Influenza A Virus Infection Induces Preferential Increases in Long-Chain Ceramides
Abstract
1. Introduction
2. Materials and Methods
2.1. Cell Culture
2.2. Viruses and Infection
2.3. Ceramide Extraction
2.4. Ceramide Detection
2.5. Western Blot Analysis
2.6. Statistical Analysis
3. Results
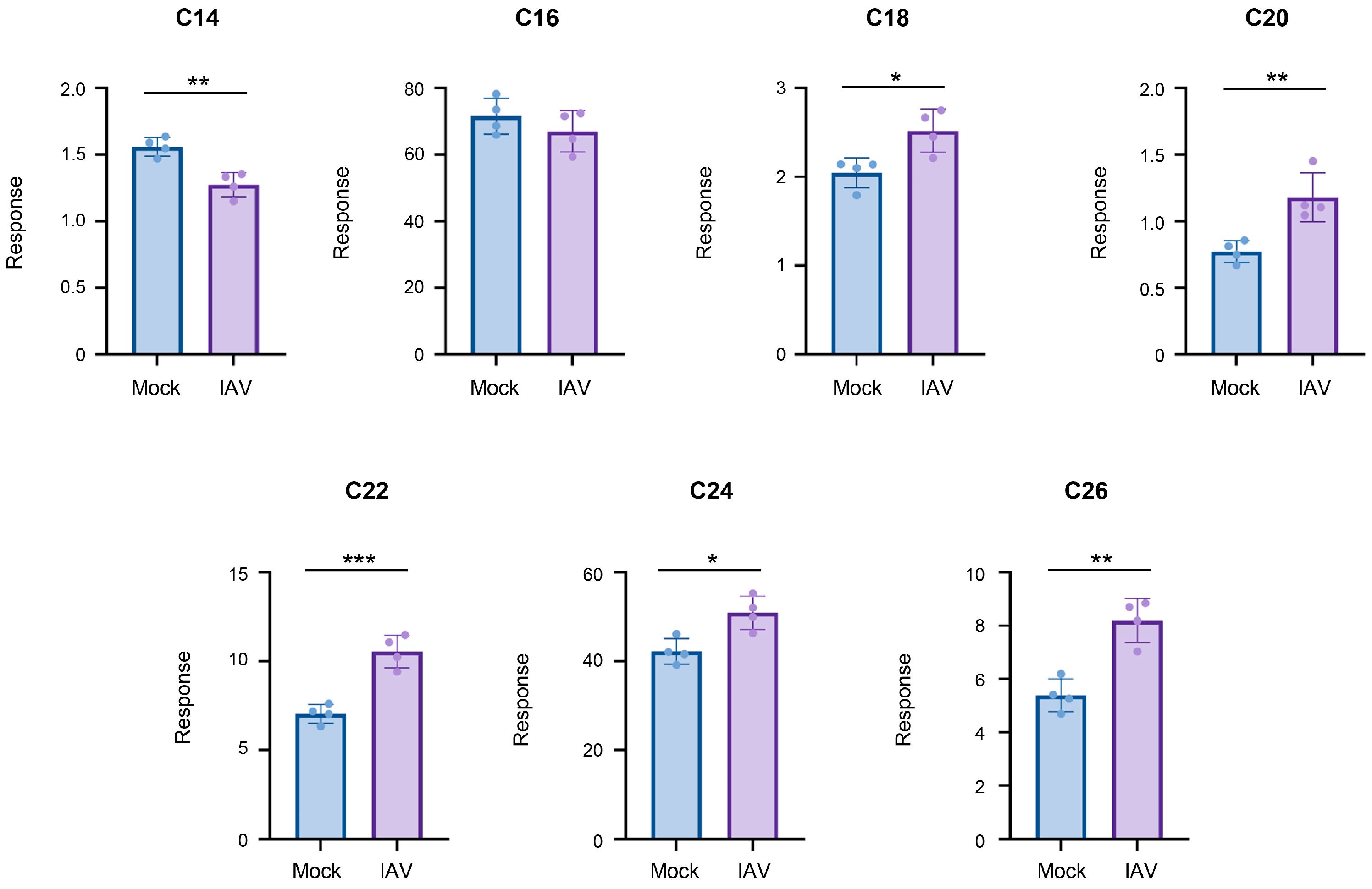
3.1. IAV Infection Alters Cellular Ceramides, with a Preferential Increase in Long-Chain Ceramides
3.2. Human Lung Epithelial A549 Cells Have Two Main Ceramide Species, C16- and C24-Ceramide, That Undergo a Shift During IAV Infection
3.3. IAV Infection Under Various Conditions Results in Consistent Changes in Cellular Ceramides with a Preferred Increase in Long-Chain Ceramides
3.4. IAV Infection Alters Cellular Ceramides in Human Primary Tracheal Epithelial Cells, Resulting in Greater Increase in Long-Chain Ceramides
4. Discussion
Author Contributions
Funding
Institutional Review Board Statement
Informed Consent Statement
Data Availability Statement
Acknowledgments
Conflicts of Interest
References
- Naquin, A.; O’Halloran, A.; Ujamaa, D.; Sundaresan, D.; Masalovich, S.; Cummings, C.N.; Noah, K.; Jain, S.; Kirley, P.D.; Alden, N.B.; et al. Laboratory-Confirmed Influenza-Associated Hospitalizations Among Children and Adults—Influenza Hospitalization Surveillance Network, United States, 2010–2023. MMWR Surveill. Summ. 2024, 73, 1–18. [Google Scholar] [CrossRef]
- Bonomini, A.; Mercorelli, B.; Loregian, A. Antiviral strategies against influenza virus: An update on approved and innovative therapeutic approaches. Cell. Mol. Life Sci. 2025, 82, 75. [Google Scholar] [CrossRef]
- Di Pietra, G.; Munegato, D.; Poletto, C.; Conciatori, V.; Di Sopra, S.; Franchin, E.; Castagliuolo, I.; Salata, C.; Del Vecchio, C. Surveillance of influenza viruses circulating from 2017/2018 to 2023/2024 seasons in Veneto Region, North-East Italy. Virol. J. 2025, 22, 114. [Google Scholar] [CrossRef]
- Rabionet, M.; Engel, R.; Sandhoff, R. Chapter 1-Structure and function of mammalian sphingolipids in health and disease. In Cellular Lipid in Health and Disease; Ntambi, J.M., Ed.; Academic Press: Cambridge, MA, USA, 2023; pp. 1–65. [Google Scholar] [CrossRef]
- Kraft, M.L. Sphingolipid Organization in the Plasma Membrane and the Mechanisms That Influence It. Front. Cell Dev. Biol. 2017, 4, 154. [Google Scholar] [CrossRef]
- Pritzl, C.J.; Seo, Y.J.; Xia, C.; Vijayan, M.; Stokes, Z.D.; Hahm, B. A ceramide analogue stimulates dendritic cells to promote T cell responses upon virus infections. J. Immunol. 2015, 194, 4339–4349. [Google Scholar] [CrossRef] [PubMed]
- Soudani, N.; Hage-Sleiman, R.; Karam, W.; Dbaibo, G.; Zaraket, H. Ceramide Suppresses Influenza A Virus Replication In Vitro. J. Virol. 2019, 93, e00053-19. [Google Scholar] [CrossRef] [PubMed]
- Kawabata, K.; Sato, Y.; Kubo, T.; Tokumura, A.; Nishi, H.; Morimoto, K. Phospholipid analysis of two influenza A virus-infected cell lines differing in their viral replication kinetics. Arch. Virol. 2023, 168, 132. [Google Scholar] [CrossRef]
- Gowda, D.; Ohno, M.; Gowda, S.G.B.; Chiba, H.; Shingai, M.; Kida, H.; Hui, S.-P. Defining the kinetic effects of infection with influenza virus A/PR8/34 (H1N1) on sphingosine-1-phosphate signaling in mice by targeted LC/MS. Sci. Rep. 2021, 11, 20161. [Google Scholar] [CrossRef]
- Ohno, M.; Gowda, S.G.B.; Sekiya, T.; Nomura, N.; Shingai, M.; Hui, S.-P.; Kida, H. The elucidation of plasma lipidome profiles during severe influenza in a mouse model. Sci. Rep. 2023, 13, 14210. [Google Scholar] [CrossRef] [PubMed]
- Wolf, J.J.; Xia, C.; Studstill, C.J.; Ngo, H.; Brody, S.L.; Anderson, P.E.; Hahm, B. Influenza A virus NS1 induces degradation of sphingosine 1-phosphate lyase to obstruct the host innate immune response. Virology 2021, 558, 67–75. [Google Scholar] [CrossRef]
- Studstill, C.J.; Pritzl, C.J.; Seo, Y.J.; Kim, D.Y.; Xia, C.; Wolf, J.J.; Nistala, R.; Vijayan, M.; Cho, Y.B.; Kang, K.W.; et al. Sphingosine kinase 2 restricts T cell immunopathology but permits viral persistence. J. Clin. Investig. 2020, 130, 6523–6538. [Google Scholar] [CrossRef]
- Vijayan, M.; Xia, C.; Song, Y.E.; Ngo, H.; Studstill, C.J.; Drews, K.; Fox, T.E.; Johnson, M.C.; Hiscott, J.; Kester, M.; et al. Sphingosine 1-phosphate lyase enhances the activation of IKKε to promote type I interferon-mediated innate immune response to influenza A virus infection. J. Immunol. 2017, 199, 677–687. [Google Scholar] [CrossRef]
- Xia, C.; Seo, Y.J.; Studstill, C.J.; Vijayan, M.; Wolf, J.J.; Hahm, B. Transient inhibition of sphingosine kinases confers protection to influenza A virus infected mice. Antivir. Res. 2018, 158, 171–177. [Google Scholar] [CrossRef]
- Jung, K.I.; Xia, C.; McKenna, S.; He, Y.; Vijayamahantesh, V.; Wolf, J.J.; Hahm, B. Ceramide synthase 4 interferes with replication of influenza virus but is downregulated by infection. J. Virol. 2025, 99, e01563-25. [Google Scholar] [CrossRef]
- McKenna, S.; Jung, K.I.; Wolf, J.J.; Seo, Y.J.; Hahm, B. Multiple sphingolipid-metabolizing enzymes modulate influenza virus replication. Virology 2025, 603, 110367. [Google Scholar] [CrossRef]
- Seo, Y.J.; Pritzl, C.J.; Vijayan, M.; Bomb, K.; McClain, M.E.; Alexander, S.; Hahm, B. Sphingosine Kinase 1 Serves as a Pro-Viral Factor by Regulating Viral RNA Synthesis and Nuclear Export of Viral Ribonucleoprotein Complex upon Influenza Virus Infection. PLoS ONE 2013, 8, e75005. [Google Scholar] [CrossRef] [PubMed]
- Marsolais, D.; Hahm, B.; Walsh, K.B.; Edelmann, K.H.; McGavern, D.; Hatta, Y.; Kawaoka, Y.; Rosen, H.; Oldstone, M.B.A. A critical role for the sphingosine analog AAL-R in dampening the cytokine response during influenza virus infection. Proc. Natl. Acad. Sci. USA 2009, 106, 1560–1565. [Google Scholar] [CrossRef] [PubMed]
- Oldstone, M.B.A.; Teijaro, J.R.; Walsh, K.B.; Rosen, H. Dissecting Influenza Virus Pathogenesis Uncovers a Novel Chemical Approach to Combat the Infection. Virology 2013, 435, 92–101. [Google Scholar] [CrossRef] [PubMed]
- Drews, K.; Calgi, M.P.; Harrison, W.C.; Drews, C.M.; Costa-Pinheiro, P.; Shaw, J.J.P.; Jobe, K.A.; Nelson, E.A.; Han, J.D.; Fox, T.; et al. Glucosylceramidase Maintains Influenza Virus Infection by Regulating Endocytosis. J. Virol. 2019, 93, e00017-19. [Google Scholar] [CrossRef]
- Xia, C.; Wolf, J.J.; Sun, C.; Xu, M.; Studstill, C.J.; Chen, J.; Ngo, H.; Zhu, H.; Hahm, B. PARP1 Enhances Influenza A Virus Propagation by Facilitating Degradation of Host Type I Interferon Receptor. J. Virol. 2020, 94, e01572-19. [Google Scholar] [CrossRef]
- Dickinson, J.D.; Sweeter, J.M.; Warren, K.J.; Ahmad, I.M.; De Deken, X.; Zimmerman, M.C.; Brody, S.L. Autophagy regulates DUOX1 localization and superoxide production in airway epithelial cells during chronic IL-13 stimulation. Redox Biol. 2017, 14, 272–284. [Google Scholar] [CrossRef]
- Xia, C.; Wolf, J.J.; Vijayan, M.; Studstill, C.J.; Ma, W.; Hahm, B. Casein Kinase 1α Mediates the Degradation of Receptors for Type I and Type II Interferons Caused by Hemagglutinin of Influenza A Virus. J. Virol. 2018, 92, e00006-18. [Google Scholar] [CrossRef]
- Eisfeld, A.J.; Neumann, G.; Kawaoka, Y. Influenza A virus isolation, culture and identification. Nat. Protoc. 2014, 9, 2663–2681. [Google Scholar] [CrossRef] [PubMed]
- Neumann, G.; Watanabe, T.; Ito, H.; Watanabe, S.; Goto, H.; Gao, P.; Hughes, M.; Perez, D.R.; Donis, R.; Hoffmann, E.; et al. Generation of influenza A viruses entirely from cloned cDNAs. Proc. Natl. Acad. Sci. USA 1999, 96, 9345–9350. [Google Scholar] [CrossRef] [PubMed]
- Shaner, R.L.; Allegood, J.C.; Park, H.; Wang, E.; Kelly, S.; Haynes, C.A.; Sullards, M.C.; Merrill, A.H., Jr. Quantitative analysis of sphingolipids for lipidomics using triple quadrupole and quadrupole linear ion trap mass spectrometers. J. Lipid Res. 2009, 50, 1692–1707. [Google Scholar] [CrossRef]
- Petrache, I.; Kamocki, K.; Poirier, C.; Pewzner-Jung, Y.; Laviad, E.L.; Schweitzer, K.S.; Van Demark, M.; Justice, M.J.; Hubbard, W.C.; Futerman, A.H. Ceramide Synthases Expression and Role of Ceramide Synthase-2 in the Lung: Insight from Human Lung Cells and Mouse Models. PLoS ONE 2013, 8, e62968. [Google Scholar] [CrossRef]
- Homaidan, F.R.; El-Sabban, M.E.; Chakroun, I.; El-Sibai, M.; Dbaibo, G.S. IL-1 stimulates ceramide accumulation without inducing apoptosis in intestinal epithelial cells. Mediat. Inflamm. 2002, 11, 39–45. [Google Scholar] [CrossRef] [PubMed]
- Hernández-Corbacho, M.J.; Canals, D.; Adada, M.M.; Liu, M.; Senkal, C.E.; Yi, J.K.; Mao, C.; Luberto, C.; Hannun, Y.A.; Obeid, L.M. Tumor Necrosis Factor-α (TNFα)-induced Ceramide Generation via Ceramide Synthases Regulates Loss of Focal Adhesion Kinase (FAK) and Programmed Cell Death. J. Biol. Chem. 2015, 290, 25356–25373. [Google Scholar] [CrossRef] [PubMed]
- Venkataraman, K.; Riebeling, C.; Bodennec, J.; Riezman, H.; Allegood, J.C.; Sullards, M.C.; Merrill, A.H., Jr.; Futerman, A.H. Upstream of Growth and Differentiation Factor 1 (uog1), a Mammalian Homolog of the Yeast Longevity Assurance Gene 1 (LAG1), RegulatesN-Stearoyl-sphinganine (C18-(Dihydro)ceramide) Synthesis in a Fumonisin B1-independent Manner in Mammalian Cells. J. Biol. Chem. 2002, 277, 35642–35649. [Google Scholar] [CrossRef]
- Laviad, E.L.; Albee, L.; Pankova-Kholmyansky, I.; Epstein, S.; Park, H.; Merrill, A.H., Jr.; Futerman, A.H. Characterization of Ceramide Synthase 2: Tissue Distribution, Substrate Specificity, and Inhibition by Sphingosine 1-Phosphate. J. Biol. Chem. 2008, 283, 5677–5684. [Google Scholar] [CrossRef]
- Mizutani, Y.; Kihara, A.; Igarashi, Y. LASS3 (longevity assurance homologue 3) is a mainly testis-specific (dihydro)ceramide synthase with relatively broad substrate specificity. Biochem. J. 2006, 398, 531–538. [Google Scholar] [CrossRef]
- Riebeling, C.; Allegood, J.C.; Wang, E.; Merrill, A.H.; Futerman, A.H. Two Mammalian Longevity Assurance Gene (LAG1) Family Members, trh1 and trh4, Regulate Dihydroceramide Synthesis Using Different Fatty Acyl-CoA Donors. J. Biol. Chem. 2003, 278, 43452–43459. [Google Scholar] [CrossRef] [PubMed]
- Mizutani, Y.; Kihara, A.; Igarashi, Y. Mammalian Lass6 and its related family members regulate synthesis of specific ceramides. Biochem. J. 2005, 390, 263–271. [Google Scholar] [CrossRef] [PubMed]
- Sun, W.; Jin, J.; Xu, R.; Hu, W.; Szulc, Z.M.; Bielawski, J.; Obeid, L.M.; Mao, C. Substrate Specificity, Membrane Topology, and Activity Regulation of Human Alkaline Ceramidase 2 (ACER2). J. Biol. Chem. 2010, 285, 8995–9007. [Google Scholar] [CrossRef] [PubMed]
- Momoi, T.; Ben-Yoseph, Y.; Nadler, H.L. Substrate-specificities of acid and alkaline ceramidases in fibroblasts from patients with Farber disease and controls. Biochem. J. 1982, 205, 419–425. [Google Scholar] [CrossRef]
- Okazaki, T.; Bielawska, A.; Domae, N.; Bell, R.M.; Hannun, Y.A. Characteristics and partial purification of a novel cytosolic, magnesium-independent, neutral sphingomyelinase activated in the early signal transduction of 1 alpha,25-dihydroxyvitamin D3-induced HL-60 cell differentiation. J. Biol. Chem. 1994, 269, 4070–4077. [Google Scholar] [CrossRef]
- Tirodkar, T.S.; Lu, P.; Bai, A.; Scheffel, M.J.; Gencer, S.; Garrett-Mayer, E.; Bielawska, A.; Ogretmen, B.; Voelkel-Johnson, C. Expression of Ceramide Synthase 6 Transcriptionally Activates Acid Ceramidase in a c-Jun N-terminal Kinase (JNK)-dependent Manner. J. Biol. Chem. 2015, 290, 13157–13167. [Google Scholar] [CrossRef]
- Hu, Z.; Abdelrahman, H.; Elwy, A.; Kuang, F.; Dhiman, S.; Ali, S.; Marson, M.; Holnsteiner, L.; Hamdan, T.A.; Friebus-Kardash, J.; et al. Acid ceramidase regulates CD8+ T-cell exhaustion via type I interferon-mediated upregulation of PD-L1. Front. Immunol. 2025, 16, 1638403. [Google Scholar] [CrossRef]
- Tsuboi, K.; Tai, T.; Yamashita, R.; Ali, H.; Watanabe, T.; Uyama, T.; Okamoto, Y.; Kitakaze, K.; Takenouchi, Y.; Go, S.; et al. Involvement of acid ceramidase in the degradation of bioactive N-acylethanolamines. Biochim. Biophys. Acta (BBA)-Mol. Cell Biol. Lipids 2021, 1866, 158972. [Google Scholar] [CrossRef] [PubMed]
- Bernardo, K.; Hurwitz, R.; Zenk, T.; Desnick, R.J.; Ferlinz, K.; Schuchman, E.H.; Sandhoff, K. Purification, Characterization, and Biosynthesis of Human Acid Ceramidase. J. Biol. Chem. 1995, 270, 11098–11102. [Google Scholar] [CrossRef]
- Sallusto, F.; Nicolò, C.; De Maria, R.; Corinti, S.; Testi, R. Ceramide Inhibits Antigen Uptake and Presentation by Dendritic Cells. J. Exp. Med. 1996, 184, 2411–2416. [Google Scholar] [CrossRef]
- de Araujo Junior, R.F.; Eich, C.; Jorquera, C.; Schomann, T.; Baldazzi, F.; Chan, A.B.; Cruz, L.J. Ceramide and palmitic acid inhibit macrophage-mediated epithelial–mesenchymal transition in colorectal cancer. Mol. Cell. Biochem. 2020, 468, 153–168. [Google Scholar] [CrossRef] [PubMed]
- Kim, M.Y.; Linardic, C.; Obeid, L.; Hannun, Y. Identification of sphingomyelin turnover as an effector mechanism for the action of tumor necrosis factor alpha and gamma-interferon. Specific role in cell differentiation. J. Biol. Chem. 1991, 266, 484–489. [Google Scholar] [CrossRef] [PubMed]
- Seumois, G.; Fillet, M.; Gillet, L.; Faccinetto, C.; Desmet, C.; François, C.; Dewals, B.; Oury, C.; Vanderplasschen, A.; Lekeux, P.; et al. De novo C16- and C24-ceramide generation contributes to spontaneous neutrophil apoptosis. J. Leukoc. Biol. 2007, 81, 1477–1486. [Google Scholar] [CrossRef] [PubMed]
- Furuke, K. Redox-sensitive events in Fas-induced apoptosis in human NK cells include ceramide generation and protein tyrosine dephosphorylation. Int. Immunol. 1998, 10, 1261–1272. [Google Scholar] [CrossRef]







| Compound | Quantifying Transition | Cone Voltage | Collision Energy |
|---|---|---|---|
| C12 * | 482.50 → 81.80 | 20 V | 48 eV |
| C14 | 510.50 → 264.25 | 18 V | 24 eV |
| C16 | 538.50 → 264.25 | 26 V | 26 eV |
| C16-d7 * | 545.50 → 271.25 | 16 V | 26 eV |
| C18 | 566.50 → 264.25 | 20 V | 26 eV |
| C20 | 594.57 → 264.25 | 8 V | 34 eV |
| C22 | 622.60 → 264.25 | 8 V | 30 eV |
| C24 | 650.64 → 264.25 | 20 V | 32 eV |
| C24-d7 * | 657.67 → 271.25 | 10 V | 28 eV |
| C25 * | 664.65 → 264.25 | 28 V | 34 eV |
| C26 | 678.67 → 264.25 | 32 V | 30 eV |
Disclaimer/Publisher’s Note: The statements, opinions and data contained in all publications are solely those of the individual author(s) and contributor(s) and not of MDPI and/or the editor(s). MDPI and/or the editor(s) disclaim responsibility for any injury to people or property resulting from any ideas, methods, instructions or products referred to in the content. |
© 2026 by the authors. Licensee MDPI, Basel, Switzerland. This article is an open access article distributed under the terms and conditions of the Creative Commons Attribution (CC BY) license.
Share and Cite
McKenna, S.; Jung, K.I.; Sumner, B.; Wolf, J.J.; Sumner, L.W.; Hahm, B. Influenza A Virus Infection Induces Preferential Increases in Long-Chain Ceramides. Viruses 2026, 18, 339. https://doi.org/10.3390/v18030339
McKenna S, Jung KI, Sumner B, Wolf JJ, Sumner LW, Hahm B. Influenza A Virus Infection Induces Preferential Increases in Long-Chain Ceramides. Viruses. 2026; 18(3):339. https://doi.org/10.3390/v18030339
Chicago/Turabian StyleMcKenna, Savannah, Kwang Il Jung, Barbara Sumner, Jennifer J. Wolf, Lloyd W. Sumner, and Bumsuk Hahm. 2026. "Influenza A Virus Infection Induces Preferential Increases in Long-Chain Ceramides" Viruses 18, no. 3: 339. https://doi.org/10.3390/v18030339
APA StyleMcKenna, S., Jung, K. I., Sumner, B., Wolf, J. J., Sumner, L. W., & Hahm, B. (2026). Influenza A Virus Infection Induces Preferential Increases in Long-Chain Ceramides. Viruses, 18(3), 339. https://doi.org/10.3390/v18030339

