Lidocaine-Loaded Solid Lipid Microparticles (SLMPs) Produced from Gas-Saturated Solutions for Wound Applications
Abstract
1. Introduction
2. Materials and Methods
2.1. Materials
2.2. SLMPs Production by the PGSS Technique
2.3. Analysis of the Morphology, Size, and Surface of the Particles
2.4. Physicochemical Characterization
2.5. Determination of LID Encapsulation Efficiency
2.6. LID Release Tests from SLMPs
2.7. Preparation of Bioprinted Human Skin Equivalents
2.8. LID Release Tests through Bioprinted Human Skin Equivalents
2.9. Antimicrobial Tests
2.9.1. Minimum Inhibitory Concentration
2.9.2. Minimum Bactericidal Concentration
2.9.3. Antimicrobial Activity of LID Released from GMS
2.10. Statistical Analysis
3. Results and Discussion
3.1. Morphological and Physicochemical Properties of the SLMPs
3.2. LID Encapsulation Efficiency
3.3. LID Release Tests
3.4. LID Permeation through Bioengineered Skin Substitutes
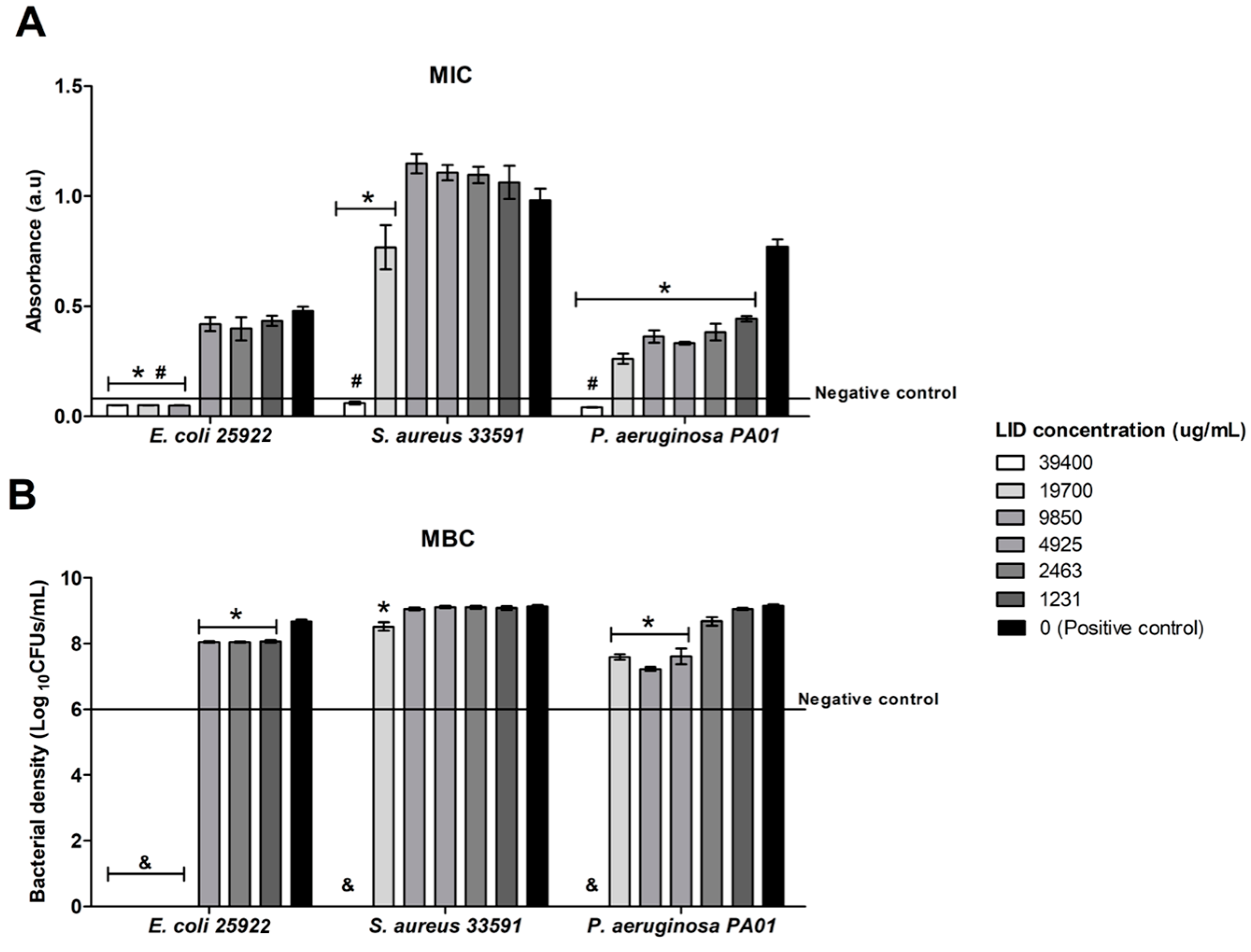
3.5. Antimicrobial Activity of the SLMPs
4. Conclusions
Supplementary Materials
Author Contributions
Funding
Conflicts of Interest
References
- Catanzano, O.; Docking, R.; Schofield, P.; Boateng, J. Advanced multi-targeted composite biomaterial dressing for pain and infection control in chronic leg ulcers. Carbohyd. Polym. 2017, 172, 40–48. [Google Scholar] [CrossRef]
- Briggs, M.; Nelson, E.A.; Martyn-St James, M. Topical agents or dressings for pain in venous leg ulcers. Cochrane Database Syst. Rev. 2012. [Google Scholar] [CrossRef] [PubMed]
- Jones, J.; Williams, H. Wound management should not be a pain. Br. J. Community Nurs. 2017, 22, S38–S46. [Google Scholar] [CrossRef]
- Fauziyah, H.; Gayatri, D. Pain, stress, and sleep quality in chronic wound patients. Enferm. Clínica 2018, 28, 176–179. [Google Scholar] [CrossRef]
- Woo, K.Y. Wound-related pain: Anxiety, stress and wound healing. Wounds UK 2010, 6, 92–98. [Google Scholar]
- Kesici, S.; Kesici, U.; Ulusoy, H.; Erturkuner, P.; Turkmen, A.; Arda, O. Effects of local anesthetics on wound healing. Braz. J. Anesthesiol. (Engl. Ed.) 2018, 68, 375–382. [Google Scholar] [CrossRef]
- Steele, K. Topical treatments for acute and chronic wound pain. J. Palliat. Med. 2017, 20, 560–561. [Google Scholar] [CrossRef]
- Barletta, M.; Reed, R. Local anesthetics. Vet. Clin. N. Am. Small 2019, 49, 1109–1125. [Google Scholar] [CrossRef]
- Razavi, B.M.; Bazzaz, B.S.F. A review and new insights to antimicrobial action of local anesthetics. Eur. J. Clin. Microbiol. Infect. Dis. 2019, 38, 991–1002. [Google Scholar] [CrossRef]
- Parr, A.M.; Zoutman, D.E.; Davidson, J.S.D. Antimicrobial activity of lidocaine against bacteria associated with nosocomial wound infection. Ann. Plast. Surg. 1999, 43, 239–245. [Google Scholar] [CrossRef]
- Saghazadeh, S.; Rinoldi, C.; Schot, M.; Kashaf, S.S.; Sharifi, F.; Jalilian, E.; Nuutila, K.; Giatsidis, G.; Mostafalu, P.; Derakhshandeh, H.; et al. Drug delivery systems and materials for wound healing applications. Adv. Drug Deliv. Rev. 2018, 127, 138–166. [Google Scholar] [CrossRef]
- Johnson, N.; Wang, Y. Drug delivery systems for wound healing. Curr. Pharm. Biotechnol. 2015, 16, 621–629. [Google Scholar] [CrossRef] [PubMed]
- Gref, R.; Minamitake, Y.; Peracchia, M.; Trubetskoy, V.; Torchilin, V.; Langer, R. Biodegradable long-circulating polymeric nanospheres. Science 1994, 263, 1600–1603. [Google Scholar] [CrossRef] [PubMed]
- Chakravarty, P.; Famili, A.; Nagapudi, K.; Al-Sayah, M.A. Using supercritical fluid technology as a green alternative during the preparation of drug delivery systems. Pharmaceutics 2019, 11, 629. [Google Scholar] [CrossRef] [PubMed]
- Ranjan, S.; Fontana, F.; Ullah, H.; Hirvonen, J.; Santos, H.A. Microparticles to enhance delivery of drugs and growth factors into wound sites. Ther. Deliv. 2016, 7, 711–732. [Google Scholar] [CrossRef]
- Radtke, M.; Souto, E.B.; Müller, R.H. Nanostructured lipid carriers: A novel generation of solid lipid drug carriers. Pharm. Technol. Eur. 2005, 17, 45–50. [Google Scholar]
- Müller, R.H.; Radtke, M.; Wissing, S.A. Solid lipid nanoparticles (SLN) and nanostructured lipid carriers (NLC) in cosmetic and dermatological preparations. Adv. Drug Deliv. Rev. 2002, 54, S131–S155. [Google Scholar] [CrossRef]
- Davis, S.S. Coming of age of lipid-based drug delivery systems. Adv. Drug Deliv. Rev. 2004, 56, 1241–1242. [Google Scholar] [CrossRef]
- Wang, W.; Lu, K.; Yu, C.; Huang, Q.; Du, Y.-Z. Nano-drug delivery systems in wound treatment and skin regeneration. J. Nanobiotechnol. 2019, 17, 82. [Google Scholar] [CrossRef]
- Li, J.; Ghatak, S.; Masry, M.S.E.; Das, A.; Liu, Y.; Roy, S.; Lee, R.J.; Sen, C.K. Topical lyophilized targeted lipid nanoparticles in the restoration of skin barrier function following burn wound. Mol. Ther. 2018, 26, 2178–2188. [Google Scholar] [CrossRef]
- Jaspart, S.; Piel, G.; Delattre, L.; Evrard, B. Solid lipid microparticles: Formulation, preparation, characterisation, drug release and applications. Expert Opin. Drug Deliv. 2005, 2, 75–87. [Google Scholar] [CrossRef] [PubMed]
- Gavini, E.; Albertini, B.; Rassu, G.; Di Sabatino, M.; Sanna, V.; Giunchedi, P.; Rodriguez, L.; Passerini, N. Evaluation of solid lipid microparticles produced by spray congealing for topical application of econazole nitrate. J. Pharm. Pharmacol. 2009, 61, 559–567. [Google Scholar] [CrossRef] [PubMed]
- Rahimpour, Y.; Javadzadeh, Y.; Hamishehkar, H. Solid lipid microparticles for enhanced dermal delivery of tetracycline HCl. Colloids Surf. B Biointerfaces 2016, 145, 14–20. [Google Scholar] [CrossRef] [PubMed]
- García-González, C.A.; López-Iglesias, C.; Concheiro, A.; Alvarez-Lorenzo, C. Biomedical Applications of Polysaccharide and Protein Based Aerogels. In Green Chemistry Series; Thomas, S., Pothan, L.A., Mavelil-Sam, R., Eds.; Royal Society of Chemistry: Cambridge, UK, 2018; Chapter 16; pp. 295–323. ISBN 978-1-78262-765-4. [Google Scholar]
- Kankala, R.K.; Zhang, Y.S.; Wang, S.-B.; Lee, C.-H.; Chen, A.-Z. Supercritical fluid technology: An emphasis on drug delivery and related biomedical applications. Adv. Healthc. Mater. 2017, 6, 1700433. [Google Scholar] [CrossRef] [PubMed]
- García-González, C.A.; Smirnova, I. Use of supercritical fluid technology for the production of tailor-made aerogel particles for delivery systems. J. Supercrit. Fluid. 2013, 79, 152–158. [Google Scholar] [CrossRef]
- García-González, C.A.; Argemí, A.; Sousa, A.R.S.; de Duarte, C.M.M.; Saurina, J.; Domingo, C. Encapsulation efficiency of solid lipid hybrid particles prepared using the PGSS® technique and loaded with different polarity active agents. J. Supercrit. Fluid. 2010, 54, 342–347. [Google Scholar] [CrossRef]
- de Sousa, A.R.S.; Simplício, A.L.; de Sousa, H.C.; Duarte, C.M.M. Preparation of glyceryl monostearate-based particles by PGSS®—Application to caffeine. J. Supercrit. Fluid. 2007, 43, 120–125. [Google Scholar] [CrossRef]
- Ndayishimiye, J.; Chun, B.S. Formation, characterization and release behavior of citrus oil-polymer microparticles using particles from gas saturated solutions (PGSS) process. J. Ind. Eng. Chem. 2018, 63, 201–207. [Google Scholar] [CrossRef]
- Martín, A.; Cocero, M.J. Micronization processes with supercritical fluids: Fundamentals and mechanisms. Adv. Drug Deliv. Rev. 2008, 60, 339–350. [Google Scholar] [CrossRef]
- Dohrn, R.; Bertakis, E.; Behrend, O.; Voutsas, E.; Tassios, D. Melting point depression by using supercritical CO2 for a novel melt dispersion micronization process. J. Mol. Liq. 2007, 131–132, 53–59. [Google Scholar] [CrossRef]
- Chen, W.; Hu, X.; Hong, Y.; Su, Y.; Wang, H.; Li, J. Ibuprofen nanoparticles prepared by a PGSSTM-based method. Powder Technol. 2013, 245, 241–250. [Google Scholar] [CrossRef]
- Fraile, M.; Martín, Ÿ.; Deodato, D.; Rodriguez-Rojo, S.; Nogueira, I.D.; Simplício, A.L.; Cocero, M.J.; Duarte, C.M.M. Production of new hybrid systems for drug delivery by PGSS (Particles from Gas Saturated Solutions) process. J. Supercrit. Fluid. 2013, 81, 226–235. [Google Scholar] [CrossRef]
- Salmaso, S.; Elvassore, N.; Bertucco, A.; Caliceti, P. Production of solid lipid submicron particles for protein delivery using a novel supercritical gas-assisted melting atomization process. J. Pharm. Sci. 2009, 98, 640–650. [Google Scholar] [CrossRef] [PubMed]
- Salmaso, S.; Bersani, S.; Elvassore, N.; Bertucco, A.; Caliceti, P. Biopharmaceutical characterisation of insulin and recombinant human growth hormone loaded lipid submicron particles produced by supercritical gas micro-atomisation. Int. J. Pharm. 2009, 379, 51–58. [Google Scholar] [CrossRef] [PubMed]
- Argemí, A.; Domingo, C.; de Sousa, A.R.S.; Duarte, C.M.M.; García-gonzález, C.A.; Saurina, J. Characterization of new topical ketoprofen formulations prepared by drug entrapment in solid lipid matrices. J. Pharm. Sci. 2011, 100, 4783–4789. [Google Scholar] [CrossRef]
- Abd, E.; Yousuf, S.; Pastore, M.; Telaprolu, K.; Mohammed, Y.; Namjoshi, S.; Grice, J.; Roberts, M. Skin models for the testing of transdermal drugs. Clin. Pharm. Adv. Appl. 2016, 8, 163–176. [Google Scholar] [CrossRef]
- Neupane, R.; Boddu, S.H.S.; Renukuntla, J.; Babu, R.J.; Tiwari, A.K. Alternatives to biological skin in permeation studies: Current trends and possibilities. Pharmaceutics 2020, 12, 152. [Google Scholar] [CrossRef]
- Niehues, H.; Bouwstra, J.A.; Ghalbzouri, A.E.; Brandner, J.M.; Zeeuwen, P.L.J.M.; van den Bogaard, E.H. 3D skin models for 3R research: The potential of 3D reconstructed skin models to study skin barrier function. Exp. Dermatol. 2018, 27, 501–511. [Google Scholar] [CrossRef]
- Velasco, D.; Quílez, C.; Garcia, M.; del Cañizo, J.F.; Jorcano, J.L. 3D human skin bioprinting: A view from the bio side. J. 3D Print. Med. 2018, 2, 141–162. [Google Scholar] [CrossRef]
- Kogelenberg, S.; van Yue, Z.; Dinoro, J.N.; Baker, C.S.; Wallace, G.G. Three-dimensional printing and cell therapy for wound repair. Adv. Wound Care 2018, 7, 145–156. [Google Scholar] [CrossRef]
- Sansone, P.; Passavanti, M.B.; Fiorelli, A.; Aurilio, C.; Colella, U.; De Nardis, L.; Donatiello, V.; Pota, V.; Pace, M.C. Efficacy of the topical 5% lidocaine medicated plaster in the treatment of chronic post-thoracotomy neuropathic pain. Pain Manag. 2017, 7, 189–196. [Google Scholar] [CrossRef] [PubMed]
- Jeong, Y.J.; Kim, H.J.; Kwon, H.; Shim, H.; Seo, B.F.; Jung, S.-N. The use of topical lidocaine gel during intermaxillary fixation procedure. J. Craniofac. Surg. 2016, 27, e475–e477. [Google Scholar] [CrossRef] [PubMed]
- American association of blood banks; Walker, R.H. Technical Manual; American Association of blood banks: Bethesda, MD, USA, 1993; ISBN 978-1-56395-019-3. [Google Scholar]
- Al-Salman, H.N.K.; Al-Jadaan, S.; Alnuaim, M.; Hassan, H. Estimation of lidocaine-HCl in pharmaceutical drugs by HPLC-UV system. Am. J. PharmTech Res. 2017, 7, 2249–3387. [Google Scholar]
- Cubo, N.; Garcia, M.; del Cañizo, J.F.; Velasco, D.; Jorcano, J.L. 3D bioprinting of functional human skin: Production and in vivo analysis. Biofabrication 2016, 9, 015006. [Google Scholar] [CrossRef] [PubMed]
- Hsu, H.-H.; Kracht, J.-K.; Harder, L.E.; Rudnik, K.; Lindner, G.; Schimek, K.; Marx, U.; Pörtner, R. A method for determination and simulation of permeability and diffusion in a 3D tissue model in a membrane insert system for multi-well plates. JoVE J. Vis. Exp. 2018, 132, e56412. [Google Scholar] [CrossRef] [PubMed]
- Pankey, G.A.; Sabath, L.D. Clinical relevance of bacteriostatic versus bactericidal mechanisms of action in the treatment of Gram-positive bacterial infections. Clin. Infect. Dis. 2004, 38, 864–870. [Google Scholar] [CrossRef]
- Khosa, A.; Reddi, S.; Saha, R.N. Nanostructured lipid carriers for site-specific drug delivery. Biomed. Pharmacother. 2018, 103, 598–613. [Google Scholar] [CrossRef]
- Battaglia, L.; Gallarate, M.; Panciani, P.P.; Ugazio, E.; Sapino, S.; Peira, E.; Chirio, D. Techniques for the Preparation of Solid Lipid Nano and Microparticles. In Application of Nanotechnology in Drug Delivery; Sezer, A.D., Ed.; IntechOpen: London, UK, 2014; ISBN 978-953-51-1628-8. [Google Scholar]
- Wei, Y.; Nedley, M.P.; Bhaduri, S.B.; Bredzinski, X.; Boddu, S.H.S. Masking the bitter taste of injectable lidocaine HCl formulation for dental procedures. AAPS PharmSciTech 2015, 16, 455–465. [Google Scholar] [CrossRef]
- García-González, C.A.; Sousa, A.R.S.; da Argemí, A.; López Periago, A.; Saurina, J.; Duarte, C.M.M.; Domingo, C. Production of hybrid lipid-based particles loaded with inorganic nanoparticles and active compounds for prolonged topical release. Int. J. Pharm. 2009, 382, 296–304. [Google Scholar] [CrossRef]
- Weinstein, R.D.; Muske, K.R.; Moriarty, J.; Schmidt, E.K. The solubility of benzocaine, lidocaine, and procaine in liquid and supercritical carbon dioxide. J. Chem. Eng. Data 2004, 49, 547–552. [Google Scholar] [CrossRef]
- Sweet, P.T.; Magee, D.A.; Holland, A.J.C. Duration of intradermal anaesthesia with mixtures of bupivacaine and lidocaine. Canad. Anaesth. Soc. J. 1982, 29, 481–483. [Google Scholar] [CrossRef] [PubMed]
- Bruschi, M.L. Mathematical models of drug release. In Strategies to Modify the Drug Release from Pharmaceutical Systems; Elsevier: Amsterdam, The Netherlands, 2015; pp. 63–86. ISBN 978-0-08-100092-2. [Google Scholar]
- Manjunatha, R.G.; Sharma, S.; Narayan, R.P.; Koul, V. Effective permeation of 2.5 and 5% lidocaine hydrochloride in human skin using iontophoresis technique. Int. J. Dermatol. 2018, 57, 1335–1343. [Google Scholar] [CrossRef] [PubMed]
- Bazaz, B.S.F.; Salt, W.G. Local anaesthetics as antibacterial agents: Effects on cellular respiration and the leakage of cytoplasmic constituents. Microbios 1983, 37, 139–149. [Google Scholar]
- Schmidt, R.M.; Rosenkranz, H.S. Antimicrobial activity of local anesthetics: Lidocaine and procaine. J. Infect. Dis. 1970, 121, 597–607. [Google Scholar] [CrossRef] [PubMed]
- Ohsuka, S.; Ohta, M.; Masuda, K.; Arakawa, Y.; Kaneda, T.; Kato, N. Lidocaine hydrochloride and acetylsalicylate kill bacteria by disrupting the bacterial membrane potential in different ways. Microbiol. Immunol. 1994, 38, 429–434. [Google Scholar] [CrossRef]
- Hasselmann, C. Determination of minimum inhibitory concentrations (MICs) of antibacterial agents by broth dilution. Clin. Microbiol. Infect. 2003, 9, 1–7. [Google Scholar] [CrossRef]
- Pelz, K.; Wiedmann-Al-Ahmad, M.; Bogdan, C.; Otten, J.-E. Analysis of the antimicrobial activity of local anaesthetics used for dental analgesia. J. Med. Microbiol. 2008, 57, 88–94. [Google Scholar] [CrossRef]
- Gajraj, R.J.; Hodson, M.J.; Gillespie, J.A.; Kenny, G.N.; Scott, N.B. Antibacterial activity of lidocaine in mixtures with Diprivan. Br. J. Anaesth. 1998, 81, 444–448. [Google Scholar] [CrossRef]
- Driver, R.P.; Granus, V.A.; Yassa, Y.J. Growth inhibition of Staphylococcus aureus by propofol/lidocaine admixture. Anesth. Analg. 1998, 86, 166S. [Google Scholar] [CrossRef]
- Johnson, S.M.; John, B.E.S.; Dine, A.P. Local anesthetics as antimicrobial agents: A review. Surg. Infect. 2008, 9, 205–213. [Google Scholar] [CrossRef]









| Thermal Event | LID | GMS | GMS-LID0 | GMS-LID4 |
|---|---|---|---|---|
| Tm (°C) | 78.12 | 62.28 | 62.46 | 60.56 |
| ΔHm (J/g) | 187.0 | 186.8 | 179.1 | 170.9 |
| SLMPs | First-Order | First-Order with Lag Time | |||
|---|---|---|---|---|---|
| k1 (h−1) | R2 | k2 (h−1) | tlag (h) | R2 | |
| GMS-LID1 | 0.3047 | 0.938 | 0.2532 | 0.7708 | 0.966 |
| GMS-LID2 | 0.2538 | 0.941 | 0.2278 | 0.9049 | 0.959 |
| GMS-LID4 | 0.3308 | 0.963 | 0.2975 | 1.066 | 0.970 |
| GMS-LID10 | 0.3224 | 0.985 | 0.3435 | 0.4736 | 0.985 |
© 2020 by the authors. Licensee MDPI, Basel, Switzerland. This article is an open access article distributed under the terms and conditions of the Creative Commons Attribution (CC BY) license (http://creativecommons.org/licenses/by/4.0/).
Share and Cite
López-Iglesias, C.; Quílez, C.; Barros, J.; Velasco, D.; Alvarez-Lorenzo, C.; Jorcano, J.L.; Monteiro, F.J.; García-González, C.A. Lidocaine-Loaded Solid Lipid Microparticles (SLMPs) Produced from Gas-Saturated Solutions for Wound Applications. Pharmaceutics 2020, 12, 870. https://doi.org/10.3390/pharmaceutics12090870
López-Iglesias C, Quílez C, Barros J, Velasco D, Alvarez-Lorenzo C, Jorcano JL, Monteiro FJ, García-González CA. Lidocaine-Loaded Solid Lipid Microparticles (SLMPs) Produced from Gas-Saturated Solutions for Wound Applications. Pharmaceutics. 2020; 12(9):870. https://doi.org/10.3390/pharmaceutics12090870
Chicago/Turabian StyleLópez-Iglesias, Clara, Cristina Quílez, Joana Barros, Diego Velasco, Carmen Alvarez-Lorenzo, José L. Jorcano, Fernando J. Monteiro, and Carlos A. García-González. 2020. "Lidocaine-Loaded Solid Lipid Microparticles (SLMPs) Produced from Gas-Saturated Solutions for Wound Applications" Pharmaceutics 12, no. 9: 870. https://doi.org/10.3390/pharmaceutics12090870
APA StyleLópez-Iglesias, C., Quílez, C., Barros, J., Velasco, D., Alvarez-Lorenzo, C., Jorcano, J. L., Monteiro, F. J., & García-González, C. A. (2020). Lidocaine-Loaded Solid Lipid Microparticles (SLMPs) Produced from Gas-Saturated Solutions for Wound Applications. Pharmaceutics, 12(9), 870. https://doi.org/10.3390/pharmaceutics12090870

