Synthesis, Characterization, and Intrinsic Dissolution Studies of Drug–Drug Eutectic Solid Forms of Metformin Hydrochloride and Thiazide Diuretics
Abstract
:1. Introduction
2. Materials and Methods
2.1. Materials
2.2. Methods
2.2.1. NG or LAG Solvent-Screening (Stoichiometry Ratio 1:1)
2.2.2. Thermal Analysis
2.2.3. Eutectic Binary Mixture Screening by DSC Data
2.2.4. PXRD and Rietveld Refinements
2.2.5. Nuclear Magnetic Resonance
2.2.6. Scanning Electron Microscopy Studies (SEM)-Energy-Dispersive X-ray Spectroscopy (EDS)
2.2.7. Intrinsic Dissolution Studies
2.2.8. Saturation Solubility Experiments
3. Results
3.1. NG and LAG Solvent-Screening
3.1.1. Powder X-ray Diffraction (PXRD)
3.1.2. Thermal Analysis
3.1.3. SSNMR
4. Discussion
4.1. Characterization of the DDESs
4.2. Microstructure Characterization
4.3. IDR Experiments
5. Conclusions
Supplementary Materials
Author Contributions
Funding
Institutional Review Board Statement
Informed Consent Statement
Data Availability Statement
Acknowledgments
Conflicts of Interest
References
- Shan, N.; Zaworotko, M.J. The role of cocrystals in pharmaceutical science. Drug Discov. Today 2008, 13, 440–446. [Google Scholar] [CrossRef] [PubMed]
- Duggirala, N.K.; Perry, M.L.; Almarsson, Ö.; Zaworotko, M.J. Pharmaceutical cocrystals: Along the path to improved medicines. Chem. Commun. 2016, 52, 640–655. [Google Scholar] [CrossRef]
- Nangia, A.; Bolla, G. Pharmaceutical cocrystals: Walking the talk. Chem. Commun. 2016, 52, 8342–8360. [Google Scholar] [CrossRef]
- Schultheiss, N.; Newman, A. Pharmaceutical cocrystals and their physicochemical properties. Cryst. Growth Des. 2009, 9, 2950–2967. [Google Scholar] [CrossRef] [Green Version]
- Schultheiss, N.; Henck, J.-O. Chapter 6 Role of Co-crystals in the Pharmaceutical Development Continuum. In Pharmaceutical Salts and Co-Crystals; The Royal Society of Chemistry: London, UK, 2012; pp. 110–127. ISBN 978-1-84973-158-4. [Google Scholar]
- Singh Sekhon, B. Drug-drug co-crystals. DARU J. Pharm. Sci. 2012, 20, 45. [Google Scholar] [CrossRef] [Green Version]
- Thakuria, R.; Sarma, B. Drug-Drug and Drug-Nutraceutical Cocrystal/Salt as Alternative Medicine for Combination Therapy: A Crystal Engineering Approach. Crystals 2018, 8, 101. [Google Scholar] [CrossRef] [Green Version]
- Wang, J.-R.; Yu, Q.; Dai, W.; Mei, X. Drug-drug co-crystallization presents a new opportunity for the development of stable vitamins. Chem. Commun. 2016, 52, 3572–3575. [Google Scholar] [CrossRef]
- Gopi, S.P.; Ganguly, S.; Desiraju, G.R. A Drug–Drug Salt Hydrate of Norfloxacin and Sulfathiazole: Enhancement of in Vitro Biological Properties via Improved Physicochemical Properties. Mol. Pharm. 2016, 13, 3590–3594. [Google Scholar] [CrossRef]
- Thipparaboina, R.; Kumar, D.; Chavan, R.B.; Shastri, N.R. Multidrug co-crystals: Towards the development of effective therapeutic hybrids. Drug Discov. Today 2016, 21, 481–490. [Google Scholar] [CrossRef] [PubMed]
- Bhatt, P.M.; Azim, Y.; Thakur, T.S.; Desiraju, G.R. Co-Crystals of the Anti-HIV Drugs Lamivudine and Zidovudine. Cryst. Growth Des. 2009, 9, 951–957. [Google Scholar] [CrossRef]
- Aitipamula, S.; Chow, P.S.; Tan, R.B.H. Trimorphs of a pharmaceutical cocrystal involving two active pharmaceutical ingredients: Potential relevance to combination drugs. CrystEngComm 2009, 11, 1823–1827. [Google Scholar] [CrossRef]
- Grobelny, P.; Mukherjee, A.; Desiraju, G.R. Drug-drug co-crystals: Temperature-dependent proton mobility in the molecular complex of isoniazid with 4-aminosalicylic acid. CrystEngComm 2011, 13, 4358–4364. [Google Scholar] [CrossRef]
- Évora, A.O.L.; Castro, R.A.E.; Maria, T.M.R.; Rosado, M.T.S.; Silva, M.R.; Beja, A.M.; Canotilho, J.; Eusébio, M.E.S. Pyrazinamide-diflunisal: A new dual-drug Co-crystal. Cryst. Growth Des. 2011, 11, 4780–4788. [Google Scholar] [CrossRef]
- Veverka, M.; Šimon, P.; Gallovič, J.; Jorík, V.; Veverková, E.; Dubaj, T. Imatinib mesylate cocrystals: Synthesis, screening, and preliminary characterization. Mon. Chem. 2012, 143, 1405–1415. [Google Scholar] [CrossRef]
- Sekhon, B.S. Pharmaceutical co-crystals—A review. Ars Pharm. 2009, 50, 99–117. [Google Scholar] [CrossRef] [Green Version]
- Pinto Vitorino, G.; Sperandeo, N.R.; Caira, M.R.; Mazzieri, M.R. A Supramolecular Assembly Formed by Heteroassociation of Ciprofloxacin and Norfloxacin in the Solid State: Co-Crystal Synthesis and Characterization. Cryst. Growth Des. 2013, 13, 1050–1058. [Google Scholar] [CrossRef]
- Putra, O.D.; Furuishi, T.; Yonemochi, E.; Terada, K.; Uekusa, H. Drug-Drug Multicomponent Crystals as an Effective Technique to Overcome Weaknesses in Parent Drugs. Cryst. Growth Des. 2016, 16, 3577–3581. [Google Scholar] [CrossRef]
- Cherukuvada, S.; Nangia, A. Eutectics as improved pharmaceutical materials: Design, properties and characterization. Chem. Commun. 2014, 50, 906–923. [Google Scholar] [CrossRef]
- Cherukuvada, S.; Guru Row, T.N. Comprehending the formation of eutectics and cocrystals in terms of design and their structural interrelationships. Cryst. Growth Des. 2014, 14, 4187–4198. [Google Scholar] [CrossRef]
- Stoler, E.; Warner, J.C. Non-Covalent derivatives: Cocrystals and eutectics. Molecules 2015, 20, 14833–14848. [Google Scholar] [CrossRef] [Green Version]
- Healy, A.M.; Worku, Z.A.; Kumar, D.; Madi, A.M. Pharmaceutical solvates, hydrates and amorphous forms: A special emphasis on cocrystals. Adv. Drug Deliv. Rev. 2017, 117, 25–46. [Google Scholar] [CrossRef] [Green Version]
- Allu, S.; Suresh, K.; Bolla, G.; Mannava, M.K.C.; Nangia, A. Role of hydrogen bonding in cocrystals and coamorphous solids: Indapamide as a case study. Cryst. Eng. Comm. 2019, 21, 2043–2048. [Google Scholar] [CrossRef]
- Haneef, J.; Chadha, R. Drug-Drug Multicomponent Solid Forms: Cocrystal, Coamorphous and Eutectic of Three Poorly Soluble Antihypertensive Drugs Using Mechanochemical Approach. AAPS Pharm. Sci. Tech. 2017, 18, 2279–2290. [Google Scholar] [CrossRef]
- Srivastava, A.; Zode, S.S.; Pandey, J.; Srivastava, K.; Tandon, P.; Ayala, A.P.; Bansal, A.K. A novel approach to design febuxostat-salicylic acid eutectic system: Evaluation and characterization. CrystEngComm 2019, 21, 310–320. [Google Scholar] [CrossRef]
- Górniak, A.; Wojakowska, A.; Karolewicz, B.; Pluta, J. Phase diagram and dissolution studies of the fenofibrate-acetylsalicylic acid system. J. Therm. Anal. Calorim. 2011, 104, 1195–1200. [Google Scholar] [CrossRef] [Green Version]
- Sakata, Y.; Tanabe, E.; Sumikawa, T.; Shiraishi, S.; Tokudome, Y.; Otsuka, M. Effects of solid-state reaction between paracetamol and cloperastine hydrochloride on the pharmaceutical properties of their preparations. Int. J. Pharm. 2007, 335, 12–19. [Google Scholar] [CrossRef] [PubMed]
- Hoang Pham, U.G. Pharmaceutical Applications of Eutectic Mixtures. J. Dev. Drugs 2014, 2, 2–3. [Google Scholar] [CrossRef]
- Carolina Bazzo, G.; Ramos Pezzini, B.; Karine Stulzer, H. Eutectic mixtures as an approach to enhance solubility, dissolution rate and oral bioavailability of poorly water-soluble drugs. Int. J. Pharm. 2020, 588, 119741. [Google Scholar] [CrossRef]
- Chadha, K.; Karan, M.; Chadha, R.; Bhalla, Y.; Vasisht, K. Is Failure of Cocrystallization Actually a Failure? Eutectic Formation in Cocrystal Screening of Hesperetin. J. Pharm. Sci. 2017, 106, 2026–2036. [Google Scholar] [CrossRef]
- Araya-Sibaja, A.M.; Vega-Baudrit, J.R.; Guillén-Girón, T.; Navarro-Hoyos, M.; Cuffini, S.L. Drug solubility enhancement through the preparation of multicomponent organic materials: Eutectics of lovastatin with carboxylic acids. Pharmaceutics 2019, 11, 112. [Google Scholar] [CrossRef] [Green Version]
- Dengale, S.J.; Grohganz, H.; Rades, T.; Löbmann, K. Recent advances in co-amorphous drug formulations. Adv. Drug Deliv. Rev. 2016, 100, 116–125. [Google Scholar] [CrossRef] [PubMed]
- Kasten, G.; Grohganz, H.; Rades, T.; Löbmann, K. Development of a screening method for co-amorphous formulations of drugs and amino acids. Eur. J. Pharm. Sci. 2016, 95, 28–35. [Google Scholar] [CrossRef] [PubMed]
- Chavan, R.B.; Thipparaboina, R.; Kumar, D.; Shastri, N.R. Co amorphous systems: A product development perspective. Int. J. Pharm. 2016, 515, 403–415. [Google Scholar] [CrossRef] [PubMed]
- Laitinen, R.; Löbmann, K.; Grohganz, H.; Priemel, P.; Strachan, C.J.; Rades, T. Supersaturating drug delivery systems: The potential of co-amorphous drug formulations. Int. J. Pharm. 2017, 532, 1–12. [Google Scholar] [CrossRef]
- Grohganz, H.; Löbmann, K.; Priemel, P.; Tarp Jensen, K.; Graeser, K.; Strachan, C.; Rades, T. Amorphous drugs and dosage forms. J. Drug Deliv. Sci. Technol. 2013, 23, 403–408. [Google Scholar] [CrossRef]
- Shi, Q.; Moinuddin, S.M.; Cai, T. Advances in coamorphous drug delivery systems. Acta Pharm. Sin. B 2019, 9, 19–35. [Google Scholar] [CrossRef]
- Karagianni, A.; Kachrimanis, K.; Nikolakakis, I. Co-Amorphous Solid Dispersions for Solubility and Absorption Improvement of Drugs: Composition, Preparation, Characterization and Formulations for Oral Delivery. Pharmaceutics 2018, 10, 98. [Google Scholar] [CrossRef] [Green Version]
- Germán Acacio, J.M.; Morales-Morales, D. Combination Therapy Including Metformin hydrochloride for the Treatment of Diabetes and Related Comorbidity: A Patent Filed Survey. Org. Med. Chem. Int. J. 2017, 1, 124–159. [Google Scholar] [CrossRef]
- Charpentier, G. Oral combination therapy for type 2 diabetes. Diabetes Metab. Res. Rev. 2002, 18, S70–S76. [Google Scholar] [CrossRef]
- Germán-Acacio, J.M.; Meza-Sánchez, D.E.; Morales-Morales, D. Chapter 3—Therapeutically Relevant Natural Products as AMPK Activators in the Treatment of Diabetes. In Bioactive Natural Products; Atta-ur-Rahman, B.T., Ed.; Studies in Natural Products Chemistry; Elsevier: Amsterdam, The Netherlands, 2020; Volume 66, pp. 57–90. ISBN 1572-5995. [Google Scholar]
- Qaseem, A.; Humphrey, L.L.; Sweet, D.E.; Starkey, M.; Shekelle, P. Oral pharmacologic treatment of type 2 diabetes mellitus: A clinical practice guideline from the american college of physicians. Ann. Intern. Med. 2012, 156, 218–231. [Google Scholar] [CrossRef]
- Sternlicht, H.; Bakris, G.L. Hydrochlorothiazide as the Diuretic of Choice for Hypertension Time to Kick the Habit. J. Am. Coll. Cardiol. 2016, 67, 390–391. [Google Scholar] [CrossRef] [PubMed] [Green Version]
- Engberink, R.H.G.O.; Frenkel, W.J.; Van Den Bogaard, B.; Brewster, L.M.; Vogt, L.; Van Den Born, B.J.H. Effects of thiazide-type and thiazide-like diuretics on cardiovascular events and mortality: Systematic review and meta-analysis. Hypertension 2015, 65, 1033–1040. [Google Scholar] [CrossRef] [Green Version]
- Ong, K.L.; Barter, P.J.; Waters, D.D. Cardiovascular drugs that increase the risk of new-onset diabetes. Am. Heart J. 2014, 167, 421–428. [Google Scholar] [CrossRef] [Green Version]
- Babu, V.R.; Hosamani, K.M.; Aminabhavi, T.M. Preparation and in-vitro release of chlorothiazide novel pH-sensitive chitosan-N,N′-dimethylacrylamide semi-interpenetrating network microspheres. Carbohydr. Polym. 2008, 71, 208–217. [Google Scholar] [CrossRef]
- Sanphui, P.; Rajput, L. Tuning solubility and stability of hydrochloro-thiazide co-crystals. Acta Crystallogr. Sect. B Struct. Sci. Cryst. Eng. Mater. 2014, 70, 81–90. [Google Scholar] [CrossRef]
- Wang, J.-R.; Ye, C.; Mei, X. Structural and physicochemical aspects of hydrochlorothiazide co-crystals. CrystEngComm 2014, 16, 6996–7003. [Google Scholar] [CrossRef]
- Sanphui, P.; Devi, V.K.; Clara, D.; Malviya, N.; Ganguly, S.; Desiraju, G.R. Cocrystals of hydrochlorothiazide: Solubility and diffusion/permeability enhancements through drug-coformer interactions. Mol. Pharm. 2015, 12, 1615–1622. [Google Scholar] [CrossRef] [PubMed]
- Ghadi, R.; Dand, N. BCS class IV drugs: Highly notorious candidates for formulation development. J. Control. Release 2017, 248, 71–95. [Google Scholar] [CrossRef] [PubMed]
- Paluch, K.J.; Tajber, L.; McCabe, T.; O’Brien, J.E.; Corrigan, O.I.; Healy, A.M. Preparation and solid state characterisation of chlorothiazide sodium intermolecular self-assembly suprastructure. Eur. J. Pharm. Sci. 2010, 41, 603–611. [Google Scholar] [CrossRef]
- Paluch, K.J.; Tajber, L.; McCabe, T.; O’Brien, J.E.; Corrigan, O.I.; Healy, A.M. Preparation and characterisation of novel chlorothiazide potassium solid-state salt forms: Intermolecular self assembly suprastructures. Eur. J. Pharm. Sci. 2011, 42, 220–229. [Google Scholar] [CrossRef] [PubMed]
- Rodrigues, M.; Lopes, J.; Sarraguça, M. Vibrational Spectroscopy for Cocrystals Screening. A Comparative Study. Molecules 2018, 23, 3263. [Google Scholar] [CrossRef] [Green Version]
- Ranjan, S.; Devarapalli, R.; Kundu, S.; Vangala, V.R.; Ghosh, A.; Reddy, C.M. Three new hydrochlorothiazide cocrystals: Structural analyses and solubility studies. J. Mol. Struct. 2017, 1133, 405–410. [Google Scholar] [CrossRef]
- Gopi, S.P.; Banik, M.; Desiraju, G.R. New Cocrystals of Hydrochlorothiazide: Optimizing Solubility and Membrane Diffusivity. Cryst. Growth Des. 2017, 17, 308–316. [Google Scholar] [CrossRef]
- Aljohani, M.; Pallipurath, A.R.; McArdle, P.; Erxleben, A. A Comprehensive Cocrystal Screening Study of Chlorothiazide. Cryst. Growth Des. 2017, 17, 5223–5232. [Google Scholar] [CrossRef]
- Aljohani, M.; MacFhionnghaile, P.; McArdle, P.; Erxleben, A. Investigation of the formation of drug-drug cocrystals and coamorphous systems of the antidiabetic drug gliclazide. Int. J. Pharm. 2019, 561, 35–42. [Google Scholar] [CrossRef] [PubMed] [Green Version]
- Moinuddin, S.M.; Ruan, S.; Huang, Y.; Gao, Q.; Shi, Q.; Cai, B.; Cai, T. Facile formation of co-amorphous atenolol and hydrochlorothiazide mixtures via cryogenic-milling: Enhanced physical stability, dissolution and pharmacokinetic profile. Int. J. Pharm. 2017, 532, 393–400. [Google Scholar] [CrossRef] [PubMed]
- Cheng, C.L.; Yu, L.X.; Lee, H.L.; Yang, C.Y.; Lue, C.S.; Chou, C.H. Biowaiver extension potential to BCS Class III high solubility-low permeability drugs: Bridging evidence for metformin immediate-release tablet. Eur. J. Pharm. Sci. 2004, 22, 297–304. [Google Scholar] [CrossRef]
- Friščič, T.; Jones, W. Recent advances in understanding the mechanism of cocrystal formation via grinding. Cryst. Growth Des. 2009, 9, 1621–1637. [Google Scholar] [CrossRef]
- James, S.L.; Adams, C.J.; Bolm, C.; Braga, D.; Collier, P.; Friščić, T.; Grepioni, F.; Harris, K.D.M.; Hyett, G.; Jones, W.; et al. Mechanochemistry: Opportunities for new and cleaner synthesis. Chem. Soc. Rev. 2012, 41, 413–447. [Google Scholar] [CrossRef] [Green Version]
- Braga, D.; Maini, L.; Grepioni, F. Mechanochemical preparation of co-crystals. Chem. Soc. Rev. 2013, 42, 7638–7648. [Google Scholar] [CrossRef] [PubMed]
- Tan, D.; Loots, L.; Friščić, T. Towards medicinal mechanochemistry: Evolution of milling from pharmaceutical solid form screening to the synthesis of active pharmaceutical ingredients (APIs). Chem. Commun. 2016, 52, 7760–7781. [Google Scholar] [CrossRef]
- Solares-Briones, M.; Coyote-Dotor, G.; Páez-Franco, J.C.; Zermeño-Ortega, M.R.; de la O Contreras, C.M.; Canseco-González, D.; Avila-Sorrosa, A.; Morales-Morales, D.; Germán-Acacio, J.M. Mechanochemistry: A Green Approach in the Preparation of Pharmaceutical Cocrystals. Pharmaceutics 2021, 13, 790. [Google Scholar] [CrossRef]
- Rycerz, L. Practical remarks concerning phase diagrams determination on the basis of differential scanning calorimetry measurements. J. Therm. Anal. Calorim. 2013, 113, 231–238. [Google Scholar] [CrossRef] [Green Version]
- Rodríguez-Carvajal, J. Recent advances in magnetic structure determination by neutron powder diffraction. Phys. B Condens. Matter 1993, 192, 55–69. [Google Scholar] [CrossRef]
- Allen, F.H. The Cambridge Structural Database: A quarter of a million crystal structures and rising. Acta Crystallogr. Sect. B Struct. Sci. 2002, 58, 380–388. [Google Scholar] [CrossRef]
- Childs, S.L.; Chyall, L.J.; Dunlap, J.T.; Coates, D.A.; Stahly, B.C.; Stahly, G.P. A metastable polymorph of metformin hydrochloride: Isolation and characterization using capillary crystallization and thermal microscopy techniques. Cryst. Growth Des. 2004, 4, 441–449. [Google Scholar] [CrossRef]
- Fernandes, P.; Shankland, K.; David, W.I.F.; Markvardsen, A.J.; Florence, A.J.; Shankland, N.; Leech, C.K. A differential thermal expansion approach to crystal structure determination from powder diffraction data. J. Appl. Crystallogr. 2008, 41, 1089–1094. [Google Scholar] [CrossRef]
- Dupont, L.; Dideberg, O. Structure cristalline de l’hydrochlorothiazide, C7H8ClN3O4S2. Acta Crystallogr. Sect. B 1972, 28, 2340–2347. [Google Scholar] [CrossRef]
- Bretnall, A.E.; Clarke, G.S. Metformin Hydrochloride. In Analytical Profiles of Drug Substances and Excipients; Brittain, H.G., Ed.; Academic Press: Cambridge, MA, USA, 1998; Volume 25, pp. 243–293. [Google Scholar]
- Clement, B.; Girreser, U. Characterization of biguanides by 15 N NMR spectroscopy. Magn. Reson. Chem. MRC 1999, 37, 662–666. [Google Scholar]
- Plata-Vargas, E.; De la Cruz-Hernández, C.; Dorazco-González, A.; Fuentes-Noriega, I.; Morales-Morales, D.; Germán-Acacio, J.M. Synthesis of metforminium succinate by melting. Crystal structure, thermal, spectroscopic and dissolution properties. J. Mex. Chem. Soc. 2017, 61, 197–204. [Google Scholar] [CrossRef]
- Jakobsen, P.; Treppendahl, S. The structure of 1,2,4-benzothiadiazine-1,1-dioxides. Tetrahedron 1979, 35, 2151–2153. [Google Scholar] [CrossRef]
- Brittain, H.G. Chlorothiazide. In Analytical Profiles of Drug Substances; Academic Press: Cambridge, MA, USA, 1990; Volume 18, pp. 33–56. ISBN 0099-5428. [Google Scholar]
- Latosińska, J.N. 13C CP/MAS NMR and DFT studies of thiazides. J. Mol. Struct. 2003, 646, 211–225. [Google Scholar] [CrossRef]
- Deppeler, H.P. Hydrochlorothiazide. Anal. Profiles Drug Subst. 1981, 10, 405–441. [Google Scholar] [CrossRef]
- Harmon, P.A.; Yin, W.; Bowen, W.E.; Tyrrell, R.J.; Reed, R.A. Liquid chromatography-mass spectrometry and proton nuclear magnetic resonance characterization of trace level condensation products formed between lactose and the amine-containing diuretic hydrochlorothiazide. J. Pharm. Sci. 2000, 89, 920–929. [Google Scholar] [CrossRef]
- Hasa, D.; Jones, W. Screening for new pharmaceutical solid forms using mechanochemistry: A practical guide. Adv. Drug Deliv. Rev. 2017, 117, 147–161. [Google Scholar] [CrossRef] [PubMed]
- Pindelska, E.; Sokal, A.; Kolodziejski, W. Pharmaceutical cocrystals, salts and polymorphs: Advanced characterization techniques. Adv. Drug Deliv. Rev. 2017, 117, 111–146. [Google Scholar] [CrossRef]
- Latosińska, J.N.; Latosińska, M.; Utrecht, R.; Mielcarek, S.; Pietrzak, J. Molecular dynamics of solid benzothiadiazine derivatives (Thiazides). A study by NMR, DTA and DFT methods. J. Mol. Struct. 2004, 694, 211–217. [Google Scholar] [CrossRef]
- Berry, D.J.; Steed, J.W. Pharmaceutical cocrystals, salts and multicomponent systems; intermolecular interactions and property based design. Adv. Drug Deliv. Rev. 2017, 117, 3–24. [Google Scholar] [CrossRef] [Green Version]
- Figueirêdo, C.B.M.; Nadvorny, D.; de Medeiros Vieira, A.C.Q.; Sobrinho, J.L.S.; Neto, P.J.R.; Lee, P.I.; de La Roca Soares, M.F. Enhancement of dissolution rate through eutectic mixture and solid solution of posaconazole and benznidazole. Int. J. Pharm. 2017, 525, 32–42. [Google Scholar] [CrossRef]
- Yadav, J.P.A.; Bansal, A.K.; Jain, S. Molecular Understanding and Implication of Structural Integrity in the Deformation Behavior of Binary Drug-Drug Eutectic Systems. Mol. Pharm. 2018, 15, 1917–1927. [Google Scholar] [CrossRef]
- Rajbongshi, T.; Sarmah, K.K.; Sarkar, A.; Ganduri, R.; Cherukuvada, S.; Thakur, T.S.; Thakuria, R. Preparation of Pyrazinamide Eutectics versus Cocrystals Based on Supramolecular Synthon Variations. Cryst. Growth Des. 2018, 18, 6640–6651. [Google Scholar] [CrossRef]
- Patrick Stahly, G. A survey of cocrystals reported prior to 2000. Cryst. Growth Des. 2009, 9, 4212–4229. [Google Scholar] [CrossRef]
- Sarecka-Hujar, B.; Balwierz, R.; Ostrozka-Cieslik, A.; Dyja, R.; Lukowiec, D.; Jankowski, A. Scanning electron microscopy and X-ray energy dispersive spectroscopy-useful tools in the analysis of pharmaceutical products. J. Phys. Conf. Ser. 2017, 931, 012008. [Google Scholar] [CrossRef]
- Scoutaris, N.; Vithani, K.; Slipper, I.; Chowdhry, B.; Douroumis, D. SEM/EDX and confocal Raman microscopy as complementary tools for the characterization of pharmaceutical tablets. Int. J. Pharm. 2014, 470, 88–98. [Google Scholar] [CrossRef] [PubMed]
- Newbury, D.E. Mistakes encountered during automatic peak identification of minor and trace constituents in electron-excited energy dispersive X-ray microanalysis. Scanning 2009, 31, 91–101. [Google Scholar] [CrossRef] [PubMed]
- Jain, H.; Khomane, K.S.; Bansal, A.K. Implication of microstructure on the mechanical behaviour of an aspirin-paracetamol eutectic mixture. CrystEngComm 2014, 16, 8471–8478. [Google Scholar] [CrossRef]
- Moore, M.D.; Wildfong, P.L.D. Aqueous solubility enhancement through engineering of binary solid composites: Pharmaceutical applications. J. Pharm. Innov. 2009, 4, 36–49. [Google Scholar] [CrossRef]
- Graeser, K.A.; Patterson, J.E.; Zeitler, J.A.; Rades, T. The role of configurational entropy in amorphous systems. Pharmaceutics 2010, 2, 224–244. [Google Scholar] [CrossRef] [PubMed]
- Meltzer, V.; Pincu, E. Thermodynamic study of binary mixture of citric acid and tartaric acid. Cent. Eur. J. Chem. 2012, 10, 1584–1589. [Google Scholar] [CrossRef] [Green Version]
- Mahlin, D.; Bergström, C.A.S. Early drug development predictions of glass-forming ability and physical stability of drugs. Eur. J. Pharm. Sci. 2013, 49, 323–332. [Google Scholar] [CrossRef]
- Good, D.J.; Rodríguez-Hornedo, N. Solubility Advantage of Pharmaceutical Cocrystals. Cryst. Growth Des. 2009, 9, 2252–2264. [Google Scholar]
- Batisai, E.; Ayamine, A.; Kilinkissa, O.E.Y.; Báthori, N.B. Melting point-solubility-structure correlations in multicomponent crystals containing fumaric or adipic acid. Cryst. Eng. Comm. 2014, 16, 9992–9998. [Google Scholar] [CrossRef]
- Aulton, M.E. Pharmaceutics: The Science of Dosage Form Design; Churchill Livingstone: London, UK, 2002. [Google Scholar]
- Baka, E.; Comer, J.E.A.; Takács-Novák, K. Study of equilibrium solubility measurement by saturation shake-flask method using hydrochlorothiazide as model compound. J. Pharm. Biomed. Anal. 2008, 46, 335–341. [Google Scholar] [CrossRef] [PubMed]
- Goud, N.R.; Suresh, K.; Sanphui, P.; Nangia, A. Fast dissolving eutectic compositions of curcumin. Int. J. Pharm. 2012, 439, 63–72. [Google Scholar] [CrossRef]
- Cherukuvada, S. On the issues of resolving a low melting combination as a definite eutectic or an elusive cocrystal: A critical evaluation. J. Chem. Sci. 2016, 128, 487–499. [Google Scholar] [CrossRef] [Green Version]













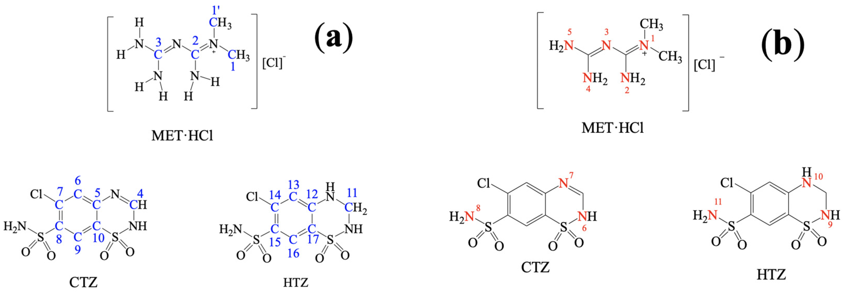
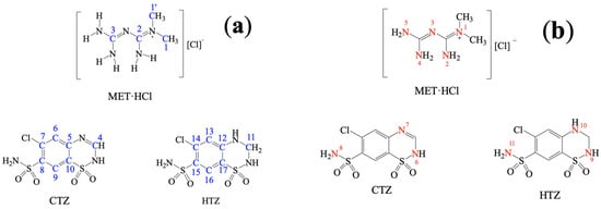
| Pure APIs or New Product Solid Forms | Atom Numbering 13C | δ (ppm) 13C-SSNMR c | Δδ (ppm) 13C-SSNMR | Atom Numbering 15N | δ (ppm) 15N-SSNMR a,b,c | Δδ (ppm) 15N-SSNMR |
|---|---|---|---|---|---|---|
| MET·HCl | C1 C2 C3 | 37.94 and 40.01 160.29 157.02 | - - - | N1 N2 N3 N4 N5 | 101.92 88.80 153.92 91.88 91.88 | - - - - |
| CTZ | C4 C5 C6 C7 C8 C9 C10 | 150.02 N.D. 119.30 137.78 128.95 129.75 N.D. | - - - - - - - | N6 N7 N8 | (226.95) N.D. (133.67) 134.95 (92.87) N.D. | - - - |
| HTZ | C11 C12 C13 C14 C15 C16 C17 | 56.33 146.76 116.59 123.82 139.71 125.49 118.98 | - - - - - - - | N9 N10 N11 | (91.67) N.D. (80.81) 84.08 (93.69) N.D. | - - - |
| MET·HCl-CTZ 1:1 | C1′ C2′ C3′ C4′ C5′ C6′ C7′ C8′ C9′ C10′ | 38.00 and 40.06 160.41 157.05 150.15 N.D. 119.42 137.63 129.42 N.D. N.D. | 0.06 and 0.05 0.12 0.03 0.13 - 0.12 −0.15 0.47 - - | N1′ N2′ N3′ N4′ N5′ N6′ N7′ N8′ | 101.91 88.90 153.80 91.66 91.66 227.28 134.79 98.93 | −0.01 0.1 −0.12 −0.22 −0.22 - −0.16 - |
| MET·HCl-HTZ 1:1 | C1″ C2″ C3″ C11′ C12′ C13′ C14′ C15′ C16′ C17′ | 37.95 and 40.01 160.28 156.98 56.16 146.78 116.65 123.96 140.03 125.52 118.89 | 0.01 and 0.0 −0.01 −0.04 −0.17 0.02 0.06 0.14 0.32 0.03 −0.09 | N1′ N2′ N3′ N4′ N5′ N9′ N10′ N11′ | 101.78 88.79 153.94 92.00 92.00 95.27 83.92 97.00 | −0.14 −0.01 0.02 0.12 0.12 - −0.16 - |
| Pure APIs and New Solid Forms | Tfus (°C) | Tfus (K) | ΔHfus J/g | ΔHfus KJ/mol | ΔSfus J/mol·K | Nondimensional ΔS0fus (ΔSfus/R) |
|---|---|---|---|---|---|---|
| MET·HCl | 232.90 | 506.05 | 331.2 | 54.85 | 108.40 | 13.03 |
| CTZ | 364.40 | 637.55 | 165.4 | 48.91 | 76.71 | 9.22 |
| HTZ | 290.00 | 563.15 | 118.1 | 35.16 | 62.44 | 7.50 |
| MET·HCl-CTZ χMET·HCl = 0.5 | 198.78 | 471.95 | 163.3 | 75.33 | 159.62 | 19.19 |
| MET·HCl-HTZ χMET·HCl = 0.5 | 170.10 | 443.25 | 114.6 | 53.09 | 119.79 | 14.40 |
| MET·HCl-CTZ χMET·HCl = 0.33 | 193.25 | 466.40 | 55.49 | 42.01 | 90.07 | 10.83 |
| MET·HCl-HTZ χMET·HCl = 0.33 | 173.40 | 446.55 | 69.03 | 52.53 | 117.65 | 14.15 |
| MET·HCl-CTZ χMET·HCl = 0.66 | 196.11 | 469.25 | 194.70 | 122.06 | 260.13 | 31.28 |
| MET·HCl-HTZ χMET·HCl = 0.66 | 174.50 | 447.65 | 141.4 | 88.93 | 198.67 | 23.89 |
| Kint mg/min·cm2 | MET·HCl-CTZ χMET·HCl = 0.5 | MET·HCl-HTZ χMET·HCl = 0.5 | MET·HCl-CTZ χMET·HCl = 0.33 | MET·HCl-HTZ χMET·HCl = 0.33 | MET·HCl-CTZ χMET·HCl = 0.66 | MET·HCl-HTZ χMET·HCl = 0.66 |
|---|---|---|---|---|---|---|
| MET·HCl (1.600 ± 0.01) | - | - | - | - | - | - |
| CTZ (0.029 ± 0.0002) | 0.048 ± 0.007 | - | 0.038 ± 0.01 | - | 0.176 ± 0.062 | - |
| HTZ (0.076 ± 0.003) | - | 0.059 ± 0.007 | - | 0.058 ± 0.01 | - | 0.092 ± 0.01 |
| Saturation Solubility (mg/mL) * | 0.040 ± 0.018 | 0.50 ± 0.024 | 0.041 ± 0.006 | 0.49 ± 0.025 | 0.039 ± 0.006 | 0.60 ± 0.034 |
Publisher’s Note: MDPI stays neutral with regard to jurisdictional claims in published maps and institutional affiliations. |
© 2021 by the authors. Licensee MDPI, Basel, Switzerland. This article is an open access article distributed under the terms and conditions of the Creative Commons Attribution (CC BY) license (https://creativecommons.org/licenses/by/4.0/).
Share and Cite
Coyote-Dotor, G.; Páez-Franco, J.C.; Canseco-González, D.; Núñez-Pineda, A.; Dorazco-González, A.; Fuentes-Noriega, I.; Vilchis-Néstor, A.R.; Rodríguez-Hernández, J.; Morales-Morales, D.; Germán-Acacio, J.M. Synthesis, Characterization, and Intrinsic Dissolution Studies of Drug–Drug Eutectic Solid Forms of Metformin Hydrochloride and Thiazide Diuretics. Pharmaceutics 2021, 13, 1926. https://doi.org/10.3390/pharmaceutics13111926
Coyote-Dotor G, Páez-Franco JC, Canseco-González D, Núñez-Pineda A, Dorazco-González A, Fuentes-Noriega I, Vilchis-Néstor AR, Rodríguez-Hernández J, Morales-Morales D, Germán-Acacio JM. Synthesis, Characterization, and Intrinsic Dissolution Studies of Drug–Drug Eutectic Solid Forms of Metformin Hydrochloride and Thiazide Diuretics. Pharmaceutics. 2021; 13(11):1926. https://doi.org/10.3390/pharmaceutics13111926
Chicago/Turabian StyleCoyote-Dotor, Guadalupe, José C. Páez-Franco, Daniel Canseco-González, Alejandra Núñez-Pineda, Alejandro Dorazco-González, Inés Fuentes-Noriega, Alfredo R. Vilchis-Néstor, Joelis Rodríguez-Hernández, David Morales-Morales, and Juan Manuel Germán-Acacio. 2021. "Synthesis, Characterization, and Intrinsic Dissolution Studies of Drug–Drug Eutectic Solid Forms of Metformin Hydrochloride and Thiazide Diuretics" Pharmaceutics 13, no. 11: 1926. https://doi.org/10.3390/pharmaceutics13111926
APA StyleCoyote-Dotor, G., Páez-Franco, J. C., Canseco-González, D., Núñez-Pineda, A., Dorazco-González, A., Fuentes-Noriega, I., Vilchis-Néstor, A. R., Rodríguez-Hernández, J., Morales-Morales, D., & Germán-Acacio, J. M. (2021). Synthesis, Characterization, and Intrinsic Dissolution Studies of Drug–Drug Eutectic Solid Forms of Metformin Hydrochloride and Thiazide Diuretics. Pharmaceutics, 13(11), 1926. https://doi.org/10.3390/pharmaceutics13111926

