Expert Elicitation on Exposure to Tick Bites and Tick-Borne Encephalitis Risk in Occupational and Recreational Forest Activities
Abstract
1. Introduction
2. Materials and Methods
2.1. Context and Expert-Opinion Elicitation
- ▪
- Sheet entitled ‘Expert information’: this was intended to briefly describe the profile of the expert completing the questionnaire.
- ▪
- A set of seven sheets concerning the various criteria considered: (1) frequency of the activity; (2) seasonality; (3) duration of exposure; (4) distance covered; (5) degree of contact with vegetation; (6) speed; and (7) average level of protection against tick bites. These sheets were designed to gather the opinion of each expert by assigning a score for each of the criteria defined for each activity. Each sheet in the file provided the necessary instructions and details (e.g., definitions of activities and scores) (Table 1 and Table 2).
- ▪
- Sheet entitled ‘weighting of criteria’: this was intended to distribute a fixed number of points (n = 70) among the seven various criteria mentioned above. If the expert considered the criteria to be equivalent, he/she assigned the same number of points to each. Otherwise, he/she assigned the number of points in proportion to the relative importance of the criteria considered.
- ▪
- Sheet entitled ‘uncertainty’: for each criterion, they were also asked to give an uncertainty rating between 1 (minimum uncertainty) and 5 (maximum uncertainty).
2.2. Scoring System and Clustering of Activities
2.3. Sensitivity Analysis
2.4. Uncertainty Analysis and Additional Statistical Analysis
3. Results
3.1. Number of Experts and Their Field of Expertise
3.2. Relative Importance of Criteria and Their Uncertainty
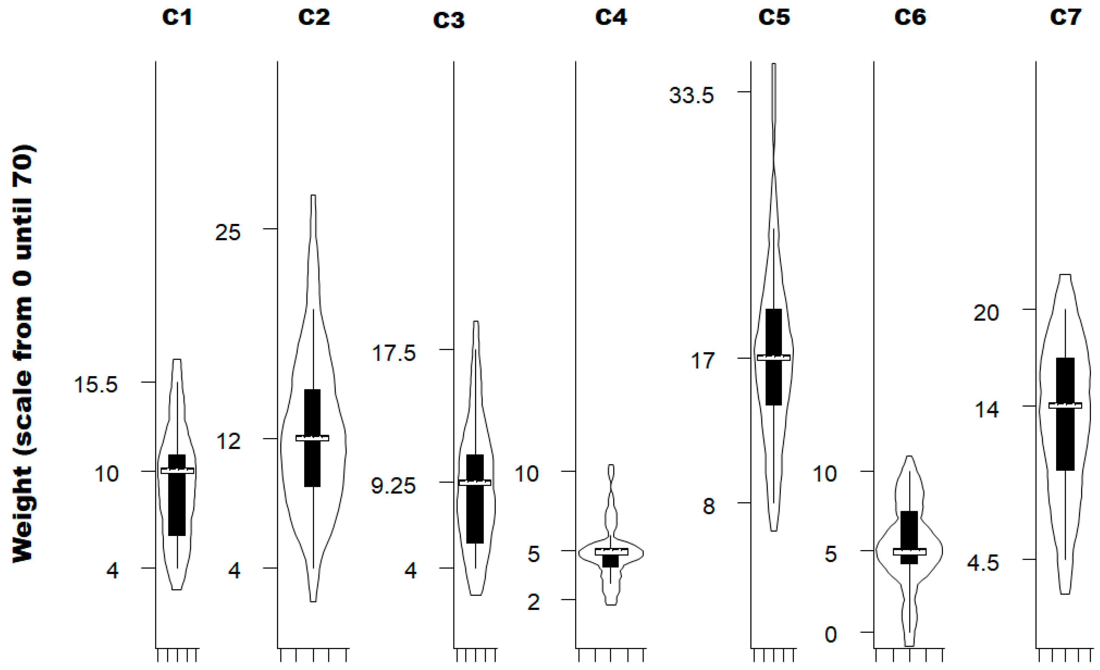
3.3. Ranking and Clustering of Forest Activities
3.4. Sensitivity Analysis
4. Discussion
5. Conclusions
Author Contributions
Funding
Institutional Review Board Statement
Data Availability Statement
Acknowledgments
Conflicts of Interest
References
- Süss, J. Tick-borne encephalitis 2010: Epidemiology, risk areas, and virus strains in Europe and Asia-an overview. Ticks Tick Borne Dis. 2011, 2, 2–15. [Google Scholar] [CrossRef]
- Cassini, A.; Colzani, E.; Pini, A.; Mangen, M.J.J.; Plass, D.; McDonald, S.A.; Maringhini, G.; van Lier, A.; Haagsma, J.A.; Havelaar, A.H.; et al. Impact of infectious diseases on population health using incidence-based disability-adjusted life years (DALYs): Results from the Burden of Communicable Diseases in Europe study, European Union and European Economic Area countries, 2009 to 2013. Eurosurveillance 2018, 23, 17–00454. [Google Scholar] [CrossRef]
- Šmit, R.; Postma, M.J. The Burden of Tick-Borne Encephalitis in Disability-Adjusted Life Years (DALYs) for Slovenia. PLoS ONE 2015, 10, e0144988. [Google Scholar] [CrossRef] [PubMed]
- Scaggiante, R.; Guadagni, L.; Orso, M.; d’Angela, D.; Carrieri, C.; Polistena, B.; Spandonaro, F.; Bertoldi, I.; Pilz, A.; Schley, K.; et al. Incidence, healthcare resource utilization and costs of hospitalized patients with tick-borne encephalitis (TBE) in Italy. Ticks Tick. Borne Dis. 2024, 15, 102372. [Google Scholar] [CrossRef]
- Slunge, D.; Boman, A.; Studahl, M. Burden of Tick-Borne Encephalitis, Sweden. Emerg. Infect. Dis. 2022, 28, 314–322. [Google Scholar] [CrossRef] [PubMed]
- Saegerman, C.; Humblet, M.-F.; Leandri, M.; Gonzalez, G.; Heyman, P.; Sprong, H.; L’Hostis, M.; Moutailler, S.; Bonnet, S.I.; Haddad, N.; et al. First Expert Elicitation of Knowledge on Possible Drivers of Observed Increasing Human Cases of Tick-Borne Encephalitis in Europe. Viruses 2023, 15, 791. [Google Scholar] [CrossRef]
- Kunze, U. The International Scientific Working Group on Tick-Borne Encephalitis (ISW TBE): Review of 17 years of activity and commitment. Ticks Tick. Borne Dis. 2016, 7, 399–404. [Google Scholar] [CrossRef] [PubMed]
- Šodková, M.; Purwestri, R.C.; Riedl, M.; Jarský, V.; Hájek, M. Drivers and Frequency of Forest Visits: Results of a National Survey in the Czech Republic. Forests 2020, 11, 414. [Google Scholar] [CrossRef]
- Jore, S.; Viljugreinb, H.; Hjertqvistd, M.; Dube, T.; Mäkeläe, H. Outdoor recreation, tick borne encephalitis incidence and seasonality in Finland, Norway and Sweden during the COVID-19 pandemic (2020/2021). Infect. Ecol. Epidemiol. 2023, 13, 2281055. [Google Scholar] [CrossRef]
- Jenkins, V.A.; Silbernagl, G.; Baer, L.R.; Hoet, B. The epidemiology of infectious diseases in Europe in 2020 versus 2017–2019 and the rise of tick-borne encephalitis (1995–2020). Ticks Tick Borne Dis. 2022, 13, 101972. [Google Scholar] [CrossRef]
- Randolph, S.E. Dynamics of Tick-Borne Disease Systems: Minor Role of Recent Climate Change. Rev. Sci. Tech. 2008, 27, 367–381. [Google Scholar] [CrossRef] [PubMed]
- Grillon, A.; Sauleau, E.; Boulanger, N. Risk of Ixodes Ricinus Bites in a Population of Forestry Workers in an Endemic Region in France. Pathogens 2024, 13, 696. [Google Scholar] [CrossRef]
- Boyer, P.H.; Barthel, C.; Mohseni-Zadeh, M.; Talagrand-Reboul, E.; Frickert, M.; Jaulhac, B.; Boulanger, N. Impact of Different Anthropogenic Environments on Ticks and Tick-Associated Pathogens in Alsace, a French Region Highly Endemic for Tick-Borne Diseases. Microorganisms 2022, 10, 245. [Google Scholar] [CrossRef]
- Randolph, S.E.; EDEN-TBD sub-project team. Human activities predominate in determining changing incidence of tick-borne encephalitis in Europe. Eurosurveillance 2010, 15, 24–31. [Google Scholar] [CrossRef] [PubMed]
- Saegerman, C.; Parisi, G.; Niemi, J.; Humblet, M.-F.; Ron-Román, J.; Souley Kouato, B.; Allepuz, A.; Porphyre, V.; Rodrigues da Costa, M.; Renault, V. Evaluation Survey on Agreement with Existing Definitions of Biosecurity with a Focus on Livestock. Animals 2023, 13, 1518. [Google Scholar] [CrossRef]
- Skinner, R.; Ryan, N.R.; Chin, W.W.; Land, L. The Delphi Method Research Strategy in Studies of Information Systems. Commun. Assoc. Inf. Syst. 2015, 37, 31–63. [Google Scholar] [CrossRef]
- Rowe, G.; Wright, G. Expert opinions in forecasting: The role of the Delphi Technique. In Principles of Forecasting 2001; Armstrong, J., Ed.; Kluwer Academic: Boston, MA, USA, 2001; pp. 125–144. [Google Scholar] [CrossRef]
- Baldwin-Morgan, A. The impact of expert system audit tools on auditing firms in the year 2001: A Delphi investigation. Inf. Syst. J. 1993, 7, 16–34. Available online: https://api.semanticscholar.org/CorpusID:59076346 (accessed on 1 January 2026).
- Doke, E.R.; Swanson, N.E. Decision variables for selecting prototyping in information systems development: A Delphi Study of MIS managers. Inf. Manag. 1995, 29, 173–183. [Google Scholar] [CrossRef]
- Keil, M.; Tiwana, A.; Bush, A.A. Reconciling user and project manager perceptions of IT project risk: A Delphi study. Inf. Syst. J. 2002, 12, 103–119. [Google Scholar] [CrossRef]
- Tiwana, A.; McLean, E.R. Expertise Integration and Creativity in Information Systems Development. J. Manag. Inf. Syst. 2005, 22, 13–43. [Google Scholar] [CrossRef]
- Akkermans, H.A.; Bogerd, P.; Yucesan, E.; van Wassenhove, L.N. The impact of ERP on supply chain management: Exploratory findings from a European Delphi study. Eur. J. Oper. Res. 2003, 146, 284–301. [Google Scholar] [CrossRef]
- Daniel, E.; White, A. The future of inter-organisational system linkages: Findings of an international Delphi study. Eur. J. Inf. Syst. 2005, 14, 188–203. [Google Scholar] [CrossRef]
- Kasi, V.; Keil, M.; Mathiassen, L.; Pedersen, K. The post-mortem paradox: A Delphi study of IT specialist perceptions. Eur. J. Inf. Syst. 2008, 17, 62–78. [Google Scholar] [CrossRef]
- De Haes, S.; Van Grembergen, W. An exploratory study into IT governance implementations and its impact on business/IT alignment. Inf. Syst. Manag. 2009, 26, 123–137. [Google Scholar] [CrossRef]
- Aspinall, W. A route to more tractable expert advice. Nature 2010, 463, 294–295. [Google Scholar] [CrossRef]
- Baldwin, A.; Trinkle, B. The impact of XBRL: A Delphi investigation. Int. J. Digit. Account. Res. 2011, 11, 1–24. [Google Scholar] [CrossRef]
- Worrell, J.L.; Di Gangi, P.M.; Bush, A.A. Exploring the use of the Delphi method in accounting information systems research. Int. J. Account. Inf. Syst. 2013, 14, 193–208. [Google Scholar] [CrossRef]
- Morgan, M.G. Use (and abuse) of expert elicitation in support of decision making for public policy. Proc. Natl. Acad. Sci. USA 2014, 111, 7176–7184. [Google Scholar] [CrossRef] [PubMed]
- Brockhoff, K. The performance of forecasting groups in computer dialogue and face-to-face discussion. In The Delphi Method: Techniques and Applications; Linstone, H.A., Turoff, M., Eds.; Addison-Wesley: Reading, MA, USA, 1975; pp. 292–321. [Google Scholar]
- Boje, D.M.; Murnighan, J.K. Group confidence pressures decisions. Manag. Sci. 1982, 10, 1187–1196. [Google Scholar] [CrossRef]
- Martino, J.P. Looking Ahead with Confidence. IEEE 1985, 22, 76–81. [Google Scholar]
- Hofhuis, A.; van den Berg, O.E.; Meerstadt-Rombach, F.S.; van den Wijngaard, C.C.; Chung, N.H.; Franz, E.; Reimerink, J.H.J. Exposure to tick-borne encephalitis virus among nature management workers in the Netherlands. Ticks Tick. Borne Dis. 2021, 12, 101762. [Google Scholar] [CrossRef]
- Figoni, J.; Chirouze, C.; Hansmann, Y.; Lemogne, C.; Hentgen, V.; Saunier, A.; Bouiller, K.; Gehanno, J.; Rabaud, C.; Perrot, S.; et al. Lyme Borreliosis and Other Tick-Borne Diseases. Guidelines from the French Scientific Societies (I): Prevention, Epidemiology, Diagnosis. Med. Mal. Infect. 2019, 49, 318–334. [Google Scholar] [CrossRef] [PubMed]
- Eisen, L. Personal protection measures to prevent tick bites in the United States: Knowledge gaps, challenges, and opportunities. Ticks Tick. Borne Dis. 2022, 13, 101944. [Google Scholar] [CrossRef]
- HCSP. Recommandations Sanitaires 2024 Aux Voyageurs. Rapport de l’HCSP. Paris: Haut Conseil de la Santé Publique. 2024. Available online: https://www.hcsp.fr/Explore.cgi/avisrapportsdomaine?clefr=1379 (accessed on 1 January 2026).
- Rolfe, R.J.; Zavala, S.; Blackwood, E.R.; LaRocque, R.C.; Ryan, E.T. Mosquito-Borne Infections in International Travelers. Wilderness Env. Med. 2025, 21, 10806032251356485. [Google Scholar] [CrossRef]
- HCSP. Recommandations Sanitaires 2023 Pour les Voyageurs; Rapport de l’HCSP; Haut Conseil de la Santé Publique: Paris, France, 2023. [Google Scholar]
- Septfons, A.; Figoni, J.; Gautier, A.; Soullier, N.; De Valk, H.; Desenclos, J.C. Increased Awareness and Knowledge of Lyme Borreliosis and Tick Bite Prevention among the General Population in France: 2016 and 2019 Health Barometer Survey. BMC Public Health 2021, 21, 1808. [Google Scholar] [CrossRef]
- Mowbray, F.; Amlôt, R.; Rubin, G.J. Predictors of Protective Behaviour against Ticks in the UK: A Mixed Methods Study. Ticks Tick-Borne Dis. 2014, 5, 392–400. [Google Scholar] [CrossRef]
- Beaujean, D.J.M.A.; Bults, M.; Van Steenbergen, J.E.; Voeten, H.A.C.M. Study on Public Perceptions and Protective Behaviors Regarding Lyme Disease among the General Public in the Netherlands: Implications for Prevention Programs. BMC Public Health 2013, 13, 225. [Google Scholar] [CrossRef]
- Hermance, M.E.; Thangamani, S. Tick–Virus–Host Interactions at the Cutaneous Interface: The Nidus of Flavivirus Transmission. Viruses 2018, 10, 362. [Google Scholar] [CrossRef] [PubMed]
- Pustijanac, E.; Buršić, M.; Talapko, J.; Škrlec, I.; Meštrović, T.; Lišnjić, D. Tick-Borne Encephalitis Virus: A Comprehensive Review of Transmission, Pathogenesis, Epidemiology, Clinical Manifestations, Diagnosis, and Prevention. Microorganisms 2023, 11, 1634. [Google Scholar] [CrossRef]
- Hofhuis, A.; van de Kassteele, J.; Sprong, H.; van den Wijngaard, C.C.; Harms, M.G.; Fonville, M.; Docters van Leeuwen, A.; Simões, M.; van Pelt, W. Predicting the risk of Lyme borreliosis after a tick bite, using a structural equation model. PLoS ONE 2017, 12, e0181807. [Google Scholar] [CrossRef] [PubMed]
- Bord, S.; Dernat, S.; Ouillon, L.; René-Martellet, M.; Vourc’h, G.; Lesens, O.; Forestier, C.; Lebert, I. Tick ecology and Lyme borreliosis prevention: A regional survey of pharmacists’ knowledge in Auvergne-Rhône-Alpes, France. Ticks Tick. Borne Dis. 2022, 13, 101932. [Google Scholar] [CrossRef] [PubMed]
- Twohig-Bennett, C.; Jones, A. The health benefits of the great outdoors: A systematic review and meta-analysis of greenspace exposure and health outcomes. Env. Res. 2018, 166, 628–637. [Google Scholar] [CrossRef] [PubMed]
- Chen, D.; Lu, X.; Wang, W.; Zhang, Y.; Liu, T.; Liu, H.; Zhang, L.; Peng, X.; Lv, S.; Wang, Z.; et al. The Prevalence of Tick-Borne Encephalitis Virus Infection Among Humans in Heilongjiang Province of China in 2020–2023. Zoonoses Public Health 2024, 71, 955–961. [Google Scholar] [CrossRef] [PubMed]
- Anses. Analyse des Risques Liés à L’émergence de L’encéphalite à Tiques en France Hexagonale (saisine 2022-AUTO-0088); Anses: Maisons-Alfort, France, 2025; p. 328. Available online: https://www.anses.fr/system/files/SABA2022-AUTO-0088-RA-REV.pdf (accessed on 1 January 2026).




| Activity | Definition |
|---|---|
| (i) Professional activities | |
| A01. Scientific and/or analytical activities | Activities related to experimentation, prospecting, or collection in forests by naturalists, entomologists, geologists, botanists, mycologists, etc. |
| A02. Forestry and timber industry activities | Forestry activities aimed at maintaining forests for commercial exploitation (reforestation, planting, forest regeneration) or forestry operations, covering activities related to timber harvesting in the broad sense (felling, skidding, etc.). |
| A03. Forest protection activities | Activities related to the protection or monitoring of a specific forest area. The professionals involved are mainly forest rangers, forest naturalists, etc. |
| (ii) Leisure activities | |
| A04. Walk | A walk is a pedestrian route undertaken for the purpose of going outdoors to relax or exercise. |
| A05. Hiking | Hiking is an outdoor sporting activity that involves planning and following a route on foot, without running. |
| A06. Nordic walking | Nordic walking is a dynamic form of walking in the countryside. It combines endurance and aerobic exercise with fast walking using special walking poles. |
| A07. Jogging in a wooded area (slow running) | Running for physical exercise. |
| A08. Trail | A trail run is a running event that takes place in a natural environment. |
| A09. Orienteering | It is a race against the clock on varied terrain, on a course marked with checkpoints that competitors must find by following routes of their choice, using a map and compass. |
| A10. Fitness trail | This is a sporting walk punctuated by a series of physical or meditative activities, usually in a natural setting. |
| A11. Picking berries or fruit | An activity that involves picking edible fruits (especially berries), seeds, leaves, stems, or roots from certain plants found in nature. |
| A12. Mushroom picking | An activity that involves picking mushrooms in nature. |
| A13. Mountain bike | Mountain biking is a cycling activity practised on rough terrain, away from paved roads. |
| A14. Touring bike | Touring cycling is a sporting and leisure activity that involves riding on paths and trails at varying speeds. |
| A15. Horse riding | Horse riding, which can be mounted or harnessed, is an outdoor leisure activity. It is also referred to as outdoor riding or nature riding. |
| A16. Off-road motorcycling | Motorcycling activities that take place on dirt roads or unpaved tracks that are more or less wild. This includes enduro, trail and touring activities. |
| A17. Quad | An activity that involves driving an open-top, single-seater or two-seater, four-wheeled off-road vehicle for trail riding. |
| A18. Tree climbing | An outdoor sport practised in forests, combining climbing and moving from tree to tree along a secure course. |
| A19. Climbing | A sport that involves climbing a rock face to reach the summit of a mountain. |
| A20. Nature activities | Naturalists’ activities include observing, protecting, photographing and analysing ‘natural beings’ in the fields of botany, zoology and mineralogy. |
| A21. Forest therapy (forest bathing), relaxation | A practice that involves connecting with nature to improve mental and physical health. |
| A22. Fishing (pond and river) | Fishing is the activity of catching aquatic animals (fish, crustaceans, cephalopods, etc.) in their forest habitat (streams, ponds, lakes, pools). |
| A23. Lying/sitting on the grass | An activity that involves staying in a stationary position on the ground, in the grass, to rest, contemplate nature or eat (picnic). |
| A24. Outdoor games | Recreational activities that take place outdoors in an unstructured and freely chosen manner. These may include sports games (pétanque, frisbee, ball games, etc.), children’s games, treasure hunts, life-size role-playing games, etc. |
| A25. Wood gathering/harvesting (cutting wood for private individuals) | In several countries, cutting or collecting wood in forests is strictly regulated. Wood gathering is the right of local residents to cut wood on communal land. |
| A26. Spending the night in the forest | This may involve spending the night in the forest in a more or less basic camp, usually as part of an activity such as scouting, camping or bivouacking for a hike. |
| C. Hunting activities | |
| A27. Hunting as shooting and battue | Hunting with firearms (shotguns, rifles or bows), which can be practised individually or in groups, without dogs or with one or more dogs. |
| A28. Stalking | Hunting from a hide, in which the hunter waits for game in a specific location, hidden and ready to shoot. |
| Criterion (Number of Score Modalities) | Score | Definition |
|---|---|---|
| Frequency of activity (4 modalities) | 1 | Very occasionally (a few times a year) |
| 2 | Occasionally (once or twice a month) | |
| 3 | Fairly frequently (once or twice a week) | |
| 4 | Frequently (more than twice a week) | |
| Seasonality (4 modalities) | 1 | Never during the tick season |
| 2 | Sometimes during the tick season | |
| 3 | Frequently during the tick season | |
| 4 | Still during the tick activity period | |
| Duration of exposure (4 modalities) | 1 | Less than 1 h |
| 2 | Between 1 and 4 h | |
| 3 | Between 4 and 8 h | |
| 4 | More than 8 h | |
| Distance covered during the activity (5 modalities) | 0 | Less than 1 km |
| 1 | Between 1 and 5 km | |
| 2 | Between 5 and 20 km | |
| 3 | Between 20 and 50 km | |
| 4 | More than 50 km | |
| Degree of contact with vegetation (5 modalities) | 0 | Negligible to none |
| 1 | Low | |
| 2 | Medium | |
| 3 | High | |
| 4 | Very high | |
| Speed during the activity (5 modalities) | 0 | On-site activity |
| 1 | Less than 3 km/h | |
| 2 | Between 3 and 8 km/h | |
| 3 | Between 8 and 13 km/h | |
| 4 | More than 13 km/h | |
| Overall level of protection against tick bites (9 modalities) | 0 | No protection |
| 1 | Non-specific protection provided by clothing or protection related to the activity performed (e.g., motorcycle suit). | |
| 2 | Specific use of protective clothing | |
| 3 | Specific use of skin repellents | |
| 4 | Body inspection after exposure | |
| 5 | Use of two specific means of protection: wearing protective clothing and using skin repellents | |
| 6 | Use of two specific means of protection: wearing protective clothing and body inspection after exposure | |
| 7 | Use of two specific means of protection: use of skin repellents and body inspection after exposure. | |
| 8 | Use of three specific means of protection: wearing protective clothing, use of skin repellents and body inspection after exposure |
Disclaimer/Publisher’s Note: The statements, opinions and data contained in all publications are solely those of the individual author(s) and contributor(s) and not of MDPI and/or the editor(s). MDPI and/or the editor(s) disclaim responsibility for any injury to people or property resulting from any ideas, methods, instructions or products referred to in the content. |
© 2026 by the authors. Licensee MDPI, Basel, Switzerland. This article is an open access article distributed under the terms and conditions of the Creative Commons Attribution (CC BY) license.
Share and Cite
Saegerman, C.; Quillery, E.; Leandri, M.; Raimond, V.; Kooh, P.; Fravalo, P.; Hoch, T.; Hansman, Y.; Boulanger, N. Expert Elicitation on Exposure to Tick Bites and Tick-Borne Encephalitis Risk in Occupational and Recreational Forest Activities. Viruses 2026, 18, 82. https://doi.org/10.3390/v18010082
Saegerman C, Quillery E, Leandri M, Raimond V, Kooh P, Fravalo P, Hoch T, Hansman Y, Boulanger N. Expert Elicitation on Exposure to Tick Bites and Tick-Borne Encephalitis Risk in Occupational and Recreational Forest Activities. Viruses. 2026; 18(1):82. https://doi.org/10.3390/v18010082
Chicago/Turabian StyleSaegerman, Claude, Elsa Quillery, Marc Leandri, Véronique Raimond, Pauline Kooh, Philippe Fravalo, Thierry Hoch, Yves Hansman, and Nathalie Boulanger. 2026. "Expert Elicitation on Exposure to Tick Bites and Tick-Borne Encephalitis Risk in Occupational and Recreational Forest Activities" Viruses 18, no. 1: 82. https://doi.org/10.3390/v18010082
APA StyleSaegerman, C., Quillery, E., Leandri, M., Raimond, V., Kooh, P., Fravalo, P., Hoch, T., Hansman, Y., & Boulanger, N. (2026). Expert Elicitation on Exposure to Tick Bites and Tick-Borne Encephalitis Risk in Occupational and Recreational Forest Activities. Viruses, 18(1), 82. https://doi.org/10.3390/v18010082

