Investigations on Alkanediols as Alternative Preservatives in a Nonionic Hydrophilic Cream
Abstract
:1. Introduction
2. Materials and Methods
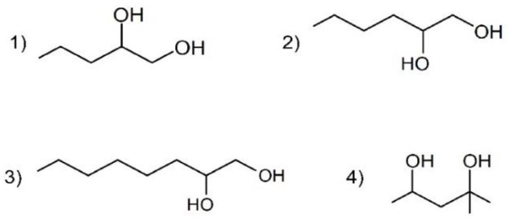
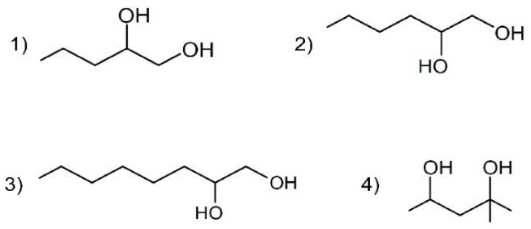
2.1. Materials
2.2. Preparation of Test Formulations
2.3. Stability Study
2.4. Rheological Measurements
2.5. Polarization Microscope
2.6. Centrifugation Test
2.7. Efficacy of Antimicrobial Preservation
2.8. Preparation of Mixed Crystals for DSC and SAXS Measurements
2.9. Differential Scanning Calorimetry (DSC)
2.10. Small-Angle X-ray Diffraction Measurements
3. Results and Discussion
3.1. Influence of Alkanediols on the Storage Stability
3.2. Incorporation of Alkanediols into Mixed Crystals
3.2.1. DSC Measurements
3.2.2. SAXS Diffraction
3.3. Efficacy of Antimicrobial Preservation
4. Conclusions
Author Contributions
Funding
Acknowledgments
Conflicts of Interest
References
- Committee for Medicinal Products for Human Use; European Medicines Agency. Guideline on Pharmaceutical Development of Medicines for Paediatric Use: EMA/CHMP/QWP/805880/2012 Rev. 2; European Medicines Agency: Amsterdam, The Netherland, 2013. [Google Scholar]
- Darbre, P.D.; Harvey, P.W. Paraben esters: Review of recent studies of endocrine toxicity, absorption, esterase and human exposure, and discussion of potential human health risks. J. Appl. Toxicol. 2008, 28, 561–578. [Google Scholar] [CrossRef] [PubMed]
- Okukawa, M.; Watanabe, T.; Miura, M.; Konno, H.; Yano, S.; Nonomura, Y. Antibacterial Activity of 1,2-Alkanediol against Staphylococcus aureus and Staphylococcus epidermidis. J. Oleo Sci. 2019, 68, 759–763. [Google Scholar] [CrossRef] [PubMed]
- Evonik Dr. Straetmans GmbH. Product Catalogue; Evonik Dr. Straetmans GmbH: Hamburg, Germany, 2018. [Google Scholar]
- Schrader, K. Use of Alkane Diols in Cosmetics. Patent EP0655904A1, 7 June 1995. [Google Scholar]
- Pillai, R.; Schmaus, G.; Pfeiffer, A.; Lange, S.; Trunet, A. Symrise. 1,2-Alkanediols for Cosmetic Preservation. Cosmet. Toilet. 2013, 123, 53–64. [Google Scholar]
- Junginger, H.E. Systematik der Dermatika-Kolloidchemischer Aufbau. In Dermatika; Niedner, R., Ziegenmeyer, J., Eds.; Wissenschaftliche Verlagsgesellschaft: Stuttgart, Germany, 1992; p. 505. [Google Scholar]
- Deutsche Arzneibuch-Kommission. Deutsches Arzneibuch DAB; Deutscher Apotheker Verlag: Stuttgart, Germany, 2019. [Google Scholar]
- Al Shaal, L.; Müller, R.H.; Keck, C.M. Preserving hesperetin nanosuspensions for dermal application. Pharmazie 2010, 65, 86–92. [Google Scholar] [CrossRef] [PubMed]
- Ashland LLC. Preservatives for Personal Care, PC-11312.9. 2017. Available online: https://www.ashland.com/file_source/Ashland/Industries/Personal%20and%20Home%20Care/Articles/PC-11312.9_PC_Preservatives.pdf (accessed on 19 November 2020).
- Liebert, M.A. Final Report on the Safety Assessment of Butylene Glycol, Hexylene Glycol, Ethoxydiglycol, and Dipropylene Glycol. J. Am. Coll. Toxicol. 1985, 4, 223–248. [Google Scholar] [CrossRef]
- European Pharmacopoeia (Ph. Eur.), 10th ed.; EDQM Council of Europe: Strasbourg, France, 2020.
- Eccleston, G.M.; Behan-Martin, M.K.; Jones, G.R.; Towns-Andrews, E. Synchrotron X-ray investigations into the lamellar gel phase formed in pharmaceutical creams prepared with cetrimide and fatty alcohols. Int. J. Pharm. 2000, 127–139, Reprinted with permission from Elsevier. [Google Scholar] [CrossRef]
- Fairhurst, C.E.; Fuller, S.; Gray, J.; Holmes, M.C.; Tiddy, G.J. (Eds.) Chapter VII Lyotropic Surfactant Liquid Crystals. In Handbook of Liquid Crystals; WILEY-VCH Verlag GmbH: Weinheim, Germany, 1998; pp. 341–392. [Google Scholar]
- Savic, S.; Vuleta, G.; Daniels, R.; Müller-Goymann, C.C. Colloidal microstructure of binary systems and model creams stabilized with an alkylpolyglucoside non-ionic emulsifier. Colloid Polym. Sci. 2005, 283, 439–451. [Google Scholar] [CrossRef]
- Niemi, L.; Laine, E. Effect of water content on the microstructure of an o/w cream. Int. J. Pharm. 1991, 67, 205–214. [Google Scholar] [CrossRef]
- De Vringer, T.; Joosten, J.G.H.; Juninger, H.E. Characterization of the gel structure in a nonionic ointment by small angle X-ray diffraction. Colloid Polym. Sci. 1984, 262, 56–60. [Google Scholar] [CrossRef]
- Rose, C. Stabilitätsbeurteilung von O/W-Cremes auf Basis der Wasserhaltigen Hydrophilen Salbe DAB 1996. Ph.D. Thesis, Technische Universität Carolo-Wilhelmina, Braunschweig, Germany, 1999. [Google Scholar]
- Lee, E.; An, S.; Cho, S.-A.; Yun, Y.; Han, J.; Hwang, Y.K.; Kim, H.K.; Lee, T.R. The influence of alkane chain length on the skin irritation potential of 1,2-alkanediols. Int. J. Cosmet. Sci. 2011, 33, 421–425. [Google Scholar] [CrossRef] [PubMed]












| Formulation | Additive | Concentration (%) |
|---|---|---|
| (i) | - | - |
| (is) | Sorbic acid | 0.1 |
| (ii) | 2-methyl-2,4-pentanediol | 5 |
| (iis) | 2-methyl-2,4-pentanediol + sorbic acid | 5 + 0.05 |
| (iii) | 1,2-pentanediol | 5 |
| (iiis) | 1,2-pentanediol + sorbic acid | 5 + 0.05 |
| (iv) | 1,2-hexanediol | 3 |
| (v) | 1,2-octanediol | 1 |
| Phase | Condition | Duration (min) |
|---|---|---|
| Pre-shear | Shear rate = 5 s−1 | 1 |
| Rest | - | 2 |
| Amplitude sweep | Logarithmically from 0.01% to 100%; 1 Hz |
| Microorganisms | Log10 Reduction | ||||
|---|---|---|---|---|---|
| Criteria | 2 Days | 7 Days | 14 Days | 28 Days | |
| Bacteria | A | 2 | 3 | - | NI |
| B | - | - | 3 | NI | |
| Fungi | A | - | - | 2 | NI |
| B | - | - | 1 | NI | |
| Mixed Crystals | 2θ (°) | D (nm) | Ratio |
|---|---|---|---|
| (i) in the absence of alkanediol | 0.70 | 12.56 | 1.86 |
| 1.31 | 6.74 | ||
| (ii) 2-methyl-2,4-pentanediol | 0.74 | 12.00 | 1.98 |
| 1.46 | 6.06 | ||
| (iii) 1,2-pentanediol | 0.75 | 11.74 | 2.00 |
| 1.51 | 5.86 | ||
| (iv) 1,2-hexanediol | 0.78 | 11.25 | 1.98 |
| 1.56 | 5.68 | ||
| (v) 1,2-octanediol | 0.78 | 11.25 | 1.98 |
| 1.56 | 5.68 |
| Formulation | (is) | (ii) | (iis) | (iii) | (iiis) | (iv) | (v) |
|---|---|---|---|---|---|---|---|
| Staph. aureus | A | A | A | A | A | A | A |
| Ps. aeruginosa | A | A | A | A | A | A | A |
| E. coli | A | A | A | A | A | A | A |
| C. albicans | A | A | A | A | A | A | A |
| Asp. brasiliensis | A | - | A | B | A | A | A |
Publisher’s Note: MDPI stays neutral with regard to jurisdictional claims in published maps and institutional affiliations. |
© 2020 by the authors. Licensee MDPI, Basel, Switzerland. This article is an open access article distributed under the terms and conditions of the Creative Commons Attribution (CC BY) license (http://creativecommons.org/licenses/by/4.0/).
Share and Cite
Sigg, M.; Daniels, R. Investigations on Alkanediols as Alternative Preservatives in a Nonionic Hydrophilic Cream. Pharmaceutics 2020, 12, 1117. https://doi.org/10.3390/pharmaceutics12111117
Sigg M, Daniels R. Investigations on Alkanediols as Alternative Preservatives in a Nonionic Hydrophilic Cream. Pharmaceutics. 2020; 12(11):1117. https://doi.org/10.3390/pharmaceutics12111117
Chicago/Turabian StyleSigg, Melanie, and Rolf Daniels. 2020. "Investigations on Alkanediols as Alternative Preservatives in a Nonionic Hydrophilic Cream" Pharmaceutics 12, no. 11: 1117. https://doi.org/10.3390/pharmaceutics12111117
APA StyleSigg, M., & Daniels, R. (2020). Investigations on Alkanediols as Alternative Preservatives in a Nonionic Hydrophilic Cream. Pharmaceutics, 12(11), 1117. https://doi.org/10.3390/pharmaceutics12111117

