Fabrication of pH/Reduction Sensitive Polyethylene Glycol-Based Micelles for Enhanced Intracellular Drug Release
Abstract
:1. Introduction
2. Material and Methods
2.1. Materials
2.2. Synthesis and Characterization of PCT Polymers
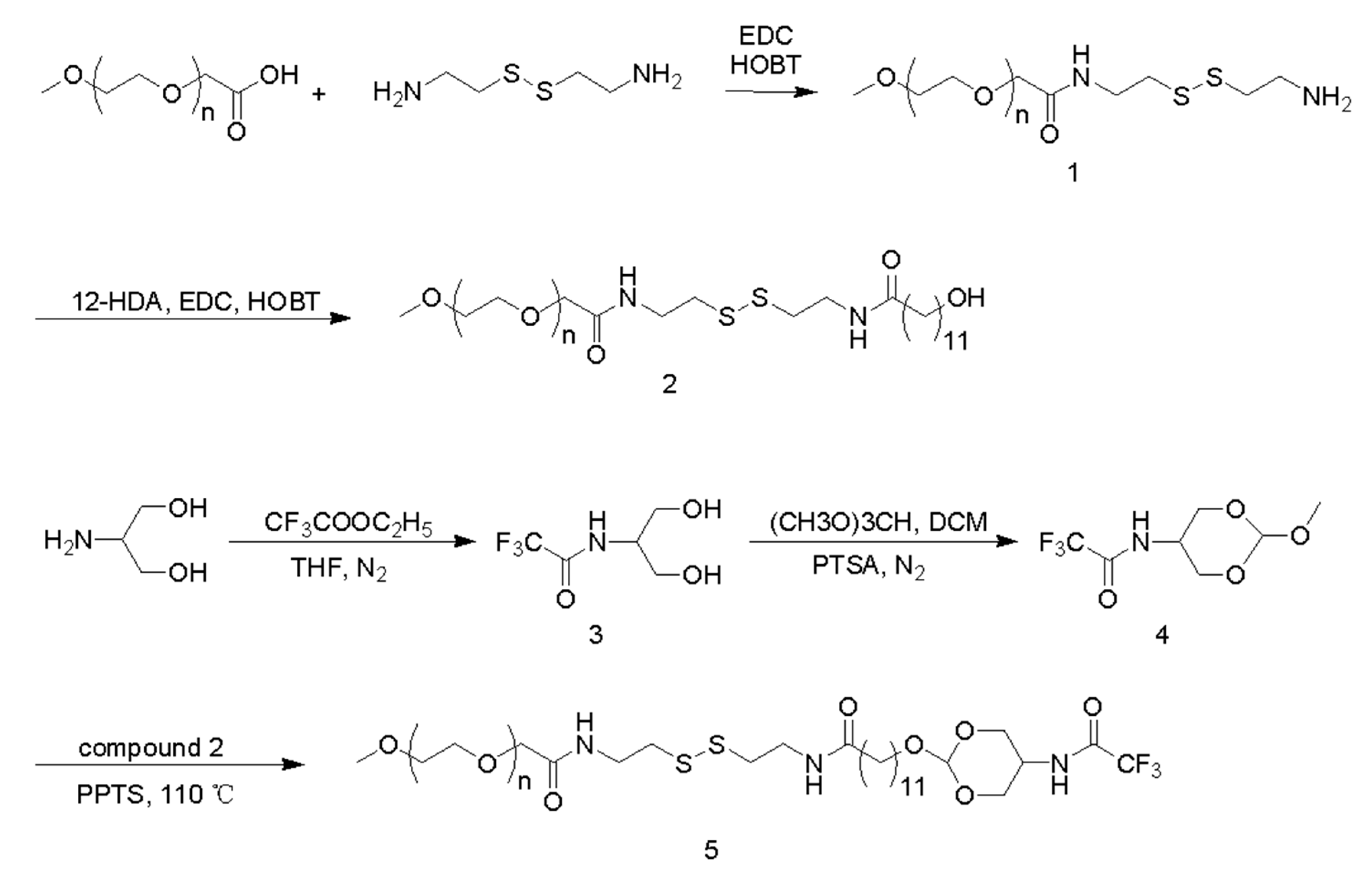
2.2.1. Synthesis of mPEG-CYS-(12-HDA)
2.2.2. Synthesis of Trifluoroacetamide Orthoester (TDA)
2.2.3. Synthesis of PCT Polymers
2.3. Preparation and Characterization of the Micelles
2.4. pH and Reduction-Triggered Stability of the Micelles
2.5. In Vitro Drug Release Study
2.6. Cytotoxicity Test
2.7. Cellular Uptake
2.8. Cellular Uptake Mechanism of the DOX/PCT Micelles
2.9. Subcellular Localization of the Micelles
2.10. In Vivo Anti-Tumor Study
2.11. Statistical Analysis
3. Results and Discussion
3.1. Synthesis and Characterization of the Polymers
3.2. Formation and Characterization of Blank and DOX-Loaded Micelles
3.3. pH and Reduction-Triggered Stability of the Micelles
3.4. In Vitro Drug Release Study
3.5. Cytotoxicity Evaluation
3.6. Cellular Uptake
3.7. Cellular Uptake Mechanism of DOX/PCT Micelles
3.8. Subcellular Localization of the Micelles
3.9. In Vivo Anti-Tumor Study
4. Conclusions
Supplementary Materials
Author Contributions
Funding
Institutional Review Board Statement
Informed Consent Statement
Conflicts of Interest
Abbreviation
| PCT | polyethylene glycol-cystamine-12-hydroxydodecanoic acid-trifluoroacetamide orthoester |
| PAT | polyethylene glycol-adipic acid dihydrazide-12-hydroxydodecanoic acid-trifluoroacetamide orthoester |
| TDA | trifluoroacetamide orthoester |
| ADH | adipic acid dihydrazide |
| EE | encapsulation efficiency |
| DL | drug loading content |
References
- Han, X.; Li, Z.; Sun, J.; Luo, C.; Li, L.; Liu, Y.; Du, Y.; Qiu, S.; Ai, X.; Wu, C.; et al. Stealth CD44-targeted hyaluronic acid supramolecular nanoassemblies for doxorubicin delivery: Probing the effect of uncovalent pegylation degree on cellular uptake and blood long circulation. J. Control Release 2015, 197, 29–40. [Google Scholar] [CrossRef]
- Bhome, R.; Bullock, M.D.; Al Saihati, H.A.; Goh, R.W.; Primrose, J.N.; Sayan, A.E.; Mirnezami, A.H. A top-down view of the tumor microenvironment: Structure, cells and signaling. Front. Cell Dev. Biol. 2015, 3, 33. [Google Scholar] [CrossRef] [Green Version]
- Chen, L.; Zang, F.; Wu, H.; Li, J.; Xie, J.; Ma, M.; Gu, N.; Zhang, Y. Using PEGylated magnetic nanoparticles to describe the EPR effect in tumor for predicting therapeutic efficacy of micelle drugs. Nanoscale 2018, 10, 1788–1797. [Google Scholar] [CrossRef] [PubMed]
- Kalyane, D.; Raval, N.; Maheshwari, R.; Tambe, V.; Kalia, K.; Tekade, R.K. Employment of enhanced permeability and retention effect (EPR): Nanoparticle-based precision tools for targeting of therapeutic and diagnostic agent in cancer. Mater. Sci. Eng. C-Mater. Biol. Appl. 2019, 98, 1252–1276. [Google Scholar] [CrossRef] [PubMed]
- Ding, Y.; Xu, Y.; Yang, W.; Niu, P.; Li, X.; Chen, Y.; Li, Z.; Liu, Y.; An, Y.; Liu, Y.; et al. Investigating the EPR effect of nanomedicines in human renal tumors via ex vivo perfusion strategy. Nano Today 2020, 35, 100970. [Google Scholar] [CrossRef]
- Khawar, I.A.; Kim, J.H.; Kuh, H.-J. Improving drug delivery to solid tumors: Priming the tumor microenvironment. J. Control Release 2015, 201, 78–89. [Google Scholar] [CrossRef] [PubMed]
- Chen, B.; Dai, W.; He, B.; Zhang, H.; Wang, X.; Wang, Y.; Zhang, Q. Current Multistage Drug Delivery Systems Based on the Tumor Microenvironment. Theranostics 2017, 7, 538–558. [Google Scholar] [CrossRef]
- Ghorbani, M.; Mahmoodzadeh, F.; Nezhad-Mokhtari, P.; Hamishehkar, H. A novel polymeric micelle-decorated Fe3O4/Au core-shell nanoparticle for pH and reduction-responsive intracellular co-delivery of doxorubicin and 6-mercaptopurine. New J. Chem. 2018, 42, 18038–18049. [Google Scholar] [CrossRef]
- Vaupel, P.; Kallinowski, F.; Okunieff, P. Blood flow, oxygen and nutrient supply, and metabolic microenvironment of human tumors: A review. Cancer Res. 1989, 49, 6449–6465. [Google Scholar] [PubMed]
- Dong, K.; Lei, Q.Y.; Qi, H.F.; Zhang, Y.N.; Cui, N.; Wu, X.L.; Xie, L.; Yan, X.C.; Lu, T.L. Amplification of Oxidative Stress in MCF-7 Cells by a Novel pH-Responsive Amphiphilic Micellar System Enhances Anticancer Therapy. Mol. Pharm. 2019, 16, 689–700. [Google Scholar] [CrossRef]
- Zhang, Y.J.; Lu, Y.J.; Cao, M.; Chen, P.; Yang, B.; Miao, J.B.; Xia, R.; Qian, J.S. Y-shaped copolymers of poly(ethylene glycol)-poly(epsilon-caprolactone) with ketal bond as the branchpoint for drug delivery. Mater. Sci. Eng. C-Mater. Biol. Appl. 2018, 93, 554–564. [Google Scholar] [CrossRef]
- Zhao, C.W.; Cao, W.L.; Zheng, H.L.; Xiao, Z.X.; Hu, J.; Yang, L.H.; Chen, M.; Liang, G.; Zheng, S.Q.; Zhao, C.G. Acid-responsive nanoparticles as a novel oxidative stress-inducing anticancer therapeutic agent for colon cancer. Int. J. Nanomed. 2019, 14, 1597–1618. [Google Scholar] [CrossRef] [Green Version]
- Du, J.; Jasti, B.; Vasavada, R.C. Controlled release of tobramycin sulfate from poly(ortho esters) implantable discs for the treatment of osteomyelitis. J. Control Release 1997, 43, 223–233. [Google Scholar] [CrossRef]
- Capancioni, S.; Schwach-Abdellaoui, K.; Kloeti, W.; Herrmann, W.; Brosig, H.; Borchert, H.H.; Heller, J.; Gurny, R. In vitro monitoring of poly(ortho ester) degradation by electron paramagnetic resonance imaging. Macromolecules 2003, 36, 6135–6141. [Google Scholar] [CrossRef]
- Heller, J.; Himmelstein, K.J. Poly(ortho ester) biodegradable polymer systems. Methods Enzymol. 1985, 112, 422–436. [Google Scholar]
- Huang, Y.; Qin, J.; Wang, J.; Yan, G.; Wang, X.; Tang, R. Dual-stimuli-sensitive poly(ortho ester disulfide urethanes)-based nanospheres with rapid intracellular drug release for enhanced chemotherapy. Sci. China Chem. 2018, 61, 1447–1459. [Google Scholar] [CrossRef]
- Torchilin, V.P. Multifunctional, stimuli-sensitive nanoparticulate systems for drug delivery. Nat. Rev. Drug Discov. 2014, 13, 813–827. [Google Scholar] [CrossRef] [PubMed] [Green Version]
- Huang, H.; Zhang, X.; Yu, J.; Zeng, J.; Chang, P.R.; Xu, H.; Huang, J. Fabrication and reduction-sensitive behavior of polyion complex nano-micelles based on PEG-conjugated polymer containing disulfide bonds as a potential carrier of anti-tumor paclitaxel. Colloids Surf. B-Biointerfaces 2013, 110, 59–65. [Google Scholar] [CrossRef]
- Liu, H.; Wu, S.; Yu, J.; Fan, D.; Ren, J.; Zhang, L.; Zhao, J. Reduction-sensitive micelles self-assembled from amphiphilic chondroitin sulfate A-deoxycholic acid conjugate for triggered release of doxorubicin. Mater. Sci. Eng. C-Mater. Biol. Appl. 2017, 75, 55–63. [Google Scholar] [CrossRef]
- Wang, X.; Wang, J.; Bao, Y.; Wang, B.; Wang, X.; Chen, L. Novel reduction-sensitive pullulan-based micelles with good hemocompatibility for efficient intracellular doxorubicin delivery. RSC Adv. 2014, 4, 60064–60074. [Google Scholar] [CrossRef]
- Wu, J.; Zhang, H.; Hu, X.; Liu, R.; Jiang, W.; Li, Z.; Luan, Y. Reduction-sensitive mixed micelles assembled from amphiphilic prodrugs for self-codelivery of DOX and DTX with synergistic cancer therapy. Colloids Surf. B-Biointerfaces 2018, 161, 449–456. [Google Scholar] [CrossRef] [PubMed]
- Saito, G.; Swanson, J.A.; Lee, K.D. Drug delivery strategy utilizing conjugation via reversible disulfide linkages: Role and site of cellular reducing activities. Adv. Drug Del. Rev. 2003, 55, 199–215. [Google Scholar] [CrossRef]
- Ke, W.; Yin, W.; Zha, Z.; Mukerabigwi, J.F.; Chen, W.; Wang, Y.; He, C.; Ge, Z. A robust strategy for preparation of sequential stimuli-responsive block copolymer prodrugs via thiolactone chemistry to overcome multiple anticancer drug delivery barriers. Biomaterials 2018, 154, 261–274. [Google Scholar] [CrossRef] [PubMed]
- Su, X.; Ma, B.; Hu, J.; Yu, T.; Zhuang, W.; Yang, L.; Li, G.; Wang, Y. Dual-Responsive Doxorubicin-Conjugated Polymeric Micelles with Aggregation-Induced Emission Active Bioimaging and Charge Conversion for Cancer Therapy. Bioconj. Chem. 2018, 29, 4050–4061. [Google Scholar] [CrossRef]
- Teo, J.Y.; Chin, W.; Ke, X.; Gao, S.; Liu, S.; Cheng, W.; Hedrick, J.L.; Yang, Y.Y. pH and redox dual-responsive biodegradable polymeric micelles with high drug loading for effective anticancer drug delivery. Nanomed.-Nanotechnol. Biol. Med. 2017, 13, 431–442. [Google Scholar] [CrossRef]
- Wang, L.; Zhang, J.; Song, M.; Tian, B.; Li, K.; Liang, Y.; Han, J.; Wu, Z. A shell-crosslinked polymeric micelle system for pH/redox dual stimuli-triggered DOX on-demand release and enhanced antitumor activity. Colloids Surf. B-Biointerfaces 2017, 152, 1–11. [Google Scholar] [CrossRef]
- Wu, J.; Yuan, J.; Ye, B.; Wu, Y.; Xu, Z.; Chen, J.; Chen, J. Dual-Responsive Core Crosslinking Glycopolymer-Drug Conjugates Nanoparticles for Precise Hepatocarcinoma Therapy. Front. Pharmacol. 2018, 9, 663. [Google Scholar] [CrossRef] [PubMed]
- Xiong, D.; Zhang, X.; Peng, S.; Gu, H.; Zhang, L. Smart pH-sensitive micelles based on redox degradable polymers as DOX/GNPs carriers for controlled drug release and CT imaging. Colloids Surf. B-Biointerfaces 2018, 163, 29–40. [Google Scholar] [CrossRef]
- Yang, Q.; Li, L.; Sun, W.; Zhou, Z.; Huang, Y. Dual Stimuli-Responsive Hybrid Polymeric Nanoparticles Self-Assembled from POSS-Based Starlike Copolymer-Drug Conjugates for Efficient Intracellular Delivery of Hydrophobic Drugs. ACS Appl. Mater. Interfaces 2016, 8, 13251–13261. [Google Scholar] [CrossRef]
- Yang, Y.; Xia, X.; Dong, W.; Wang, H.; Li, L.; Ma, P.; Sheng, W.; Xu, X.; Liu, Y. Acid Sensitive Polymeric Micelles Combining Folate and Bioreducible Conjugate for Specific Intracellular siRNA Delivery. Macromol. Biosci. 2016, 16, 759–773. [Google Scholar] [CrossRef]
- Zhang, J.; Tang, H.; Shen, Y.; Yu, Q.; Gan, Z. Shell-Sheddable Poly(N-2-hydroxypropyl methacrylamide) Polymeric Micelles for Dual-Sensitive Release of Doxorubicin. Macromol. Rapid Commun. 2018, 39, 1800139. [Google Scholar] [CrossRef]
- Zhou, G.; Xiao, H.; Li, X.; Huang, Y.; Song, W.; Song, L.; Chen, M.; Cheng, D.; Shuai, X. Gold nanocage decorated pH-sensitive micelle for highly effective photothermo-chemotherapy and photoacoustic imaging. Acta Biomater. 2017, 64, 223–236. [Google Scholar] [CrossRef]
- Qiu, L.P.; Zhu, M.Q.; Gong, K.; Peng, H.H.; Ge, L.; Zhao, L.; Chen, J. pH-triggered degradable polymeric micelles for targeted anti-tumor drug delivery. Mater. Sci. Eng. C-Mater. Biol. Appl. 2017, 78, 912–922. [Google Scholar] [CrossRef]
- Yin, T.; Wang, J.; Yin, L.; Shen, L.; Zhou, J.; Huo, M. Redox-sensitive hyaluronic acid-paclitaxel conjugate micelles with high physical drug loading for efficient tumor therapy. Polym. Chem. 2015, 6, 8047–8059. [Google Scholar] [CrossRef]
- Mahmood, A.; Prufert, F.; Efiana, N.A.; Ashraf, M.I.; Hermann, M.; Hussain, S.; Bernkop-Schnurch, A. Cell-penetrating self-nanoemulsifying drug delivery systems (SNEDDS) for oral gene delivery. Expert Opin. Del. 2016, 13, 1503–1512. [Google Scholar] [CrossRef]
- von Gersdorff, K.; Sanders, N.N.; Vandenbroucke, R.; De Smedt, S.C.; Wagner, E.; Ogris, M. The internalization route resulting in successful gene expression depends on polyethylenimine both cell line and polyplex type. Mol. Ther. 2006, 14, 745–753. [Google Scholar] [CrossRef] [PubMed]
- Linares, J.; Matesanz, M.C.; Vila, M.; Feito, M.J.; Goncalves, G.; Vallet-Regi, M.; Marques, P.; Portoles, M.T. Endocytic Mechanisms of Graphene Oxide Nanosheets in Osteoblasts, Hepatocytes and Macrophages. ACS Appl. Mater. Interfaces 2014, 6, 13697–13706. [Google Scholar] [CrossRef]
- Sahay, G.; Alakhova, D.Y.; Kabanov, A.V. Endocytosis of nanomedicines. J. Control Release 2010, 145, 182–195. [Google Scholar] [CrossRef] [PubMed] [Green Version]
- Haag, R.; Kratz, F. Polymer therapeutics: Concepts and applications. Angew. Chem.-Int. Ed. 2006, 45, 1198–1215. [Google Scholar] [CrossRef] [PubMed]
- Cabral, H.; Matsumoto, Y.; Mizuno, K.; Chen, Q.; Murakami, M.; Kimura, M.; Terada, Y.; Kano, M.R.; Miyazono, K.; Uesaka, M.; et al. Accumulation of sub-100 nm polymeric micelles in poorly permeable tumours depends on size. Nat. Nanotechnol. 2011, 6, 815–823. [Google Scholar] [CrossRef]
- Rabanel, J.-M.; Piec, P.-A.; Landri, S.; Patten, S.A.; Ramassamy, C. Transport of PEGylated-PLA nanoparticles across a blood brain barrier model, entry into neuronal cells and in vivo brain bioavailability. J. Control Release Off. J. Control Release Soc. 2020, 328, 679–695. [Google Scholar] [CrossRef] [PubMed]









| Size (nm) | PDI | Zeta Potential(mV) | EE (%) | DL (%) | |
|---|---|---|---|---|---|
| PAT | 175.9 ± 8.3 | 0.221 ± 0.010 | −4.512 ± 0.267 | - | - |
| DOX/PAT | 202.6 ± 7.1 | 0.123 ± 0.022 | −2.271 ± 0.225 | 87.2 ± 1.67 | 12.1 ± 0.36 |
| PCT | 182.5 ± 10.7 | 0.206 ± 0.027 | −3.228 ± 0.194 | - | - |
| DOX/PCT | 214.2 ± 9.8 | 0.182 ± 0.034 | −2.390 ± 0.305 | 85.8 ± 2.65 | 11.4 ± 1.74 |
Publisher’s Note: MDPI stays neutral with regard to jurisdictional claims in published maps and institutional affiliations. |
© 2021 by the authors. Licensee MDPI, Basel, Switzerland. This article is an open access article distributed under the terms and conditions of the Creative Commons Attribution (CC BY) license (https://creativecommons.org/licenses/by/4.0/).
Share and Cite
Yang, Y.; Yang, F.; Shan, X.; Xu, J.; Fang, W.; Zhou, J.; Qiu, L.; Chen, J. Fabrication of pH/Reduction Sensitive Polyethylene Glycol-Based Micelles for Enhanced Intracellular Drug Release. Pharmaceutics 2021, 13, 1464. https://doi.org/10.3390/pharmaceutics13091464
Yang Y, Yang F, Shan X, Xu J, Fang W, Zhou J, Qiu L, Chen J. Fabrication of pH/Reduction Sensitive Polyethylene Glycol-Based Micelles for Enhanced Intracellular Drug Release. Pharmaceutics. 2021; 13(9):1464. https://doi.org/10.3390/pharmaceutics13091464
Chicago/Turabian StyleYang, Yang, Fuwei Yang, Xiaotian Shan, Jiamin Xu, Wenjie Fang, Juan Zhou, Lipeng Qiu, and Jinghua Chen. 2021. "Fabrication of pH/Reduction Sensitive Polyethylene Glycol-Based Micelles for Enhanced Intracellular Drug Release" Pharmaceutics 13, no. 9: 1464. https://doi.org/10.3390/pharmaceutics13091464
APA StyleYang, Y., Yang, F., Shan, X., Xu, J., Fang, W., Zhou, J., Qiu, L., & Chen, J. (2021). Fabrication of pH/Reduction Sensitive Polyethylene Glycol-Based Micelles for Enhanced Intracellular Drug Release. Pharmaceutics, 13(9), 1464. https://doi.org/10.3390/pharmaceutics13091464

