Development and Evaluation of Tannic Acid-Coated Nanosuspension for Enhancing Oral Bioavailability of Curcumin
Abstract
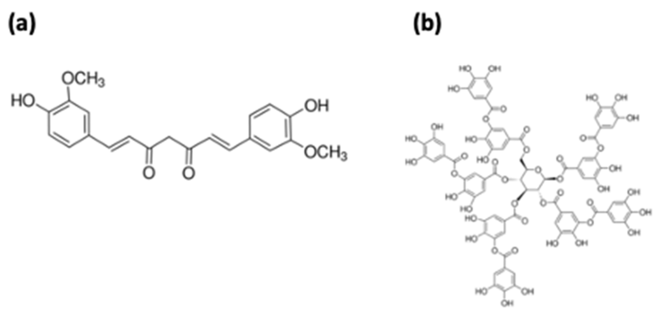
:1. Introduction
2. Materials and Methods
2.1. Materials
2.2. HPLC Analysis
2.3. Screening of Surfactants and Polymers
2.4. Preparation of CUR-NSP
2.5. Optimization of CUR-NSP
2.5.1. Design of Experiments
2.5.2. Particle Size (Y1) and Polydispersity Index (Y2)
2.5.3. Precipitation (Y3)
2.6. Preparation of TA-CUR-NSP
2.7. Characterization of Optimized CUR-NSP and TA-CUR-NSP
2.7.1. Differential Scanning Calorimetry
2.7.2. Powder X-ray Diffraction
2.7.3. Fourier Transform-Infrared Spectroscopy
2.8. In Vitro Release Study
2.9. Mucoadhesion Assay
2.10. Cell Studies
2.10.1. Cell Culture
2.10.2. Cytotoxicity Study
2.10.3. Cellular Uptake Study
2.11. Antioxidant Activity
2.12. Animal Studies
2.12.1. Animals
2.12.2. Pharmacokinetic Study
2.12.3. Sample Preparation and Analytical Methods
3. Results and Discussion
3.1. Screening of Surfactants and Polymers
3.2. Optimization of CUR-NSP
3.3. Preparation of TA-CUR-NSP
3.4. Characterization of CUR-NSP and TA-CUR-NSP
3.5. In Vitro Release Study
3.6. Mucoadhesion Aassay
3.7. Cell Studies
3.7.1. Cytotoxicity Study
3.7.2. Cellular Uptake Study
3.8. Antioxidant Activity
3.9. Pharmacokinetics Study
4. Conclusions
Author Contributions
Funding
Institutional Review Board Statement
Informed Consent Statement
Data Availability Statement
Conflicts of Interest
References
- Prasad, S.; Gupta, S.C.; Tyagi, A.K.; Aggarwal, B.B. Curcumin, a component of golden spice: From bedside to bench and back. Biotechnol. Adv. 2014, 32, 1053–1064. [Google Scholar] [CrossRef]
- Allam, G. Immunomodulatory effects of curcumin treatment on murine schistosomiasis mansoni. Immunobiology 2009, 214, 712–727. [Google Scholar] [CrossRef]
- Zou, L.; Liu, W.; Liu, C.; Xiao, H.; McClements, D.J. Utilizing food matrix effects to enhance nutraceutical bioavailability: Increase of curcumin bioaccessibility using excipient emulsions. J. Agric. Food Chem. 2015, 63, 2052–2062. [Google Scholar] [CrossRef]
- Lee, W.; Lee, D.G. An antifungal mechanism of curcumin lies in membrane-targeted action within Candida albicans. IUBMB Life 2014, 66, 780–785. [Google Scholar] [CrossRef]
- Zandi, K.; Ramedani, E.; Mohammadi, K.; Tajbakhsh, S.; Deilami, I.; Rastian, Z.; Fouladvand, M.; Yousefi, F.; Farshadpour, F. Evaluation of antiviral activities of curcumin derivatives against HSV-1 in Vero cell line. Nat. Prod. Commun. 2010, 5, 1935–1938. [Google Scholar] [CrossRef] [PubMed] [Green Version]
- Negi, P.S.; Jayaprakasha, G.K.; Jagan Mohan Rao, L.; Sakariah, K.K. Antibacterial activity of turmeric oil: A byproduct from curcumin manufacture. J. Agric. Food Chem. 1999, 47, 4297–4300. [Google Scholar] [CrossRef] [PubMed]
- Chainani-Wu, N. Safety and anti-inflammatory activity of curcumin: A component of tumeric (Curcuma longa). J. Altern Complement. Med. 2003, 9, 161–168. [Google Scholar] [CrossRef] [PubMed] [Green Version]
- Jayaprakasha, G.K.; Jaganmohan Rao, L.; Sakariah, K.K. Antioxidant activities of curcumin, demethoxycurcumin and bisdemethoxycurcumin. Food Chem. 2006, 98, 720–724. [Google Scholar] [CrossRef]
- Khar, A.; Ali, A.M.; Pardhasaradhi, B.V.; Begum, Z.; Anjum, R. Antitumor activity of curcumin is mediated through the induction of apoptosis in AK-5 tumor cells. FEBS Lett. 1999, 445, 165–168. [Google Scholar] [CrossRef] [Green Version]
- Anand, P.; Kunnumakkara, A.B.; Newman, R.A.; Aggarwal, B.B. Bioavailability of curcumin: Problems and promises. Mol. Pharm. 2007, 4, 807–818. [Google Scholar] [CrossRef]
- Lakshmi, P.; Kumar, G.A. Nanosuspension technology: A review. Int. J. Pharm. Pharm. Sci. 2010, 2, 35–40. [Google Scholar]
- Geng, T.; Banerjee, P.; Lu, Z.; Zoghbi, A.; Li, T.; Wang, B. Comparative study on stabilizing ability of food protein, non-ionic surfactant and anionic surfactant on BCS type II drug carvedilol loaded nanosuspension: Physicochemical and pharmacokinetic investigation. Eur. J. Pharm. Sci. 2017, 109, 200–208. [Google Scholar] [CrossRef] [PubMed]
- Jansook, P.; Maw, P.D.; Soe, H.M.S.H.; Chuangchunsong, R.; Saiborisuth, K.; Payonitikarn, N.; Autthateinchai, R.; Pruksakorn, P. Development of amphotericin B nanosuspensions for fungal keratitis therapy: Effect of self-assembled γ-cyclodextrin. J. Pharm. Investig. 2020, 50, 513–525. [Google Scholar] [CrossRef]
- Jog, R.; Burgess, D.J. Comprehensive quality by design approach for stable nanocrystalline drug products. Int. J. Pharm. 2019, 564, 426–460. [Google Scholar] [CrossRef]
- Boddupalli, B.M.; Mohammed, Z.N.; Nath, R.A.; Banji, D. Mucoadhesive drug delivery system: An overview. J. Adv. Pharm. Technol. Res. 2010, 1, 381–387. [Google Scholar] [CrossRef] [PubMed] [Green Version]
- Jackson, J.K.; Letchford, K. The Effective Solubilization of Hydrophobic Drugs Using Epigallocatechin Gallate or Tannic Acid-Based Formulations. J. Pharm. Sci. 2016, 105, 3143–3152. [Google Scholar] [CrossRef]
- Nam, H.G.; Nam, M.G.; Yoo, P.J.; Kim, J.-H. Hydrogen bonding-based strongly adhesive coacervate hydrogels synthesized using poly(N-vinylpyrrolidone) and tannic acid. Soft Matter 2019, 15, 785–791. [Google Scholar] [CrossRef] [PubMed]
- Youness, R.A.; Kamel, R.; Elkasabgy, N.A.; Shao, P.; A Farag, M. Recent Advances in Tannic Acid (Gallotannin) Anticancer Activities and Drug Delivery Systems for Efficacy Improvement: A Comprehensive Review. Molecules 2021, 26, 1486. [Google Scholar] [CrossRef]
- Yadav, D.; Kumar, N. Nanonization of curcumin by antisolvent precipitation: Process development, characterization, freeze drying and stability performance. Int. J. Pharm. 2014, 477, 564–577. [Google Scholar] [CrossRef]
- Shariare, M.H.; Sharmin, S.; Jahan, I.; Reza, H.M.; Mohsin, K. The impact of process parameters on carrier free paracetamol nanosuspension prepared using different stabilizers by antisolvent precipitation method. J. Drug Deliv. Sci. Technol. 2018, 43, 122–128. [Google Scholar] [CrossRef]
- Liu, D.; Xu, H.; Tian, B.; Yuan, K.; Pan, H.; Ma, S.; Yang, X.; Pan, W. Fabrication of carvedilol nanosuspensions through the anti-solvent precipitation-ultrasonication method for the improvement of dissolution rate and oral bioavailability. AAPS PharmSciTech 2012, 13, 295–304. [Google Scholar] [CrossRef] [Green Version]
- Lin, P.Y.; Chuang, E.Y.; Chiu, Y.H.; Chen, H.L.; Lin, K.J.; Juang, J.H.; Chiang, C.H.; Mi, F.L.; Sung, H.W. Safety and efficacy of self-assembling bubble carriers stabilized with sodium dodecyl sulfate for oral delivery of therapeutic proteins. J. Control. Release 2017, 259, 168–175. [Google Scholar] [CrossRef]
- Rask, M.B.; Knopp, M.M.; Olesen, N.E.; Holm, R.; Rades, T. Influence of PVP/VA copolymer composition on drug-polymer solubility. Eur. J. Pharm. Sci. 2016, 85, 10–17. [Google Scholar] [CrossRef] [PubMed]
- Gupta, S.C.; Patchva, S.; Aggarwal, B.B. Therapeutic roles of curcumin: Lessons learned from clinical trials. AAPS J. 2013, 15, 195–218. [Google Scholar] [CrossRef] [PubMed] [Green Version]
- Jadhav, B.K.; Mahadik, K.R.; Paradkar, A.R. Development and Validation of Improved Reversed Phase-HPLC Method for Simultaneous Determination of Curcumin, Demethoxycurcumin and Bis-Demethoxycurcumin. Chromatographia 2007, 65, 483–488. [Google Scholar] [CrossRef]
- Na, Y.G.; Jeon, S.H.; Byeon, J.J.; Kim, M.K.; Lee, H.-K.; Cho, C.-W. Application of statistical design on the early development of sustained-release tablet containing ivy leaf extract. J. Drug Deliv. Sci. Technol. 2019, 54, 101319. [Google Scholar] [CrossRef]
- Thongborisute, J.; Takeuchi, H. Evaluation of mucoadhesiveness of polymers by BIACORE method and mucin-particle method. Int. J. Pharm. 2008, 354, 204–209. [Google Scholar] [CrossRef]
- Miyazawa, T.; Itaya, M.; Burdeos, G.C.; Nakagawa, K.; Miyazawa, T. A Critical Review of the Use of Surfactant-Coated Nanoparticles in Nanomedicine and Food Nanotechnology. Int. J. Nanomed. 2021, 16, 3937. [Google Scholar] [CrossRef]
- Na, Y.-G.; Pham, T.M.A.; Byeon, J.-J.; Kim, M.-K.; Han, M.-G.; Baek, J.-S.; Lee, H.-K.; Cho, C.-W. Development and evaluation of TPGS/PVA-based nanosuspension for enhancing dissolution and oral bioavailability of ticagrelor. Int. J. Pharm. 2020, 581, 119287. [Google Scholar] [CrossRef]
- Bajaj, A.; Rao, M.R.; Pardeshi, A.; Sali, D. Nanocrystallization by evaporative antisolvent technique for solubility and bioavailability enhancement of telmisartan. AAPS PharmSciTech 2012, 13, 1331–1340. [Google Scholar] [CrossRef] [Green Version]
- Kulkarni, S.A.; Feng, S.S. Effects of particle size and surface modification on cellular uptake and biodistribution of polymeric nanoparticles for drug delivery. Pharm. Res. 2013, 30, 2512–2522. [Google Scholar] [CrossRef]
- Danaei, M.; Dehghankhold, M.; Ataei, S.; Hasanzadeh Davarani, F.; Javanmard, R.; Dokhani, A.; Khorasani, S.; Mozafari, M.R. Impact of Particle Size and Polydispersity Index on the Clinical Applications of Lipidic Nanocarrier Systems. Pharmaceutics 2018, 10, 57. [Google Scholar] [CrossRef] [Green Version]
- Son, G.-H.; Na, Y.-G.; Huh, H.W.; Wang, M.; Kim, M.-K.; Han, M.-G.; Byeon, J.-J.; Lee, H.-K.; Cho, C.-W. Systemic design and evaluation of ticagrelor-loaded nanostructured lipid carriers for enhancing bioavailability and antiplatelet activity. Pharmaceutics 2019, 11, 222. [Google Scholar] [CrossRef] [Green Version]
- Müller, R.H.; Jacobs, C. Production and characterization of a budesonide nanosuspension for pulmonary administration. Pharm. Res. 2002, 19, 189–194. [Google Scholar]
- Thadkala, K.; Nanam, P.K.; Rambabu, B.; Sailu, C.; Aukunuru, J. Preparation and characterization of amorphous ezetimibe nanosuspensions intended for enhancement of oral bioavailability. Int. J. Pharm. Investig. 2014, 4, 131–137. [Google Scholar] [CrossRef] [Green Version]
- Rezaee, H.; Ghorbani, M.; Nikpay, A.; Soltani, M. Tannic acid-coated zeolite Y nanoparticles as novel drug nanocarrier with controlled release behavior and anti-protozoan activity against Trichomonas gallinae. J. Disper. Sci. Technol. 2018, 40, 587–593. [Google Scholar] [CrossRef]
- Fael, H.; Demirel, A.L. Tannic acid as a co-former in co-amorphous systems: Enhancing their physical stability, solubility and dissolution behavior. Int. J. Pharm. 2020, 581, 119284. [Google Scholar] [CrossRef] [PubMed]
- Zhang, S.; Asghar, S.; Yu, F.; Chen, Z.; Hu, Z.; Ping, Q.; Shao, F.; Xiao, Y. BSA Nanoparticles Modified with N-Acetylcysteine for Improving the Stability and Mucoadhesion of Curcumin in the Gastrointestinal Tract. J. Agric. Food Chem. 2019, 67, 9371–9381. [Google Scholar] [CrossRef] [PubMed]
- Shin, M.; Kim, K.; Shim, W.; Yang, J.W.; Lee, H. Tannic Acid as a Degradable Mucoadhesive Compound. ACS Biomate Sci. Eng. 2016, 2, 687–696. [Google Scholar] [CrossRef] [PubMed]
- Bernkop-Schnurch, A. Mucoadhesive systems in oral drug delivery. Drug Discov. Today Technol. 2005, 2, 83–87. [Google Scholar] [CrossRef] [PubMed]
- Li, H.; Krstin, S.; Wink, M. Modulation of multidrug resistant in cancer cells by EGCG, tannic acid and curcumin. Phytomedicine 2018, 50, 213–222. [Google Scholar] [CrossRef]
- Chowdhury, P.; Nagesh, P.K.B.; Hatami, E.; Wagh, S.; Dan, N.; Tripathi, M.K.; Khan, S.; Hafeez, B.B.; Meibohm, B.; Chauhan, S.C.; et al. Tannic acid-inspired paclitaxel nanoparticles for enhanced anticancer effects in breast cancer cells. J. Colloid Interface Sci. 2019, 535, 133–148. [Google Scholar] [CrossRef]
- Fang, Y.; Liang, F.; Xia, M.; Cao, W.; Pan, S.; Wu, T.; Xu, X. Structure-activity relationship and mechanism of flavonoids on the inhibitory activity of P-glycoprotein (P-gp)-mediated transport of rhodamine123 and daunorubicin in P-gp overexpressed human mouth epidermal carcinoma (KB/MDR) cells. Food Chem. Toxicol. 2021, 155, 112381. [Google Scholar] [CrossRef]
- Kunwar, A.; Barik, A.; Mishra, B.; Rathinasamy, K.; Pandey, R.; Priyadarsini, K.I. Quantitative cellular uptake, localization and cytotoxicity of curcumin in normal and tumor cells. Biochim. Biophys. Acta Gen. Sub. 2008, 1780, 673–679. [Google Scholar] [CrossRef]
- Lopes, G.K.; Schulman, H.M.; Hermes-Lima, M. Polyphenol tannic acid inhibits hydroxyl radical formation from Fenton reaction by complexing ferrousions. Biochim. Biophys. Acta 1999, 1472, 142–152. [Google Scholar] [CrossRef]
- Ravichandran, R. Pharmacokinetic Study of Nanoparticulate Curcumin: Oral Formulation for Enhanced Bioavailability. J. Biomater. Nanobiotechnol. 2013, 4, 291–299. [Google Scholar] [CrossRef]
- Le, Z.; Chen, Y.; Han, H.; Tian, H.; Zhao, P.; Yang, C.; He, Z.; Liu, L.; Leong, K.W.; Mao, H.Q.; et al. Hydrogen-Bonded Tannic Acid-Based Anticancer Nanoparticle for Enhancement of Oral Chemotherapy. ACS Appl. Mater. Interfaces 2018, 10, 42186–42197. [Google Scholar] [CrossRef]
- Dizaj, S.M.; Vazifehasl, Z.; Salatin, S.; Adibkia, K.; Javadzadeh, Y. Nanosizing of drugs: Effect on dissolution rate. Res. Pharm. Sci. 2015, 10, 95–108. [Google Scholar] [PubMed]
- Nectoux, A.M.; Abe, C.; Huang, S.W.; Ohno, N.; Tabata, J.; Miyata, Y.; Matsui, T. Absorption and metabolic behavior of hesperidin (Rutinosylated Hesperetin) after single oral administration to sprague-dawley rats. J. Agric. Food Chem. 2019, 67, 9812–9819. [Google Scholar] [CrossRef]
- Asai, A.; Miyazawa, T. Occurrence of orally administered curcuminoid as glucuronide and glucuronide/sulfate conjugates in rat plasma. Life Sci. 2000, 67, 2785–2793. [Google Scholar] [CrossRef]














| Factors | Range | |
|---|---|---|
| Low Limit | High Limit | |
| X1: SDS amount (mg) | 0 | 5 |
| X2: PVP/VA amount (mg) | 150 | 250 |
| X3: Volume of aqueous phase (mL) | 5 | 15 |
| Responses | Goal | |
| Y1: Particle size (nm) | Minimize | |
| Y2: Polydispersity index (PDI) | Minimize | |
| Y3: Precipitation (%) | Minimize | |
| Run | Factors | Responses | ||||
|---|---|---|---|---|---|---|
| X1 | X2 | X3 | Y1 | Y2 | Y3 | |
| SDS (mg) | PVP/VA (mg) | Volume (mL) | Particle Size (nm) | PDI (-) | Precipitation (%) | |
| 1 | 2.5 | 200 | 10 | 189.2 ± 1.9 | 0.106 ± 0.021 | 5.59 ± 0.10 |
| 2 | 5 | 200 | 5 | 209.0 ± 2.6 | 0.173 ± 0.014 | 8.70 ± 0.06 |
| 3 | 0 | 200 | 15 | 215.1 ± 1.6 | 0.081 ± 0.007 | 6.10 ± 1.56 |
| 4 | 2.5 | 200 | 10 | 186.3 ± 1.3 | 0.094 ± 0.007 | 5.49 ± 0.48 |
| 5 | 2.5 | 200 | 10 | 185.2 ± 2.2 | 0.095 ± 0.007 | 4.37 ± 1.44 |
| 6 | 2.5 | 250 | 15 | 180.4 ± 0.8 | 0.125 ± 0.123 | 2.74 ± 0.83 |
| 7 | 0 | 200 | 5 | 253.1 ± 1.7 | 0.083 ± 0.010 | 16.70 ± 3.33 |
| 8 | 5 | 200 | 15 | 145.3 ± 0.8 | 0.181 ± 0.023 | 2.34 ± 2.87 |
| 9 | 2.5 | 150 | 5 | 197.5 ± 1.4 | 0.090 ± 0.014 | 6.87 ± 5.50 |
| 10 | 2.5 | 200 | 10 | 182.6 ± 1.6 | 0.089 ± 0.015 | 4.07 ± 0.62 |
| 11 | 2.5 | 150 | 15 | 151.8 ± 0.7 | 0.114 ± 0.007 | 2.51 ± 0.42 |
| 12 | 2.5 | 200 | 10 | 193.1 ± 2.4 | 0.096 ± 0.012 | 5.28 ± 3.14 |
| 13 | 2.5 | 250 | 5 | 251.6 ± 1.2 | 0.108 ± 0.010 | 14.00 ± 1.85 |
| 14 | 0 | 250 | 10 | 231.3 ± 1.2 | 0.080 ± 0.012 | 9.42 ± 2.80 |
| 15 | 0 | 150 | 10 | 192.8 ± 0.2 | 0.084 ± 0.012 | 5.45 ± 2.00 |
| 16 | 5 | 150 | 10 | 133.4 ± 3.3 | 0.170 ± 0.009 | 1.51 ± 0.91 |
| 17 | 5 | 250 | 10 | 181.1 ± 2.3 | 0.195 ± 0.009 | 3.40 ± 1.84 |
| Response | Suggested Model | p-Value | Lack of Fit p-Value | R2 | Adjusted R2 | Predicted R2 | Adequate Precision |
|---|---|---|---|---|---|---|---|
| : Particle size (nm) | Quadratic | 0.0003 | 0.6117 | 0.9944 | 0.9871 | 0.9640 | 42.36 |
| : Polydispersity index | Quadratic | 0.0003 | 0.3374 | 0.9864 | 0.9689 | 0.8737 | 22.28 |
| : Precipitation (%) | Quadratic | 0.0003 | 0.6319 | 0.9895 | 0.9759 | 0.9346 | 31.18 |
| Optimal Factors | Response | 95% CI Low Predicted Value | Predicted Value | 95% CI High Predicted Value | Observed Value | Error Percentage (%) |
|---|---|---|---|---|---|---|
| X1: 3 mg | : Particle size (nm) | 141.77 | 147.4 | 153.02 | 146.1 ± 0.8 | 8.2 |
| X2: 150 mg | : Polydispersity index | 0.1 | 0.11 | 0.12 | 0.108 ± 0.015 | 2.3 |
| X3: 12 mL | : Precipitation (%) | 0.55 | 1.51 | 2.47 | 1.55 ± 1.09 | 0.9 |
| Pharmacokinetic Parameters | Formulations | ||
|---|---|---|---|
| Pure CUR | CUR-NSP | TA-CUR-NSP | |
| Tmax (h) | 0.61 ± 0.42 | 0.17 ± 0.00 | 0.34 ± 0.00 |
| Cmax (ng/mL) | 39.07 ± 10.37 | 183.98 ± 12.75 | 280.43 ± 35.32 *,# |
| AUC0–24 (ng∙h/mL) | 152.95 ± 17.30 | 267.56 ± 55.43 | 763.13 ± 199.73 *,# |
| T1/2 (h) | 1.86 ± 0.61 | 2.46 ± 0.12 | 4.71 ± 1.56 |
| Relative bioavailability | - | 174% | 499% |
Publisher’s Note: MDPI stays neutral with regard to jurisdictional claims in published maps and institutional affiliations. |
© 2021 by the authors. Licensee MDPI, Basel, Switzerland. This article is an open access article distributed under the terms and conditions of the Creative Commons Attribution (CC BY) license (https://creativecommons.org/licenses/by/4.0/).
Share and Cite
Lee, H.; Bang, J.-B.; Na, Y.-G.; Lee, J.-Y.; Cho, C.-W.; Baek, J.-S.; Lee, H.-K. Development and Evaluation of Tannic Acid-Coated Nanosuspension for Enhancing Oral Bioavailability of Curcumin. Pharmaceutics 2021, 13, 1460. https://doi.org/10.3390/pharmaceutics13091460
Lee H, Bang J-B, Na Y-G, Lee J-Y, Cho C-W, Baek J-S, Lee H-K. Development and Evaluation of Tannic Acid-Coated Nanosuspension for Enhancing Oral Bioavailability of Curcumin. Pharmaceutics. 2021; 13(9):1460. https://doi.org/10.3390/pharmaceutics13091460
Chicago/Turabian StyleLee, Hyeonmin, Jun-Bae Bang, Young-Guk Na, Jae-Young Lee, Cheong-Weon Cho, Jong-Suep Baek, and Hong-Ki Lee. 2021. "Development and Evaluation of Tannic Acid-Coated Nanosuspension for Enhancing Oral Bioavailability of Curcumin" Pharmaceutics 13, no. 9: 1460. https://doi.org/10.3390/pharmaceutics13091460
APA StyleLee, H., Bang, J.-B., Na, Y.-G., Lee, J.-Y., Cho, C.-W., Baek, J.-S., & Lee, H.-K. (2021). Development and Evaluation of Tannic Acid-Coated Nanosuspension for Enhancing Oral Bioavailability of Curcumin. Pharmaceutics, 13(9), 1460. https://doi.org/10.3390/pharmaceutics13091460

