Serum sICAM-1 and Galectin-3 Levels in Diabetic Patients with COVID-19
Abstract
1. Introduction
2. Participants and Methods
Statistical Analysis
3. Results
3.1. Baseline Characteristics of the Patient Group
3.2. Comparison of Biomarker Levels Between Patients and Healthy Controls
3.3. Diagnostic Performance of Galectin-3 and sICAM-1
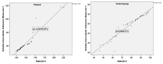
3.4. Correlation Analysis
3.5. Subgroup Analysis of Galectin-3 and ICAM-1 Levels Based on Glycemic Status and Clinical Symptoms
3.6. Biomarker Distribution According to Mortality Status
4. Discussion
4.1. Limitations
4.2. Future Directions
5. Conclusions
Author Contributions
Funding
Institutional Review Board Statement
Informed Consent Statement
Data Availability Statement
Conflicts of Interest
References
- Sönmez, A.; Özdoğan, Ö.; Arici, M.; Salman, S.; Derici, Ü.; Değer, S.M.; Altay, H.; Çalişkan, M.; Ateş, K. Consensus Statement of Endocrinology, Cardiology, and Nephrology (ENCARNE) Experts on Prevention, Diagnosis, and Management of Cardiovascular and Renal Complications of Diabetes. Turk. J. Endocrinol. Metab. 2021, 25, 392–411. [Google Scholar] [CrossRef]
- Nassar, M.; Daoud, A.; Nso, N.; Medina, L.; Ghernautan, V.; Bhangoo, H.; Nyein, A.; Mohamed, M.; Alqassieh, A.; Soliman, K.; et al. Diabetes Mellitus and COVID-19: Review Article. Diabetes Metab. Syndr. 2021, 15, 102268. [Google Scholar] [CrossRef] [PubMed]
- Sulu, C.; Kadioğlu, P. Dealing with COVID-19: Through Endocrinologist ’s Eyes. Turk. J. Endocrinol. Metab. 2020, 24, 335–342. [Google Scholar] [CrossRef]
- Lim, S.; Bae, J.H.; Kwon, H.S.; Nauck, M.A. COVID-19 and diabetes mellitus: From pathophysiology to clinical management. Nat. Rev. Endocrinol. 2021, 17, 11–30. [Google Scholar] [CrossRef] [PubMed]
- Huo, Y.; Ley, K. Adhesion molecules and atherogenesis. Acta Physiol. Scand. 2001, 173, 35–43. [Google Scholar] [CrossRef] [PubMed]
- de Boer, R.A.; van Veldhuisen, D.J.; Gansevoort, R.T.; Muller Kobold, A.C.; van Gilst, W.H.; Hillege, H.L.; Bakker, S.J.L.; van der Harst, P. The fibrosis marker galectin-3 and outcome in the general population. J. Intern. Med. 2012, 272, 55–64. [Google Scholar] [CrossRef] [PubMed]
- Akın, M.; Karaaslan, H.; Eren, M.A.; Koyuncu, İ.; Sabuncu, T. Evaluation of Galectin-3 in Graves’ Disease with and Without Ophthalmopathy. Endocrinol. Res. Pract. 2023, 27, 85–88. [Google Scholar] [CrossRef]
- Wang, T.; Fei, Y.; Yao, M.; Tao, J.; Deng, J.; Huang, B. Correlation between Galectin-3 and Early Herpes Zoster Neuralgia and Postherpetic Neuralgia: A Retrospective Clinical Observation. Pain Res. Manag. 2020, 2020, 8730918. [Google Scholar] [CrossRef] [PubMed]
- Aydemir, E.; Ünsal, Y.; Ateş, C.; Refik Göktuğ, M.; Öz Gül, Ö.; Cander, S. Assessment of Serum Cortisol Levels in Coronavirus Disease 2019 Inpatients and Investigation of the Potential Impact of Alterations in Serum Cortisol Levels on Prognosis. Endocrinol. Res. Pract. 2024, 28, 94–99. [Google Scholar] [CrossRef]
- Portacci, A.; Diaferia, F.; Santomasi, C.; Dragonieri, S.; Boniello, E.; Di Serio, F.; Carpagnano, G.E. Galectin-3 as prognostic biomarker in patients with COVID-19 acute respiratory failure. Respir. Med. 2021, 187, 106556. [Google Scholar] [CrossRef] [PubMed]
- Calvier, L.; Miana, M.; Reboul, P.; Cachofeiro, V.; Martinez-Martinez, E.; De Boer, R.A.; Poirier, F.; Lacolley, P.; Zannad, F.; Rossignol, P.; et al. Galectin-3 mediates aldosterone-induced vascular fibrosis. Arterioscler. Thromb. Vasc. Biol. 2013, 33, 67–75. [Google Scholar] [CrossRef] [PubMed]
- Coleman, J.F. Robbins and Cotran’s Pathologic Basis of Disease, 8th ed.; Elsevier: Amsterdam, The Netherlands, 2010; Volume 34, ISBN 0721601871. [Google Scholar]
- Birnhuber, A.; Fließer, E.; Gorkiewicz, G.; Zacharias, M.; Seeliger, B.; David, S.; Welte, T.; Schmidt, J.; Olschewski, H.; Wygrecka, M.; et al. Between inflammation and thrombosis: Endothelial cells in COVID-19. Eur. Respir. J. 2021, 58, 2100377. [Google Scholar] [CrossRef] [PubMed]
- Brevetti, G.; Schiano, V.; Chiariello, M. Cellular adhesion molecules and peripheral arterial disease. Vasc. Med. 2006, 11, 39–47. [Google Scholar] [CrossRef] [PubMed]
- American Diabetes Association Professional Practice Committee. 2. Diagnosis and Classification of Diabetes: Standards of Care in Diabetes—2025. Diabetes Care 2025, 48 (Suppl. 1), S27–S49. [Google Scholar] [CrossRef]
- Weber, M.; Sporrer, D.; Weigert, J.; Wanninger, J.; Neumeier, M.; Wurm, S.; Stögbauer, F.; Kopp, A.; Bala, M.; Schäffler, A.; et al. Adiponectin downregulates galectin-3 whose cellular form is elevated whereas its soluble form is reduced in type 2 diabetic monocytes. FEBS Lett. 2009, 583, 3718–3724. [Google Scholar] [CrossRef] [PubMed][Green Version]
- Yücel, N.; Madenci, Ö.Ç.; Bölük, A.; Daǧdelen, L.K.; Temel, Y.; Sargin, M.; Orçun, A. Is galectin-3 associated with urinary albumin excretion in type 2 diabetes? Endokrynol. Pol. 2016, 67, 580–584. [Google Scholar] [CrossRef] [PubMed]
- Lin, D.; Hong, X.; Sun, K.; Zhang, X.; Lian, H.; Wang, J.; Mao, N.; Zhang, X.; Ren, M.; Yan, L.; et al. Galectin-3/adiponectin as a new biological indicator for assessing the risk of type 2 diabetes: A cross-sectional study in a community population. Aging 2021, 13, 15433–15443. [Google Scholar] [CrossRef] [PubMed]
- Dumic, J.; Dabelic, S.; Flögel, M. Galectin-3: An open-ended story. Biochim. Biophys. Acta-Gen. Subj. 2006, 1760, 616–635. [Google Scholar] [CrossRef] [PubMed]
- Kuśnierz-Cabala, B.; Maziarz, B.; Dumnicka, P.; Dembiński, M.; Kapusta, M.; Bociąga-Jasik, M.; Winiarski, M.; Garlicki, A.; Grodzicki, T.; Kukla, M. Diagnostic significance of serum galectin-3 in hospitalized patients with COVID-19—A preliminary study. Biomolecules 2021, 11, 1136. [Google Scholar] [CrossRef] [PubMed]
- Kazancıoğlu, L.; Erdivanlı, B.; Kazdal, H.; Özdemir, A.; Koyuncu, T.; Hızal, A.; Özdemir, A.; Bahçeci, İ.; Batcık, Ş.; Ersöz, T. Effectiveness of Laboratory Parameters as Morbidity and Mortality Indicators in Patients with Coronavirus Disease-2019 Admitted to the Intensive Care Unit. Turk. J. Intensive Care 2021, 19, 33–43. [Google Scholar] [CrossRef]
- Schmitt, V.H.; Prochaska, J.H.; Föll, A.S.; Schulz, A.; Keller, K.; Hahad, O.; Koeck, T.; Tröbs, S.O.; Rapp, S.; Beutel, M.; et al. Galectin-3 for prediction of cardiac function compared to NT-proBNP in individuals with prediabetes and type 2 diabetes mellitus. Sci. Rep. 2021, 11, 19012. [Google Scholar] [CrossRef] [PubMed]
- Mercantepe, F.; Baydur Sahin, S.; Cumhur Cure, M.; Karadag, Z. Relationship Between Serum Endocan Levels and Other Predictors of Endothelial Dysfunction in Obese Women. Angiology 2022, 74, 948–957. [Google Scholar] [CrossRef] [PubMed]
- Tavares, A.M.; Silva, J.H.; de Oliveira Bensusan, C.; Ferreira, A.C.F.; de Lima Matos, L.P.; de Araujo e Souza, K.L.; de Carvalho Cardoso-Weide, L.; Taboada, G.F. Altered superoxide dismutase-1 activity and intercellular adhesion molecule 1 (ICAM-1) levels in patients with type 2 diabetes mellitus. PLoS ONE 2019, 14, e0216256. [Google Scholar] [CrossRef] [PubMed]
- Papanas, N.; Tziakas, D.; Chalikias, G.; Floros, D.; Trypsianis, G.; Papadopoulou, E.; Kortsaris, A.; Symeonidis, G.; Souliou, E.; Maltezos, E.; et al. Gliclazide treatment lowers serum ICAM-1 levels in poorly controlled type 2 diabetic patients. Diabetes Metab. 2006, 32, 344–349. [Google Scholar] [CrossRef] [PubMed]
- Shen, X.P.; Li, J.; Zou, S.; Wu, H.J.; Zhang, Y. The relationship between oxidative stress and the levels of serum circulating adhesion molecules in patients with hyperglycemia crises. J. Diabetes Complicat. 2012, 26, 291–295. [Google Scholar] [CrossRef] [PubMed]
- Cha, J.J.; Hyun, Y.Y.; Jee, Y.H.; Lee, M.J.; Han, K.H.; Kang, Y.S.; Han, S.Y.; Cha, D.R. Plasma concentration of soluble intercellular adhesion molecule-1 (sICAM-1) is elevated in type 2 diabetic patients, and sICAM-1 synthesis is associated with leptin-induced activation of the mitogen-activated protein kinase (MAPK) pathway. Inflammation 2013, 36, 878–887. [Google Scholar] [CrossRef] [PubMed]
- Smith-Norowitz, T.A.; Loeffler, J.; Norowitz, Y.M.; Kohlhoff, S. Intracellular Adhesion Molecule-1 (ICAM-1) Levels in Convalescent COVID-19 Serum: A Case Report. Ann. Clin. Lab. Sci. 2021, 51, 730–734. [Google Scholar] [PubMed]
- Shi, H.; Zuo, Y.; Navaz, S.; Harbaugh, A.; Hoy, C.K.; Gandhi, A.A.; Sule, G.; Yalavarthi, S.; Gockman, K.; Madison, J.A.; et al. Endothelial Cell–Activating Antibodies in COVID-19. Arthritis Rheumatol. 2022, 74, 1132–1138. [Google Scholar] [CrossRef] [PubMed]
- Ebihara, T.; Matsumoto, H.; Matsubara, T.; Togami, Y.; Nakao, S.; Matsuura, H.; Onishi, S.; Kojima, T.; Sugihara, F.; Okuzaki, D.; et al. Resistin Associated with Cytokines and Endothelial Cell Adhesion Molecules Is Related to Worse Outcome in COVID-19. Front. Immunol. 2022, 13, 830061. [Google Scholar] [CrossRef] [PubMed]
- Tong, M.; Jiang, Y.; Xia, D.; Xiong, Y.; Zheng, Q.; Chen, F.; Zou, L.; Xiao, W.; Zhu, Y. Elevated expression of serum endothelial cell adhesion molecules in COVID-19 patients. J. Infect. Dis. 2020, 222, 894–898. [Google Scholar] [CrossRef] [PubMed]
- Baykan, E.K.; Şebin, E.; Karaşahin, Ö.; Baykan, A.R.; Cerrah, S.; Göğebakan, H.; Sevinç, C.; Kahraman, M.; Yavuz, Y.C. Galectin-3: Can it be a diagnostic tool for pneumonia in COVID-19 patients? Turk. J. Med. Sci. 2021, 51, 2256–2262. [Google Scholar] [CrossRef] [PubMed]
- Parmaksiz, I. Diyabet komplikasyonlarinda İleri glikasyon son ürünleri. Marmara Med. J. 2011, 24, 141–148. [Google Scholar] [CrossRef]
- Rubin, D.; Claas, S.; Pfeuffer, M.; Nothnagel, M.; Foelsch, U.R.; Schrezenmeir, J. s-ICAM-1 and s-VCAM-1 in healthy men are strongly associated with traits of the metabolic syndrome, becoming evident in the postprandial response to a lipid-rich meal. Lipids Health Dis. 2008, 7, 32. [Google Scholar] [CrossRef] [PubMed]
- Ferri, C.; Desideri, G.; Baldoncini, R.; Bellini, C.; De Angelis, C.; Mazzocchi, C.; Santucci, A. Early activation of vascular endothelium in nonobese, nondiabetic essential hypertensive patients with multiple metabolic abnormalities. Diabetes 1998, 47, 660–667. [Google Scholar] [CrossRef] [PubMed]
- Ridker, P.M.; Hennekens, C.H.; Roitman-Johnson, B.; Stampfer, M.J.; Allen, J. Plasma concentration of soluble intercellular adhesion molecule 1 and risks of future myocardial infarction in apparently healthy men. Lancet 1998, 351, 88–92. [Google Scholar] [CrossRef] [PubMed]
- Nayor, M.; Wang, N.; Larson, M.G.; Vasan, R.S.; Levy, D.; Ho, J.E. Circulating galectin-3 is associated with cardiometabolic disease in the community. J. Am. Heart Assoc. 2016, 5, e002347. [Google Scholar] [CrossRef] [PubMed]
- Kuzan, A.; Królewicz, E.; Kustrzeba-Wójcicka, I.; Lindner-Pawłowicz, K.; Sobieszczańska, M. How Diabetes and Other Comorbidities of Elderly Patients and Their Treatment Influence Levels of Glycation Products. Int. J. Environ. Res. Public Health 2022, 19, 7524. [Google Scholar] [CrossRef] [PubMed]



| Total (n = 45) | |
|---|---|
| Demographic Findings | |
| Age (years), median (range) | 66 (41–77) |
| Sex (male), n (%) | 23 (51.1) |
| Smokers, n (%) | 13 (28.9) |
| Comorbid Diseases, n (%) | |
| Hypertension | 37 (82.2) |
| Nondiabetes endocrine disease | 26 (57.8) |
| Coronary artery disease | 20 (44.4) |
| Chronic obstructive pulmonary disease | 12 (26.7) |
| Heart failure | 8 (17.8) |
| Diabetic neuropathy | 7 (15.6) |
| Chronic kidney failure | 4 (8.9) |
| Asthma | 3 (6.7) |
| Chronic liver disease | 1 (2.2) |
| Clinical Symptoms, n (%) | |
| Shortness of breath | 38 (84.4) |
| Cough | 31 (68.9) |
| Malaise | 15 (33.3) |
| Fever | 11 (24.4) |
| Headache | 3 (6.7) |
| Sore throat | 3 (6.7) |
| Myalgia | 1 (2.3) |
| Nausea-vomiting | 1 (2.3) |
| Vital Findings, n (%) | |
| Hypoxia (oxygen saturation ≤ 93%) | 45 (100) |
| Tachypnea (>100 beats/min) | 14 (31.1) |
| Tachycardia (>30 respiration rate/min) | 7 (1.6) |
| Fever (≥38.3 °C) | 5 (11.1) |
| Hypotension (≤90/60 mm/hg) | 1 (2.2) |
| Control Group (n = 45) | COVID-19 (n = 45) | p * | |
|---|---|---|---|
| Galectin-3 (ng/mL) | 80.67 (46.20–98.72) | 113.08 (98.72–226.06) | <0.001 |
| sICAM-1 (ng/mL) | 46.19 (30.56–51.66) | 57.42 (51.86–117.72) | <0.001 |
| Platelet count (103/L) | 268 (158–466) | 243 (11–481) | 0.03 |
| Leukocyte count (103/L) | 7.55 (3.91–12.74) | 8.84 (1.56–18.80) | 0.002 |
| Lymphocyte percentage (%) | 29.7 (0–51.5) | 14.7 (1–45.7) | <0.001 |
| Neutrophil percentage (%) | 59 (37.9–94.5) | 78.8 (34.8–97.7) | <0.001 |
| Hemoglobin (g/dL) | 14.6 (9.1–18.6) | 13.9 (7.2–16.9) | 0.043 |
| Hemoglobin A1c (mmol/mol) | 5.7 (4.6–6.4) | 8.8 (6.5–14.6) | <0.001 |
| Total cholesterol (mg/dL) | 194 (133–303) | 156 (86–241) | <0.001 |
| Low-density lipoprotein cholesterol (mg/dL) | 127 (64–223) | 99 (50–204) | 0.004 |
| High-density lipoprotein cholesterol (mg/dL) | 49.4 (32.1–80.9) | 38.8 (16–68) | <0.001 |
| Triglyceride (mg/dL) | 118 (54–418) | 151 (24–548) | 0.205 |
| Glucose (mg/dL) | 93 (70–165) | 240 (103–673) | <0.001 |
| ALT (U/L) | 21 (9–71) | 20 (4–199) | 0.756 |
| AST (U/L) | 19 (6–72) | 22 (8–321) | 0.756 |
| LDH (U/L) | 193 (51–309) | 296 (179–1165) | <0.001 |
| Albumin (g/L) | 45 (37–53) | 40 (24–48) | <0.001 |
| Creatine kinase (U/L) | 90 (39–272) | 61 (14–706) | 0.036 |
| BUN (mg/dL) | 16 (9–48) | 20 (6–150) | 0.01 |
| Creatinine (mg/dL) | 0.85 (0.43–1.41) | 1 (0.44–8.2) | 0.006 |
| Total bilirubin (mg/dL) | 0.8 (0.3–2.1) | 0.5 (0.2–1.8) | <0.001 |
| Direct bilirubin (mg/dL) | 0.2 (0.1–0.7) | 0.2 (0.1–0.7) | 0.107 |
| D-dimer (ng/mL) | 406 (190–2899) | 858 (190–35,000) | <0.001 |
| CRP (mg/L) | 2.3 (0.1–151.0) | 61.3 (4.3–368.0) | <0.001 |
| Ferritin (ng/mL) | 45 (3–350) | 495 (51–44,725) | <0.001 |
| B12 vitamin (pg/mL) | 317 (193–628) | 352 (115–1792) | 0.511 |
| INR | 1.00 (0.90–1.66) | 1.00 (0.90–3.89) | 0.997 |
| PT (s) | 14.1 (12.2–21.9) | 14.1 (11.5–50.2) | 0.968 |
| APTT (s) | 29.6 (25.2–67.1) | 29.9 (17.6–65.0) | 0.628 |
| PTT percentage | 93 (49–119) | 92 (18–120) | 0.920 |
| Fibrinogen (mg/dL) | 307 (136–556) | 557 (306–898) | <0.001 |
| Biomarker | AUC (95% CI) | Cut-Off | Specificity | Sensitivity | p |
|---|---|---|---|---|---|
| Galectin-3 ng/mL | 1.000 (0.999–1.000) | ≥98.16 | 97.8% | 100% | <0.001 |
| sICAM-1 ng/mL | 1.000 (1.000–1.000) | ≥51.76 | 100% | 100% | <0.001 |
| Platelet count (103/L) | 0.633 (0.517–0.749) | ≤204.500 | 40.0% | 91.1% | 0.030 |
| Leukocyte count (103/L) | 0.689 (0.579–0.800) | ≥8.420 | 60.0% | 75.6% | 0.002 |
| Lymphocyte percentage (%) | 0.831 (0.738–0.924) | ≤23.25 | 80.0% | 86.7% | <0.001 |
| Neutrophil percentage (%) | 0.830 (0.737–0.923) | ≥70.25 | 77.8% | 86.7% | <0.001 |
| Hemoglobin (g/dL) | 0.624 (0.508–0.740) | ≤15.00 | 75.6% | 46.7% | 0.043 |
| HbA1c | 1.000 (1.000–1.000) | ≥6.45 | 100% | 100% | <0.001 |
| Total cholesterol (mg/dL) | 0.740 (0.635–0.845) | ≤176.5 | 66.7% | 75.6% | <0.001 |
| Low-density lipoprotein cholesterol (mg/dL) | 0.676 (0.562–0.79) | ≤87.5 | 46.7% | 88.9% | 0.004 |
| High-density lipoprotein cholesterol (mg/dL) | 0.815 (0.729–0.901) | ≤40.5 | 64.4% | 88.9% | <0.001 |
| Glucose (mg/dL) | 0.980 (0.957–1.000) | ≥120 | 95.6% | 91.1% | <0.001 |
| LDH (U/L) | 0.907 (0.847–0.967) | ≥235.5 | 88.9% | 82.2% | <0.001 |
| Albumin (g/L) | 0.829 (0.741–0.917) | ≤41.5 | 73.3% | 88.9% | <0.001 |
| Creatine kinase (U/L) | 0.629 (0.507–0.750) | ≤56.5 | 46.7% | 86.7% | 0.036 |
| BUN (mg/dL) | 0.659 (0.545–0.772) | ≥22.5 | 82.2% | 46.7% | 0.010 |
| Creatinine (mg/dL) | 0.669 (0.556–0.782) | ≥1.005 | 91.1% | 46.7% | 0.006 |
| Total bilirubin (mg/dL) | 0.739 (0.637–0.841) | ≤0.52 | 53.3% | 88.9% | <0.001 |
| D-dimer (ng/mL) | 0.742 (0.638–0.846) | ≥583 | 73.3% | 75.6% | <0.001 |
| CRP (mg/L) | 0.944 (0.893–0.995) | ≥11 | 86.7% | 91.1% | <0.001 |
| Ferritin (ng/mL) | 0.953 (0.914–0.991) | ≥189 | 95.6% | 84.4% | <0.001 |
| Fibrinogen (mg/dL) | 0.955 (0.916–0.994) | ≥431 | 95.6% | 86.7% | <0.001 |
| Subgroup/Symptom | Galectin-3 Median (IQR)—Present | Absent | p-Value | ICAM-1 Median (IQR)—Present | Absent | p-Value |
|---|---|---|---|---|---|---|
| HbA1c < 6.45/Glucose < 120 mg/dL (n = 43) | 80.68 (64.42–89.76) | 46.20 (39.55–48.86) | ||||
| HbA1c < 6.45/Glucose ≥ 120 mg/dL (n = 2) | 89.12 (84.33–93.92) | 48.61 (47.09–50.14) | ||||
| HbA1c ≥ 6.45/Glucose < 120 (n = 4) | 109.51 (106.20–112.39) | 55.75 (53.69–57.55) | ||||
| HbA1c ≥ 6.45/Glucose ≥ 120 mg/dL (n = 41) | 115.27 (109.23–132.13) | 57.53 (54.76–62.79) | ||||
| Fever | 133.75 (108.68–147.74) | 112.81 (105.92–120.87) | 0.090 | 62.88 (54.66–90.45) | 57.38 (54.17–60.31) | 0.090 |
| Cough | 111.98 (107.58–125.08) | 115.27 (111.02–133.34) | 0.339 | 57.33 (54.12–60.94) | 58.75 (56.57–62.88) | 0.309 |
| Sore throat | 139.14 (134.01–139.95) | 112.26 (107.72–127.79) | 0.056 | 65.79 (63.61–66.17) | 57.33 (54.32–61.62) | 0.056 |
| Headache | 113.08 (112.81–128.26) | 113.63 (107.72–130.37) | 0.439 | 57.43 (57.38–64.32) | 57.43 (54.32–62.23) | 0.453 |
| Malaise | 130.50 (112.25–141.29) | 111.16 (105.51–118.82) | 0.017 | 62.30 (56.19–68.50) | 56.79 (53.97–59.60) | 0.017 |
| Myalgia | 134.82 (119.78–143.58) | 110.88 (107.58–119.64) | 0.005 | 64.04 (60.09–73.30) | 56.35 (53.97–59.87) | 0.004 |
| Mortality | |||
|---|---|---|---|
| None (n = 38) | Present (n = 7) | p | |
| Galectin-3 ng/mL | 115.27 (98.71–226.05) | 109.23 (103.16–134.28) | 0.240 |
| sICAM-1 ng/mL | 58.01 (51.86–117.72) | 55.16 (53.16–63.07) | 0.266 |
| Platelet count (103/L) | 247 (116–481) | 164 (110–391) | 0.042 |
| Leukocyte count (103/L) | 8.86 (3.73–18.50) | 8.73 (1.56–18.80) | 0.742 |
| Lymphocyte percentage (%) | 15.1 (2.3–45.7) | 7 (1–22.4) | 0.037 |
| Neutrophil percentage (%) | 78.05 (34.8–94.1) | 88.8 (71.2–97.7) | 0.017 |
| Hemoglobin (g/dL) | 14.05 (8.4–16.9) | 11.6 (7.2–16.5) | 0.121 |
| HbA1c | 8.55 (6.5–14.6) | 9.2 (7.8–10.4) | 0.500 |
| Total cholesterol (mg/dL) | 158.5 (100–240) | 137 (86–241) | 0.491 |
| Low-density lipoprotein cholesterol (mg/dL) | 100 (53–204) | 81 (50–152) | 0.247 |
| High-density lipoprotein cholesterol (mg/dL) | 38.9 (16–68) | 36 (25.8–47.3) | 0.742 |
| Triglyceride (mg/dL) | 137.5 (24–548) | 175 (80–306) | 0.280 |
| Glucose (mg/dL) | 233.5 (103–511) | 284 (146–673) | 0.266 |
| ALT (U/L) | 20 (8–75) | 29 (4–199) | 0.187 |
| AST (U/L) | 22 (9–100) | 17 (8–321) | 0.649 |
| LDH (U/L) | 290 (179–750) | 364 (268–1165) | 0.036 |
| Albumin (g/L) | 40.5 (24–48) | 33 (24–38) | 0.002 |
| Creatine kinase (U/L) | 61.5 (15–706) | 35 (14–521) | 0.253 |
| BUN (mg/dL) | 19 (6–103) | 37 (12–150) | 0.058 |
| Creatinine (mg/dL) | 0.92 (0.56–8.2) | 1.26 (0.44–4.59) | 0.301 |
| Total bilirubin (mg/dL) | 0.5 (0.2–1.8) | 0.6 (0.3–0.9) | 0.789 |
| Direct bilirubin (mg/dL) | 0.2 (0.1–0.7) | 0.2 (0.2–0.6) | 0.400 |
| D-dimer (ng/mL) | 844 (190–35.000) | 1497 (442–2.404) | 0.672 |
| CRP (mg/L) | 59.0 (4.3–339) | 119.2 (12.6–368.0) | 0.347 |
| Ferritin (ng/mL) | 450 (51–4725) | 528 (159–1650) | 0.594 |
| B12 vitamin (pg/mL) | 331 (115–1792) | 405 (279–822) | 0.133 |
| INR | 1.00 (0.90–1.69) | 1.27 (1.00–3.89) | 0.023 |
| PT (s) | 14.05 (11.50–22.30) | 16.90 (13.40–50.20) | 0.056 |
| APTT (s) | 29.85 (26.00–41.20) | 30.00 (17.60–65.00) | 0.826 |
| PTT percentage | 92.5 (48.0–120.0) | 70.0 (18.0–100.0) | 0.056 |
| Fibrinogen (mg/dL) | 561 (306–898) | 504 (370–717) | 0.491 |
Disclaimer/Publisher’s Note: The statements, opinions and data contained in all publications are solely those of the individual author(s) and contributor(s) and not of MDPI and/or the editor(s). MDPI and/or the editor(s) disclaim responsibility for any injury to people or property resulting from any ideas, methods, instructions or products referred to in the content. |
© 2025 by the authors. Licensee MDPI, Basel, Switzerland. This article is an open access article distributed under the terms and conditions of the Creative Commons Attribution (CC BY) license (https://creativecommons.org/licenses/by/4.0/).
Share and Cite
Karahan, B.; Binici, D.N.; Karasahin, O.; Yilmaz, S.İ.; Kiziltunc, A.; Mercantepe, F. Serum sICAM-1 and Galectin-3 Levels in Diabetic Patients with COVID-19. Viruses 2025, 17, 1005. https://doi.org/10.3390/v17071005
Karahan B, Binici DN, Karasahin O, Yilmaz Sİ, Kiziltunc A, Mercantepe F. Serum sICAM-1 and Galectin-3 Levels in Diabetic Patients with COVID-19. Viruses. 2025; 17(7):1005. https://doi.org/10.3390/v17071005
Chicago/Turabian StyleKarahan, Busra, Dogan Nasir Binici, Omer Karasahin, Sibel İba Yilmaz, Ahmet Kiziltunc, and Filiz Mercantepe. 2025. "Serum sICAM-1 and Galectin-3 Levels in Diabetic Patients with COVID-19" Viruses 17, no. 7: 1005. https://doi.org/10.3390/v17071005
APA StyleKarahan, B., Binici, D. N., Karasahin, O., Yilmaz, S. İ., Kiziltunc, A., & Mercantepe, F. (2025). Serum sICAM-1 and Galectin-3 Levels in Diabetic Patients with COVID-19. Viruses, 17(7), 1005. https://doi.org/10.3390/v17071005

