Improving Nefiracetam Dissolution and Solubility Behavior Using a Cocrystallization Approach
Abstract
1. Introduction
2. Materials and Methods
3. Results and Discussion
3.1. Cocrystal Screening
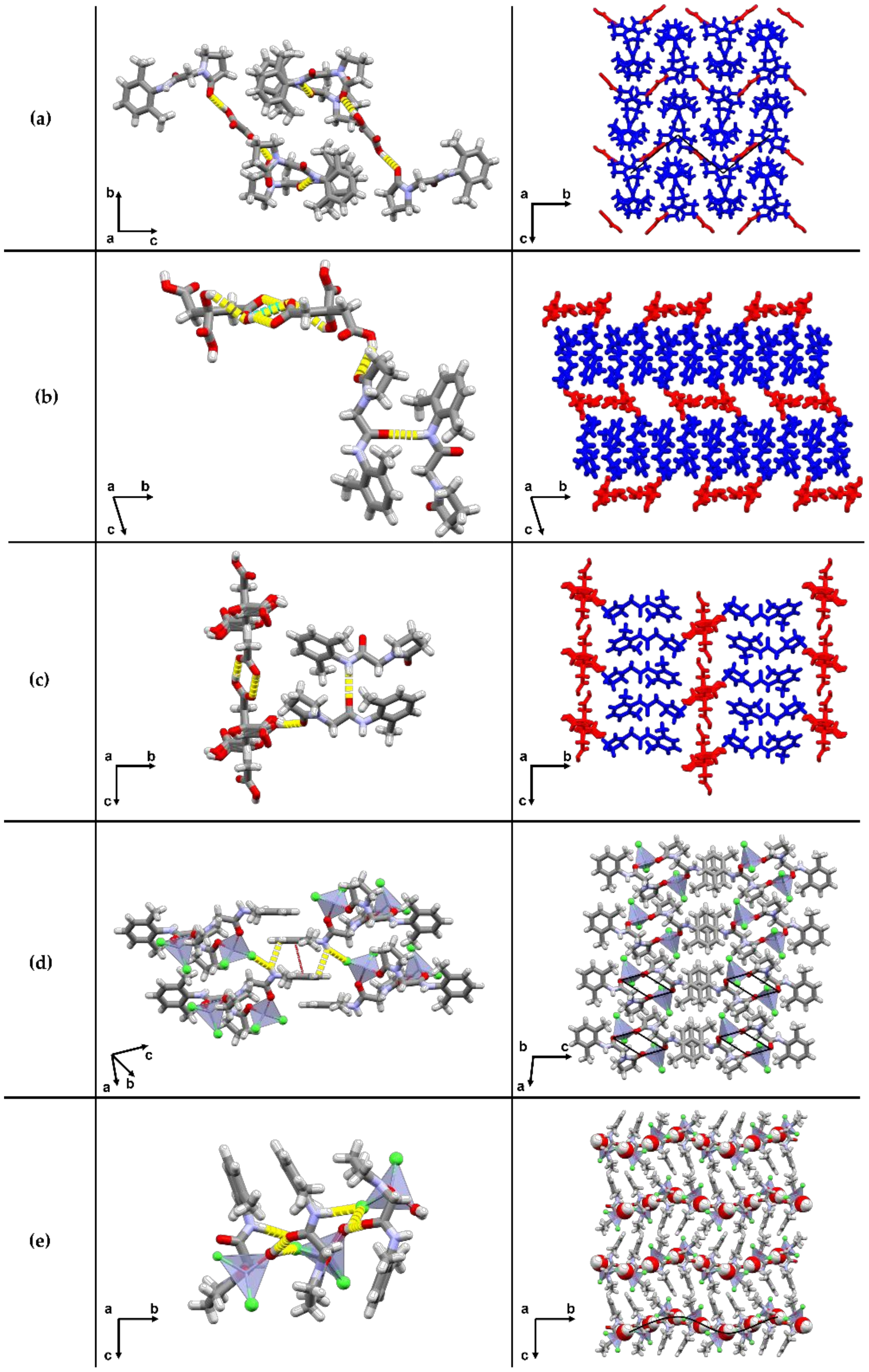
3.2. The 2:1 Nefiracetam-Oxalic Acid Cocrystal (NOA)
3.3. The 2:1 Nefiracetam-Citric Acid Cocrystal (NCA and NCA1)
3.4. The 1:1 Nefiracetam-Zinc Chloride Ionic Cocrystal (NZC)
3.5. Solubility and Dissolution Profile of Nefiracetam Cocrystals
4. Conclusions
Supplementary Materials
Author Contributions
Funding
Conflicts of Interest
References
- Wang, P.L.; Wang, H.B.; Ding, W.L.; Liu, Z.Q.; Xing, Z.T. N-(2, 6-Dimethylphenyl)-2-(2-oxo-1-pyrrolidin-1-yl) acetamide. Acta Crystallogr. Sect. E 2006, 62, 3838–3839. [Google Scholar] [CrossRef]
- Crespi, F. Nefiracetam. Daiichi Seiyaku. Curr. Opin. Investig. Drugs 2002, 3, 788–793. [Google Scholar] [PubMed]
- Buol, X.; Robeyns, K.; Tumanov, N.; Wouters, J.; Leyssens, T. Identifying, Characterizing, and Understanding Nefiracetam in Its Solid State Forms: A Potential Antidementia Drug. J. Pharm. Sci. 2019, 108, 3616–3622. [Google Scholar] [CrossRef]
- Duggirala, N.K.; Perry, M.L.; Almarsson, Ö.; Zaworotko, M.J. Pharmaceutical cocrystals: Along the path to improved medicines. Chem. Commun. 2016, 52, 640–655. [Google Scholar] [CrossRef] [PubMed]
- Schultheiss, N.; Newman, A. Pharmaceutical cocrystals and their physicochemical properties. Cryst. Growth Des. 2009, 9, 2950–2967. [Google Scholar] [CrossRef] [PubMed]
- Bolla, G.; Nangia, A. Pharmaceutical cocrystals: Walking the talk. Chem. Commun. 2016, 52, 8342–8360. [Google Scholar] [CrossRef]
- Shan, N.; Zaworotko, M.J. The role of cocrystals in pharmaceutical science. Drug Discov. Today 2008, 13, 440–446. [Google Scholar] [CrossRef]
- Grepioni, F.; Wouters, J.; Braga, D.; Nanna, S.; Fours, B.; Coquerel, G.; Longfils, G.; Rome, S.; Aerts, L.; Quéré, L. Ionic co-crystals of racetams: Solid-state properties enhancement of neutral active pharmaceutical ingredients via addition of Mg2+ and Ca2+ chlorides. CrystEngComm 2014, 16, 5887–5896. [Google Scholar] [CrossRef]
- Aitipamula, S.; Banerjee, R.; Bansal, A.K.; Biradha, K.; Cheney, M.L.; Choudhury, A.R.; Desiraju, G.R.; Dikundwar, A.G.; Dubey, R.; Duggirala, N. Polymorphs, salts, and cocrystals: What’s in a name? Cryst. Growth Des. 2012, 12, 2147–2152. [Google Scholar] [CrossRef]
- Thipparaboina, R.; Kumar, D.; Chavan, R.B.; Shastri, N.R. Multidrug co-crystals: Towards the development of effective therapeutic hybrids. Drug Discov. Today 2016, 21, 481–490. [Google Scholar] [CrossRef]
- Bond, A.D. What is a co-crystal? CrystEngComm 2007, 9, 833–834. [Google Scholar] [CrossRef]
- Braga, D.; Grepioni, F.; Lampronti, G.I.; Maini, L.; Turrina, A. Ionic co-crystals of organic molecules with metal halides: A new prospect in the solid formulation of active pharmaceutical ingredients. Cryst. Growth Des. 2011, 11, 5621–5627. [Google Scholar] [CrossRef]
- Braga, D.; Grepioni, F.; Shemchuk, O. Organic–inorganic ionic co-crystals: A new class of multipurpose compounds. CrystEngComm 2018, 20, 2212–2220. [Google Scholar] [CrossRef]
- Singh, D.; Bedi, N.; Tiwary, A.K. Enhancing solubility of poorly aqueous soluble drugs: Critical appraisal of techniques. J. Pharm. Investig. 2018, 48, 509–526. [Google Scholar] [CrossRef]
- Shevchenko, A.; Bimbo, L.M.; Miroshnyk, I.; Haarala, J.; Jelínková, K.; Syrjänen, K.; van Veen, B.; Kiesvaara, J.; Santos, H.A.; Yliruusi, J. A new cocrystal and salts of itraconazole: Comparison of solid-state properties, stability and dissolution behavior. Int. J. Pharm. 2012, 436, 403–409. [Google Scholar] [CrossRef] [PubMed]
- Shan, N.; Perry, M.L.; Weyna, D.R.; Zaworotko, M.J. Impact of pharmaceutical cocrystals: The effects on drug pharmacokinetics. Expert Opin. Drug Metab. Toxicol. 2014, 10, 1255–1271. [Google Scholar] [CrossRef] [PubMed]
- Thakuria, R.; Delori, A.; Jones, W.; Lipert, M.P.; Roy, L.; Rodríguez-Hornedo, N. Pharmaceutical cocrystals and poorly soluble drugs. Int. J. Pharm. 2013, 453, 101–125. [Google Scholar] [CrossRef] [PubMed]
- Leyssens, T.; Harmsen, B. WO2019143829-Fasoracetam Crystalline Forms. 2019. Available online: https://patentscope.wipo.int/search/en/detail.jsf?docId=WO2019143829 (accessed on 26 May 2020).
- Holland, J.; Frampton, C.; Chorlton, A.; Gooding, D. Metaxalone Cocrystals. U.S. Patent No. 8,871,793, 28 October 2014. [Google Scholar]
- McNamara, D.P.; Childs, S.L.; Giordano, J.; Iarriccio, A.; Cassidy, J.; Shet, M.S.; Mannion, R.; O’Donnell, E.; Park, A. Use of a glutaric acid cocrystal to improve oral bioavailability of a low solubility API. Pharm. Res. 2006, 23, 1888–1897. [Google Scholar] [CrossRef]
- Brittain, H.G. Cocrystal Systems of Pharmaceutical Interest: 2012–2014. Profiles Drug Subst. Excip. Relat. Methodol. 2019, 44, 415–443. [Google Scholar]
- Brittain, H.G. Cocrystal systems of pharmaceutical interest: 2010. Cryst. Growth Des. 2012, 12, 1046–1054. [Google Scholar] [CrossRef]
- Brittain, H.G. Cocrystal systems of pharmaceutical interest: 2011. Cryst. Growth Des. 2012, 12, 5823–5832. [Google Scholar] [CrossRef]
- Friščić, T.; Childs, S.L.; Rizvi, S.A.; Jones, W. The role of solvent in mechanochemical and sonochemical cocrystal formation: A solubility-based approach for predicting cocrystallisation outcome. CrystEngComm 2009, 11, 418–426. [Google Scholar] [CrossRef]
- Fischer, F.; Heidrich, A.; Greiser, S.; Benemann, S.; Rademann, K.; Emmerling, F. Polymorphism of mechanochemically synthesized cocrystals: A case study. Cryst. Growth Des. 2016, 16, 1701–1707. [Google Scholar] [CrossRef]
- Rigaku, O.D. CrysAlisPro Software System; Version 1.171. 38.41 l; Rigaku Coorporation: Oxford, UK, 2015. [Google Scholar]
- Sheldrick, G.M. Crystal structure refinement with SHELXL. Acta Crystallogr. Sect. C 2015, 71, 3–8. [Google Scholar] [CrossRef] [PubMed]
- Spek, A.L. Structure validation in chemical crystallography. Acta Crystallogr. Sect. D 2009, 65, 148–155. [Google Scholar] [CrossRef] [PubMed]
- Macrae, C.F.; Bruno, I.J.; Chisholm, J.A.; Edgington, P.R.; McCabe, P.; Pidcock, E.; Rodriguez-Monge, L.; Taylor, R.; Streek, J.V.D.; Wood, P.A. Mercury CSD 2.0–new features for the visualization and investigation of crystal structures. J. Appl. Crystallogr. 2008, 41, 466–470. [Google Scholar] [CrossRef]
- Blagden, N.; De Matas, M.; Gavan, P.T.; York, P. Crystal engineering of active pharmaceutical ingredients to improve solubility and dissolution rates. Adv. Drug Deliv. Rev. 2007, 59, 617–630. [Google Scholar] [CrossRef]
- Desiraju, G.R. Supramolecular synthons in crystal engineering—A new organic synthesis. Angew. Chem. Int. Ed. Engl. 1995, 34, 2311–2327. [Google Scholar] [CrossRef]
- James, S.L.; Adams, C.J.; Bolm, C.; Braga, D.; Collier, P.; Friščić, T.; Grepioni, F.; Harris, K.D.; Hyett, G.; Jones, W. Mechanochemistry: Opportunities for new and cleaner synthesis. Chem. Soc. Rev. 2012, 41, 413–447. [Google Scholar] [CrossRef]
- Springuel, G.R.; Robeyns, K.; Norberg, B.; Wouters, J.; Leyssens, T. Cocrystal formation between chiral compounds: How cocrystals differ from salts. Cryst. Growth Des. 2014, 14, 3996–4004. [Google Scholar] [CrossRef]
- Springuel, G.R.; Norberg, B.; Robeyns, K.; Wouters, J.; Leyssens, T. Advances in pharmaceutical co-crystal screening: Effective co-crystal screening through structural resemblance. Cryst. Growth Des. 2012, 12, 475–484. [Google Scholar] [CrossRef]
- Song, L.; Shemchuk, O.; Robeyns, K.; Braga, D.; Grepioni, F.; Leyssens, T. Ionic cocrystals of etiracetam and levetiracetam: The importance of chirality for ionic cocrystals. Cryst. Growth Des. 2019, 19, 2446–2454. [Google Scholar] [CrossRef]
- Shemchuk, O.; Song, L.; Tumanov, N.; Wouters, J.; Braga, D.; Grepioni, F.; Leyssens, T. Chiral resolution of RS-oxiracetam upon cocrystallization with pharmaceutically acceptable inorganic salts. Cryst. Growth Des. 2020. [Google Scholar] [CrossRef]
- Porter Iii, W.W.; Elie, S.C.; Matzger, A.J. Polymorphism in carbamazepine cocrystals. Cryst. Growth Des. 2008, 8, 14–16. [Google Scholar] [CrossRef] [PubMed]
- Leyssens, T.; Springuel, G.; Montis, R.; Candoni, N.; Veesler, S.P. Importance of solvent selection for stoichiometrically diverse cocrystal systems: Caffeine/maleic acid 1: 1 and 2: 1 cocrystals. Cryst. Growth Des. 2012, 12, 1520–1530. [Google Scholar] [CrossRef]
- Etter, M.C.; MacDonald, J.C.; Bernstein, J. Graph-set analysis of hydrogen-bond patterns in organic crystals. Acta Crystallogr. Sect. B 1990, 46, 256–262. [Google Scholar] [CrossRef]
- Bernstein, J.; Davis, R.E.; Shimoni, L.; Chang, N.L. Patterns in hydrogen bonding: Functionality and graph set analysis in crystals. Angew. Chem. Int. Ed. Engl. 1995, 34, 1555–1573. [Google Scholar] [CrossRef]
- Oxalic Acid-Registration Dossier-ECHA. Available online: https://echa.europa.eu/registration-dossier/-/registered-dossier/14786/4/3 (accessed on 26 May 2020).
- United States Department of Labor-Occupational Safety and Health Administration-Oxalic Acid. Available online: https://www.osha.gov/chemicaldata/chemResult.html?RecNo=270 (accessed on 26 May 2020).
- Yu, L. Survival of the fittest polymorph: How fast nucleater can lose to fast grower. CrystEngComm 2007, 9, 847–851. [Google Scholar] [CrossRef]
- Looijmans, S.F.; Cavallo, D.; Yu, L.; Peters, G.W. Cross-nucleation between polymorphs: Quantitative modeling of kinetics and morphology. Cryst. Growth Des. 2018, 18, 3921–3926. [Google Scholar] [CrossRef]
- Barbooti, M.M.; Al-Sammerrai, D.A. Thermal decomposition of citric acid. Thermochim. Acta 1986, 98, 119–126. [Google Scholar] [CrossRef]
- Bavishi, D.D.; Borkhataria, C.H. Spring and parachute: How cocrystals enhance solubility. Prog. Cryst. Growth Charact. Mater. 2016, 62, 1–8. [Google Scholar] [CrossRef]
- Guzmán, H.R.; Tawa, M.; Zhang, Z.; Ratanabanangkoon, P.; Shaw, P.; Gardner, C.R.; Chen, H.; Moreau, J.P.; Almarsson, Ö.; Remenar, J.F. Combined use of crystalline salt forms and precipitation inhibitors to improve oral absorption of celecoxib from solid oral formulations. J. Pharm. Sci. 2007, 96, 2686–2702. [Google Scholar] [CrossRef] [PubMed]
- Nicoud, L.; Licordari, F.; Myerson, A.S. Estimation of the Solubility of Metastable Polymorphs: A Critical Review. Cryst. Growth Des. 2018, 18, 7228–7237. [Google Scholar] [CrossRef]
- Nicoud, L.; Licordari, F.; Myerson, A.S. Polymorph control in batch seeded crystallizers. A case study with paracetamol. CrystEngComm 2019, 21, 2105–2118. [Google Scholar] [CrossRef]







| Coformer | Multiple Cocrystal Forms | Form | Cocrystal/Coformer Melting Point (°C) |
|---|---|---|---|
| None [3] (Nefiracetam (N)/Figure 1) | / | Form I | 140 |
| Form II | 150 | ||
| Form III | n/a | ||
| Monohydrate | 80 (dehydration) | ||
| 5-nitroisophthalic acid | Yes | 1:1 Cocrystal Form I | 171/259 |
| 1:1 Cocrystal Form II | 199 | ||
| 5-hydroxyisopthalic acid | No | 1:1 Cocrystal | 196/298 |
| 5-cyano-1,3-benzenedicarboxylic acid | Yes | 1:1 Cocrystal Form I (RT) | 160/248 |
| 1:1 Cocrystal Form II (HT) | 180 | ||
| 5-bromoisophthalic acid | No | 1:1 Cocrystal | 199/270 |
| (RS)-phenylsuccinic acid | No | 2:1 Cocrystal (racemic) | 95/166 |
| 4-hydroxybenzoic acid | No | 1:1 Cocrystal | 122/213 |
| (RS)-2-phenylbutyric acid | No | Form I (solid solution) | 72/39 |
| (RS)-3-phenyllactic acid | No | 1:1 Cocrystal (racemic) | 68/95 |
| 2-benzoylbenzoic acid | No | 1:1 Cocrystal | 92/126 |
| Gallic acid | No | 4:1:1 Cocrystal hydrate | n/a/251 |
| Citric acid (CA) | Yes | 2:1 Cocrystal Form I | 81 (phase transition) |
| 2:1 Cocrystal Form II | n/a | ||
| Oxalic acid (OA) | No | 2:1 Cocrystal | 162 |
| Zinc chloride (ZC) | Yes | Ionic cocrystal hydrate | 210 (dehydration)/290 |
| Ionic cocrystal | 243 |
| Solid Forms | Dissolution Rate * (mM/s)/Time (min) | Solubility (mM, 18 °C) |
|---|---|---|
| Nefiracetam FI | 1299/0.2 | 519.59 (±11.88) |
| NCA | 419/0.9 | 753.47 (±25.65) |
| NOA | 246/1.5 | 737.53 (±8.58) |
| NZC | 332/0.3 | 199.46 (±1.61) |
| Solid Forms | Dissolution Rate * (mM/s)/Time (min) | Solubility (mM, 18 °C) | Solubility Product (Ks, 18 °C) | pKs |
|---|---|---|---|---|
| Nefiracetam FI | 969/0.1 | 290.83 (±10.97) | / | / |
| NCA | 323/0.5 | 322.87 (±4.32) | 1.35 × 10−1 | 0.87 |
| NOA | 538/0.2 | 215.03 (±1.03) | 3.98 × 10−2 | 1.40 |
| NZC | 64/0.2 | 25.45 (±0.63) | 6.48 × 10−4 | 3.19 |
© 2020 by the authors. Licensee MDPI, Basel, Switzerland. This article is an open access article distributed under the terms and conditions of the Creative Commons Attribution (CC BY) license (http://creativecommons.org/licenses/by/4.0/).
Share and Cite
Buol, X.; Robeyns, K.; Caro Garrido, C.; Tumanov, N.; Collard, L.; Wouters, J.; Leyssens, T. Improving Nefiracetam Dissolution and Solubility Behavior Using a Cocrystallization Approach. Pharmaceutics 2020, 12, 653. https://doi.org/10.3390/pharmaceutics12070653
Buol X, Robeyns K, Caro Garrido C, Tumanov N, Collard L, Wouters J, Leyssens T. Improving Nefiracetam Dissolution and Solubility Behavior Using a Cocrystallization Approach. Pharmaceutics. 2020; 12(7):653. https://doi.org/10.3390/pharmaceutics12070653
Chicago/Turabian StyleBuol, Xavier, Koen Robeyns, Camila Caro Garrido, Nikolay Tumanov, Laurent Collard, Johan Wouters, and Tom Leyssens. 2020. "Improving Nefiracetam Dissolution and Solubility Behavior Using a Cocrystallization Approach" Pharmaceutics 12, no. 7: 653. https://doi.org/10.3390/pharmaceutics12070653
APA StyleBuol, X., Robeyns, K., Caro Garrido, C., Tumanov, N., Collard, L., Wouters, J., & Leyssens, T. (2020). Improving Nefiracetam Dissolution and Solubility Behavior Using a Cocrystallization Approach. Pharmaceutics, 12(7), 653. https://doi.org/10.3390/pharmaceutics12070653

