Pre-Clinical Pharmacokinetic Characterization, Tissue Distribution, and Excretion Studies of Novel Edaravone Oral Prodrug, TEJ-1704
Abstract
1. Introduction
2. Materials and Methods
2.1. Chemicals and Reagents
2.2. Preparation of TEJ-1704
2.3. In Vitro Assessment of Antioxidant Activity
2.4. In Vivo Efficacy Study
2.5. Animals and Pharmacokinetic Study Design
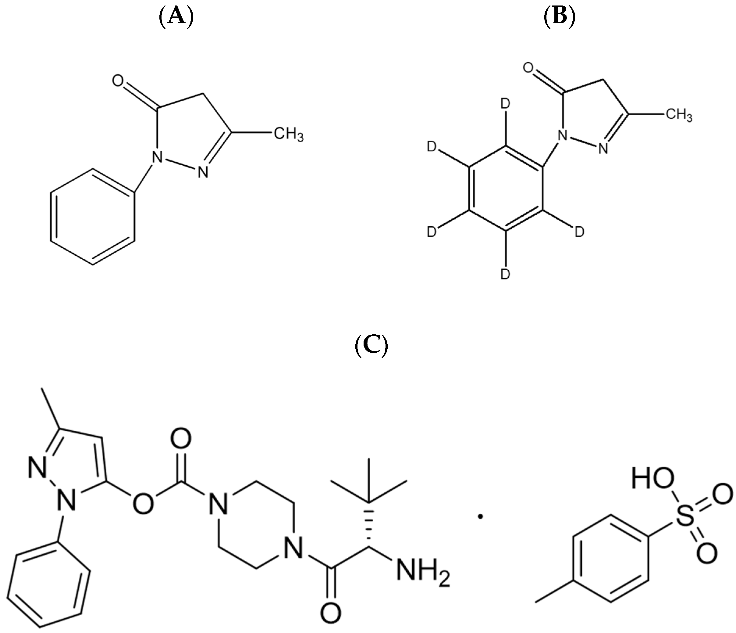
2.6. Analytical Methodology
2.7. Pharmacokinetic Evaluation
2.8. Statistical Analysis
3. Results and Discussion
3.1. Evaluation of Antioxidant Activity for TEJ-1704
3.2. Analytical Method Development and Validation
3.3. Pharmacokinetic Study
3.4. Distribution and Excretion
4. Conclusions
Author Contributions
Funding
Institutional Review Board Statement
Informed Consent Statement
Data Availability Statement
Conflicts of Interest
References
- Shimizu, H.; Nishimura, Y.; Shiide, Y.; Matsuda, H.; Akimoto, M.; Matsuda, M.; Nakamaru, Y.; Kato, Y.; Kondo, K. Evaluation of Pharmacokinetics, Safety, and Drug—Drug Interactions of an Oral Suspension of Edaravone in Healthy Adults. Clin. Pharmacol. Drug Dev. 2021, 0, 1–14. [Google Scholar]
- Park, J.-M.; Kim, S.-Y.; Park, D.; Park, J.-S. Effect of edaravone therapy in Korean amyotrophic lateral sclerosis (ALS) patients. Neurol. Sci. 2020, 41, 119–123. [Google Scholar] [CrossRef] [PubMed]
- Bhandari, R.; Kuhad, A.; Kuhad, A. Edaravone: A new hope for deadly amyotrophic lateral sclerosis. Drugs Today Barc. 2018, 54, 349–360. [Google Scholar] [CrossRef] [PubMed]
- Takayasu, Y.; Nakaki, J.; Kawasaki, T.; Koda, K.; Ago, Y.; Baba, A.; Matsuda, T. Edaravone, a radical scavenger, inhibits mitochondrial permeability transition pore in rat brain. J. Pharmacol. Sci. 2007, 0704030010. [Google Scholar] [CrossRef] [PubMed]
- Gao, C.; Li, X.; Li, Y.; Wang, L.; Xue, M. Pharmacokinetic interaction between puerarin and edaravone, and effect of borneol on the brain distribution kinetics of puerarin in rats. J. Pharm. Pharmacol. 2010, 62, 360–367. [Google Scholar] [CrossRef]
- Tang, D.q.; Bian, T.t.; Zheng, X.x.; Li, Y.; Wu, X.w.; Li, Y.j.; Du, Q.; Jiang, S.s. LC-MS/MS methods for the determination of edaravone and/or taurine in rat plasma and its application to a pharmacokinetic study. Biomed. Chromatogr. 2014, 28, 1173–1182. [Google Scholar] [CrossRef] [PubMed]
- Li, Y.-j.; Li, Z.; Zheng, X.-x.; Wu, X.-w.; Wang, S.-r.; Guo, H.; Yu, Y.-y.; Guo, M.-z.; Yan, D.-z.; Tang, D.-q. Evaluation of sample preparation and chromatographic separation for the parallel determination of taurine and edaravone in rat tissues using HILIC-MS/MS. Anal. Bioanal. Chem. 2015, 407, 4143–4153. [Google Scholar] [CrossRef] [PubMed]
- Tang, D.-q.; Zheng, X.-x.; Li, Y.-j.; Bian, T.-t.; Yu, Y.-y.; Du, Q.; Yang, D.-z.; Jiang, S.-s. Two complementary liquid chromatography-tandem mass spectrometry (LC-MS/MS) methods to study the excretion and metabolic interaction of edaravone and taurine in rats. J. Chromatogr. B 2014, 970, 8–17. [Google Scholar] [CrossRef] [PubMed]
- Yu, Y.y.; Zheng, X.x.; Bian, T.t.; Li, Y.j.; Wu, X.w.; Yang, D.z.; Jiang, S.s.; Tang, D.q. Development and application of a LC–MS/MS assay for the simultaneous quantification of edaravone and taurine in beagle plasma. J. Sep. Sci. 2013, 36, 3837–3844. [Google Scholar] [CrossRef] [PubMed]
- Shao, F.; Hu, X.-l.; Liu, X.; Shan, M.-t. A Novel LC–MS-MS Method With an Effective Antioxidant for the Determination of Edaravone, a Free-Radical Scavenger in Dog Plasma and its Application to a Pharmacokinetic Study. J. Chromatogr. Sci. 2017, 55, 595–602. [Google Scholar] [CrossRef] [PubMed][Green Version]
- Weir, S.J.; Wood, R.; Schorno, K.; Brinker, A.E.; Ramamoorthy, P.; Heppert, K.; Rajewski, L.; Tanol, M.; Ham, T.; McKenna, M.J. Preclinical pharmacokinetics of fosciclopirox, a novel treatment of urothelial cancers, in rats and dogs. J. Pharmacol. Exp. Ther. 2019, 370, 148–159. [Google Scholar] [CrossRef] [PubMed]
- US Food and Drug Administration. Bioanalytical Method Validation Guidance for Industry; U.S. Department of Health & Human Services: Washington, DC, USA, 2018; Docket number: FDA-2013-D-1020. [Google Scholar]
- Liu, L.; Liu, X.; Wei, B.; Khojasteh, S.C. Simple methodology to estimate bioavailability in early clinical studies: Theory and reality. Int. J. Pharmacokinet. 2017, 2, 155–162. [Google Scholar] [CrossRef]
- Di, L. The impact of carboxylesterases in drug metabolism and pharmacokinetics. Curr. Drug Metab. 2019, 20, 91–102. [Google Scholar] [CrossRef] [PubMed]
- Furfine, E.S.; Baker, C.T.; Hale, M.R.; Reynolds, D.J.; Salisbury, J.A.; Searle, A.D.; Studenberg, S.D.; Todd, D.; Tung, R.D.; Spaltenstein, A. Preclinical pharmacology and pharmacokinetics of GW433908, a water-soluble prodrug of the human immunodeficiency virus protease inhibitor amprenavir. Antimicrob. Agents Chemother. 2004, 48, 791–798. [Google Scholar] [CrossRef] [PubMed]
- Yáñez, J.A.; Remsberg, C.M.; Sayre, C.L.; Forrest, M.L.; Davies, N.M. Flip-flop pharmacokinetics–Delivering a reversal of disposition: Challenges and opportunities during drug development. Ther. Deliv. 2011, 2, 643–672. [Google Scholar] [CrossRef] [PubMed]
- Hyung, S.; Jeong, Y.-S.; Yeo, J.; Song, Y.-K.; Kim, M.-S.; Im, Y.-J.; Maeng, H.-J.; Chung, S.-J. Identification of the primary determining factor (s) governing the oral absorption of edaravone in rats. Eur. J. Pharm. Sci. 2018, 123, 312–320. [Google Scholar] [CrossRef] [PubMed]
- US Food and Drug Administration. Pharmacology Review (s) of Edaravone (Applicant: Mitsubishi Tanabe Pharma Corp.); U.S. Department of Health & Human Services: Washington, DC, USA, 2017; Application number: 209176Orig1s000 (submission data: 16 June 2016). [Google Scholar]
- Agency, E.M.; European Medicines Agency; Committee for Medicinal Products for Human Use (CHMP). Procedure No. EMEA/H/C/004938/0000. In Withdrawal Assessment Report; Committee for Medicinal Products for Human Use (CHMP): London, UK, 2019. [Google Scholar]







| Group | Drug | Route | n | Dose (mg/kg) | Edaravone Equivalent Dose (mg/kg) | Blood Sampling Time | Organ Collection |
|---|---|---|---|---|---|---|---|
| R1 | Edaravone | IV | 5 | 3 | 3 | 0, 2, 5, 10, 15, 25, 40 min 1, 2, 4, 6, 10 h | - |
| R2 | Edaravone | PO | 5 | 30 | 30 | - | |
| R3 | TEJ-1704 | IV | 5 | 19.8 | 6 | - | |
| R4 | TEJ-1704 | PO | 5 | 99 | 30 | 10 h | |
| R5 | TEJ-1704 | PO | 5 | 198 | 60 | 10 h | |
| R6 | TEJ-1704 | PO | 5 | 660 | 200 | 10 h | |
| R7 | TEJ-1704 | PO | 18 | 99 | 30 | - | 15, 30, 45 min 1, 2, 4 h |
| R8 | TEJ-1704 | PO | 18 | 198 | 60 | - | |
| R9 | TEJ-1704 | PO | 18 | 660 | 200 | - |
| Group | Drug | Route | Dose (mg/kg) | Edaravone Equivalent Dose (mg/kg) | Sampling Time |
|---|---|---|---|---|---|
| B1 | Edaravone | IV infusion (1 h) | 1 | 1 | Blood: 0, 2, 5, 10, 15, 25, 40 min, 1, 2, 4, 6, 10 h CSF: 15, 30 min, 1, 4, 24 h Urine/Feces (B3–B6): 0–2, 2–6, 6–12, 12–24 h |
| B2 | Edaravone | PO | 3 | 3 | |
| B3 | TEJ-1704 | IV bolus | 3.3 | 1 | |
| B4 | TEJ-1704 | PO | 9.9 | 3 | |
| B5 | TEJ-1704 | PO | 19.8 | 6 | |
| B6 | TEJ-1704 | PO | 39.6 | 12 |
| Matrix | Linear Regression Equation * | r2 |
|---|---|---|
| Rats | ||
| Plasma | y = (0.016 ± 0.001) + (0.002 ± 0.003) | 0.998 ± 0.001 |
| Brain | y = (0.020 ± 0.02) + (0.006 ± 0.003) | 0.996 ± 0.003 |
| Liver | y = (0.020 ± 0.001) + (0.046 ± 0.008) | 0.999 ± 0.001 |
| Kidney | y = (0.019 ± 0.001) + (0.043 ± 0.024) | 0.998 ± 0.001 |
| Heart | y = (0.019 ± 0.001) + (0.013 ± 0.003) | 0.996 ± 0.005 |
| Lung | y = (0.020 ± 0.01) + (0.056 ± 0.019) | 0.997 ± 0.002 |
| Gastro-intestinal (GI) tract | y = (0.020 ± 0.01) + (0.026 ± 0.005) | 0.997 ± 0.002 |
| Beagle dogs | ||
| Plasma | y= (0.023 ± 0.001) + (0.009 ± 0.008) | 0.998 ± 0.002 |
| Cerebrospinal fluid (CSF) | y= (0.023 ± 0.001) + (0.002 ± 0.001) | 0.999 ± 0.001 |
| Urine | y= (0.016 ± 0.001) − (0.063 ± 0.021) | 0.991 ± 0.0004 |
| Feces | y= (0.022 ± 0.001) − (0.155 ± 0.252) | 0.995 ± 0.001 |
| Matrix | Intra-Batch | Inter-Batch | ||||||||||||||
|---|---|---|---|---|---|---|---|---|---|---|---|---|---|---|---|---|
| Precision (CV, %) | Accuracy (%) | Precision (CV, %) | Accuracy (%) | |||||||||||||
| LLOQ | QL | QM | QH | LLOQ | QL | QM | QH | LLOQ | QL | QM | QH | LLOQ | QL | QM | QH | |
| Rats | ||||||||||||||||
| Plasma | 8.15 | 6.29 | 2.01 | 3.41 | 106.54 | 107.30 | 108.55 | 109.23 | 5.21 | 5.98 | 1.14 | 1.98 | 106.81 | 104.42 | 108.14 | 107.13 |
| Brain | 12.46 | 5.39 | 1.53 | 6.37 | 100.81 | 94.11 | 102.17 | 99.32 | 6.39 | 2.62 | 1.65 | 2.83 | 108.61 | 96.59 | 102.5 | 102.66 |
| Liver | 7.32 | 6.35 | 1.04 | 0.33 | 110.88 | 98.25 | 97.65 | 94.83 | 7.75 | 2.85 | 4.02 | 2.83 | 106.59 | 100.82 | 101.57 | 97.91 |
| Kidney | 9.19 | 1.71 | 1.48 | 7.37 | 107.35 | 102.92 | 98.11 | 98.00 | 2.00 | 7.20 | 2.85 | 2.07 | 104.95 | 99.30 | 100.85 | 99.30 |
| Heart | 7.25 | 7.02 | 2.07 | 2.88 | 111.55 | 96.61 | 101.66 | 101.15 | 1.70 | 10.28 | 3.87 | 3.28 | 111.22 | 100.28 | 101.27 | 102.98 |
| Lung | 5.39 | 7.92 | 2.37 | 2.4 | 99.45 | 96.87 | 99.06 | 95.25 | 9.96 | 3.48 | 5.74 | 7.41 | 100.12 | 95.59 | 100.56 | 100.8 |
| GI tract | 2.72 | 6.26 | 3.12 | 2.67 | 109.85 | 99.38 | 97.69 | 104.59 | 12.08 | 11.28 | 0.23 | 2.01 | 107.25 | 101.87 | 100.97 | 105.42 |
| Beagle dogs | ||||||||||||||||
| Plasma | 5.57 | 2.27 | 2.87 | 1.36 | 106.42 | 103.73 | 98.14 | 101.36 | 2.84 | 3.95 | 3.42 | 2.00 | 104.28 | 101.26 | 99.19 | 102.67 |
| CSF | 8.58 | 4.18 | 2.78 | 3.08 | 107.81 | 102.99 | 98.54 | 100.34 | 3.12 | 2.51 | 0.25 | 2.61 | 100.83 | 105.10 | 98.97 | 103.17 |
| Urine | 10.57 | 5.56 | 6.38 | 5.83 | 88.88 | 92.89 | 103.83 | 104.76 | 15.24 | 10.17 | 0.23 | 3.53 | 99.53 | 87.17 | 102.45 | 109.44 |
| Feces | 0.35 | 2.01 | 5.45 | 0.22 | 110.72 | 101.32 | 105.36 | 98.30 | 7.16 | 11.34 | 9.35 | 9.06 | 111.17 | 98.97 | 98.73 | 98.55 |
| Group | Route | Half-Life [15] | Tmax [15] | C0 (ng/mL) | Cmax (ng/mL) | AUClast (ng·h/mL) |
|---|---|---|---|---|---|---|
| Rats | ||||||
| R1 | IV | 1.8 ± 0.1 | - | 8398.7 ± 1543.1 | - | 6204.1 ± 1026.0 |
| R2 | PO | 1.7 ± 0.2 | 0.4 ± 0.1 | - | 35,420.4 ± 4878.3 | 46,667.0 ± 12,543.6 |
| R3 | IV | 1.8 ± 0.2 | 0.04 ± 0.02 | 2960.4 ± 808.2 | 6948.4 ± 1499.9 | |
| R4 | PO | 12.9 ± 4.8 | 0.7 ± 0.3 | - | 3285.6 ± 456.9 | 16,016.7 ± 3436.1 |
| R5 | PO | 15.0 ± 8.4 | 0.8 ± 0.2 | - | 3866.6 ± 427.1 | 20,497.9 ± 6365.7 |
| R6 | PO | 16.5 ± 11.5 | 0.9 ± 0.7 | - | 5680.5 ± 850.7 | 38,596.6 ± 11,716.4 |
| Beagle dogs | ||||||
| B1 | IV | 4.1 ± 0.5 | - | - | 1589.6 ± 415.0 | 3120.1 ± 1041.1 |
| B2 | PO | 3.6 ± 0.4 | 0.2 ± 0.1 | - | 7840.7 ± 1144.4 | 7284.6 ± 1641.1 |
| B3 | IV | 4.0 ± 0.3 | 0.3 ± 0.2 | - | 663.6 ± 154.4 | 3014.7 ± 1142.6 |
| B4 | PO | 5.9 ± 1.1 | 1.8 ± 0.4 | - | 665.2 ± 125.0 | 4686.4 ± 2092.4 |
| B5 | PO | 5.4 ± 1.6 | 1.6 ± 0.5 | - | 712.9 ± 101.2 | 7258.9 ± 1727.6 |
| B6 | PO | 6.2 ± 1.4 | 1.3 ± 0.7 | - | 809.2 ± 169.3 | 9953.7 ± 2135.0 |
| Group | Tmax [15] | Cmax (ng/mL) | AUC0–24h (ng·h/mL) |
|---|---|---|---|
| B1 | 1.0 ± 0.0 | 51.7 ± 9.2 | 121.4 ± 19.5 |
| B2 | 0.4 ± 0.1 | 23.5 ± 7.1 | 53.4 ± 9.9 |
| B3 | 0.3 ± 0.0 | 6.4 ± 2.8 | 29.1 ± 11.0 |
| B4 | 2.2 ± 1.6 | 4.9 ± 2.0 | 48.0 ± 8.0 |
| B5 | 0.8 ± 0.3 | 6.4 ± 1.5 | 56.8 ± 11.0 |
| B6 | 1.6 ± 1.6 | 5.6 ± 1.1 | 66.9 ± 9.7 |
Publisher’s Note: MDPI stays neutral with regard to jurisdictional claims in published maps and institutional affiliations. |
© 2021 by the authors. Licensee MDPI, Basel, Switzerland. This article is an open access article distributed under the terms and conditions of the Creative Commons Attribution (CC BY) license (https://creativecommons.org/licenses/by/4.0/).
Share and Cite
Kang, D.W.; Kim, J.H.; Kim, K.M.; Cho, S.-j.; Jang, H.-W.; Chang, J.W.; Dong, S.M.; Lim, J.W.; Kim, J.-S.; Cho, H.-Y. Pre-Clinical Pharmacokinetic Characterization, Tissue Distribution, and Excretion Studies of Novel Edaravone Oral Prodrug, TEJ-1704. Pharmaceutics 2021, 13, 1406. https://doi.org/10.3390/pharmaceutics13091406
Kang DW, Kim JH, Kim KM, Cho S-j, Jang H-W, Chang JW, Dong SM, Lim JW, Kim J-S, Cho H-Y. Pre-Clinical Pharmacokinetic Characterization, Tissue Distribution, and Excretion Studies of Novel Edaravone Oral Prodrug, TEJ-1704. Pharmaceutics. 2021; 13(9):1406. https://doi.org/10.3390/pharmaceutics13091406
Chicago/Turabian StyleKang, Dong Wook, Ju Hee Kim, Kyung Min Kim, Seok-jin Cho, Hee-Woon Jang, Ji Won Chang, Seung Myung Dong, Jee Woong Lim, Jae-Sun Kim, and Hea-Young Cho. 2021. "Pre-Clinical Pharmacokinetic Characterization, Tissue Distribution, and Excretion Studies of Novel Edaravone Oral Prodrug, TEJ-1704" Pharmaceutics 13, no. 9: 1406. https://doi.org/10.3390/pharmaceutics13091406
APA StyleKang, D. W., Kim, J. H., Kim, K. M., Cho, S.-j., Jang, H.-W., Chang, J. W., Dong, S. M., Lim, J. W., Kim, J.-S., & Cho, H.-Y. (2021). Pre-Clinical Pharmacokinetic Characterization, Tissue Distribution, and Excretion Studies of Novel Edaravone Oral Prodrug, TEJ-1704. Pharmaceutics, 13(9), 1406. https://doi.org/10.3390/pharmaceutics13091406

