New Nanosized Systems Doxorubicin—Amphiphilic Copolymers of N-Vinylpyrrolidone and (Di)methacrylates with Antitumor Activity
Abstract
1. Introduction
2. Materials and Methods
2.1. Materials
2.2. The Methods of the Formation of DOX–Copolymer Compositions
2.3. The Methods
2.3.1. Elemental Analysis
2.3.2. Potentiometry
2.3.3. IR- and 1H NMR Spectroscopy
2.3.4. Electronic Absorption Spectroscopy
2.3.5. Size Exclusion Chromatography
2.3.6. Dynamic Light Scattering
2.3.7. Electrochemical Measurements
2.4. Quantum-Chemical Modeling of DOX–Copolymer Complexes
2.5. Biologic Study of DOX–Copolymer Compositions In Vitro
3. Results and Discussion
3.1. VP-TEGDM and VP-MAA-TEGDM Copolymer Parameters and Properties
3.2. Experimental Study of DOX–Copolymer Structures’ Formation in Alcohol or Aqueous Solutions and Their Physical and Chemical Properties
3.2.1. The Study of Aqueous Solutions of DOX Polymer Structures by Electronic Absorption Spectroscopy
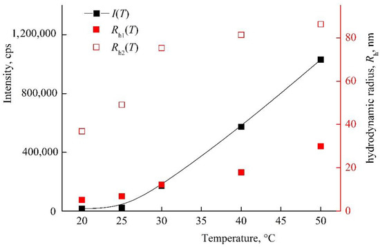
3.2.2. Behavior of DOX–Copolymer Nanostructures in an Aqueous Neutral Buffer Solution
3.2.3. Cyclic Voltammetry of the Free DOX and Being Encapsulated in VP-MAA-TEGDM Copolymer
3.3. Theoretical Investigation of Polymer Structures of DOX in Solutions
3.3.1. Quantum-Chemical Modeling of the Structure of DOX–Copolymer Complexes
3.3.2. Modeling of TDDFT Absorbance Spectra of DOX and Its Complexes
3.4. Biological Activity of Encapsulated DOX in VP-TEGDM Copolymer
4. Conclusions
Supplementary Materials
Author Contributions
Funding
Institutional Review Board Statement
Informed Consent Statement
Data Availability Statement
Acknowledgments
Conflicts of Interest
References
- Meng, L.J.; Zhang, X.K.; Lu, Q.H.; Fei, Z.F.; Dyson, P.J. Single walled carbon nanotubes as drug delivery vehicles: Targeting doxorubicin to tumors. Biomaterials 2012, 33, 1689–1698. [Google Scholar] [CrossRef] [PubMed]
- Tmejova, K.; Hynek, D.; Kopel, P.; Dostalova, S.; Smerkova, K.; Stanisavljevic, M.; Hoai, V.N.; Nejdl, L.; Vaculovicova, M.; Krizkova, S. Electrochemical behaviour of doxorubicin encapsulated in apoferritin. Intern. J. Electrochem. Sci. 2013, 8, 12658–12671. [Google Scholar]
- Moodley, T.; Singh, M. Sterically stabilised polymeric mesoporous silica nanoparticles improve doxorubicin efficiency: Tailored cancer therapy. Molecules 2020, 25, 742. [Google Scholar] [CrossRef] [PubMed]
- Trushina, D.B.; Sapach, A.Y.; Burachevskaia, O.A.; Medvedev, P.V.; Khmelenin, D.N.; Borodina, T.N.; Soldatov, M.A.; Butova, V.V. Doxorubicin-loaded core–shell UiO-66@SiO2 metal–organic frameworks for targeted cellular uptake and cancer treatment. Pharmaceutics 2022, 14, 1325. [Google Scholar] [CrossRef]
- Sudareva, N.; Suvorova, O.; Saprykina, N.; Vlasova, H.; Vilesov, A. Doxorubicin delivery systems based on doped CaCO3 cores and polyanion drug conjugates. J. Microencapsul. 2021, 38, 164–176. [Google Scholar] [CrossRef]
- Trushina, D.B.; Akasov, R.A.; Khovankina, A.V.; Borodina, T.N.; Bukreeva, T.V.; Markvicheva, E.A. Doxorubicin-loaded biodegradable capsules: Temperature induced shrinking and study of cytotoxicity in vitro. J. Mol. Liquids 2019, 284, 215–224. [Google Scholar] [CrossRef]
- Sen, V.D.; Balakina, A.A.; Stupina, T.S.; Mumyatova, V.A.; Kulikov, A.V.; Tikhonov, I.V.; Terent’ev, A.A.; Pliss, E.M. Amphiphilic chitosan-polyaminoxyls loaded with daunorubicin: Synthesis, antioxidant activity, and drug delivery capacity. Intern. J. Biol. Macromol. A 2021, 193, 965–979. [Google Scholar] [CrossRef]
- Ma, B.; Zhuang, W.; Wang, Y.; Luo, R.; Wang, Y. pH-sensitive doxorubicin-conjugated prodrug micelles with charge-conversion for cancer therapy. Acta Biomater. 2018, 70, 186–196. [Google Scholar] [CrossRef]
- Gonçalves, M.; Mignani, S.; Rodrigues, J.; Tomás, H. A glance over doxorubicin based-nanotherapeutics: From proof-of-concept studies to solutions in the market. J. Control. Release 2020, 317, 347–374. [Google Scholar]
- Gutierrez-Pineda, E.; Rocio Caceres-Velez, P.; Jose Rodriguez-Presa, M.; Moya, S.E.; Gervasi, C.A.; Amalvy, J.I. Hybrid conducting composite films based on polypyrrole and poly(2-(diethylamino)ethyl methacrylate) hydrogel nanoparticles for electrochemically controlled drug delivery. Adv. Mater. Interf. 2018, 5, 1800968. [Google Scholar] [CrossRef]
- Manchun, S.; Dass, C.R.; Sriamornsak, P. Stability of freeze-dried pH-responsive dextrin nanogels containing doxorubicin. Asian J. Pharm. Sci. 2016, 11, 648–654. [Google Scholar] [CrossRef]
- Swiech, O.; Majdecki, M.; Garbacz, P.; Gwardys, P.; Bilewicz, R. Impact of pH and cell medium on the interaction of doxorubicin with lipoic acid cyclodextrin conjugate as the drug carrier. J. Incl. Phenom. Macrocycl. Chem. 2020, 97, 129–136. [Google Scholar] [CrossRef]
- Krzak, A.; Swiech, O.; Majdecki, M.; Garbacz, P.; Gwardys, P.; Bilewicz, R. Adjusting the structure of beta-cyclodextrin to improve complexation of anthraquinone-derived drugs. Molecules 2021, 26, 7205. [Google Scholar] [CrossRef] [PubMed]
- Chen, K.; Cai, H.; Zhang, H.; Zhu, H.; Gu, Z.; Gong, Q.; Luo, K. Stimuli-responsive polymer-doxorubicin conjugate: Antitumor mechanism and potential as nano-prodrug. Acta Biomater. 2019, 84, 339–355. [Google Scholar] [CrossRef] [PubMed]
- Santos, R.; Cardoso, S.; Correia, S.; Oliveira, P.J.; Santos, M.S.; Moreira, P.I. Doxorubicin: The good, the bad and the ugly effect. Curr. Med. Chem. 2009, 16, 3267–3285. [Google Scholar]
- Folttmann, H.; Quadir, A. Polyvinylpyrrolidone (PVP)—One of the most widely used excipients in pharmaceuticals: An overview. Drug Deliv. Technol. 2008, 8, 22–27. [Google Scholar]
- Bothiraja, C.; Shinde, M.B.; Rajalakshmi, S.; Pawar, A.P. Evaluation of molecular pharmaceutical and in vivo properties of spray—Dried isolated and rographolide—PVP. J. Pharm. Pharmacol. 2009, 61, 1465–1472. [Google Scholar] [CrossRef]
- Martins, R.M.; Pereira, S.V.; Siqueira, S.; Salomão, W.F.; Freitas, L.A.P. Curcuminoid content and antioxidant activity in spray dried microparticles containing turmeric extract. Food Res. Int. 2013, 50, 657–663. [Google Scholar] [CrossRef]
- Rasekh, M.; Karavasili, C.; Soong, Y.L.; Bouropoulos, N.; Morris, M.; Armitage, D.; Li, X.; Fatouros, D.G.; Ahmad, Z. Electrospun PVP–indomethacin constituents for transdermal dressings and drug delivery devices. Int. J. Pharm. 2014, 473, 95–104. [Google Scholar] [CrossRef]
- Fogaça, R.; Catalani, L.H. PVP hydrogel membranes produced by electrospinning for protein release devices. Soft Mater. 2013, 11, 61–68. [Google Scholar] [CrossRef]
- Del Consuelo, I.D.; Falson, F.; Guy, R.H.; Jacques, Y. Ex vivo evaluation of bioadhesive films for buccal delivery of fentanyl. J. Control. Release 2007, 122, 135–140. [Google Scholar] [CrossRef]
- Franco, P.; De Marco, I. The use of poly(N-vinyl pyrrolidone) in the delivery of drugs: A review. Polymers 2020, 12, 1114. [Google Scholar] [CrossRef]
- Zheng, X.; Zhang, T.; Song, X.; Zhang, L.; Zhang, C.; Jin, S.; Xing, J.; Liang, X.-J. Structural impact of graft and block copolymers based on poly (N-vinylpyrrolidone) and poly (2-dimethylaminoethyl methacrylate) in gene delivery. J. Mater. Chem. B 2015, 3, 4027–4035. [Google Scholar] [CrossRef] [PubMed]
- Zhang, L.; Liang, Y.; Meng, L.; Wang, C. Characterization of complexation of PVP copolymer with DNA. Polym. Adv. Technol. 2009, 20, 410–415. [Google Scholar] [CrossRef]
- Song, Y.; Zhang, T.; Song, X.; Zhang, L.; Zhang, C.; Xing, J.; Liang, X.-J. Polycations with excellent genetransfection ability based on PVP-g-PDMAEMA with random coil and micelle structures as non-viral genevectors. J. Mater. Chem. B 2015, 3, 911–918. [Google Scholar] [CrossRef]
- Saxena, A.; Mozumdar, S.; Johri, A.K. Ultra-low sized cross-linked polyvinylpyrrolidone nanoparticles as non-viral vectors for in vivo gene delivery. Biomaterials 2006, 27, 5596–5602. [Google Scholar] [CrossRef]
- Sheu, S.-J.; Chou, L.-C.; Bee, Y.-S.; Chen, J.-F.; Lin, H.-C.; Lin, P.-R.; Lam, H.-C.; Tai, M.-H. Suppression of choroidal neovascularization by intramuscular polymer-based gene delivery of vasostatin. Exp. Eye Res. 2005, 81, 673–679. [Google Scholar] [CrossRef]
- Ramalingam, V.; Varunkumar, K.; Ravikumar, V.; Rajaram, R. Target delivery of doxorubicin tethered with PVP stabilized gold nanoparticles for effective treatment of lung cancer. Sci. Rep. 2018, 8, 3815. [Google Scholar] [CrossRef]
- Rose, P.A.; Praseetha, P.; Bhagat, M.; Alexander, P.; Abdeen, S.; Chavali, M. Drug embedded PVP coated magnetic nanoparticles for targeted killing of breast cancer cells. Technol. Cancer Res. Treat. 2013, 12, 463–472. [Google Scholar] [CrossRef]
- Hu, M.; Li, C.; Li, X.; Zhou, M.; Sun, J.; Sheng, F.; Shi, S.; Lu, L. Zinc oxide/silver bimetallic nanoencapsulated in PVP/PCL nanofibres for improved antibacterial activity. Artif. Cells Nanomed. Biotechnol. 2018, 46, 1248–1257. [Google Scholar] [CrossRef]
- Hecold, M.; Buczkowska, R.; Mucha, A.; Grzesiak, J.; Rac-Rumijowska, O.; Teterycz, H.; Marycz, K. The effect of PEI and PVP-stabilized gold nanoparticles on equine platelets activation: Potential application in equine regenerative medicine. J. Nanomater. 2017, 2017, 8706921. [Google Scholar]
- Goetten de Lima, G.; de Lima, D.W.; de Oliveira, M.J.; Lugão, A.B.; Alcántara, M.S.; Devine, D.M.; de Sá, M.J. Synthesis and in vivo behaviour of PVP/CMC/Agar hydrogel membranes impregnated with silver nanoparticles for wound healing applications. ACS Appl. Bio Mater. 2018, 1, 1842–1852. [Google Scholar] [CrossRef]
- Besrour, H.; Tangour, B.; Linguerri, R.; Hochlaf, M. Encapsulation of anticancer drug doxorubicin inside dendritic macromolecular cavities: First-principles benchmarks. Spectrochim. Acta A Mol. Biomol. Spectrosc. 2019, 217, 278–287. [Google Scholar] [CrossRef]
- Zeng, X.; Zhang, Y.; Wu, Z.; Lundberg, P.; Malkoch, M.; Nyström, A.M. Hyperbranched copolymer micelles as delivery vehicles of doxorubicin in breast cancer cells. J. Polym. Sci. A Polym. Chem. 2011, 50, 280–288. [Google Scholar] [CrossRef]
- Zhou, Y.; Yan, D. Supramolecular self-assembly of amphiphilic hyperbranched polymers at all scales and dimensions: Progress, characteristics and perspectives. Chem. Commun. 2009, 1172–1188. [Google Scholar] [CrossRef]
- Zhou, Y.; Huang, W.; Liu, J.; Zhu, X.; Yan, D. Self-Assembly of hyperbranched polymers and its biomedical applications. Adv. Mater. 2010, 22, 4567–4590. [Google Scholar] [CrossRef]
- O’Brien, N.; McKee, A.; Sherrington, D.C.; Slark, A.T.; Titterton, A. Facile, versatile and cost-effective route to branched vinyl polymers. Polymer 2000, 41, 6027–6031. [Google Scholar] [CrossRef]
- Smeets, N.M.B.; Freeman, M.W.; McKenna, T.F.L. Polymer architecture control in emulsion polymerization via catalytic chain transfer polymerization. Macromolecules 2011, 44, 6701–6710. [Google Scholar] [CrossRef]
- Luzon, M.; Boyer, C.; Peinado, C.; Corrales, T.; Whittaker, M.; Tao, L.; Davis, T.P. Water-soluble, thermoresponsive, hyperbranched copolymers based on PEG-methacrylates: Synthesis, characterization, and LCST behavior. J. Polym. Sci. Part A Polym. Chem. 2010, 48, 2783–2792. [Google Scholar] [CrossRef]
- Chambon, P.; Chen, L.; Furzeland, S.; Atkins, D.; Weaver, J.V.M.; Adams, D.J. Poly(N-isopropylacrylamide) branched polymernanoparticles. Polym. Chem. 2011, 2, 941–949. [Google Scholar] [CrossRef]
- Besenius, P.; Slavin, S.; Vilela, F.; Sherrington, D.C. Synthesis and characterization of water-soluble densely branched glycopolymers. React. Funct. Polym. 2008, 68, 1524–1533. [Google Scholar] [CrossRef]
- Kurmaz, S.V.; Obraztsova, N.A.; Balakina, A.A.; Terent’ev, A.A. Preparation of the amphiphilic copolymer of N-vinylpyrrolidone with triethylene glycol dimethacrylate nanoparticles and the study of their properties in vitro. Russ. Chem. Bull. (Int. Ed.) 2016, 65, 2097–2102. [Google Scholar] [CrossRef]
- Kurmaz, S.V.; Fadeeva, N.V.; Ignat’ev, V.M.; Kurmaz, V.A.; Kurochkin, S.A.; Emel’yanova, N.S. Structure and state of water in branched N-vinylpyrrolidone copolymers as carriers of a hydrophilic biologically active compound. Molecules 2020, 25, 6015. [Google Scholar] [CrossRef] [PubMed]
- Kurmaz, S.V.; Sen´, V.D.; Kulikov, A.V.; Konev, D.V.; Kurmaz, V.A.; Balakina, A.A.; Terent´ev, A.A. Polymer nanoparticles of N-vinylpyrrolidone loaded with an organic aminonitroxyl platinum(IV) complex. Characterization and investigation of their in vitro cytotoxicity. Russ. Chem. Bull. (Int. Ed.) 2019, 68, 1769–1779. [Google Scholar] [CrossRef]
- Kurmaz, S.V.; Fadeeva, N.V.; Fedorov, B.S.; Kozub, G.I.; Emel’yanova, N.S.; Kurmaz, V.A.; Manzhos, R.A.; Balakina, A.A.; Terentyev, A.A. New antitumor hybrid materials based on PtIV organic complex and polymer nanoparticles consisting of N-vinylpyrrolidone and (di)methacrylates. Mendeleev Commun. 2020, 30, 22–24. [Google Scholar] [CrossRef]
- Kurmaz, S.V.; Fadeeva, N.V.; Soldatova, Y.V.; Faingold, I.I.; Poletaeva, D.A.; Ignat’ev, V.M.; Emel’yanova, N.S.; Shilov, G.V.; Kotelnikova, R.A. New complexes of metformin based on the copolymer of N-vinylpyrrolidone with triethylene glycol dimethacrylate and their activity in experimental type 2 diabetes mellitus. J. Polym. Res. 2021, 28, 345. [Google Scholar] [CrossRef]
- Tacar, O.; Sriamornsak, P.; Crispin, R.; Dass, C.R. Doxorubicin: An update on anticancer molecular action, toxicity and novel drug delivery systems. J. Pharm. Pharmacol. 2013, 65, 157–170. [Google Scholar] [CrossRef]
- Mushtaque, M.; Avecilla, F.; Hafeez, Z.B.; Jahan, M.; Khan, M.S.; Rizvi, M.M.A.; Khan, M.S.; Srivastava, A.; Mallik, A.; Verma, S. Synthesis, stereochemistry determination, pharmacological studies and quantum chemical analyses of bisthiazolidinone derivative. J. Mol. Struct. 2017, 1127, 99–113. [Google Scholar]
- Yousefpour, P.; Atyabi, F.; Farahani, E.V.; Sakhtianchi, R.; Dinarvand, R. Polyanionic carbohydrate doxorubicin–dextran nanocomplex as a delivery system for anticancer drugs: In vitro analysis and evaluations. Int. J. Nanomed. 2011, 6, 1487–1496. [Google Scholar]
- Tan, M.L.; Choong, P.F.M.; Dass, C.R. Review: Doxorubicin delivery systems based on chitosan for cancer therapy. J. Pharm. Pharmacol. 2009, 61, 131–142. [Google Scholar] [CrossRef]
- Sanyakamdhorn, S.; Agudelo, D.; Tajmir-Riahi, H.A. Encapsulation of antitumor drug doxorubicin and its analogue by chitosan nanoparticles. Biomacromolecules 2013, 14, 557–563. [Google Scholar] [CrossRef] [PubMed]
- Kurmaz, S.V.; Ivanova, I.I.; Fadeeva, N.V.; Perepelitsina, E.O.; Lapshina, M.A.; Balakina, A.A.; Terent’ev, A.A. New amphiphilic branched copolymers of N-vinylpyrrolidone with methacrylic acid for biomedical applications. Polym. Sci. A 2022, 64, 434–446. [Google Scholar] [CrossRef]
- Kurmaz, S.V.; Fadeeva, N.V.; Gorshkova, A.I.; Kurochkin, S.A.; Knerelman, E.I.; Davydova, G.I.; Torbov, V.I.; Dremova, N.N.; Kurmaz, V.A.; Konev, D.V.; et al. Mesoporous networks of N-Vinylpyrrolidone with (di)methacrylates as precursors of ecological molecular-imprinted polymers. Materials 2021, 14, 6757. [Google Scholar] [CrossRef] [PubMed]
- Konev, D.V.; Lizgina, K.V.; Istakova, O.I.; Baulin, V.E.; Kalashnikova, I.P.; Devillers, C.H.; Vorotyntsev, M.A. Electropolymerization of magnesium 5, 15-di (N-methoxyphenyl) porphine. Russ. J. Electrochem. 2016, 52, 1150–1158. [Google Scholar] [CrossRef]
- Gafurov, Z.N.; Sakhapov, I.F.; Babaev, V.M.; Dobrynin, A.B.; Kurmaz, V.A.; Metlushka, K.E.; Rizvanov, I.K.; Shaikhutdinova, G.R.; Sinyashin, O.G.; Yakhvarov, D.G. Study of the reactivity of organonickel sigma-complexes towards nitriles. Russ. Chem. Bull. (Int. Ed.) 2017, 66, 254–259. [Google Scholar] [CrossRef]
- Oliveira-Brett, A.M.; Vivan, M.; Fernandes, I.R.; Piedade, J.A.P. Electrochemical detection of in situ adriamycin oxidative damage to DNA. Talanta 2002, 56, 959–970. [Google Scholar] [CrossRef]
- Kurmaz, S.V.; Fadeeva, N.V.; Fedorov, B.S.; Kozub, G.I.; Kurmaz, V.A.; Ignat’ev, V.M.; Emel’yanova, N.S. Amphiphilic copolymers of N-vinylpyrrolidone with (di)methacrylates as promising carriers for the platinum(IV) complex with antitumor activity. Russ. Chem. Bull. (Int. Ed.) 2021, 70, 1832–1844. [Google Scholar] [CrossRef]
- Frisch, M.J.; Trucks, G.W.; Schlegel, H.B.; Scuseria, G.E.; Robb, M.A.; Cheeseman, J.R.; Scalmani, G.; Barone, V.; Mennucci, B.; Petersson, G.A.; et al. Gaussian 09, Revision, B.01; Gaussian Inc.: Wallingford, CT, USA, 2009. [Google Scholar]
- Laikov, D.N. Fast evaluation of density functional exchange-correlation terms using the expansion of the electron density in auxiliary basis sets. Chem. Phys. Lett. 1997, 281, 151–156. [Google Scholar] [CrossRef]
- Tao, J.M.; Perdew, J.P.; Staroverov, V.N.; Scuseria, G.E. Climbing the density functional ladder: Nonempirical meta–generalized gradient approximation designed for molecules and solids. Phys. Rev. Lett. 2003, 91, 146401. [Google Scholar] [CrossRef]
- Todd, A.; Keith, T.K. AIMAll, Version 10.05.04; Gristmill Software: Overland Park, KS, USA, 2010. Available online: aim.tkgristmill.com (accessed on 25 February 2015).
- Espinosa, E.; Molins, E.; Lecomte, C. Hydrogen bond strengths revealed by topological analyses of experimentally observed electron densities. Chem. Phys. Lett. 1998, 285, 170–173. [Google Scholar] [CrossRef]
- Chemcraft—Graphical Software for Visualization of Quantum Chemistry Computations. Available online: https://www.chemcraftprog.com (accessed on 17 December 2020).
- Chou, T.C.; Talalay, P. Quantitative analysis of dose-effect relationships: The combined effects of multiple drugs or enzyme inhibitors. Adv. Enzyme Regul. 1984, 22, 27–55. [Google Scholar] [CrossRef] [PubMed]
- Sidel’kovskaya, F.P. The Chemistry of N-vinylpyrrolidone and its Polymers; Nauka: Moscow, Russia, 1970; p. 147. (In Russian) [Google Scholar]
- Bianco, G.; Gehlen, H.H. Synthesis of poly(N-vinyl-2-pyrrolidone) and copolymers with methacrylic acid initiated by the photo-Fenton reaction. J. Photochem. Photobiol. A Chem. 2002, 149, 115–119. [Google Scholar] [CrossRef]
- Kurmaz, S.V.; Pyryaev, A.N. Synthesis of N-vinyl-2-pyrrolidone-based branched copolymers via crosslinking free-radical copolymerization in the presence of a chain-transfer agent. Polym. Sci. 2010, 52, 1–8. [Google Scholar] [CrossRef]
- Georgiev, G.S.; Dakova, I.G.; Valova, N.L. Radical methyl methacrylate-methacrylic acid copolymerization in isopropyl alcohol, acetone, and their mixtures. Application of the copolymer products for microencapsulation of ampicylline trihydrate. Colloid Polym. Sci. 1994, 272, 938–945. [Google Scholar] [CrossRef]
- Kurmaz, S.V.; Obraztsova, N.A.; Perepelitsina, E.O.; Shilov, G.V.; Anokhin, D.V.; Pechnikova, E.V. New hybrid macromolecular structures of C60 fullerene–amphiphilic copolymers of N-vinylpyrrolidone and triethylene glycol dimethacrylate. Mater. Today Commun. 2015, 4, 130–140. [Google Scholar] [CrossRef]
- Graham, S.; Cormack, P.A.G.; Sherrington, D.C. One-Pot Synthesis of Branched Poly(methacrylic acid)s and Suppression of the Rheological “Polyelectrolyte Effect”. Macromolecules 2005, 38, 86–90. [Google Scholar] [CrossRef]
- Fülöp, Z.; Gref, R.; Loftsson, T. A permeation method for detection of self-aggregation of doxorubicinin aqueous environment. Intern. J. Pharm. 2013, 454, 559–561. [Google Scholar] [CrossRef]
- Silva, T.L.; de Azevedo, M.; de Lourdes, S.G.; Ferreira, F.R.; Santos, D.C.; Amatore, C.; Goulart, M.O.F. Quinone-based molecular electrochemistry and their contributions to medicinal chemistry: A look at the present and future. Curr. Opin. Electrochem. 2020, 24, 79–87. [Google Scholar] [CrossRef]
- Kurmaz, S.V.; Gak, V.Y.; Kurmaz, V.A.; Konev, D.V. Preparation and properties of hybrid nanostructures of zinc tetraphenylporphyrinate and an amphiphilic copolymer of N-vinylpyrrolidone in a neutral aqueous buffer solution. Russ. J. Phys. Chem. A 2018, 92, 329–333. [Google Scholar] [CrossRef]
- Rao, G.M.; Lown, J.W.; Plambeck, J.A. Electrochemical studies of antitumor antibiotics. 3. Daunorubicin and Adriamycin. J. Electrochem. Soc. 1978, 125, 534–539. [Google Scholar] [CrossRef]
- Kano, K.; Konse, T.; Nishimura, N.; Kubota, T. Electrochemical properties of adriamycin adsorbed on a mercury-electrode surface. Bull. Chem. Soc. Jpn. 1984, 57, 2383–2390. [Google Scholar] [CrossRef]
- Kano, K.; Konse, T.; Hasegawa, K.; Uno, B.; Kubota, T. Electrochemical study of the mechanism and kinetics of reductive glycoside elimination of adriamycin adsorbed on a mercury-electrode surface. J. Electroanalyt. Chem. 1987, 225, 187–204. [Google Scholar] [CrossRef]
- Komorsky-Lovric, S. Redox kinetics of adriamycin adsorbed on the surface of graphite and mercury electrodes. Bioelectrochemistry 2006, 69, 82–87. [Google Scholar] [PubMed]
- Komorsky-Lovric, S.; Lovric, M. Electrode reaction of adriamycin interpreted as two consecutive electron transfers with stabilization of the intermediate. Coll. Czechosl. Chem. Commun. 2007, 72, 1398–1406. [Google Scholar] [CrossRef]
- Konse, T.; Kano, K.; Kubota, T. Determination of the equilibrium and kinetic-parameters for the surface-redox reaction of hydroquinone moiety of adsorbed adriamycin by means of numerical-simulation of DC voltammogram. Bull. Chem. Soc. Jpn. 1986, 59, 265–270. [Google Scholar] [CrossRef]
- Baldwin, R.P.; Packett, D.; Woodcock, T.M. Electrochemical-behavior of adriamycin at carbon paste electrodes. Analyt. Chem. 1981, 53, 540–542. [Google Scholar] [CrossRef]
- Vacek, J.; Havran, L.; Fojta, M. Ex situ Voltammetry and Chronopotentiometry of Doxorubicin at a Pyrolytic Graphite Electrode: Redox and Catalytic Properties and Analytical Applications. Electroanalysis 2009, 21, 2138–2144. [Google Scholar] [CrossRef]
- Vajdle, O.; Zbiljic, J.; Tasic, B.; Jovic, D.; Guzsvany, V.; Djordjevic, A. Voltammetric behavior of doxorubicin at a renewable silver-amalgam film electrode and its determination in human urine. Electrochim. Acta 2014, 132, 49–57. [Google Scholar] [CrossRef]
- Krayz, G.T.; Bittner, S.; Dhiman, A.; Becker, J.Y. Electrochemistry of Quinones with Respect to their Role in Biomedical Chemistry. Chem. Rec. 2021, 21, 2332–2343. [Google Scholar] [CrossRef]
- Ivanova, G.; Simeonova, M.; Cabrita, E.J.; Range, M. NMR Insight into the Supramolecular Structure of Daunorubicin Loaded Polymer Nanoparticles. J. Phys. Chem. B 2011, 115, 902–909. [Google Scholar] [CrossRef]
- Ignat´ev, V.M.; Emel´yanova, N.S.; Kurmaz, S.V.; Fadeeva, N.V. Hydrogen bonds formed upon encapsulation of doxorubicin into amphiphilic N-vinylpyrrolidone copolymer: A quantum chemical study. Russ. Chem. Bull. (Int. Ed.) 2021, 70, 1269–1274. [Google Scholar] [CrossRef]



















| The Copolymers | The Content of VP and (Di)methacrylates Units in Copolymers, wt% | Size Exclusion Chromatography (RI + MALLS) | |
|---|---|---|---|
| Mw, kDa | PD | ||
| VP-TEGDM | 90.6:9.4 | 62.3 | 3.4 |
| VP-MAA-TEGDM | 85.6:14.4 | 76.0 | 2.1 |
| Structures | The Bond Length, Å | ρ, a.e. | ∇2 ρ(r), a.e. | Ebond, kcal mol−1 |
|---|---|---|---|---|
![]() | 1.790 | 0.044 | 0.139 | 11.8 |
![]() | 1.807 | 0.035 | 0.112 | 9.4 |
![]() | 1.968 | 0.026 | 0.079 | 6.8 |
![]() | 2.677 | 0.005 | 0.024 | 1.2 |
![]() | 2.592 | 0.006 | 0.025 | 1.3 |
| Compound/Copolymer Composition | DOX Content per the Copolymer, wt% | Dose IC50, μM 1 | |
|---|---|---|---|
| 24 h | 72 h | ||
| DOX | 100 | 3.23 ± 0.39 | 1.58 ± 0.19 |
| DOX-copolymer | 1.1 | 13.90 ± 2.56 * | 2.45 ± 0.23 * |
| 5.0 | 11.18 ± 2.25 * | 1.69 ± 0.10 | |
| 15.0 | 8.83 ± 2.37 * | 1.37 ± 0.09 | |
Publisher’s Note: MDPI stays neutral with regard to jurisdictional claims in published maps and institutional affiliations. |
© 2022 by the authors. Licensee MDPI, Basel, Switzerland. This article is an open access article distributed under the terms and conditions of the Creative Commons Attribution (CC BY) license (https://creativecommons.org/licenses/by/4.0/).
Share and Cite
Kurmaz, S.V.; Ignatiev, V.M.; Emel’yanova, N.S.; Kurmaz, V.A.; Konev, D.V.; Balakina, A.A.; Terentyev, A.A. New Nanosized Systems Doxorubicin—Amphiphilic Copolymers of N-Vinylpyrrolidone and (Di)methacrylates with Antitumor Activity. Pharmaceutics 2022, 14, 2572. https://doi.org/10.3390/pharmaceutics14122572
Kurmaz SV, Ignatiev VM, Emel’yanova NS, Kurmaz VA, Konev DV, Balakina AA, Terentyev AA. New Nanosized Systems Doxorubicin—Amphiphilic Copolymers of N-Vinylpyrrolidone and (Di)methacrylates with Antitumor Activity. Pharmaceutics. 2022; 14(12):2572. https://doi.org/10.3390/pharmaceutics14122572
Chicago/Turabian StyleKurmaz, Svetlana V., Vladislav M. Ignatiev, Nina S. Emel’yanova, Vladimir A. Kurmaz, Dmitry V. Konev, Anastasiya A. Balakina, and Alexey A. Terentyev. 2022. "New Nanosized Systems Doxorubicin—Amphiphilic Copolymers of N-Vinylpyrrolidone and (Di)methacrylates with Antitumor Activity" Pharmaceutics 14, no. 12: 2572. https://doi.org/10.3390/pharmaceutics14122572
APA StyleKurmaz, S. V., Ignatiev, V. M., Emel’yanova, N. S., Kurmaz, V. A., Konev, D. V., Balakina, A. A., & Terentyev, A. A. (2022). New Nanosized Systems Doxorubicin—Amphiphilic Copolymers of N-Vinylpyrrolidone and (Di)methacrylates with Antitumor Activity. Pharmaceutics, 14(12), 2572. https://doi.org/10.3390/pharmaceutics14122572






