A Point Mutation in a Herpesvirus Co-Determines Neuropathogenicity and Viral Shedding
Abstract
:1. Introduction
2. Materials and Methods
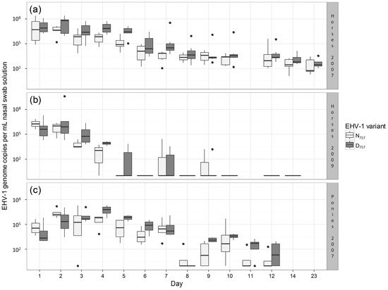
3. Results
4. Discussion
Acknowledgments
Author Contributions
Conflicts of Interest
References
- Lunn, D.; Davis-Poynter, N.; Flaminio, M.; Horohov, D.; Osterrieder, K.; Pusterla, N.; Townsend, H. Equine Herpesvirus-1 Consensus Statement. J. Vet. Internal Med. 2009, 23, 450–461. [Google Scholar] [CrossRef] [PubMed]
- Perkins, G.A.; Goodman, L.B.; Tsujimura, K.; Van de Walle, G.R.; Kim, S.G.; Dubovi, E.J.; Osterrieder, N. Investigation of the prevalence of neurologic equine herpes virus type 1 (EHV-1) in a 23-year retrospective analysis (1984–2007). Vet. Microbiol. 2009, 139, 375–378. [Google Scholar] [CrossRef] [PubMed]
- Nugent, J.; Birch-Machin, I.; Smith, K.; Mumford, J.; Swann, Z.; Newton, J.; Bowden, R.; Allen, G.; Davis-Poynter, N. Analysis of equid herpesvirus 1 strain variation reveals a point mutation of the DNA polymerase strongly associated with neuropathogenic versus nonneuropathogenic disease outbreaks. J. Virol. 2006, 80, 4047–4060. [Google Scholar] [CrossRef] [PubMed]
- Goodman, L.B.; Loregian, A.; Perkins, G.A.; Nugent, J.; Buckles, E.L.; Mercorelli, B.; Kydd, J.H.; Palù, G.; Smith, K.C.; Osterrieder, N. A point mutation in a herpesvirus polymerase determines neuropathogenicity. PLoS Pathog. 2007, 3, e160. [Google Scholar] [CrossRef] [PubMed]
- Van de Walle, G.R.; Goupil, R.; Wishon, C.; Damiani, A.; Perkins, G.A.; Osterrieder, N. A single-nucleotide polymorphism in a herpesvirus DNA polymerase is sufficient to cause lethal neurological disease. J. Infect. Dis. 2009, 200, 20–25. [Google Scholar] [CrossRef] [PubMed]
- US Department of Agriculture Animal and Plant Health Inspection Service. Equine Herpesvirus Myeloencephalopathy: A Potentially Emerging Disease; U.S. Department of Agriculture Animal and Plant Health Inspection Service, 2007. Available online: https://www.aphis.usda.gov/animal_health/emergingissues/downloads/ehv1final.pdf (accessed on 9 December 2008).
- Allen, G.; Bolin, D.; Bryant, U.; Carter, C.; Giles, R.; Harrison, L.; Hong, C.; Jackson, C.; Poonacha, K.; Wharton, R. Prevalence of latent, neuropathogenic equine herpesvirus-1 in the Thoroughbred broodmare population of central Kentucky. Equine Vet. J. 2008, 40, 105–110. [Google Scholar] [CrossRef] [PubMed]
- Smith, K.L.; Allen, G.P.; Branscum, A.J.; Cook, R.F.; Vickers, M.L.; Timoney, P.J.; Balasuriya, U.B. The increased prevalence of neuropathogenic strains of EHV-1 in equine abortions. Vet. Microbiol. 2010, 141, 5–11. [Google Scholar] [CrossRef] [PubMed]
- Henninger, R.W.; Reed, S.M.; Saville, W.J.; Allen, G.P.; Hass, G.F.; Kohn, C.W.; Sofaly, C. Outbreak of Neurologic Disease Caused by Equine Herpesvirus-1 at a University Equestrian Center. J. Vet. Internal Med. 2007, 21, 157–165. [Google Scholar] [CrossRef]
- McGill, R.; Tukey, J.W.; Larsen, W.A. Variations of box plots. Am. Stat. 1978, 32, 12–16. [Google Scholar] [CrossRef]
- Fournier, D.A.; Skaug, H.J.; Ancheta, J.; Ianelli, J.; Magnusson, A.; Maunder, M.N.; Nielsen, A.; Sibert, J. AD Model Builder: Using automatic differentiation for statistical inference of highly parameterized complex nonlinear models. Optim. Methods Softw. 2012, 27, 233–249. [Google Scholar] [CrossRef]
- R Core Team. R: A Language and Environment for Statistical Computing; R Core Team: Vienna, Austria, 2015. [Google Scholar]
- Dryad Digital Repository. Available online: http://dx.doi.org/10.5061/dryad.61k7n (accessed on 5 January 2017).
- Alizon, S.; de Roode, J.C.; Michalakis, Y. Multiple infections and the evolution of virulence. Ecol. Lett. 2013, 16, 556–567. [Google Scholar] [CrossRef] [PubMed]
- Mideo, N.; Alizon, S.; Day, T. Linking within-and between-host dynamics in the evolutionary epidemiology of infectious diseases. Trends Ecol. Evol. 2008, 23, 511–517. [Google Scholar] [CrossRef] [PubMed]
- Alizon, S.; van Baalen, M. Multiple infections, immune dynamics, and the evolution of virulence. Am. Nat. 2008, 172, E150–E168. [Google Scholar] [CrossRef] [PubMed]
- Brown, S.P.; Grenfell, B.T. An unlikely partnership: Parasites, concomitant immunity and host defence. Proc. R. Soc. Lond. B Biol. Sci. 2001, 268, 2543–2549. [Google Scholar] [CrossRef] [PubMed]
- Allen, G.; Breathnach, C. Quantification by real-time PCR of the magnitude and duration of leucocyte-associated viraemia in horses infected with neuropathogenic vs. non-neuropathogenic strains of EHV-1. Equine Vet. J. 2006, 38, 252–257. [Google Scholar] [CrossRef] [PubMed]
- Pusterla, N.; Hussey, G.S. Equine herpesvirus 1 myeloencephalopathy. Vet. Clin. N. Am. Equine Pract. 2014, 30, 489–506. [Google Scholar] [CrossRef] [PubMed]
- Hussey, G.S.; Ashton, L.V.; Quintana, A.M.; Lunn, D.P.; Goehring, L.S.; Annis, K.; Landolt, G. Innate immune responses of airway epithelial cells to infection with Equine herpesvirus-1. Vet. Microbiol. 2014, 170, 28–38. [Google Scholar] [CrossRef] [PubMed]
- Goehring, L.; Hussey, G.; Ashton, L.; Schenkel, A.; Lunn, D. Infection of central nervous system endothelial cells by cell-associated EHV-1. Vet. Microbiol. 2011, 148, 389–395. [Google Scholar] [CrossRef] [PubMed]
- Vandekerckhove, A.P.; Glorieux, S.; Gryspeerdt, A.; Steukers, L.; Duchateau, L.; Osterrieder, N.; Van de Walle, G.; Nauwynck, H. Replication kinetics of neurovirulent versus non-neurovirulent equine herpesvirus type 1 strains in equine nasal mucosal explants. J. Gen. Virol. 2010, 91, 2019–2028. [Google Scholar] [CrossRef] [PubMed]
- Negussie, H.; Li, Y.; Tessema, T.S.; Nauwynck, H.J. Replication characteristics of equine herpesvirus 1 and equine herpesvirus 3: Comparative analysis using ex vivo tissue cultures. Vet. Res. 2016, 47, 1. [Google Scholar] [CrossRef] [PubMed]
- Alizon, S.; Hurford, A.; Mideo, N.; Van Baalen, M. Virulence evolution and the trade-off hypothesis: History, current state of affairs and the future. J. Evol. Biol. 2009, 22, 245–259. [Google Scholar] [CrossRef] [PubMed]
- Bull, J.J.; Lauring, A.S. Theory and empiricism in virulence evolution. PLoS Pathog. 2014, 10, e1004387. [Google Scholar] [CrossRef] [PubMed]
- Cressler, C.E.; McLeod, D.V.; Rozins, C.; van den Hoogen, J.; Day, T. The adaptive evolution of virulence: A review of theoretical predictions and empirical tests. Parasitology 2016, 143, 915–930. [Google Scholar] [CrossRef] [PubMed]
- Paul, R.; Lafond, T.; Müller-Graf, C.; Nithiuthai, S.; Brey, P.; Koella, J. Experimental evaluation of the relationship between lethal or non-lethal virulence and transmission success in malaria parasite infections. BMC Evol. Biol. 2004, 4, 30. [Google Scholar] [CrossRef] [PubMed]
- Salvaudon, L.; Héraudet, V.; Shykoff, J.A.; Koella, J. Parasite-host fitness trade-offs change with parasite identity: Genotype-specific interactions in a plant-pathogen system. Evolution 2005, 59, 2518–2524. [Google Scholar] [CrossRef] [PubMed]
- Mackinnon, M.J.; Gandon, S.; Read, A.F. Virulence evolution in response to vaccination: The case of malaria. Vaccine 2008, 26, C42–C52. [Google Scholar] [CrossRef] [PubMed]
- Mackinnon, M.J.; Read, A.F. Genetic relationships between parasite virulence and transmission in the rodent malaria Plasmodium chabaudi. Evolution 1999, 53, 689–703. [Google Scholar] [CrossRef]
- Ferguson, H.; Mackinnon, M.; Chan, B.; Read, A. Mosquito mortality and the evolution of malaria virulence. Evolution 2003, 57, 2792–2804. [Google Scholar] [CrossRef] [PubMed]
- Atkins, K.E.; Read, A.F.; Savill, N.J.; Renz, K.G.; Walkden-Brown, S.W.; Woolhouse, M.E. Modelling Marek’s Disease Virus (MDV) infection: Parameter estimates for mortality rate and infectiousness. BMC Vet. Res. 2011, 7, 1. [Google Scholar] [CrossRef] [PubMed]
- Alizon, S.; Michalakis, Y. Adaptive virulence evolution: The good old fitness-based approach. Trends Ecol. Evol. 2015, 30, 248–254. [Google Scholar] [CrossRef] [PubMed]
- Schmid Hempel, P.; Schmid-Hempel, P. Evolutionary Parasitologythe Integrated Study of Infections, Immunology, Ecology, and Genetics; Oxford University Press: Oxford, UK, 2011. [Google Scholar]

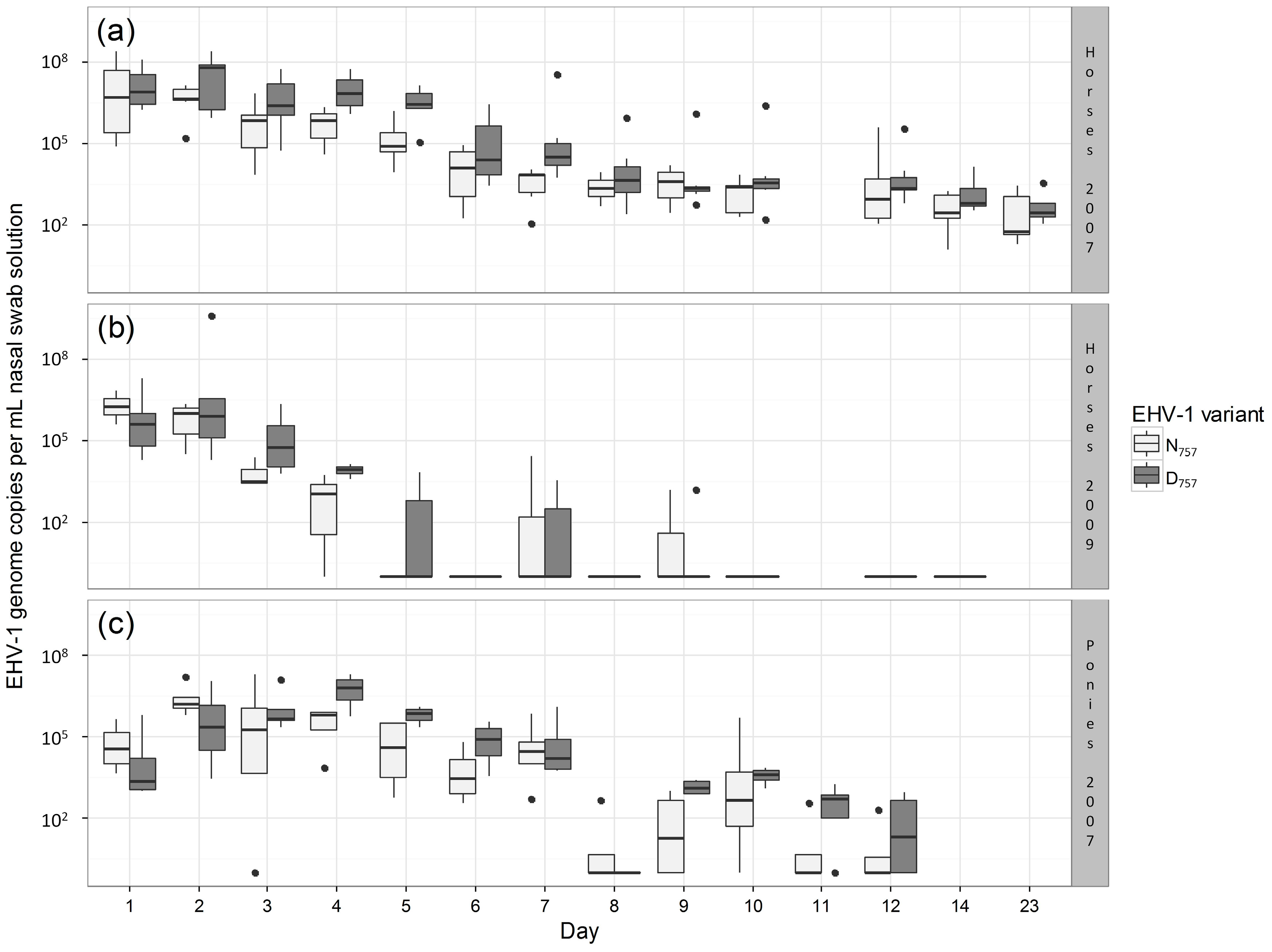
| Experiment | Number of Data Points | Number of Sampling Days | Number of Animals Infected | Estimated Viral Genome Copy Numbers 1 | ||
|---|---|---|---|---|---|---|
| N752 | D752 | N752 | D752 | |||
| Horses 2007 [4] | 178 | 13 | 7 | 7 | 5.2 × 106 ± 3.1 × 107 | 1.2 × 107 ± 3.6 × 107 |
| Horses 2009 [5] | 108 | 12 | 6 | 3 | 3.5 × 105 ± 1.2 × 106 | 5.2 × 107 ± 4.4 × 108 |
| Ponies 2007 [4] | 96 | 12 | 4 | 4 | 9.5 × 105 ± 3.7 × 106 | 1.4 × 106 ± 4.0 × 106 |
© 2017 by the authors; licensee MDPI, Basel, Switzerland. This article is an open access article distributed under the terms and conditions of the Creative Commons Attribution (CC-BY) license (http://creativecommons.org/licenses/by/4.0/).
Share and Cite
Franz, M.; Goodman, L.B.; Van de Walle, G.R.; Osterrieder, N.; Greenwood, A.D. A Point Mutation in a Herpesvirus Co-Determines Neuropathogenicity and Viral Shedding. Viruses 2017, 9, 6. https://doi.org/10.3390/v9010006
Franz M, Goodman LB, Van de Walle GR, Osterrieder N, Greenwood AD. A Point Mutation in a Herpesvirus Co-Determines Neuropathogenicity and Viral Shedding. Viruses. 2017; 9(1):6. https://doi.org/10.3390/v9010006
Chicago/Turabian StyleFranz, Mathias, Laura B. Goodman, Gerlinde R. Van de Walle, Nikolaus Osterrieder, and Alex D. Greenwood. 2017. "A Point Mutation in a Herpesvirus Co-Determines Neuropathogenicity and Viral Shedding" Viruses 9, no. 1: 6. https://doi.org/10.3390/v9010006
APA StyleFranz, M., Goodman, L. B., Van de Walle, G. R., Osterrieder, N., & Greenwood, A. D. (2017). A Point Mutation in a Herpesvirus Co-Determines Neuropathogenicity and Viral Shedding. Viruses, 9(1), 6. https://doi.org/10.3390/v9010006

