Ruvidar®—An Effective Anti-Herpes Simplex Virus Agent
Abstract
1. Introduction
2. Materials and Methods
2.1. Cells and Viruses
2.2. Drug Treatments
2.3. Cell Viability Determinations
2.4. Selection of Drug-Resistant HSV-1 Mutants
2.5. Infectious Virus Enumeration
3. Results
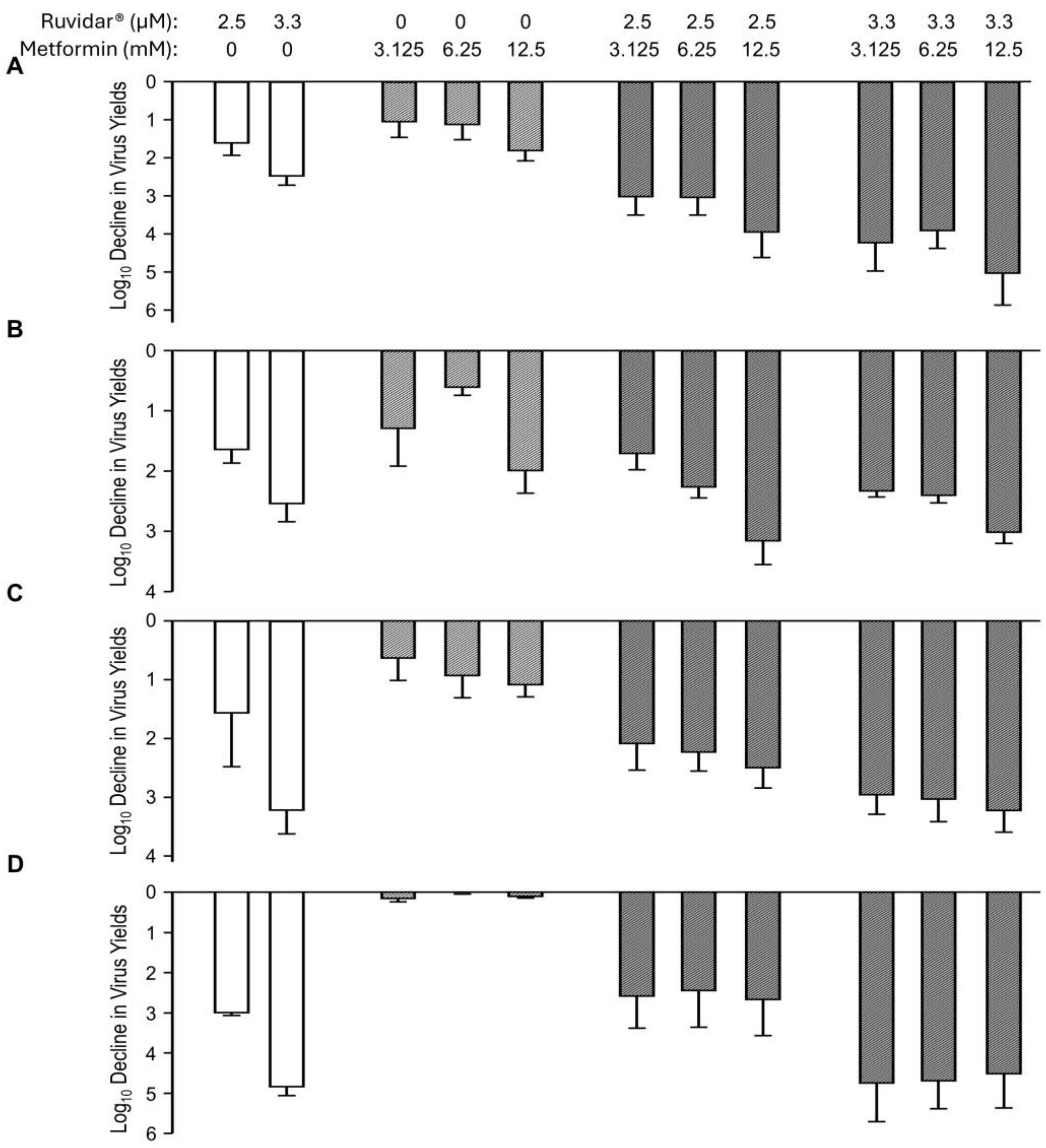
3.1. Ruvidar®, Acyclovir, and Metformin All Demonstrate Anti-HSV-1 Activity When Used Prophylactically
3.2. Ruvidar® Alone Demonstrates Anti-HSV-1 Activity When Used Therapeutically
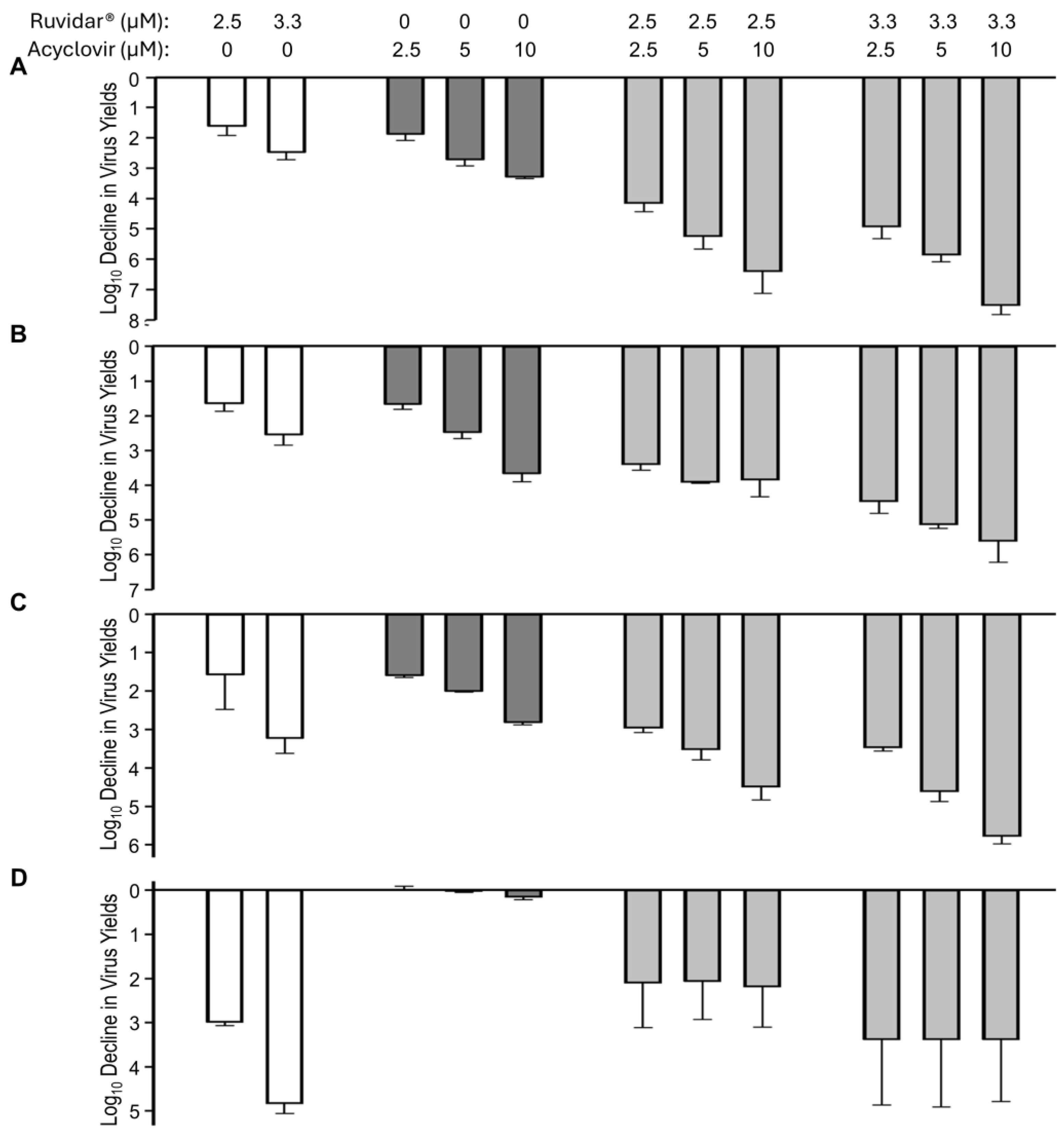
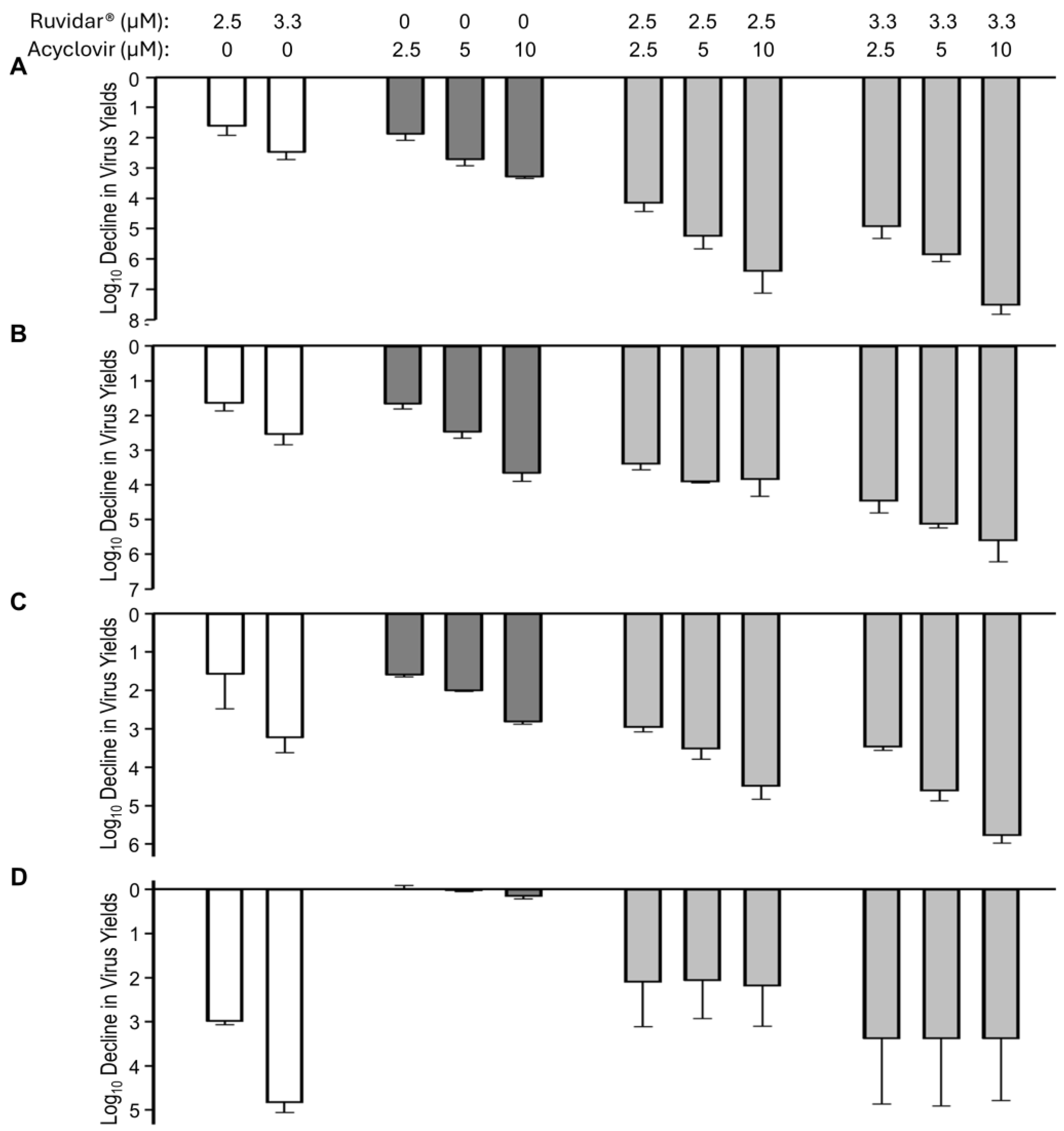
3.3. Ruvidar® and Acyclovir in Combination Had a Greater Anti-HSV-1 Effect
3.4. Acyclovir-Resistant HSV-1 Mutants Are Inhibited by Ruvidar®
3.5. Ruvidar® Also Inhibits HSV-1 and Acyclovir-Resistant HSV-1 Mutants in U251 Astrocytes
3.6. Ruvidar® Protects HSV-1-Infected Cells from Cytopathology
4. Discussion
5. Conclusions
Author Contributions
Funding
Institutional Review Board Statement
Informed Consent Statement
Data Availability Statement
Acknowledgments
Conflicts of Interest
Abbreviations
| DMEM | Dulbecco’s Minimal Essential Medium |
| DMSO | Dimethyl Sulfoxide |
| HSV | Herpes Simplex Virus |
References
- de Jong, J.C.; Beyer, W.E.P.; Palache, A.M.; Rimmelzwaan, G.F.; Osterhaus, A.D.M.E. Mismatch between the 1997/1998 influenza vaccine and the major epidemic A(H3N2) virus strain as the cause of an inadequate vaccine-induced antibody response to this strain in the elderly. J. Med. Virol. 2000, 61, 94–99. [Google Scholar] [CrossRef]
- Chan, M.C.W.; Wang, M.H.; Chen, Z.G.; Hui, D.S.C.; Kwok, A.K.; Yeung, A.C.M.; Liu, K.M.; Yeoh, Y.K.; Lee, N.; Chan, P.K.S. Frequent genetic mismatch between vaccine strains and circulating seasonal Influenza viruses, Hong Kong, China, 1996–2012. Emerging Infect. Dis. 2018, 24, 1825–1834. [Google Scholar] [CrossRef] [PubMed]
- Monto, A.S.; McKimm-Breschkin, J.L.; Macken, C.; Hampson, A.W.; Hay, A.; Klimov, A.; Tashiro, M.; Webster, R.G.; Aymard, M.; Hayden, F.G.; et al. Detection of influenza viruses resistant to neuraminidase inhibitors in global surveillance during the first 3 years of their use. Antimicrob. Agents Chemother. 2006, 50, 2395–2402. [Google Scholar] [CrossRef]
- Colman, P.M. New antivirals and drug resistance. Annu. Rev. Biochem. 2009, 78, 95–118. [Google Scholar] [CrossRef]
- Krol, E.; Rychowska, M.; Szewczyk, B. Antivirals—Current trends in fighting influenza. Acta Biochim. Pol. 2014, 61, 495–504. [Google Scholar] [CrossRef]
- Pellett, P.E.; Roizman, B. Herpesviridae. In Fields Virology; Knipe, D., Howley, P.M., Eds.; Lippincott Williams & Wilkins: Philadelphia, PA, USA, 2013; pp. 1802–1821. [Google Scholar]
- Wald, A.; Corey, L. Persistence in the population: Epidemiology, transmission. In Human Herpesviruses: Biology, Therapy, and Immunoprophylaxis; Arvin, A., Campadelli-Fiume, G., Mocarski, E., Moore, P.S., Roizman, B., Whitley, R., Yamanishi, K., Eds.; Cambridge University Press: Cambridge, UK, 2007. [Google Scholar]
- Field, H.J.; Hodge, R.A.V. Recent developments in anti-herpesvirus drugs. Br. Med. Bull. 2013, 106, 213–249. [Google Scholar] [CrossRef]
- Poole, C.L.; James, S.H. Antiviral therapies for herpesviruses: Current agents and new directions. Clin. Ther. 2018, 40, 1282–1298. [Google Scholar] [CrossRef] [PubMed]
- Sadowski, L.A.; Upadhyay, R.; Greeley, Z.W.; Margulies, B.J. Current drugs to treat infections with Herpes Simplex viruses-1 and-2. Viruses 2021, 13, 1228. [Google Scholar] [CrossRef]
- Coombs, K.M.; Glover, K.K.M.; Russell, R.; Kaspler, P.; Roufaiel, M.; Graves, D.; Pelka, P.; Kobasa, D.; DuMoulin-White, R.; Mandel, A. Nanomolar concentrations of the photodynamic compound TLD-1433 effectively inactivate numerous human pathogenic viruses. Heliyon 2024, 10, e32140. [Google Scholar] [CrossRef]
- Foretz, M.; Guigas, B.; Viollet, B. Metformin: Update on mechanisms of action and repurposing potential. Nat. Rev. Endocrinol. 2023, 19, 460–476. [Google Scholar] [CrossRef] [PubMed]
- Pernicova, I.; Korbonits, M. Metformin-mode of action and clinical implications for diabetes and cancer. Nat. Rev. Endocrinol. 2014, 10, 143–156. [Google Scholar] [CrossRef] [PubMed]
- Patel, T.; Nageeta, F.; Sohail, R.; Butt, T.S.; Ganesan, S.; Madhurita, F.; Ahmed, M.; Zafar, M.; Zafar, W.; Zaman, M.U.; et al. Comparative efficacy and safety profile of once-weekly Semaglutide versus once-daily Sitagliptin as an add-on to metformin in patients with type 2 diabetes: A systematic review and meta-analysis. Ann. Med. 2023, 55, 2239830. [Google Scholar] [CrossRef]
- Apostolova, N.; Iannantuoni, F.; Gruevska, A.; Muntane, J.; Rocha, M.; Victor, V.M. Mechanisms of action of metformin in type 2 diabetes: Effects on mitochondria and leukocyte-endothelium interactions. Redox Biol. 2020, 34, 101517. [Google Scholar] [CrossRef]
- Forteath, C.; Mordi, I.; Nisr, R.; Gutierrez-Lara, E.J.; Alqurashi, N.; Phair, I.R.; Cameron, A.R.; Beall, C.; Bahr, I.; Mohan, M.; et al. Amino acid homeostasis is a target of metformin therapy. Mol. Metab. 2023, 74, 101750. [Google Scholar] [CrossRef]
- Movaqar, A.; Abdoli, A.; Aryan, E.; Jazaeri, E.O.; Meshkat, Z. Metformin promotes autophagy activity and constrains HSV-1 replication in neuroblastoma cells. Gene Rep. 2021, 25, 101370. [Google Scholar] [CrossRef]
- Stark, R.M.; Littlefield, J.W. Mutagenic effect of BUdr in diploid human fibroblasts. Mutat. Res. 1974, 22, 281–286. [Google Scholar] [CrossRef]
- Larder, B.A.; Darby, G. Selection and characterization of acyclovir-resistant Herpes-Simplex virus type-1 mutants inducing altered DNA-polymerase activities. Virology 1985, 146, 262–271. [Google Scholar] [CrossRef]
- Klysik, K.; Pietraszek, A.; Karewicz, A.; Nowakowska, M. Acyclovir in the treatment of Herpes viruses—A review. Curr. Med. Chem. 2020, 27, 4118–4137. [Google Scholar] [CrossRef]
- Andrei, G.; Snoeck, R. Advances and perspectives in the management of Varicella-Zoster virus infections. Molecules 2021, 26, 1132. [Google Scholar] [CrossRef] [PubMed]
- Alam, C.; Whyte-Allman, S.K.; Omeragic, A.; Bendayan, R. Role and modulation of drug transporters in HIV-1 therapy. Adv. Drug Del. Rev. 2016, 103, 121–143. [Google Scholar] [CrossRef] [PubMed]
- Nordin, M.A.C.; Teow, S.Y. Review of current cell-penetrating antibody developments for HIV-1 therapy. Molecules 2018, 23, 335. [Google Scholar] [CrossRef]
- Chen, V.H.; Patterson, K.M.; Montaner, J.; Wiseman, S.M. Improved outcomes following gastrointestinal surgery among people living with HIV in the HAART-era: A scoping review. Am. J. Surg. 2024, 235, 115710. [Google Scholar] [CrossRef]
- Pringle, C.R. Temperature-sensitive mutant vaccines. Meth Mol. Med. 1996, 4, 17–32. [Google Scholar]
- Feige, L.; Zaeck, L.M.; Sehl-Ewert, J.; Finke, S.; Bourhy, H. Innate immune signaling and role of glial cells in herpes simplex virus- and rabies virus-induced encephalitis. Viruses 2021, 13, 2364. [Google Scholar] [CrossRef]
- Rashidi, A.S.; Tran, D.N.; Peelen, C.R.; van Gent, M.; Ouwendijk, W.J.D.; Verjans, G.M.G.M. Herpes simplex virus infection induces necroptosis of neurons and astrocytes in human fetal organotypic brain slice cultures. J. Neuroinflamm. 2024, 21, 38. [Google Scholar] [CrossRef]
- Gershon, A.A.; Gershon, M.D. Pathogenesis and current approaches to control of Varicella-Zoster virus infections. Clin. Microbiol. Rev. 2013, 26, 728–743. [Google Scholar] [CrossRef] [PubMed]
- Aschner, C.B.; Herold, B.C. Alphaherpesvirus vaccines. Curr. Issues Mol. Biol. 2021, 41, 469–508. [Google Scholar] [CrossRef] [PubMed]
- Faulds, D.; Heel, R.C. Ganciclovir. A review of its antiviral activity, pharmacokinetic properties and therapeutic efficacy in cytomegalovirus infections. Drugs 1990, 39, 597–638. [Google Scholar] [CrossRef] [PubMed]
- Stránská, R.; van Loon, A.M.; Polman, M.; Beersma, M.F.C.; Bredius, R.G.M.; Lankester, A.C.; Meijer, E.; Schuurman, R. Genotypic and phenotypic characterization of acyclovir-resistant herpes simplex viruses isolated from haematopoietic stem cell transplant recipients. Antivir. Ther. 2004, 9, 565–575. [Google Scholar] [CrossRef]
- Saijo, M.; Suzutani, T.; De Clercq, E.; Niikura, M.; Maeda, A.; Morikawa, S.; Kurane, I. Genotypic and phenotypic characterization of the thymidine kinase of ACV-resistant HSV-1 derived from an acyclovirsensitive herpes simplex virus type 1 strain. Antiviral Res. 2002, 56, 253–262. [Google Scholar] [CrossRef]
- Fong, J.; Kasimova, K.; Arenas, Y.; Kaspler, P.; Lazic, S.; Mandel, A.; Lilge, L. A novel class of ruthenium-based photosensitizers effectively kills in vitro cancer cells and in vivo tumors. Photochem. Photobiol. Sci. 2015, 14, 2014–2023. [Google Scholar] [CrossRef] [PubMed]
- Lazic, S.; Kaspler, P.; Mandel, A.; Jewett, M.A.S.; Kulkarni, G.; Lilge, L. Photodynamic therapy for non-muscle invasive bladder cancer mediated by instilled photosensitizer TLD1433 and green light activation. J. Urol. 2016, 195, E805. [Google Scholar] [CrossRef]
- Roque, J.A.; Barrett, P.C.; Cole, H.D.; Lifshits, L.M.; Shi, G.; Monro, S.; von Dohlen, D.; Kim, S.; Russo, N.; Deep, G.; et al. Breaking the barrier: An osmium photosensitizer with unprecedented hypoxic phototoxicity for real world photodynamic therapy. Chem. Sci. 2020, 11, 9784–9806. [Google Scholar] [CrossRef] [PubMed]
- McFarland, S.A.; Mandel, A.; Dumoulin-White, R.; Gasser, G. Metal-based photosensitizers for photodynamic therapy: The future of multimodal oncology? Curr. Opin. Chem. Biol. 2020, 56, 23–27. [Google Scholar] [CrossRef]
- Konda, P.; Lifshits, L.M.; Roque, J.A.; Cole, H.D.; Cameron, C.G.; McFarland, S.A.; Gujar, S. Discovery of immunogenic cell death-inducing ruthenium-based photosensitizers for anticancer photodynamic therapy. Oncoimmunology 2021, 10, 1863626. [Google Scholar] [CrossRef]
- Arenas, Y.; Monro, S.; Shi, G.; Mandel, A.; McFarland, S.; Lilge, L. Photodynamic inactivation of Staphylococcus aureus and methicillin-resistant Staphylococcus aureus with Ru(II)-based type I/type II photosensitizers. Photodiagn. Photodyn. 2013, 10, 615–625. [Google Scholar] [CrossRef]
- Klausen, M.; Ucuncu, M.; Bradley, M. Design of photosensitizing agents for targeted antimicrobial photodynamic therapy. Molecules 2020, 25, 5239. [Google Scholar] [CrossRef]
- Papin, J.F.; Floyd, R.A.; Dittmer, D.P. Methylene blue photoinactivation abolishes West Nile virus infectivity in vivo. Antiviral Res. 2005, 68, 84–87. [Google Scholar] [CrossRef]
- Costa, L.; Faustino, M.A.F.; Neves, M.G.P.M.S.; Cunha, A.; Almeida, A. Photodynamic inactivation of mammalian viruses and bacteriophages. Viruses 2012, 4, 1034–1074. [Google Scholar] [CrossRef] [PubMed]
- Monjo, A.L.A.; Pringle, E.S.; Thornbury, M.; Duguay, B.A.; Monro, S.M.A.; Hetu, M.; Knight, D.; Cameron, C.G.; McFarland, S.A.; McCormick, C. Photodynamic inactivation of Herpes simplex viruses. Viruses 2018, 10, 532. [Google Scholar] [CrossRef]
- Lebedeva, N.S.; Gubarev, Y.A.; Koifman, M.O.; Koifman, O.I. The application of porphyrins and their analogues for inactivation of viruses. Molecules 2020, 25, 4368. [Google Scholar] [CrossRef]
- Conrado, P.C.V.; Sakita, K.M.; Arita, G.S.; Galinari, C.B.; Goncalves, R.S.; Lopes, L.D.G.; Lonardoni, M.V.C.; Teixeira, J.J.V.; Bonfim-Mendonca, P.S.; Kioshima, E.S. A systematic review of photodynamic therapy as an antiviral treatment: Potential guidance for dealing with SARS-CoV-2. Photodiagn. Photodyn. 2021, 34, 102221. [Google Scholar] [CrossRef] [PubMed]
- Hamblin, M.R. Antimicrobial photodynamic therapy: New anti-infectives in the age of resistance. Compr. Ser. Photoch 2016, 15, 549–571. [Google Scholar]
- Jiang, Y.C.; Feng, H.; Lin, Y.C.; Guo, X.R. New strategies against drug resistance to herpes simplex virus. Int. J. Oral. Sci. 2016, 8, 1–6. [Google Scholar] [CrossRef] [PubMed]
- Focosi, D.; Maggi, F.; D’Abramo, A.; Nicastri, E.; Sullivan, D.J. Antiviral combination therapies for persistent COVID-19 in immunocompromised patients. Int. J. Infect. Dis. 2023, 137, 55–59. [Google Scholar] [CrossRef]









Disclaimer/Publisher’s Note: The statements, opinions and data contained in all publications are solely those of the individual author(s) and contributor(s) and not of MDPI and/or the editor(s). MDPI and/or the editor(s) disclaim responsibility for any injury to people or property resulting from any ideas, methods, instructions or products referred to in the content. |
© 2025 by the authors. Licensee MDPI, Basel, Switzerland. This article is an open access article distributed under the terms and conditions of the Creative Commons Attribution (CC BY) license (https://creativecommons.org/licenses/by/4.0/).
Share and Cite
Coombs, K.M.; DuMoulin-White, R.; Mandel, A. Ruvidar®—An Effective Anti-Herpes Simplex Virus Agent. Viruses 2025, 17, 1280. https://doi.org/10.3390/v17091280
Coombs KM, DuMoulin-White R, Mandel A. Ruvidar®—An Effective Anti-Herpes Simplex Virus Agent. Viruses. 2025; 17(9):1280. https://doi.org/10.3390/v17091280
Chicago/Turabian StyleCoombs, Kevin M., Roger DuMoulin-White, and Arkady Mandel. 2025. "Ruvidar®—An Effective Anti-Herpes Simplex Virus Agent" Viruses 17, no. 9: 1280. https://doi.org/10.3390/v17091280
APA StyleCoombs, K. M., DuMoulin-White, R., & Mandel, A. (2025). Ruvidar®—An Effective Anti-Herpes Simplex Virus Agent. Viruses, 17(9), 1280. https://doi.org/10.3390/v17091280

