Evaluation of a Proposed Approach for the Determination of the Bioequivalence Acceptance Range for Narrow Therapeutic Index Drugs in the European Union
Abstract
1. Introduction
- (1)
- The within-subject standard deviation (sWR) is calculated from the reference formulation in the same replicate cross-over study where the acceptance range is to be narrowed;
- (2)
- If the estimated reference within-subject coefficient of variation (WSCV) does not exceed 13.93% (corresponding to sWR ≤ 0.1386), the 90.00–111.11% acceptance range is applied;
- (3)
- If the estimated WSCV exceeds 30% (corresponding to sWR ≥ 0.29356), the 80.00–125.00% acceptance range is applied;
- (4)
- If the estimated WSCV range between 13.93% and 30%, the acceptance range is defined by [U, L] = exp [±k·sWR];
- (5)
- The regulatory “proportionality” constant k is set to 0.760, as for HVD products.
2. Materials and Methods
2.1. Power Analysis
2.2. Type I Error
2.3. Sample Size
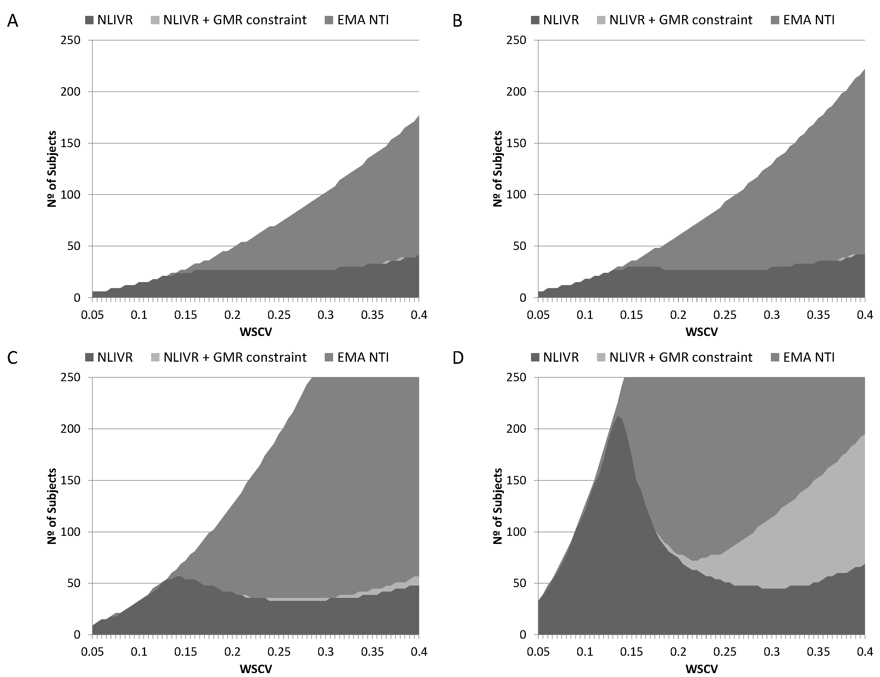
3. Results
3.1. Power Analysis
3.2. Type I Error
3.3. Sample Size
4. Discussion
5. Conclusions
Author Contributions
Funding
Institutional Review Board Statement
Informed Consent Statement
Data Availability Statement
Conflicts of Interest
Disclaimer
References
- Morais, J.A.G.; Lobato, M.R. The new European Medicines Agency guideline on the investigation of bioequivalence. Basic Clin. Pharmacol. Toxicol. 2010, 106, 221–225. [Google Scholar] [CrossRef] [PubMed]
- Chen, M.L.; Shah, V.P.; Crommelin, D.J.; Shargel, L.; Bashaw, D.; Bhatti, M.; Blume, H.; Dressman, J.; Ducharme, M.; Fackler, P.; et al. Harmonization of regulatory approaches for evaluating therapeutic equivalence and interchangeability of multisource drug products: Workshop summary report. Eur. J. Pharm. Sci. 2011, 44, 506–513. [Google Scholar] [CrossRef] [PubMed]
- Tothfalusi, L.; Endrenyi, L. Sample sizes for designing bioequivalence studies for highly variable drugs. J. Pharm. Pharm. Sci. 2012, 15, 73–84. [Google Scholar] [PubMed]
- Tamargo, J.; le Heuzey, J.Y.; Mabo, P. Narrow therapeutic index drugs: A clinical pharmacological consideration to flecainide. Eur. J. Clin. Pharmacol. 2015, 71, 549–567. [Google Scholar] [CrossRef] [PubMed]
- Herranz, M.; Morales-Alcelay, S.; Corredera-Hernández, M.T.; de la Torre-Alvarado, J.M.; Blázquez-Pérez, A.; Suárez-Gea, M.L.; Alvarez, C.; García-Arieta, A. Bioequivalence between generic tacrolimus products marketed in Spain by adjusted indirect comparison. Eur. J. Clin. Pharmacol. 2013, 69, 1157–1162. [Google Scholar] [CrossRef] [PubMed]
- EMA. Guideline on the Investigation of Bioequivalence (CPMP/EWP/QWP/1401/98 Rev. 1/ Corr **); EMA: London, UK, 2010. [Google Scholar]
- Health Canada. Conduct and Analysis of Comparative Bioavailability Studies; Health Canada: Ottawa, ON, Canada, 2018. [Google Scholar]
- WHO. Fifty-First Report of the WHO Expert Committee on Specifications for Pharmaceutical Preparations; WHO Technical Report Series No. 1003; WHO: Geneva, Switzerland, 2017. [Google Scholar]
- Paixao, P.; Guerreiro, R.B.; Silva, N.; Blake, K.; Bonelli, M.; Morais, J.A.G.; Arieta, A.G.; Gouveia, L.F. A Proposed Approach for the Determination of the Bioequivalence Acceptance Range for Narrow Therapeutic Index Drugs in the European Union. Clin. Pharmacol. Ther. 2022, 111, 470–476. [Google Scholar] [CrossRef] [PubMed]
- Tothfalusi, L.; Endrenyi, L.; Arieta, A.G. Evaluation of bioequivalence for highly variable drugs with scaled average bioequivalence. Clin. Pharmacokinet. 2009, 48, 725–743. [Google Scholar] [CrossRef] [PubMed]
- R Core Team. R: A Language and Environment for Statistical Computing; R Foundation for Statistical Computing: Vienna, Austria, 2016. [Google Scholar]
- Labes, D.; Schütz, H.; Lang, B. PowerTOST: Power and Sample Size Based on Two One-Sided t-Tests (TOST) for (Bio)Equivalence Studies. 2019. Available online: https://cran.r-project.org/web/packages/PowerTOST/PowerTOST.pdf (accessed on 20 September 2022).
- Muñoz, J.; Alcaide, D.; Ocana, J. Consumer’s risk in the EMA and FDA regulatory approaches for bioequivalence in highly variable drugs. Stat. Med. 2016, 35, 1933–1943. [Google Scholar] [CrossRef] [PubMed]
- Labes, D.; Schütz, H. Inflation of Type I Error in the Evaluation of Scaled Average Bioequivalence, and a Method for its Control. Pharm. Res. 2016, 33, 2805–2814. [Google Scholar] [CrossRef]
- Diletti, E.; Hauschke, D.; Steinijans, V.W. Sample size determination for bioequivalence assessment by means of confidence intervals. Int. J. Clin. Pharmacol. Ther. Toxicol. 1991, 29, S51–S58. [Google Scholar]
- Wellek, S. Testing Statistical Hypotheses of Equivalence, 1st ed.; Chapman and Hall/CRC: London, UK, 2002. [Google Scholar]
- Sarpatwari, A.; Lee, M.P.; Gagne, J.J.; Lu, Z.; Dutcher, S.K.; Jiang, W.; Campbell, E.G.; Kesselheim, A.S. Generic Versions of Narrow Therapeutic Index Drugs: A National Survey of Pharmacists’ Substitution Beliefs and Practices. Clin. Pharmacol. Ther. 2018, 103, 1093–1099. [Google Scholar] [CrossRef] [PubMed]
- Haidar, S.H.; Makhlouf, F.; Schuirmann, D.J.; Hyslop, T.; Davit, B.; Conner, D.; Yu, L.X. Evaluation of a scaling approach for the bioequivalence of highly variable drugs. AAPS J. 2008, 10, 450–454. [Google Scholar] [CrossRef]
- Endrenyi, L.; Tothfalusi, L. Regulatory and study conditions for the determination of bioequivalence of highly variable drugs. J. Pharm. Pharm. Sci. 2009, 12, 138–149. [Google Scholar] [CrossRef][Green Version]
- Boddy, A.W.; Snikeris, F.C.; Kringle, R.O.; Wei, G.C.; Oppermann, J.A.; Midha, K.K. An approach for widening the bioequivalence acceptance limits in the case of highly variable drugs. Pharm. Res. 1995, 12, 1865–1868. [Google Scholar] [CrossRef] [PubMed]
- Deng, Y.; Zhou, X.H. Methods to control the empirical type I error rate in average bioequivalence tests for highly variable drugs. Stat. Methods Med. Res. 2020, 29, 1650–1667. [Google Scholar] [CrossRef] [PubMed]
- Endrenyi, L.; Tothfalusi, L. Determination of bioequivalence for drugs with narrow therapeutic index: Reduction of the regulatory burden. J. Pharm. Pharm. Sci. 2013, 16, 676–682. [Google Scholar] [CrossRef] [PubMed][Green Version]




| NLIVR | NLIVR + GMR Constraint | |||||||||
|---|---|---|---|---|---|---|---|---|---|---|
| CV | GMR | 1.000 | 0.975 | 0.950 | 0.925 | 1.000 | 0.975 | 0.950 | 0.925 | |
| 80% Power | 5% | 6 | 6 | 9 | 33 | 6 | 6 | 9 | 33 | |
| 10% | 12 | 15 | 30 | 111 | 12 | 15 | 30 | 111 | ||
| 15% | 24 | 30 | 57 | 195 | 24 | 30 | 57 | 195 | ||
| 20% | 27 | 27 | 42 | 78 | 27 | 27 | 42 | 81 | ||
| 25% | 27 | 27 | 33 | 54 | 27 | 27 | 36 | 78 | ||
| 30% | 27 | 27 | 33 | 45 | 27 | 27 | 36 | 111 | ||
| 35% | 33 | 33 | 39 | 51 | 33 | 33 | 42 | 150 | ||
| 40% | 39 | 42 | 48 | 66 | 39 | 42 | 57 | 192 | ||
| 90% Power | 5% | 6 | 6 | 12 | 45 | 6 | 6 | 12 | 45 | |
| 10% | 15 | 21 | 42 | 153 | 15 | 21 | 42 | 153 | ||
| 15% | 30 | 39 | 78 | 273 | 30 | 39 | 78 | 273 | ||
| 20% | 30 | 36 | 57 | 108 | 30 | 36 | 57 | 129 | ||
| 25% | 30 | 33 | 48 | 72 | 33 | 36 | 51 | 180 | ||
| 30% | 33 | 36 | 45 | 60 | 36 | 39 | 69 | 258 | ||
| 35% | 39 | 42 | 51 | 69 | 42 | 48 | 90 | 348 | ||
| 40% | 48 | 51 | 66 | 87 | 54 | 63 | 117 | 450 | ||
Publisher’s Note: MDPI stays neutral with regard to jurisdictional claims in published maps and institutional affiliations. |
© 2022 by the authors. Licensee MDPI, Basel, Switzerland. This article is an open access article distributed under the terms and conditions of the Creative Commons Attribution (CC BY) license (https://creativecommons.org/licenses/by/4.0/).
Share and Cite
Paixão, P.; Silva, N.; Guerreiro, R.B.; Blake, K.; Bonelli, M.; Morais, J.A.G.; García-Arieta, A.; Gouveia, L.F. Evaluation of a Proposed Approach for the Determination of the Bioequivalence Acceptance Range for Narrow Therapeutic Index Drugs in the European Union. Pharmaceutics 2022, 14, 2349. https://doi.org/10.3390/pharmaceutics14112349
Paixão P, Silva N, Guerreiro RB, Blake K, Bonelli M, Morais JAG, García-Arieta A, Gouveia LF. Evaluation of a Proposed Approach for the Determination of the Bioequivalence Acceptance Range for Narrow Therapeutic Index Drugs in the European Union. Pharmaceutics. 2022; 14(11):2349. https://doi.org/10.3390/pharmaceutics14112349
Chicago/Turabian StylePaixão, Paulo, Nuno Silva, Rita Bento Guerreiro, Kevin Blake, Milton Bonelli, José Augusto Guimarães Morais, Alfredo García-Arieta, and Luís Filipe Gouveia. 2022. "Evaluation of a Proposed Approach for the Determination of the Bioequivalence Acceptance Range for Narrow Therapeutic Index Drugs in the European Union" Pharmaceutics 14, no. 11: 2349. https://doi.org/10.3390/pharmaceutics14112349
APA StylePaixão, P., Silva, N., Guerreiro, R. B., Blake, K., Bonelli, M., Morais, J. A. G., García-Arieta, A., & Gouveia, L. F. (2022). Evaluation of a Proposed Approach for the Determination of the Bioequivalence Acceptance Range for Narrow Therapeutic Index Drugs in the European Union. Pharmaceutics, 14(11), 2349. https://doi.org/10.3390/pharmaceutics14112349

