Characterization of Five Lytic Bacteriophages as New Members of the Genus Mosigvirus, Infecting Multidrug-Resistant Shiga Toxin-Producing Escherichia coli and Their Antibiofilm Activity
Abstract
1. Introduction
2. Materials and Methods
2.1. Bacterial Strains and Culture Conditions
2.2. Antimicrobial Susceptibility Testing
2.3. Phage Isolation and Purification
2.4. Transmission Electron Microscopy
2.5. Host Range Determination
2.6. One-Step Growth Curve
2.7. pH and Thermal Stability
2.8. In Vitro Bactericidal Activity
2.9. Biofilm Inhibition Assay
2.10. Biofilm Eradication Assay
2.11. Confocal Laser Scanning Microscopy
2.12. Genome Sequencing and In Silico Analysis
2.13. Comparative Genomic Analysis
2.14. Statistical Analysis
3. Results
3.1. Antimicrobial Susceptibility Testing of STEC Strains
3.2. Isolation and Morphological Characteristics of Five STEC Phages
3.3. Host Ranges of Five Isolated STEC Phages
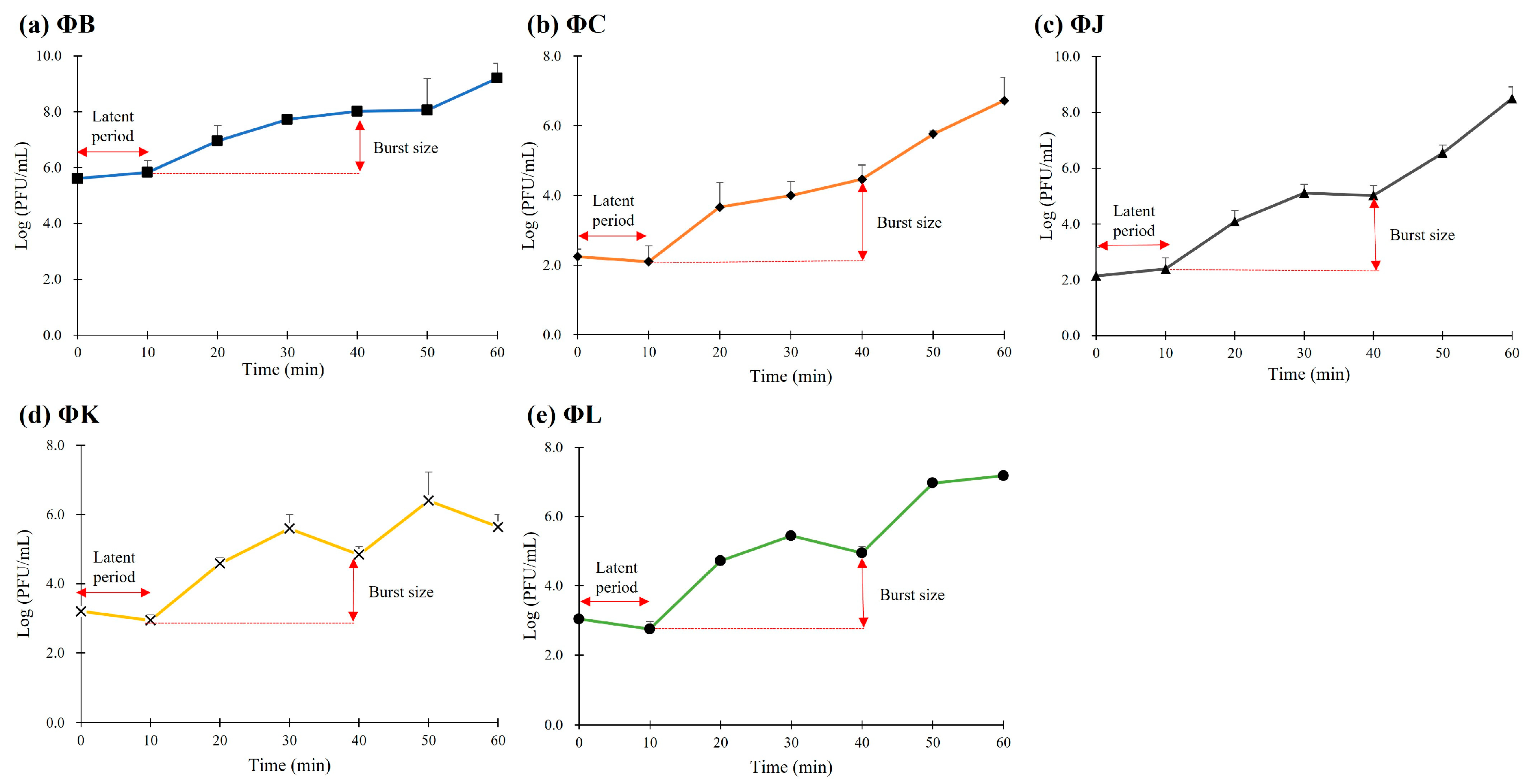
3.4. One-Step Growth Curves of Five Isolated STEC Phages
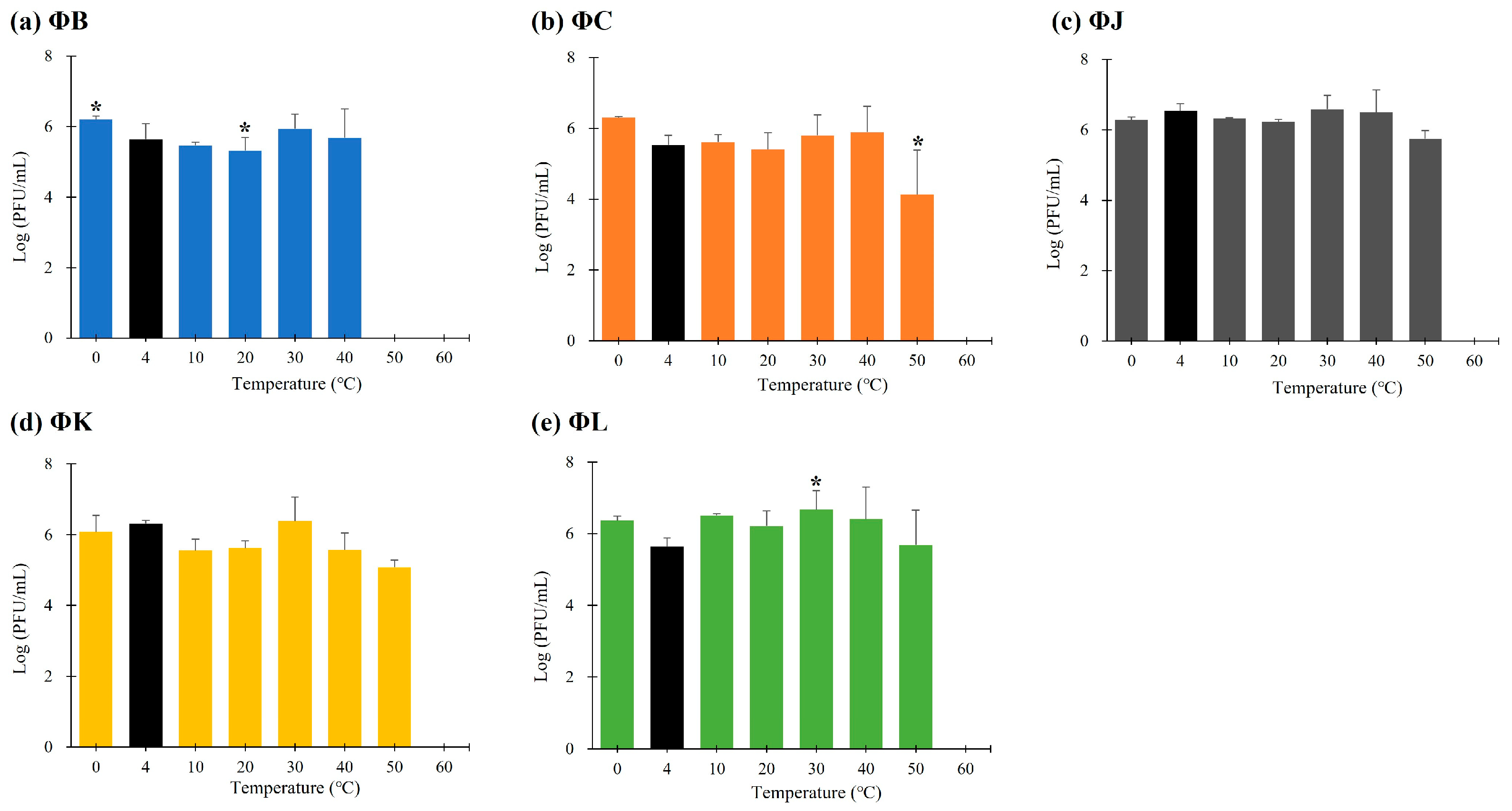
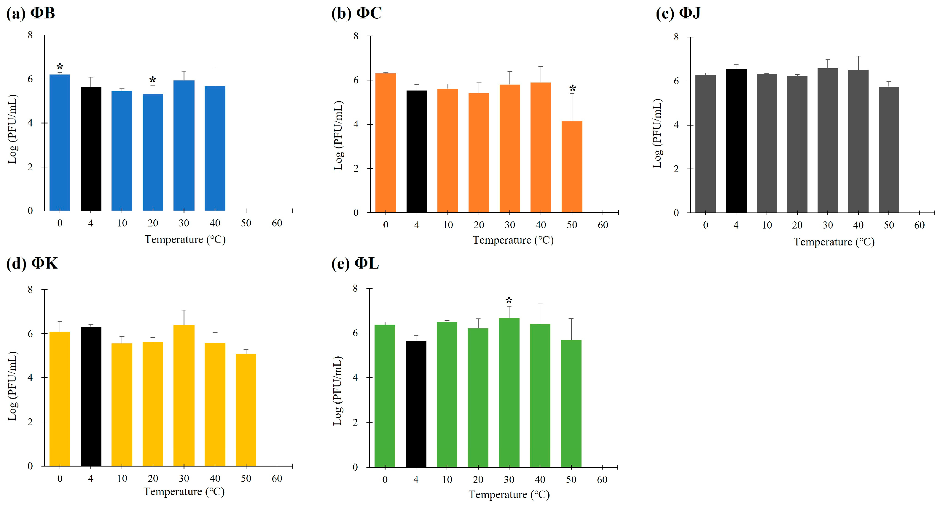
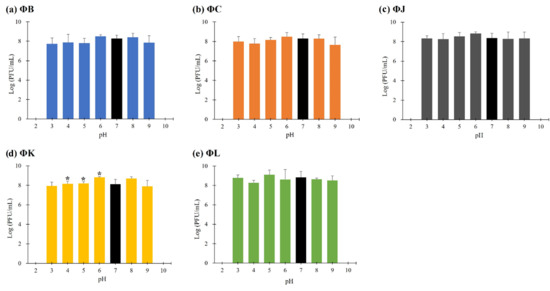
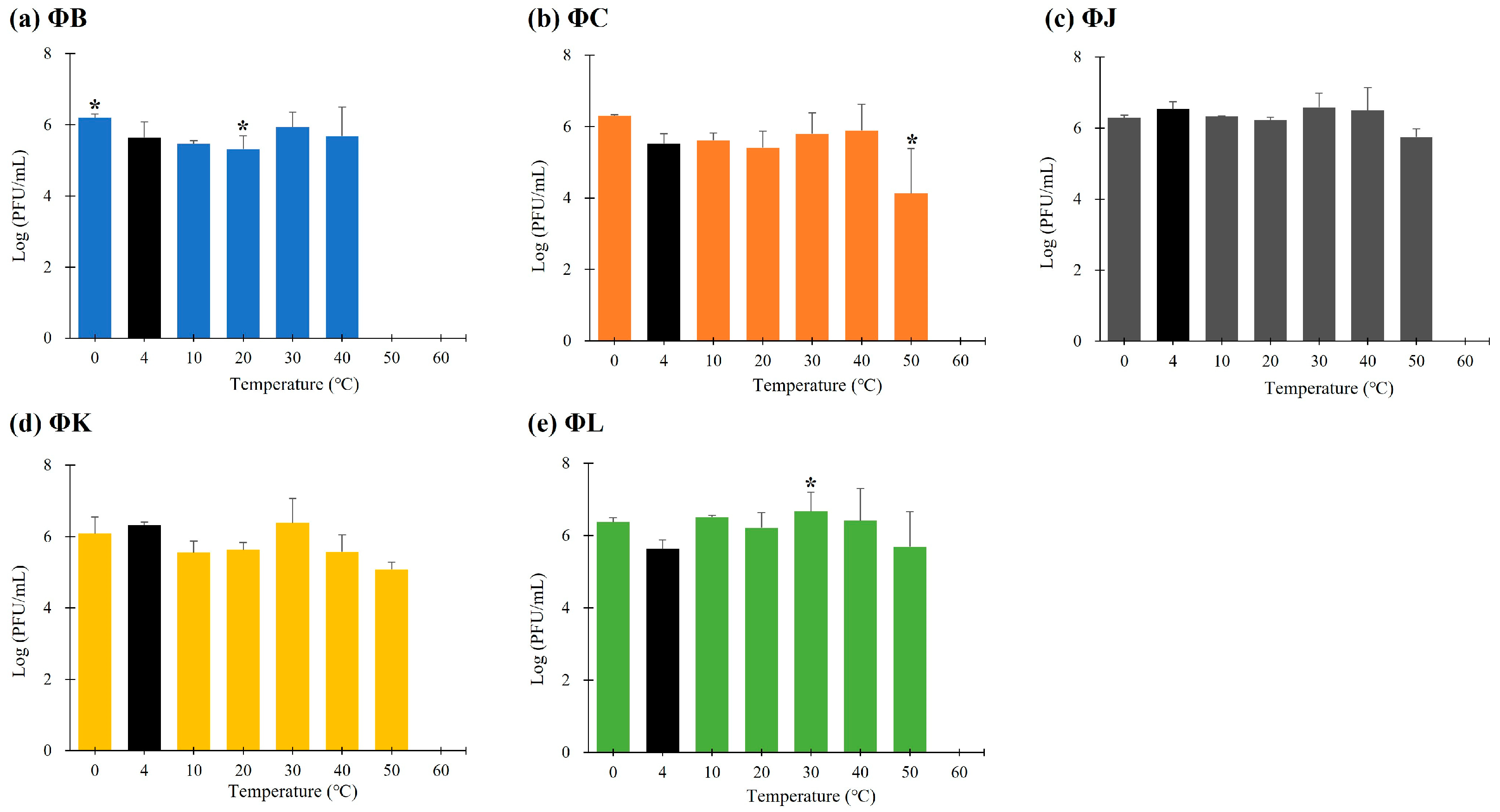
3.5. Thermal and pH Stabilities of the Five Isolated STEC Phages
3.6. Bacteriolytic Activities of the Five Isolated STEC Phages
3.7. Effects of the Five Isolated STEC Phages on the Biofilm Prevention
3.8. Effects of the Five Isolated STEC Phages on the Pre-Formed Biofilm Eradication
3.9. General Characteristics of the Five Isolated STEC Phage Genomes
3.10. Phylogenetic and Comparative Genomic Analysis of the Five Isolated STEC Phages
4. Discussion
5. Conclusions
Supplementary Materials
Author Contributions
Funding
Institutional Review Board Statement
Informed Consent Statement
Data Availability Statement
Acknowledgments
Conflicts of Interest
Abbreviations
| STEC | Shiga toxin-producing Escherichia coli |
| Stx | Shiga toxin |
| AMR | antimicrobial resistance |
| ESBL | extended-spectrum beta-lactamase |
| MOI | multiplicity of infection |
| MDR | multidrug-resistant |
| Phage | Bacteriophage |
| CV | crystal violet |
| ΦB | vB_EcoM-pJBB |
| ΦC | vB_EcoM-pJBC |
| ΦJ | vB_EcoM-pJBJ |
| ΦK | vB_EcoM-pJBK |
| ΦL | vB_EcoM-pJBL |
References
- Freedman, S.B.; Xie, J.; Neufeld, M.S.; Hamilton, W.L.; Hartling, L.; Tarr, P.I. Shiga toxin–producing Escherichia coli infection, antibiotics, and risk of developing hemolytic uremic syndrome: A meta-analysis. Clin. Infect. Dis. 2016, 62, 1251–1258. [Google Scholar] [CrossRef]
- Melton-Celsa, A.R. Shiga toxin (Stx) classification, structure, and function. Microbiol. Spectr. 2014, 2, 13. [Google Scholar] [CrossRef] [PubMed]
- Pakbin, B.; Brück, W.M.; Rossen, J.W.A. Virulence factors of enteric pathogenic Escherichia coli: A review. Int. J. Mol. Sci. 2021, 22, 9922. [Google Scholar] [CrossRef] [PubMed]
- Farrokh, C.; Jordan, K.; Auvray, F.; Glass, K.; Oppegaard, H.; Raynaud, S.; Thevenot, D.; Condron, R.; De Reu, K.; Govaris, A.; et al. Review of Shiga-toxin-producing Escherichia coli (STEC) and their significance in dairy production. Int. J. Food Microbiol. 2013, 162, 190–212. [Google Scholar] [CrossRef] [PubMed]
- Kim, J.S.; Lee, M.S.; Kim, J.H. Recent updates on outbreaks of Shiga toxin-producing Escherichia coli and its potential reservoirs. Front. Cell. Infect. Microbiol. 2020, 10, 273. [Google Scholar] [CrossRef]
- Mir, R.A.; Kudva, I.T. Antibiotic-resistant Shiga toxin-producing Escherichia coli: An overview of prevalence and intervention strategies. Zoonoses Public Health 2019, 66, 1–13. [Google Scholar] [CrossRef]
- Mandujano-Hernández, A.; Martínez-Vázquez, A.V.; Paz-González, A.D.; Herrera-Mayorga, V.; Sánchez-Sánchez, M.; Lara-Ramírez, E.E.; Vázquez, K.; de Jesús de Luna-Santillana, E.; Bocanegra-García, V.; Rivera, G. The global rise of ESBL-producing Escherichia coli in the livestock sector: A five-year overview. Animals 2024, 14, 2490. [Google Scholar] [CrossRef]
- World Health Organization. WHO Bacterial Priority Pathogens List, 2024: Bacterial Pathogens of Public Health Importance, to Guide Research, Development, and Strategies to Prevent and Control Antimicrobial Resistance; World Health Organization: Geneva, Switzerland, 2024. [Google Scholar]
- Ullah, S.; Khan, S.U.H.; Khan, M.J.; Khattak, B.; Fozia, F.; Ahmad, I.; Wadaan, M.A.; Khan, M.F.; Baabbad, A.; Goyal, S.M. Multiple-drug resistant Shiga toxin-producing Escherichia coli in raw milk of dairy bovine. Trop. Med. Infect. Dis. 2024, 9, 64. [Google Scholar] [CrossRef]
- Kakoullis, L.; Papachristodoulou, E.; Chra, P.; Panos, G. Shiga toxin-induced haemolytic uraemic syndrome and the role of antibiotics: A global overview. J. Infect. 2019, 79, 75–94. [Google Scholar] [CrossRef]
- Krüger, A.; Lucchesi, P.M.A. Shiga toxins and stx phages: Highly diverse entities. Microbiology 2015, 161, 451–462. [Google Scholar] [CrossRef]
- Rodríguez-Rubio, L.; Haarmann, N.; Schwidder, M.; Muniesa, M.; Schmidt, H. Bacteriophages of Shiga toxin-producing Escherichia coli and their contribution to pathogenicity. Pathogens 2021, 10, 404. [Google Scholar] [CrossRef]
- Raj, J.R.M.; Dinesh, A.; Vittal, R.; Rohit, A. Prophage and plasmid-mediated beta-lactamases in multidrug-resistant extraintestinal Escherichia coli. J. Health Allied Sci. NU 2024, 14, 420–425. [Google Scholar] [CrossRef]
- Mah, T.F.C.; O’Toole, G.A. Mechanisms of biofilm resistance to antimicrobial agents. Trends Microbiol. 2001, 9, 34–39. [Google Scholar] [CrossRef]
- Ma, Z.; Bumunang, E.W.; Stanford, K.; Bie, X.; Niu, Y.D.; McAllister, T.A. Biofilm formation by Shiga toxin-producing Escherichia coli on stainless steel coupons as affected by temperature and incubation time. Microorganisms 2019, 7, 95. [Google Scholar] [CrossRef] [PubMed]
- Lin, D.M.; Koskella, B.; Lin, H.C. Phage therapy: An alternative to antibiotics in the age of multi-drug resistance. World J. Gastrointest. Pharmacol. Ther. 2017, 8, 162–173. [Google Scholar] [CrossRef] [PubMed]
- Furfaro, L.L.; Payne, M.S.; Chang, B.J. Bacteriophage therapy: Clinical trials and regulatory hurdles. Front. Cell. Infect. Microbiol. 2018, 8, 376. [Google Scholar] [CrossRef]
- Abedon, S.T.; Kuhl, S.J.; Blasdel, B.G.; Kutter, E.M. Phage treatment of human infections. Bacteriophage 2011, 1, 66–85. [Google Scholar] [CrossRef]
- Hasan, M.; Ahn, J. Evolutionary dynamics between phages and bacteria as a possible approach for designing effective phage therapies against antibiotic-resistant bacteria. Antibiotics 2022, 11, 915. [Google Scholar] [CrossRef]
- Howard-Varona, C.; Vik, D.R.; Solonenko, N.E.; Li, Y.F.; Gazitua, M.C.; Chittick, L.; Samiec, J.K.; Jensen, A.E.; Anderson, P.; Howard-Varona, A. Fighting fire with fire: Phage potential for the treatment of E. coli O157 infection. Antibiotics 2018, 7, 101. [Google Scholar] [CrossRef]
- Cho, E.; Kim, J.; Won, T.; Ryu, S.; Jeon, B. Virulent bacteriophages for controlling Shiga toxin-producing Escherichia coli (STEC) without inducing toxin production. J. Infect. Dis. 2025, jiaf035. [Google Scholar] [CrossRef] [PubMed]
- Meneses, L.; Brandão, A.C.; Coenye, T.; Braga, A.C.; Pires, D.P.; Azeredo, J. A systematic review of the use of bacteriophages for in vitro biofilm control. Eur. J. Clin. Microbiol. Infect. Dis. 2023, 42, 919–928. [Google Scholar] [CrossRef]
- Park, S.Y.; Kwon, H.; Kim, S.G.; Park, S.C.; Kim, J.H.; Seo, S. Characterization of two lytic bacteriophages, infecting Streptococcus bovis/equinus complex (SBSEC) from Korean ruminant. Sci. Rep. 2023, 13, 9110. [Google Scholar] [CrossRef]
- Nolan, J.M.; Petrov, V.; Bertrand, C.; Krisch, H.M.; Karam, J.D. Genetic diversity among five T4-like bacteriophages. Virol. J. 2006, 3, 30. [Google Scholar] [CrossRef]
- Michniewski, S.; Redgwell, T.; Grigonyte, A.; Rihtman, B.; Aguilo-Ferretjans, M.; Christie-Oleza, J.; Jameson, E.; Scanlan, D.J.; Millard, A.D.; Scanlan, D.J.; et al. Riding the wave of genomics to investigate aquatic coliphage diversity and activity. Environ. Microbiol. 2019, 21, 2112–2128. [Google Scholar] [CrossRef]
- Zuber, S.; Ngom-Bru, C.; Barretto, C.; Bruttin, A.; Brüssow, H.; Denou, E. Genome analysis of phage JS98 defines a fourth major subgroup of T4-like phages in Escherichia coli. J. Bacteriol. 2007, 189, 8206–8214. [Google Scholar] [CrossRef] [PubMed]
- Lin, W.; Li, D.; Gao, M.; Qin, W.; Xu, L.; Pan, L.; Liu, W.; Fan, H.; Mi, Z.; Tong, Y. Isolation, characterization and biocontrol efficacy of a T4-like phage virulent to multidrug-resistant Enterobacter hormaechei. Dis. Aquat. Organ. 2021, 147, 97–109. [Google Scholar] [CrossRef]
- Liao, Y.T.; Zhang, Y.; Salvador, A.; Harden, L.A.; Wu, V.C.H. Characterization of a T4-like bacteriophage vB_EcoM-Sa45lw as a potential biocontrol agent for Shiga toxin-producing Escherichia coli O45 contaminated on mung bean seeds. Microbiol. Spectr. 2022, 10, e0222021. [Google Scholar] [CrossRef] [PubMed]
- Turner, D.; Shkoporov, A.N.; Lood, C.; Millard, A.D.; Dutilh, B.E.; Alfenas-Zerbini, P.; van Zyl, L.J.; Aziz, R.K.; Oksanen, H.M.; Poranen, M.M.; et al. Abolishment of morphology-based taxa and change to binomial species names: 2022 taxonomy update of the ICTV bacterial viruses subcommittee. Arch. Virol. 2023, 168, 74. [Google Scholar] [CrossRef]
- Park, E.J.; Lee, S.; Na, J.B.; Kim, Y.B.; Lee, K.M.; Park, S.Y.; Kim, J.H. Characterization of Broad Spectrum Bacteriophage vB ESM-pEJ01 and Its Antimicrobial Efficacy Against Shiga Toxin-Producing Escherichia coli in Green Juice. Microorganisms 2025, 13, 103. [Google Scholar] [CrossRef] [PubMed]
- Park, S.Y.; Lee, K.; Cho, Y.; Lim, S.R.; Kwon, H.; Han, J.E.; Kim, J.H. Emergence of third-generation cephalosporin-resistant Morganella morganii in a captive breeding dolphin in South Korea. Animals 2020, 10, 2052. [Google Scholar] [CrossRef] [PubMed]
- CLSI M100; Performance Standards for Antimicrobial Susceptibility Testing (34th ed., CLSI supplement M100). Clinical and Laboratory Standards Institute: Wayne, PA, USA, 2024.
- Schneider, C.A.; Rasband, W.S.; Eliceiri, K.W. NIH Image to ImageJ: 25 years of image analysis. Nat. Methods 2012, 9, 671–675. [Google Scholar] [CrossRef]
- Kwon, H.; Park, S.Y.; Kim, M.S.; Kim, S.G.; Park, S.C.; Kim, J.H. Characterization of a lytic bacteriophage vB_SurP-PSU3 infecting Staphylococcus ureilyticus and its efficacy against biofilm. Front. Microbiol. 2022, 13, 925866. [Google Scholar] [CrossRef]
- Kabwe, M.; Brown, T.L.; Dashper, S.; Speirs, L.; Ku, H.; Petrovski, S.; Tucci, J. Genomic, morphological and functional characterisation of novel bacteriophage FNU1 capable of disrupting Fusobacterium nucleatum biofilms. Sci. Rep. 2019, 9, 9107. [Google Scholar] [CrossRef]
- Möller, S.; Croning, M.D.R.; Apweiler, R. Evaluation of methods for the prediction of membrane spanning regions. Bioinformatics. 2001, 17, 646–653. [Google Scholar] [CrossRef] [PubMed]
- Teufel, F.; Armenteros, J.J.A.; Johansen, A.R.; Gíslason, M.H.; Pihl, S.I.; Tsirigos, K.D.; Winther, O.; Brunak, S.; von Heijne, G.; Nielsen, H. SignalP 6.0 predicts all five types of signal peptides using protein language models. Nat. Biotechnol. 2022, 40, 1023–1025. [Google Scholar] [CrossRef] [PubMed]
- Garneau, J.R.; Depardieu, F.; Fortier, L.C.; Bikard, D.; Monot, M. PhageTerm: A tool for fast and accurate determination of phage termini and packaging mechanism using next generation sequencing data. Sci. Rep. 2017, 7, 8292. [Google Scholar] [CrossRef]
- Chan, P.P.; Lin, B.Y.; Mak, A.J.; Lowe, T.M. tRNAscan-SE 2.0: Improved detection and functional classification of transfer RNA genes. Nucleic Acids Res. 2021, 49, 9077–9096. [Google Scholar] [CrossRef]
- Magill, D.J.; Skvortsov, T.A. DePolymerase Predictor (DePP): A machine learning tool for the targeted identification of phage depolymerases. BMC Bioinform. 2023, 24, 208. [Google Scholar] [CrossRef]
- Bonin, N.; Doster, E.; Worley, H.; Pinnell, L.J.; E Bravo, J.; Ferm, P.; Marini, S.; Prosperi, M.; Noyes, N.; Morley, P.S.; et al. CARD 2023: Expanded curation, support for machine learning, and resistome prediction at the Comprehensive Antibiotic Resistance Database. Nucleic Acids Res. 2023, 51, D690–D699. [Google Scholar] [CrossRef]
- Liu, B.; Zheng, D.; Zhou, S.; Chen, L.; Yang, J. VFDB 2022: A general classification scheme for bacterial virulence factors. Nucleic Acids Res. 2022, 50, D912–D917. [Google Scholar] [CrossRef] [PubMed]
- Grant, J.R.; Enns, E.; Marinier, E.; Mandal, A.; Herman, E.K.; Chen, C.Y.; Graham, M.; Van Domselaar, G.; Stothard, P. Proksee: In-depth characterization and visualization of bacterial genomes. Nucleic Acids Res. 2023, 51, W484–W492. [Google Scholar] [CrossRef] [PubMed]
- Meier-Kolthoff, J.P.; Göker, M. VICTOR: Genome-based phylogeny and classification of prokaryotic viruses. Bioinformatics 2017, 33, 3396–3404. [Google Scholar] [CrossRef]
- Tamura, K.; Stecher, G.; Kumar, S. MEGA11: Molecular evolutionary genetics analysis version 11. Mol. Biol. Evol. 2021, 38, 3022–3027. [Google Scholar] [CrossRef]
- Larkin, M.A.; Blackshields, G.; Brown, N.P.; Chenna, R.; McGettigan, P.A.; McWilliam, H.; Valentin, F.; Wallace, I.M.; Wilm, A.; Lopez, R.; et al. Clustal W and Clustal X version 2.0. Bioinformatics 2007, 23, 2947–2948. [Google Scholar] [CrossRef]
- Moraru, C.; Varsani, A.; Kropinski, A.M. VIRIDIC—A novel tool to calculate the intergenomic similarities of prokaryote-infecting viruses. Viruses 2020, 12, 1268. [Google Scholar] [CrossRef] [PubMed]
- Sullivan, M.J.; Petty, N.K.; Beatson, S.A. Easyfig: A genome comparison visualizer. Bioinformatics 2011, 27, 1009–1010. [Google Scholar] [CrossRef] [PubMed]
- Nishimura, Y.; Yoshida, T.; Kuronishi, M.; Uehara, H.; Ogata, H.; Goto, S. ViPTree: The viral proteomic tree server. Bioinformatics 2017, 33, 2379–2380. [Google Scholar] [CrossRef]
- Chart, H.; Smith, H.R.; La Ragione, R.M.; Woodward, M.J. An investigation into the pathogenic properties of Escherichia coli strains BLR, BL21, DH5α and EQ1. J. Appl. Microbiol. 2000, 89, 1048–1058. [Google Scholar] [CrossRef]
- Ngiam, L.; Schembri, M.A.; Weynberg, K.; Guo, J. Bacteriophage isolated from non-target bacteria demonstrates broad host range infectivity against multidrug-resistant bacteria. Environ. Microbiol. 2021, 23, 5569–5586. [Google Scholar] [CrossRef]
- Dalmasso, M.; Strain, R.; Neve, H.; Franz, C.M.A.P.; Cousin, F.J.; Ross, R.P.; Hill, C. Three new Escherichia coli phages from the human gut show promising potential for phage therapy. PLoS ONE 2016, 11, e0156773. [Google Scholar] [CrossRef]
- Li, Y.K.; Wu, X.; Chen, H.; Zhao, Y.Y.; Shu, M.; Zhong, C.; Wu, G.P. A bacteriophage JN02 infecting multidrug-resistant Shiga toxin-producing Escherichia coli: Isolation, characterisation and application as a biocontrol agent in foods. Int. J. Food Sci. Technol. 2021, 56, 4756–4769. [Google Scholar] [CrossRef]
- Jończyk, E.; Kłak, M.; Międzybrodzki, R.; Górski, A. The influence of external factors on bacteriophages—Review. Folia Microbiol. 2011, 56, 191–200. [Google Scholar] [CrossRef]
- Wang, C.; Hang, H.; Zhou, S.; Niu, Y.D.; Du, H.; Stanford, K.; McAllister, T.A. Bacteriophage biocontrol of Shiga toxigenic Escherichia coli (STEC) O145 biofilms on stainless steel reduces the contamination of beef. Food Microbiol. 2020, 92, 103572. [Google Scholar] [CrossRef]
- Amarillas, L.; León-Chan, R.; López-Avendaño, E.; González-Balcázar, A.; Padilla, J.; Lightbourn-Rojas, L.; Estrada-Acosta, M. Isolation and characterization of a novel bacteriophage as a biological control agent against multidrug-resistant Escherichia coli in compost and agricultural irrigation water. F1000Research 2024, 13, 1521. [Google Scholar] [CrossRef]
- van den Berg, D.F.; van der Steen, B.A.; Costa, A.R.; Brouns, S.J.J.; d’Été, M. Phage tRNAs evade tRNA-targeting host defenses through anticodon loop mutations. eLife 2023, 12, e85183. [Google Scholar] [CrossRef]
- Delesalle, V.A.; Tanke, N.T.; Vill, A.C.; Krukonis, G.P. Testing hypotheses for the presence of tRNA genes in mycobacteriophage genomes. Bacteriophage 2016, 6, e1219441. [Google Scholar] [CrossRef] [PubMed]
- Bailly-Bechet, M.; Vergassola, M.; Rocha, E. Causes for the intriguing presence of tRNAs in phages. Genome Res. 2007, 17, 1486–1495. [Google Scholar] [CrossRef] [PubMed]
- Sun, L.; You, J.; Li, D.; Zhang, Z.; Qin, X.; Pang, W.; Li, P.; Han, Q.; Li, Y.; Huang, Z.; et al. Variants of a putative baseplate wedge protein extend the host range of Pseudomonas phage K8. Microbiome 2023, 11, 18. [Google Scholar] [CrossRef]
- Trotereau, J.; Zimmermann, M.; Mahony, J.; Neef, A. Manipulating interactions between T4 phage long tail fibers and bacterial outer membrane protein C residues defines host specificity. Appl. Environ. Microbiol. 2021, 87, e00423-21. [Google Scholar] [CrossRef]
- Pires, D.P.; Oliveira, H.; Melo, L.D.R.; Sillankorva, S.; Azeredo, J. Bacteriophage-encoded depolymerases: Their diversity and biotechnological applications. Appl. Microbiol. Biotechnol. 2016, 100, 2141–2151. [Google Scholar] [CrossRef]
- Guo, Z.; Liu, M.; Zhang, D. Potential of phage depolymerase for the treatment of bacterial biofilms. Virulence 2023, 14, 2273567. [Google Scholar] [CrossRef] [PubMed]
- Islam, M.Z.; Fokine, A.; Mahalingam, M.; Zhang, Z.; Garcia-Doval, C.; van Raaij, M.J.; Rossmann, M.G.; Rao, V.B. Molecular anatomy of the receptor binding module of a bacteriophage long tail fiber. PLoS Pathog. 2019, 15, e1008193. [Google Scholar] [CrossRef] [PubMed]
- Chen, M.; Zhang, L.; Abdelgader, S.A.; Yu, L.; Xu, J.; Yao, H.; Lu, C.; Zhang, W.; Zhang, W. Alterations in gp37 expand the host range of a T4-like phage. Appl. Environ. Microbiol. 2017, 83, e01576-17. [Google Scholar] [CrossRef] [PubMed]
- Yehl, K.; Lemire, S.; Yang, A.C.; Ando, H.; Mimee, M.; Torres, M.T.; de la Fuente-Nunez, C.; Lu, T.K.; Lu, T.K. Engineering phage host-range and suppressing bacterial resistance through phage tail fiber mutagenesis. Cell 2019, 179, 459–469.e9. [Google Scholar] [CrossRef]
- Taslem Mourosi, J.; Awe, A.; Guo, W.; Batra, H.; Ganesh, H.; Wu, X.; Zhu, J. Understanding bacteriophage tail fiber interaction with host surface receptor: The key “blueprint” for reprogramming phage host range. Int. J. Mol. Sci. 2022, 23, 12146. [Google Scholar] [CrossRef]










| Strains | Antimicrobial Agents (μg) | |||||||||||||||||||||||||
|---|---|---|---|---|---|---|---|---|---|---|---|---|---|---|---|---|---|---|---|---|---|---|---|---|---|---|
| PCN | BLC | CP | M | C | AM | MA | T | FQ | P | |||||||||||||||||
| AMP | PIP | AMC | SAM | TZP | FEP | CTX | CRO | CAZ | FOX | CXM | CFM | ATM | IPM | MEM | AMK | STR | AZM | TET | DOX | CIP | LVX | NAL | NOR | OFX | CHL | |
| (10) | (100) | (10/10) | (10/10) | (100/10) | (30) | (30) | (30) | (30) | (30) | (30) | (5) | (30) | (10) | (10) | (30) | (10) | (15) | (30) | (30) | (5) | (5) | (30) | (10) | (5) | (30) | |
| ATCC 43895 | ||||||||||||||||||||||||||
| KCCM 90572 | ||||||||||||||||||||||||||
| KCCM 90573 | ||||||||||||||||||||||||||
| KCCM 90574 | ||||||||||||||||||||||||||
| KCCM 90575 | ||||||||||||||||||||||||||
| KCCM 90576 | ||||||||||||||||||||||||||
| KCCM 90577 | ||||||||||||||||||||||||||
| KCCM 90578 | ||||||||||||||||||||||||||
| KCCM 90579 | ||||||||||||||||||||||||||
| KCCM 90580 | ||||||||||||||||||||||||||
| KCCM 90581 | ||||||||||||||||||||||||||
| KCCM 90582 | ||||||||||||||||||||||||||
| KCCM 90583 | ||||||||||||||||||||||||||
| KCCM 90584 | ||||||||||||||||||||||||||
| KCCM 90585 | ||||||||||||||||||||||||||
| KCCM 90586 | ||||||||||||||||||||||||||
| KCCM 90587 | ||||||||||||||||||||||||||
| NCCP 13720 | ||||||||||||||||||||||||||
| NCCP 13721 | ||||||||||||||||||||||||||
| Bacterial Species | Host Strain | STEC Phages | Sources | ||||
|---|---|---|---|---|---|---|---|
| ΦB | ΦC | ΦJ | ΦK | ΦL | |||
| Shiga toxin-producing E. coli (STEC) | ATCC 43895 | + | + | + | + | + | ATCC |
| KCCM 90572 | − | − | + | − | + | KCCM | |
| KCCM 90573 | + | − | + | + | − | KCCM | |
| KCCM 90574 | − | − | − | − | − | KCCM | |
| KCCM 90575 | − | − | + | − | + | KCCM | |
| KCCM 90576 | + | + | − | − | + | KCCM | |
| KCCM 90577 | + | + | + | + | + | KCCM | |
| KCCM 90578 | − | − | − | − | − | KCCM | |
| KCCM 90579 | − | + | + | − | + | KCCM | |
| KCCM 90580 | + | + | + | − | + | KCCM | |
| KCCM 90581 | + | + | + | + | + | KCCM | |
| KCCM 90582 | + | − | + | − | + | KCCM | |
| KCCM 90583 | + | + | − | − | + | KCCM | |
| KCCM 90584 | − | − | − | − | − | KCCM | |
| KCCM 90585 | + | + | − | + | + | KCCM | |
| KCCM 90586 | − | − | − | − | − | KCCM | |
| KCCM 90587 | − | − | − | − | − | KCCM | |
| NCCP13720 | − | − | − | − | − | NCCP | |
| NCCP13721 | + | + | − | + | + | NCCP | |
| Non-STEC | KCCM 90525 | + | − | − | − | − | KCCM |
| KCCM 90526 | − | − | − | − | − | KCCM | |
| BL21 | + | + | − | + | + | [50] | |
| ATCC 13706 | − | + | + | + | + | ATCC | |
| ATCC 11775 | − | − | + | + | + | ATCC | |
| ATCC 31616 | − | − | − | − | − | ATCC | |
| ATCC 31618 | + | + | + | − | − | ATCC | |
| ATCC 23545 | + | + | + | + | + | ATCC | |
| E. fergusonii | ATCC 35469 | + | + | + | + | + | ATCC |
| E. hermannii | ATCC 33650 | − | − | − | − | − | ATCC |
| Feature | STEC Phage | ||||
|---|---|---|---|---|---|
| ΦB | ΦC | ΦJ | ΦK | ΦL | |
| Biotype | |||||
| Morphology | Myoviridae | Myoviridae | Myoviridae | Myoviridae | Myoviridae |
| Head (nm) | 107.5 ± 2.1 | 113.3 ± 3.4 | 112.7 ± 1.5 | 103.9 ± 2.6 | 108.2 ± 1.0 |
| Tail (nm) | 57.1 ± 2.2 | 112.1 ± 2.2 | 109.1 ± 3.19 | 123.7 ± 3.2 | 112.9 ± 6.1 |
| Latent time (min) | 10 | 10 | 10 | 10 | 10 |
| Burst size (PFU/mL) | 154.8 | 230.5 | 427.4 | 78.7 | 157.5 |
| Optimal pH stability | 4–10 | 4–10 | 4–10 | 4–10 | 4–10 |
| Optimal thermal stability | 0–40 | 0–40 | 0–50 | 0–50 | 0–50 |
| Genotype | |||||
| Gnome size (bp) | 168,078 | 168,095 | 168,715 | 169,226 | 169,381 |
| G+C content (%) | 37.6 | 37.6 | 37.7 | 37.6 | 37.6 |
| Number of tRNAs | 2 | 2 | 2 | 2 | 10 |
| Number of CDS | 265 | 266 | 266 | 267 | 267 |
| Functional CDS | 138 | 120 | 123 | 132 | 128 |
| Accession number | OP114733 | PQ308253 | PQ308254 | MZ868638 | PQ308255 |
Disclaimer/Publisher’s Note: The statements, opinions and data contained in all publications are solely those of the individual author(s) and contributor(s) and not of MDPI and/or the editor(s). MDPI and/or the editor(s) disclaim responsibility for any injury to people or property resulting from any ideas, methods, instructions or products referred to in the content. |
© 2025 by the authors. Licensee MDPI, Basel, Switzerland. This article is an open access article distributed under the terms and conditions of the Creative Commons Attribution (CC BY) license (https://creativecommons.org/licenses/by/4.0/).
Share and Cite
Na, J.B.; Lee, S.; Park, E.J.; Lim, S.; Lee, K.; Kim, Y.B.; Cha, T.S.; Park, S.Y.; Kim, J.H. Characterization of Five Lytic Bacteriophages as New Members of the Genus Mosigvirus, Infecting Multidrug-Resistant Shiga Toxin-Producing Escherichia coli and Their Antibiofilm Activity. Viruses 2025, 17, 1501. https://doi.org/10.3390/v17111501
Na JB, Lee S, Park EJ, Lim S, Lee K, Kim YB, Cha TS, Park SY, Kim JH. Characterization of Five Lytic Bacteriophages as New Members of the Genus Mosigvirus, Infecting Multidrug-Resistant Shiga Toxin-Producing Escherichia coli and Their Antibiofilm Activity. Viruses. 2025; 17(11):1501. https://doi.org/10.3390/v17111501
Chicago/Turabian StyleNa, Jong Beom, Seungki Lee, Eun Jeong Park, Soojin Lim, Keeman Lee, Ye Bin Kim, Tae Seon Cha, Seon Young Park, and Ji Hyung Kim. 2025. "Characterization of Five Lytic Bacteriophages as New Members of the Genus Mosigvirus, Infecting Multidrug-Resistant Shiga Toxin-Producing Escherichia coli and Their Antibiofilm Activity" Viruses 17, no. 11: 1501. https://doi.org/10.3390/v17111501
APA StyleNa, J. B., Lee, S., Park, E. J., Lim, S., Lee, K., Kim, Y. B., Cha, T. S., Park, S. Y., & Kim, J. H. (2025). Characterization of Five Lytic Bacteriophages as New Members of the Genus Mosigvirus, Infecting Multidrug-Resistant Shiga Toxin-Producing Escherichia coli and Their Antibiofilm Activity. Viruses, 17(11), 1501. https://doi.org/10.3390/v17111501

