Reparation of an Inflamed Air-Liquid Interface Cultured A549 Cells with Nebulized Nanocurcumin
Abstract
1. Introduction
2. Materials and Methods
2.1. Materials
2.2. Archaebacteria Growth, Extraction, and Characterization of Total Polar Archaeolipids (TPA)
2.3. Preparation of CUR-Nanovesicles
2.4. Structural Characterization of CUR-Nanovesicles
2.4.1. Raman Spectra
2.4.2. Small Angle X-ray Scattering (SAXS)
2.4.3. Absorption Spectra of Free CUR in NaCl-Tris Buffer or Methanol and CUR-Nanovesicles
2.4.4. Stability upon Storage
2.4.5. Stability of CUR-Nanovesicles and Free CUR upon Nebulization
2.5. Cell Lines and Culture
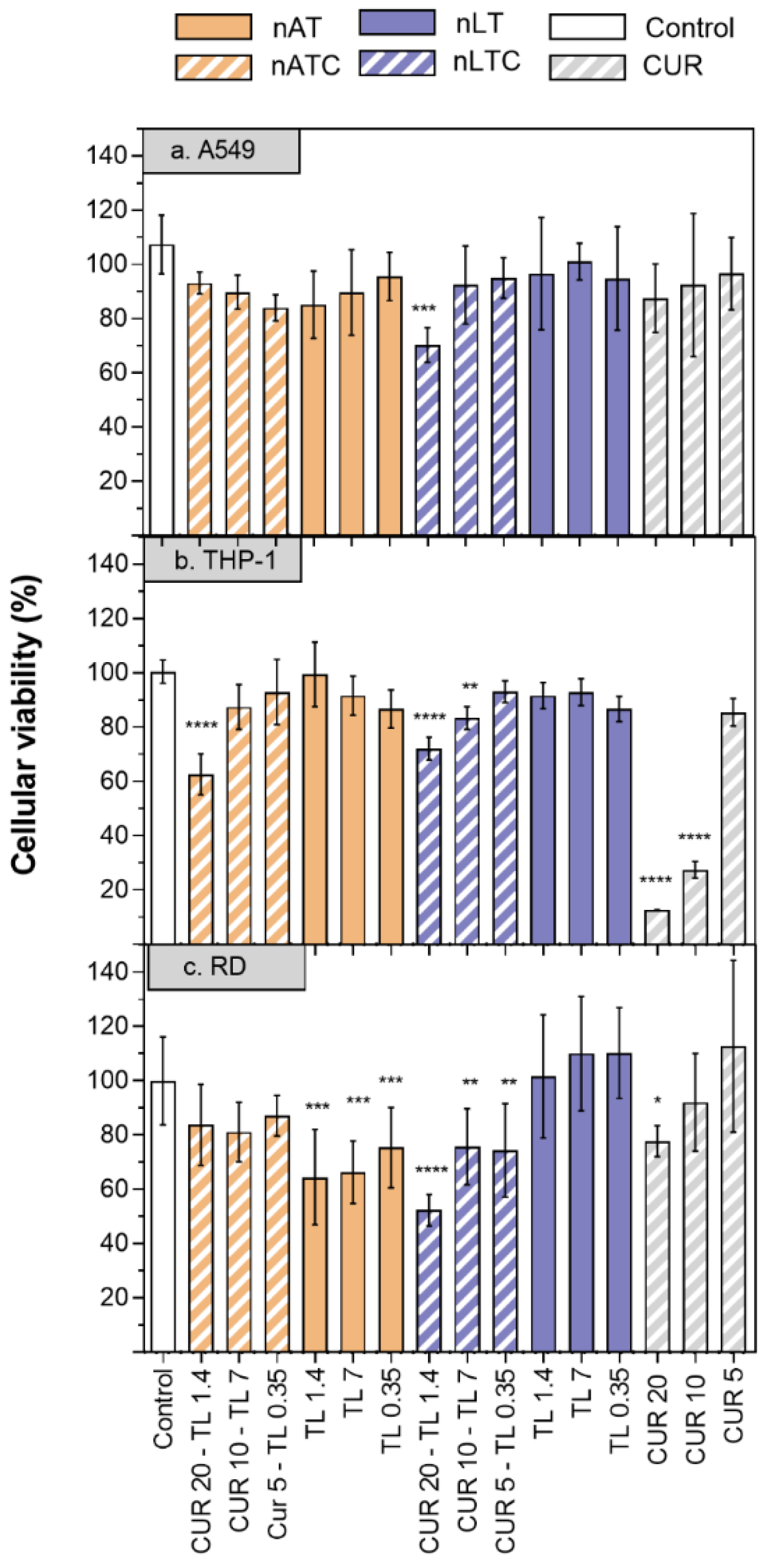
2.6. Cytotoxicity of CUR-Nanovesicles
2.7. Lactate Dehydrogenase (LDH) Leakage
2.8. CUR Cellular Uptake
2.9. Inhibition of Reactive Oxygen Species (ROS)
2.10. Cytokine Release
2.11. Anti-Inflammatory Activity of Nebulized CUR-Nanovesicles on an Inflamed Alveolar Epithelium Model at the Air Liquid Interface (ALI)
3. Results
Physicochemical Characterization of CUR-Nanovesicles
4. Discussion
Supplementary Materials
Author Contributions
Funding
Data Availability Statement
Conflicts of Interest
References
- Bellani, G.; Laffey, J.G.; Pham, T.; Fan, E.; Brochard, L.; Esteban, A.; Gattinoni, L.; Van Haren, F.; Larsson, A.; McAuley, D.; et al. Epidemiology, Patterns of Care, and Mortality for Patients With Acute Respiratory Distress Syndrome in Intensive Care Units in 50 Countries. JAMA 2016, 315, 788–800. [Google Scholar] [CrossRef]
- Lucchini, A.C.; Gachanja, N.N.; Rossi, A.G.; Dorward, D.A.; Lucas, C.D. Epithelial Cells and Inflammation in Pulmonary Wound Repair. Cells 2021, 10, 339. [Google Scholar] [CrossRef]
- Wynn, T.A. Common and Unique Mechanisms Regulate Fibrosis in Various Fibroproliferative Diseases. J. Clin. Investig. 2007, 117, 524–529. [Google Scholar] [CrossRef]
- George, P.M.; Wells, A.U.; Jenkins, R.G. Pulmonary Fibrosis and COVID-19: The Potential Role for Antifibrotic Therapy. Lancet Respir. Med. 2020, 8, 807–815. [Google Scholar] [CrossRef]
- Parimon, T.; Yao, C.; Stripp, B.R.; Noble, P.W.; Chen, P. Alveolar Epithelial Type II Cells as Drivers of Lung Fibrosis in Idiopathic Pulmonary Fibrosis. Int. J. Mol. Sci. 2020, 21, 2269. [Google Scholar] [CrossRef]
- Vitiello, A.; Pelliccia, C.; Ferrara, F. COVID-19 Patients with Pulmonary Fibrotic Tissue: Clinical Pharmacological Rational of Antifibrotic Therapy. SN Compr. Clin. Med. 2020, 2, 1709–1712. [Google Scholar] [CrossRef] [PubMed]
- Kato, M.; Sasaki, S.; Nakamura, T.; Kurokawa, K.; Yamada, T.; Ochi, Y.; Ihara, H.; Takahashi, F.; Takahashi, K. Gastrointestinal Adverse Effects of Nintedanib and the Associated Risk Factors in Patients with Idiopathic Pulmonary Fibrosis. Sci. Rep. 2019, 9, 1–9. [Google Scholar] [CrossRef]
- Margaritopoulos, G.; Vasarmidi, E.; Antoniou, K. Pirfenidone in the Treatment of Idiopathic Pulmonary Fibrosis: An Evidence-Based Review of its Place in Therapy. Core Évid. 2016, 11, 11–22. [Google Scholar] [CrossRef]
- Wu, X.; Adedoyin, O.O.; Mansour, H.M. Pulmonary and Nasal Anti-Inflammatory and Anti-Allergy Inhalation Aerosol Delivery Systems. Anti-Inflamm. Anti-Allergy Agents Med. Chem. 2011, 10, 215–229. [Google Scholar] [CrossRef]
- John, A.E.; Graves, R.H.; Pun, K.T.; Vitulli, G.; Forty, E.J.; Mercer, P.F.; Morrell, J.L.; Barrett, J.W.; Rogers, R.F.; Hafeji, M.; et al. Translational Pharmacology of an Inhaled Small Molecule αvβ6 Integrin Inhibitor for Idiopathic Pulmonary Fibrosis. Nat. Commun. 2020, 11, 1–14. [Google Scholar] [CrossRef] [PubMed]
- Myrdal, P.; Angersbach, B. Pulmonary Delivery of Drugs by Inhalation. In Modified-Release Drug Delivery Technology, 2rd ed.; CRC Press: Boca Raton, FL, USA, 2008. [Google Scholar]
- Nichols, W.K. Respiratory Drugs. In Remington: The Science and Practice of Pharmacy; Gennaro, A.R., Marderosian, A.H.D., Hanson, G.R., Medwick, T., Popovich, N.G., Schnaare, R.L., Schwartz, J.B., White, H.S., Eds.; Lippincott Williams & Wilkins: Baltimore, MD, USA, 2000; pp. 1297–1303. [Google Scholar]
- Abu-Dahab, R.; Schäfer, U.F.; Lehr, C.-M. Lectin-Functionalized Liposomes for Pulmonary Drug Delivery: Effect of Nebulization on Stability and Bioadhesion. Eur. J. Pharm. Sci. 2001, 14, 37–46. [Google Scholar] [CrossRef]
- European Medicines Agency Arikayce Liposomal. Available online: https://www.ema.europa.eu/en/medicines/human/EPAR/arikayce-liposomal (accessed on 18 July 2021).
- Beevers, C.S.; Huang, S. The Targets of Curcumin. Curr. Drug Targets 2011, 12, 332–347. [Google Scholar] [CrossRef]
- Aggarwal, B.B.; Sung, B. Pharmacological Basis for the Role of Curcumin in Chronic Diseases: An Age-Old Spice with Modern Targets. Trends Pharmacol. Sci. 2009, 30, 85–94. [Google Scholar] [CrossRef]
- Corcelli, A.; Lobasso, S. 25 Characterization of Lipids of Halophilic Archaea. Methods Microbiol. 2006, 35, 585–613. [Google Scholar] [CrossRef]
- Higa, L.H.; Schilrreff, P.; Perez, A.P.; Iriarte, M.A.; Roncaglia, D.I.; Morilla, M.J.; Romero, E.L. Ultradeformable Archaeosomes as New Topical Adjuvants. Nanomed. Nanotechnol. Biol. Med. 2012, 8, 1319–1328. [Google Scholar] [CrossRef] [PubMed]
- Caimi, A.; Parra, F.; de Farias, M.A.; Portugal, R.V.; Perez, A.P.; Romero, E.L.; Morilla, M.J. Topical Vaccination with Super-stable Ready to Use Nanovesicles. Colloids Surf. B Biointerfaces 2017, 152, 114–123. [Google Scholar] [CrossRef]
- Schilrreff, P.; Simioni, Y.R.; Jerez, H.E.; Caimi, A.T.; de Farias, M.A.; Portugal, R.V.; Romero, E.L.; Morilla, M.J. Superoxide Dismutase in Nanoarchaeosomes for Targeted Delivery to Inflammatory Macrophages. Colloids Surf. B Biointerfaces 2019, 179, 479–487. [Google Scholar] [CrossRef]
- Altube, M.J.; Selzer, S.M.; De Farias, M.A.; Portugal, R.V.; Morilla, M.J.; Romero, E.L. Surviving Nebulization-Induced Stress: Dexamethasone in pH-Sensitive Archaeosomes. Nanomedicine 2016, 11, 2103–2117. [Google Scholar] [CrossRef]
- Naito, M.; Kodama, T.; Matsumoto, A.; Doi, T.; Takahashi, K. Tissue Distribution, Intracellular Localization, and In Vitro Expression of Bovine Macrophage Scavenger Receptors; American Association of Pathologists: Rockville, MD, USA, 1991; Volume 139. [Google Scholar]
- Hughes, D.A.; Fraser, I.P.; Gordon, S. Murine Macrophage Scavenger Receptor: In Vivo Expression and Function as Receptor for Macrophage Adhesion in Lymphoid and Non-Lymphoid Organs. Eur. J. Immunol. 1995, 25, 466–473. [Google Scholar] [CrossRef]
- Naito, M.; Suzuki, H.; Mori, T.; Matsumoto, A.; Kodama, T.; Takahashi, K. Coexpression of Type I and Type II Human Macrophage Scavenger Receptors in Macrophages of Various Organs and Foam Cells in Atherosclerotic Lesions. Am. J. Pathol. 1992, 141, 591–599. [Google Scholar]
- Geng, Y.-J.; Hansson, G.K. High Endothelial Cells of Postcapillary Venules Express the Scavenger Receptor in Human Peripheral Lymph Nodes. Scand. J. Immunol. 1995, 42, 289–296. [Google Scholar] [CrossRef]
- Selman, M.; Pardo, A. The Leading Role of Epithelial Cells in the Pathogenesis of Idiopathic Pulmonary Fibrosis. Cell. Signal. 2019, 66, 109482. [Google Scholar] [CrossRef]
- Barkauskas, C.E.; Cronce, M.; Rackley, C.R.; Bowie, E.; Keene, D.R.; Stripp, B.R.; Randell, S.H.; Noble, P.W.; Hogan, B.L. Type 2 Alveolar Cells are Stem Cells in Adult Lung. J. Clin. Investig. 2013, 123, 3025–3036. [Google Scholar] [CrossRef] [PubMed]
- Gonzalez, O.R.; Higa, L.H.; Cutrullis, A.R.; Bilen, M.; Morelli, I.; Roncaglia, I.D.; Corral, R.S.; Morilla, M.J.; Petray, P.B.; Romero, E.L. Archaeosomes made of Halorubrum Tebenquichense Total Polar Lipids: A New Source of Adjuvancy. BMC Biotechnol. 2009, 9, 71. [Google Scholar] [CrossRef] [PubMed]
- Kate, M. Membrane Lipids of Archaea; Chapter 9; Elsevier B.V.: Amsterdam, The Netherlands, 1993; pp. 261–295. [Google Scholar] [CrossRef]
- Böttcher, C.; Van Gent, C.; Pries, C. A Rapid and Sensitive Sub-Micro Phosphorus Determination. Anal. Chim. Acta 1961, 24, 203–204. [Google Scholar] [CrossRef]
- Altube, M.J.; Martínez, M.M.B.; Malheiros, B.; Maffia, P.; Barbosa, L.R.S.; Morilla, M.J.; Romero, E.L. Fast Biofilm Penetration and Anti-PAO1 Activity of Nebulized Azithromycin in Nanoarchaeosomes. Mol. Pharm. 2019, 17, 70–83. [Google Scholar] [CrossRef]
- Fernandez, R.M.; Riske, K.A.; Amaral, L.Q.D.; Itri, R.; Lamy, M.T. Influence of Salt on the Structure of DMPG Studied by SAXS and Optical Microscopy. Biochim. Biophys. Acta (BBA)-Biomembr. 2008, 1778, 907–916. [Google Scholar] [CrossRef] [PubMed]
- Zhang, R.; Tristram-Nagle, S.; Sun, W.; Headrick, R.; Irving, T.; Suter, R.; Nagle, J. Small-Angle X-Ray Scattering from Lipid Bilayers is Well Described by Modified Caillé Theory but not by Paracrystalline Theory. Biophys. J. 1996, 70, 349–357. [Google Scholar] [CrossRef][Green Version]
- Zhang, R.; Suter, R.; Nagle, J. Theory of the Structure Factor of Lipid Bilayers. Phys. Rev. E 1994, 50, 5047–5060. [Google Scholar] [CrossRef] [PubMed]
- Craievich, A.F. Small-Angle X-Ray Scattering by Nanostructured Materials. In Handbook of Sol-Gel Science and Technology; Springer International Publishing: Cham, Switzerland, 2016. [Google Scholar]
- Newville, M.; Stensitzki, T.; Allen, D.B.; Ingargiola, A. LMFIT: Non-Linear Least-Square Minimization and Curve-Fitting for Python. 2014. Available online: https://cars9.uchicago.edu/software/python/lmfit_MinimizerResult/ (accessed on 15 July 2021).
- Schindelin, J.; Arganda-Carreras, I.; Frise, E.; Kaynig, V.; Longair, M.; Pietzsch, T.; Preibisch, S.; Rueden, C.; Saalfeld, S.; Schmid, B.; et al. Fiji: An Open-Source Platform for Biological-Image Analysis. Nat. Chem. Biol. 2012, 9, 676–682. [Google Scholar] [CrossRef] [PubMed]
- Kunwar, A.; Barik, A.; Pandey, R.; Priyadarsini, K.I. Transport of Liposomal and Albumin Loaded Curcumin to Living Cells: An Absorption and Fluorescence Spectroscopic Study. Biochim. Biophys. Acta (BBA)-Gen. Subj. 2006, 1760, 1513–1520. [Google Scholar] [CrossRef]
- Tai, K.; Rappolt, M.; Mao, L.; Gao, Y.; Yuan, F. Stability and Release Performance of Curcumin-Loaded Liposomes with Varying Content of Hydrogenated Phospholipids. Food Chem. 2020, 326, 126973. [Google Scholar] [CrossRef] [PubMed]
- Jagannathan, R.; Abraham, P.M.; Poddar, P. Temperature-Dependent Spectroscopic Evidences of Curcumin in Aqueous Medium: A Mechanistic Study of Its Solubility and Stability. J. Phys. Chem. B 2012, 116, 14533–14540. [Google Scholar] [CrossRef] [PubMed]
- Priyadarsini, K.I. Photophysics, Photochemistry and Photobiology of Curcumin: Studies from Organic Solutions, Bio-Mimetics and Living Cells. J. Photochem. Photobiol. C Photochem. Rev. 2009, 10, 81–95. [Google Scholar] [CrossRef]
- Bhatia, N.K.; Kishor, S.; Katyal, N.; Gogoi, P.; Narang, P.; Deep, S. Effect of pH and Temperature on Conformational Equilibria and Aggregation Behaviour of Curcumin in Aqueous Binary Mixtures of Ethanol. RSC Adv. 2016, 6, 103275–103288. [Google Scholar] [CrossRef]
- Chignell, C.F.; Bilskj, P.; Reszka, K.J.; Motten, A.G.; Sik, R.H.; Dahl, T.A. Spectral and Photochemical Properties of Curcumin. Photochem. Photobiol. 1994, 59, 295–302. [Google Scholar] [CrossRef]
- Kolev, T.M.; Velcheva, E.A.; Stamboliyska, B.; Spiteller, M. DFT and Experimental Studies of the Structure and Vibrational Spectra of Curcumin. Int. J. Quantum Chem. 2005, 102, 1069–1079. [Google Scholar] [CrossRef]
- Bich, V.T.; Thuy, N.T.; Binh, N.T.; Huong, N.T.M.; Yen, P.N.D.; Luong, T.T. Structural and Spectral Properties of Curcumin and Metal- Curcumin Complex Derived from Turmeric (Curcuma Longa). In Physics and Engineering of New Materials; Springer: Berlin/Heidelberg, Germany, 2009; pp. 271–278. [Google Scholar] [CrossRef]
- Gunasekaran, S.; Natarajan, R.K.; Natarajan, S.; Rathikha, R. Structural Investigation on Curcumin. Asian J. Chem. 2008, 20, 2903–2913. [Google Scholar]
- López-Tobar, E.; Blanch, G.; del Castillo, M.R.; Sanchez-Cortes, S. Encapsulation and Isomerization of Curcumin with Cyclodextrins Characterized by Electronic and Vibrational Spectroscopy. Vib. Spectrosc. 2012, 62, 292–298. [Google Scholar] [CrossRef]
- Mangolim, C.S.; Moriwaki, C.; Nogueira, A.C.; Sato, F.; Baesso, M.L.; Neto, A.M.; Matioli, G. Curcumin–β-Cyclodextrin Inclusion complex: Stability, Solubility, Characterisation by FT-IR, FT-Raman, X-ray Diffraction and Photoacoustic Spectroscopy, and Food Application. Food Chem. 2014, 153, 361–370. [Google Scholar] [CrossRef]
- Bogaart, G.V.D.; Hermans, N.; Krasnikov, V.; de Vries, A.H.; Poolman, B. On the Decrease in Lateral Mobility of Phospholipids by Sugars. Biophys. J. 2007, 92, 1598–1605. [Google Scholar] [CrossRef]
- Carrer, D.C.; Higa, L.H.; Tesoriero, M.V.D.; Morilla, M.J.; Roncaglia, D.I.; Romero, E.L. Structural Features of Ultradeformable Archaeosomes for Topical Delivery of Ovalbumin. Colloids Surf. B Biointerfaces 2014, 121, 281–289. [Google Scholar] [CrossRef]
- Fröhlich, E.; Salar-Behzadi, S. Toxicological Assessment of Inhaled Nanoparticles: Role of in Vivo, ex Vivo, in Vitro, and in Silico Studies. Int. J. Mol. Sci. 2014, 15, 4795–4822. [Google Scholar] [CrossRef]
- Gehr, P.; Schurch, S.; Berthiaume, Y.; Hof, V.I.; Geiser, M. Particle Retention in Airways by Surfactant. J. Aerosol Med. 1990, 3, 27–43. [Google Scholar] [CrossRef]
- Rothen-Rutishauser, B.; Blank, F.; Mühlfeld, C.; Gehr, P. In Vitro Models of the Human Epithelial Airway Barrier to Study the Toxic Potential of Particulate Matter. Expert Opin. Drug Metab. Toxicol. 2008, 4, 1075–1089. [Google Scholar] [CrossRef]
- Wu, J.; Wang, Y.; Liu, G.; Jia, Y.; Yang, J.; Shi, J.; Dong, J.; Wei, J.; Liu, X. Characterization of Air-Liquid Interface Culture of A549 Alveolar Epithelial Cells. Braz. J. Med Biol. Res. 2018, 51, e6950. [Google Scholar] [CrossRef] [PubMed]
- Kiener, M.; Roldan, N.; Machahua, C.; Sengupta, A.; Geiser, T.; Guenat, O.T.; Funke-Chambour, M.; Hobi, N.; Julio, M.K.-D. Human-Based Advanced in vitro Approaches to Investigate Lung Fibrosis and Pulmonary Effects of COVID-19. Front. Med. 2021, 8, 644678. [Google Scholar] [CrossRef] [PubMed]
- Adamson, I.Y.; Bowden, D.H. The Type 2 Cell as Progenitor of Alveolar Epithelial Regeneration. A Cytodynamic Study in Mice after Exposure to Oxygen. Lab. Investig. 1974, 30, 35–42. [Google Scholar]
- Hermanns, M.I.; Unger, E.R.; Kehe, K.; Peters, K.; Kirkpatrick, C.J. Lung Epithelial Cell Lines in Coculture with Human Pulmonary Microvascular Endothelial Cells: Development of an Alveolo-Capillary Barrier In Vitro. Lab. Investig. 2004, 84, 736–752. [Google Scholar] [CrossRef] [PubMed]
- Srinivasan, B.; Kolli, A.R.; Esch, M.B.; Abaci, H.E.; Shuler, M.L.; Hickman, J.J. Teer Measurement Techniques for In Vitro Barrier Model Systems. J. Lab. Autom. 2015, 20, 107–126. [Google Scholar] [CrossRef]
- Liu, Z.; Ying, Y. The Inhibitory Effect of Curcumin on Virus-Induced Cytokine Storm and Its Potential Use in the Associated Severe Pneumonia. Front. Cell Dev. Biol. 2020, 8, 479. [Google Scholar] [CrossRef]
- Thimmulappa, R.K.; Mudnakudu-Nagaraju, K.K.; Shivamallu, C.; Subramaniam, K.; Radhakrishnan, A.; Bhojraj, S.; Kuppusamy, G. Antiviral and Immunomodulatory Activity of Curcumin: A Case for Prophylactic Therapy for COVID-19. Heliyon 2021, 7, e06350. [Google Scholar] [CrossRef] [PubMed]
- Anand, P.; Kunnumakkara, A.B.; Newman, R.A.; Aggarwal, B.B. Bioavailability of Curcumin: Problems and Promises. Mol. Pharm. 2007, 4, 807–818. [Google Scholar] [CrossRef] [PubMed]
- Kurien, B.T.; Singh, A.; Matsumoto, H.; Scofield, R.H. Improving the Solubility and Pharmacological Efficacy of Curcumin by Heat Treatment. ASSAY Drug Dev. Technol. 2007, 5, 567–576. [Google Scholar] [CrossRef] [PubMed]
- Turmeric Clinical Overview. Available online: https://www.drugs.com/npp/turmeric.html (accessed on 13 August 2021).
- Hu, Y.; Sheng, Y.; Ji, X.; Liu, P.; Tang, L.; Chen, G.; Chen, G. Comparative Anti-Inflammatory Effect of Curcumin at Air-Liquid Interface and Submerged Conditions Using Lipopolysaccharide Stimulated Human Lung Epithelial A549 Cells. Pulm. Pharmacol. Ther. 2020, 63, 101939. [Google Scholar] [CrossRef] [PubMed]
- Zhang, T.; Chen, Y.; Ge, Y.; Hu, Y.; Li, M.; Jin, Y. Inhalation Treatment of Primary Lung Cancer Using Liposomal Curcumin Dry Powder Inhalers. Acta Pharm. Sin. B 2018, 8, 440–448. [Google Scholar] [CrossRef] [PubMed]
- Kunwar, A.; Barik, A.; Mishra, B.; Rathinasamy, K.; Pandey, R.; Priyadarsini, K. Quantitative Cellular Uptake, Localization and Cytotoxicity of Curcumin in Normal and Tumor Cells. Biochim. Biophys. Acta (BBA)-Gen. Subj. 2008, 1780, 673–679. [Google Scholar] [CrossRef]
- Higa, L.H.; Schilrreff, P.; Briski, A.M.; Jerez, H.E.; de Farias, M.A.; Portugal, R.V.; Romero, E.L.; Morilla, M.J. Bacterioruberin from Haloarchaea Plus Dexamethasone in Ultra-Small Macrophage-Targeted Nanoparticles as Potential Intestinal Repairing Agent. Colloids Surf. B Biointerfaces 2020, 191, 110961. [Google Scholar] [CrossRef]
- Cipolla, D.; Gonda, I.; Chan, H.-K. Liposomal Formulations for Inhalation. Ther. Deliv. 2013, 4, 1047–1072. [Google Scholar] [CrossRef]
- Chollet, J.L.; Jozwiakowski, M.J.; Phares, K.R.; Reiter, M.J.; Roddy, P.J.; Schultz, H.J.; Ta, Q.V.; Tomai, M.A. Development of a Topically Active Imiquimod Formulation. Pharm. Dev. Technol. 1999, 4, 35–43. [Google Scholar] [CrossRef] [PubMed]
- Sekiguchi, A.; Yamauchi, H.; Manosroi, A.; Manosroi, J.; Abe, M. Molecular Interactions between Phospholipids and Glycolipids in a Lipid Bilayer. Colloids Surf. B Biointerfaces 1995, 4, 287–296. [Google Scholar] [CrossRef]
- Altube, M.J.; Cutro, A.; Bakas, L.; Morilla, M.J.; Disalvo, E.A.; Romero, E.L.L. Nebulizing Novel Multifunctional Nanovesicles: The Impact of Macrophage-Targeted-pH-Sensitive Archaeosomes on a Pulmonary Surfactant. J. Mater. Chem. B 2017, 5, 8083–8095. [Google Scholar] [CrossRef] [PubMed]
- Günther, A.; Ruppert, C.; Schmidt, R.; Markart, P.; Grimminger, F.; Walmrath, D.; Seeger, W. Surfactant Alteration and Replacement in Acute Respiratory Distress Syndrome. Respir. Res. 2001, 2, 353–364. [Google Scholar] [CrossRef]
- Jerez, H.E.; Altube, M.J.; Gándola, Y.B.; González, L.; González, M.C.; Morilla, M.J.; Romero, E.L. Macrophage Apoptosis Using Alendronate in Targeted Nanoarchaeosomes. Eur. J. Pharm. Biopharm. 2021, 160, 42–54. [Google Scholar] [CrossRef] [PubMed]
- Migneault, F.; Hébert, M.-J. Autophagy, Tissue Repair, and Fibrosis: A Delicate Balance. Matrix Biol. 2021, 100–101, 182–196. [Google Scholar] [CrossRef] [PubMed]
- Chollet-Martin, S.; Montravers, P.; Gibert, C.; Elbim, C.; Desmonts, J.M.; Fagon, J.Y.; A Gougerot-Pocidalo, M. High Levels of Interleukin-8 in the Blood and Alveolar Spaces of Patients with Pneumonia and Adult Respiratory Distress Syndrome. Infect. Immun. 1993, 61, 4553–4559. [Google Scholar] [CrossRef] [PubMed]













| Sample | CUR (mg/mL) | Total Lipids (mg/mL) | ζ Average (nm) | PDI | ζ Potential (mV) | CUR | Total Lipids Recovery (%) |
|---|---|---|---|---|---|---|---|
| Recovery (%) | |||||||
| nA | 14.2 ± 2.5 | 180 ± 10 | 0.25 ± 0.03 | −40.2 ± 2.0 | 56.8 ± 10 | ||
| nAC * | 0.080 ± 0.04 | 12.4 ± 1.6 | 191 ± 47 | 0.22 ± 0.01 | −35.7 ± 3.2 | 8.0 ± 4 | 49.6 ± 6.4 |
| nAT | - | 16.5 ± 0.6 | 216 ± 3 | 0.26 ± 0.01 | −18.4 ± 3.5 | 66 ± 2.4 | |
| nATC | 0.22 ± 0.09 | 12.9 ± 4.0 | 155 ± 16 | 0.23 ± 0.05 | −20.7 ± 3.3 | 22.2 ± 8.7 | 46.5 ± 14 |
| nL | 13.8 ± 2.7 | 150 ± 5 | 0.19 ± 0.04 | −3.0 ± 1.2 | 55.2 ± 10 | ||
| nLC * | 0.059 ± 0.020 | 11.9 ± 2.1 | 553 ± 222 | 0.919 ± 0.066 | −3.7 ± 0.5 | 5.9 ± 2 | 47.6 ± 8.4 |
| nLT | - | 16.6 ± 3.4 | 247 ± 18 | 0.16 ± 0.01 | −2.0 ± 0.1 | 66.3 ± 12 | |
| nLTC | 0.17 ± 0.04 | 14.7 ± 3.7 | 278 ± 31 | 0.29 ± 0.23 | −2.5 ± 0.7 | 17.2 ± 3.5 | 58.7 ± 15 |
| Sample | GP | FA |
|---|---|---|
| nA | −0.4 | 0.15 |
| nAT | −0.407 ± 0.047 | 0.164 ± 0.013 |
| nATC | −0.451 ± 0.009 | 0.215 ± 0.024 |
| nL | 0.5 | 0.26 |
| nLT | 0.503 ± 0.008 | 0. 239 ± 0.008 |
| nLTC | 0.428 ± 0.057 | 0.242 ± 0.007 |
Publisher’s Note: MDPI stays neutral with regard to jurisdictional claims in published maps and institutional affiliations. |
© 2021 by the authors. Licensee MDPI, Basel, Switzerland. This article is an open access article distributed under the terms and conditions of the Creative Commons Attribution (CC BY) license (https://creativecommons.org/licenses/by/4.0/).
Share and Cite
Altube, M.J.; Caimi, L.I.; Huck-Iriart, C.; Morilla, M.J.; Romero, E.L. Reparation of an Inflamed Air-Liquid Interface Cultured A549 Cells with Nebulized Nanocurcumin. Pharmaceutics 2021, 13, 1331. https://doi.org/10.3390/pharmaceutics13091331
Altube MJ, Caimi LI, Huck-Iriart C, Morilla MJ, Romero EL. Reparation of an Inflamed Air-Liquid Interface Cultured A549 Cells with Nebulized Nanocurcumin. Pharmaceutics. 2021; 13(9):1331. https://doi.org/10.3390/pharmaceutics13091331
Chicago/Turabian StyleAltube, Maria Julia, Lilen Ivonne Caimi, Cristian Huck-Iriart, Maria Jose Morilla, and Eder Lilia Romero. 2021. "Reparation of an Inflamed Air-Liquid Interface Cultured A549 Cells with Nebulized Nanocurcumin" Pharmaceutics 13, no. 9: 1331. https://doi.org/10.3390/pharmaceutics13091331
APA StyleAltube, M. J., Caimi, L. I., Huck-Iriart, C., Morilla, M. J., & Romero, E. L. (2021). Reparation of an Inflamed Air-Liquid Interface Cultured A549 Cells with Nebulized Nanocurcumin. Pharmaceutics, 13(9), 1331. https://doi.org/10.3390/pharmaceutics13091331

