| Cardiogenic shock | 13 (54%) | ||
| Right heart failure | 6 (25%) | ||
| Refractory cardiac arrest | 3 (13%) | ||
| Graft dysfunction | 2 (8%) | ||
| V-A ECMO characteristics | |||
| V-A ECMO | 24 (100%) | ||
| Flow rate (L/min) | 4.2 (4–4.8) | ||
| Flow rate indexed to weight (L/min/kg) | 0.06 (0.05–0.07) | ||
| Biological results | |||
| Aspartate aminotransferase (mmol/L) | 73 (37–98) | 83 (48–138) | 0.96 |
| Alanine aminotransferase (mmol/L) | 40 (28–112) | 38 (26–106) | 0.89 |
| Total bilirubin (mmol/L) | 13 (8–23) | 37 (16–125) | 0.01 |
| Free bilirubin (mmol/L) | 10 (6–18) | 29 (10–97) | 0.01 |
| Conjugated bilirubin (μmol/L) | 3 (2–5) | 10 (4–23) | 0.0006 |
| Prothrombin time (%) | 72 (55–77) | 63 (54–69) | 0.19 |
| Protidemia (g/L) | 55 (49–61) | 48 (41–51) | 0.02 |
| Albumine (g/L) | 19 (16–23) | 20 (16–22) | 0.998 |
| Arterial lactate (mmol/L) | 1.9 (1–2.5) | 2 (1.6–2.3) | 0.90 |
| Hemodilution parameters | |||
| 24 h input/output balance (mL) | 875 (438–1375) | 1000 (500–1750) | 0.95 |
| Kidney function | |||
| Creatinine clearance (mL/min) | 120 (86–191) | 18 (7–54) | 0.001 |
| KDIGO stage 0 | 10 (67%) | 11 (44%) | 0.20 |
| KDIGO stage 1 | 2 (13%) | 3 (12%) | 0.94 |
| KDIGO stage 2 | 2 (13%) | 6 (24%) | 0.77 |
| KDIGO stage 3 | 1 (7%) | 5 (20%) | 0.83 |
| Control (n = 15) | ECMO (n = 24) | |
|---|---|---|
| Infectious site | ||
| Pneumonia | 4 (27%) | 14 (58%) |
| - associated bacteremia | - | 5 (36%) |
| Pleuresy | 1 (7%) | 1 (4%) |
| Endocarditis | 1 (7%) | - |
| Osteomyelitis | 1 (7%) | - |
| Bacteriemia | - | - |
| Urinary tract infection | 1 (7%) | - |
| Scarpa infection | - | 2 (8%) |
| Catheter related | 1 (7%) | 3 (13%) |
| - bloodstream infection | 1 (100%) | 2 (67%) |
| No documentation | 6 (40%) | 4 (17%) |
| Germs | ||
| Acinetobacter baumanii | - | 4 (16%) |
| Branhamella catarrhalis | - | 1 (4%) |
| Citrobacter koseri | - | 1 (4%) |
| Enterobacter aerogenes | - | 4 (16%) |
| Enterobacter cloacae | 3 (20%) | 3 (12%) |
| Enterococcus faecalis | 2 (13%) | 6 (25%) |
| Escherichia coli | 4 (26%) | 5 (20%) |
| - extended spectrum beta-lactamase | 1 (6%) | - |
| Haemophilus influenzae | - | 4 (16%) |
| Hafnia alvei | - | 3 (12%) |
| Klebsiella oxytoca | - | 6 (25%) |
| Klebsiella pneumoniae | 2 (13%) | 2 (8%) |
| Proteus mirabillis | 1 (6%) | 2 (8%) |
| Pseudomonas aeruginosa | - | 6 (25%) |
| Methicillin-sensitive Staphylococcus aureus | 1 (6%) | 1 (4%) |
| Veillonella spp | - | 1 (4%) |
| Parameter | Estimate | RSE a (%) |
|---|---|---|
| CL (L/h) | 4.45 | 6.33 |
| V1 (L) | 8.77 | 40.2 |
| V2 (L) | 15.90 | 20.0 |
| Q (L/h) | 6.96 | 17.5 |
| KDIGO stage 1/CL | −0.41 | 35.4 |
| KDIGO stage 2/CL | −0.59 | 18.8 |
| KDIGO stage 3/CL | −0.93 | 14.9 |
| TBW/V1 | 0.015 | 34.0 |
| ECMO group/V2 | 0.76 | 35.8 |
| ωCL * | 0.25 | 13.0 |
| ωV1 * | 0.36 | 19.5 |
| ωV2 * | 0.63 | 19.1 |
| Σprop * (%) | 0.16 | 7.1 |
Publisher’s Note: MDPI stays neutral with regard to jurisdictional claims in published maps and institutional affiliations. |
© 2022 by the authors. Licensee MDPI, Basel, Switzerland. This article is an open access article distributed under the terms and conditions of the Creative Commons Attribution (CC BY) license (https://creativecommons.org/licenses/by/4.0/).
Share and Cite
Pressiat, C.; Kudela, A.; De Roux, Q.; Khoudour, N.; Alessandri, C.; Haouache, H.; Vodovar, D.; Woerther, P.-L.; Hutin, A.; Ghaleh, B.; et al. Population Pharmacokinetics of Amikacin in Patients on Veno-Arterial Extracorporeal Membrane Oxygenation. Pharmaceutics 2022, 14, 289. https://doi.org/10.3390/pharmaceutics14020289
Pressiat C, Kudela A, De Roux Q, Khoudour N, Alessandri C, Haouache H, Vodovar D, Woerther P-L, Hutin A, Ghaleh B, et al. Population Pharmacokinetics of Amikacin in Patients on Veno-Arterial Extracorporeal Membrane Oxygenation. Pharmaceutics. 2022; 14(2):289. https://doi.org/10.3390/pharmaceutics14020289
Chicago/Turabian StylePressiat, Claire, Agathe Kudela, Quentin De Roux, Nihel Khoudour, Claire Alessandri, Hakim Haouache, Dominique Vodovar, Paul-Louis Woerther, Alice Hutin, Bijan Ghaleh, and et al. 2022. "Population Pharmacokinetics of Amikacin in Patients on Veno-Arterial Extracorporeal Membrane Oxygenation" Pharmaceutics 14, no. 2: 289. https://doi.org/10.3390/pharmaceutics14020289
APA StylePressiat, C., Kudela, A., De Roux, Q., Khoudour, N., Alessandri, C., Haouache, H., Vodovar, D., Woerther, P.-L., Hutin, A., Ghaleh, B., Hulin, A., & Mongardon, N. (2022). Population Pharmacokinetics of Amikacin in Patients on Veno-Arterial Extracorporeal Membrane Oxygenation. Pharmaceutics, 14(2), 289. https://doi.org/10.3390/pharmaceutics14020289

