Two Decades Later: Long-Term Multisystem Sequelae and Subclinical Organ Dysfunction in Sudan Ebola Virus (SUDV) Survivors of the 2000 Outbreak
Abstract
1. Introduction
2. Materials and Methods
2.1. Study Design and Population
2.2. Data Collection and Clinical Assessment
2.3. Laboratory and Immunological Evaluation
2.4. Mental Health and Social Outcomes
2.5. Statistical Analysis
3. Results
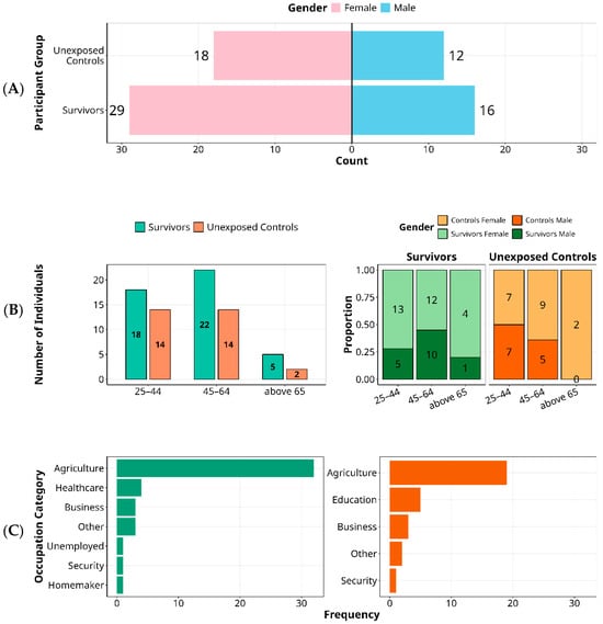
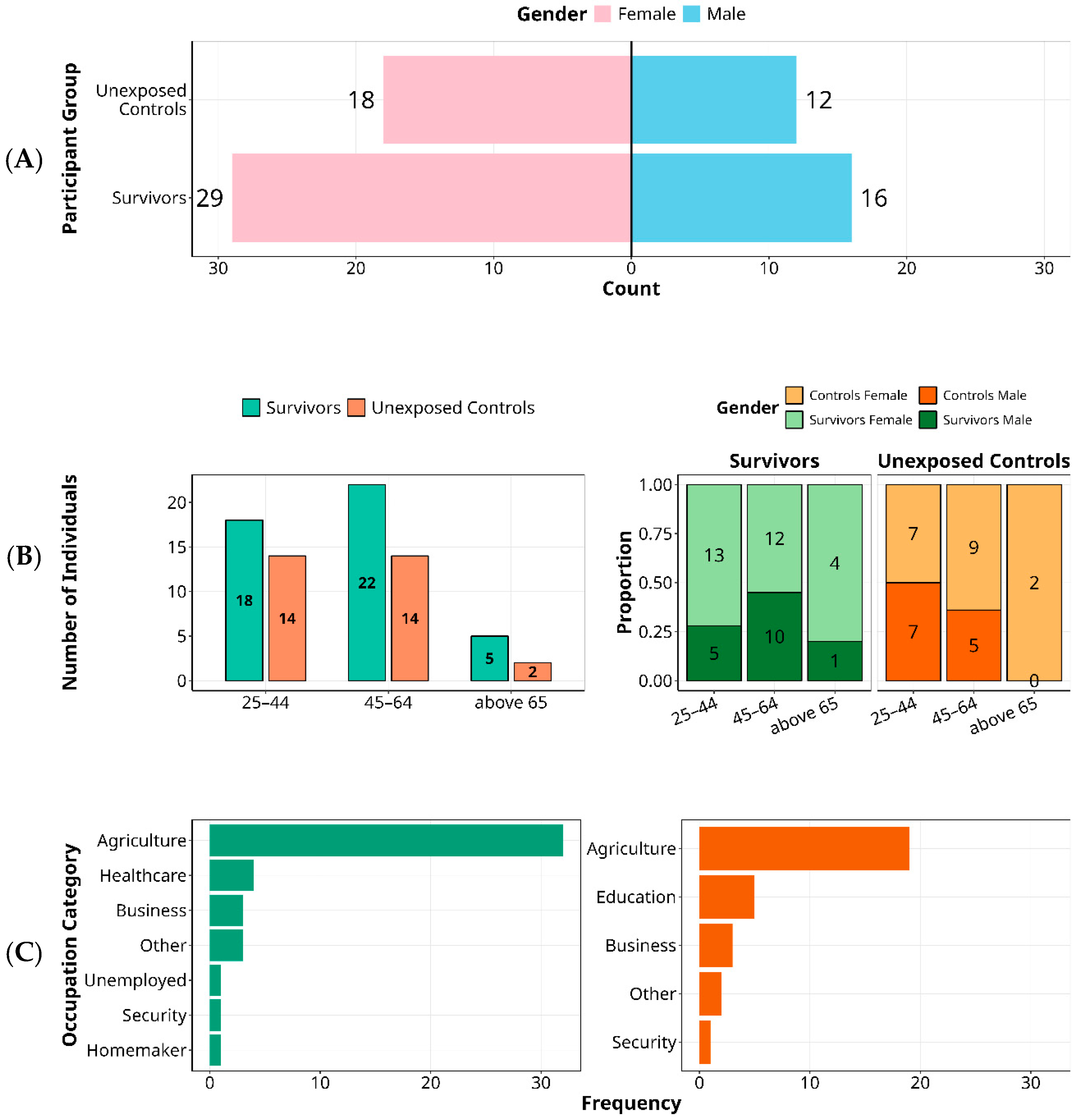
3.1. Demographic and Occupational Characteristics of SUDV Survivors Versus Matched Controls
3.2. Physiological Restoration 25 Years After Sudan Ebolavirus Infection
3.3. Persistent Post-Ebola Sequelae in Sudan Virus Disease Survivors Highlight a Chronic Musculoskeletal, Sensory, and Neurological Burden
3.4. Subclinical Laboratory Profile Concentrates in Hepatobiliary and Platelet Indices with Preserved Renal Function and Minimal Age Confounding in Long-Term SUDV Survivors
3.5. Psychological Resilience and the Paradox of Social Support Among Ebola Sudan Virus Survivors
4. Discussion
Supplementary Materials
Author Contributions
Funding
Institutional Review Board Statement
Informed Consent Statement
Data Availability Statement
Acknowledgments
Conflicts of Interest
References
- Report of a WHO/International Study Team. Ebola haemorrhagic fever in Sudan, 1976. Report of a WHO/International Study Team. Bull. World Health Organ. 1978, 56, 247–270. [Google Scholar]
- Ebola Disease Caused by Sudan Virus–Uganda. Available online: https://www.who.int/emergencies/disease-outbreak-news/item/2022-DON410 (accessed on 15 August 2025).
- Leligdowicz, A.; Fischer, W.A., 2nd; Uyeki, T.M.; Fletcher, T.E.; Adhikari, N.K.; Portella, G.; Lamontagne, F.; Clement, C.; Jacob, S.T.; Rubinson, L.; et al. Ebola virus disease and critical illness. Crit. Care 2016, 20, 217. [Google Scholar] [CrossRef]
- Schieffelin, J.S.; Shaffer, J.G.; Goba, A.; Gbakie, M.; Gire, S.K.; Colubri, A.; Sealfon, R.S.; Kanneh, L.; Moigboi, A.; Momoh, M.; et al. Clinical illness and outcomes in patients with Ebola in Sierra Leone. N. Engl. J. Med. 2014, 371, 2092–2100. [Google Scholar] [CrossRef]
- Sagui, E.; Janvier, F.; Baize, S.; Foissaud, V.; Koulibaly, F.; Savini, H.; Maugey, N.; Aletti, M.; Granier, H.; Carmoi, T. Severe Ebola Virus Infection With Encephalopathy: Evidence for Direct Virus Involvement. Clin. Infect. Dis. 2015, 61, 1627–1628. [Google Scholar] [CrossRef]
- de Greslan, T.; Billhot, M.; Rousseau, C.; Mac Nab, C.; Karkowski, L.; Cournac, J.M.; Bordes, J.; Gagnon, N.; Dubrous, P.; Duron, S.; et al. Ebola Virus-Related Encephalitis. Clin. Infect. Dis. 2016, 63, 1076–1078. [Google Scholar] [CrossRef] [PubMed]
- McElroy, A.K.; Akondy, R.S.; Davis, C.W.; Ellebedy, A.H.; Mehta, A.K.; Kraft, C.S.; Lyon, G.M.; Ribner, B.S.; Varkey, J.; Sidney, J.; et al. Human Ebola virus infection results in substantial immune activation. Proc. Natl. Acad. Sci. USA 2015, 112, 4719–4724. [Google Scholar] [CrossRef] [PubMed]
- Ibrahim, S.K.; Ndwandwe, D.E.; Thomas, K.; Sigfrid, L.; Norton, A. Sudan virus disease outbreak in Uganda: Urgent research gaps. BMJ Glob. Health 2022, 7, e010982. [Google Scholar] [CrossRef]
- Kabami, Z.; Ario, A.R.; Harris, J.R.; Ninsiima, M.; Ahirirwe, S.R.; Ocero, J.R.A.; Atwine, D.; Mwebesa, H.G.; Kyabayinze, D.J.; Muruta, A.N.; et al. Ebola disease outbreak caused by the Sudan virus in Uganda, 2022: A descriptive epidemiological study. Lancet Glob. Health 2024, 12, e1684–e1692. [Google Scholar] [CrossRef]
- Carod-Artal, F.J. Post-Ebolavirus disease syndrome: What do we know? Expert Rev. Anti. Infect. Ther. 2015, 13, 1185–1187. [Google Scholar] [CrossRef] [PubMed]
- Bond, N.G.; Grant, D.S.; Himmelfarb, S.T.; Engel, E.J.; Al-Hasan, F.; Gbakie, M.; Kamara, F.; Kanneh, L.; Mustapha, I.; Okoli, A.; et al. Post-Ebola Syndrome Presents With Multiple Overlapping Symptom Clusters: Evidence From an Ongoing Cohort Study in Eastern Sierra Leone. Clin. Infect. Dis. 2021, 73, 1046–1054. [Google Scholar] [CrossRef]
- Stehling-Ariza, T.; Lefevre, A.; Calles, D.; Djawe, K.; Garfield, R.; Gerber, M.; Ghiselli, M.; Giese, C.; Greiner, A.L.; Hoffman, A.; et al. Establishment of CDC Global Rapid Response Team to Ensure Global Health Security. Emerg. Infect. Dis. 2017, 23, S203–S209. [Google Scholar] [CrossRef]
- Gostin, L.O.; Friedman, E.A. A retrospective and prospective analysis of the west African Ebola virus disease epidemic: Robust national health systems at the foundation and an empowered WHO at the apex. Lancet 2015, 385, 1902–1909. [Google Scholar] [CrossRef]
- Muwonge, H.; Nasimiyu, C.; Bakamutumaho, B.; Elyanu, P.; Joloba, M.L.; Situma, S.; Schieffelin, J.; Gunn, B.; Bai, S.; Breiman, R.F.; et al. Severe long-term clinical sequelae among Sudan ebolavirus disease survivors 2 years post-infection. BMC Med. 2025, 23, 432. [Google Scholar] [CrossRef] [PubMed] [PubMed Central]
- Sobarzo, A.; Moné, Y.; Lang, S.; Gelkop, S.; Brangel, P.; Kuehne, A.I.; McKendry, R.A.; Mell, J.C.; Ahmed, A.; Davis, C.; et al. Long-term Sudan Virus Ebola Survivors Maintain Multiple Antiviral Defense Mechanisms. J. Infect. Dis. 2024, 230, 426–437. [Google Scholar] [CrossRef]
- Shoemaker, T.; MacNeil, A.; Balinandi, S.; Campbell, S.; Wamala, J.F.; McMullan, L.K.; Downing, R.; Lutwama, J.; Mbidde, E.; Ströher, U.; et al. Reemerging Sudan Ebola virus disease in Uganda, 2011. Emerg. Infect. Dis. 2012, 18, 1480–1483. [Google Scholar] [CrossRef]
- Wailagala, A.; Blair, P.W.; Kobba, K.; Mubaraka, K.; Aanyu-Tumukahebwa, H.; Kiiza, D.; Sekikongo, M.T.; Klena, J.D.; Waitt, P.; Bahatungire, R.R.; et al. Sudan Virus Disease among Health Care Workers, Uganda, 2022. N. Engl. J. Med. 2024, 391, 285–287. [Google Scholar] [CrossRef]
- Kyobe Bosa, H.; Wayengera, M.; Nabadda, S.; Olaro, C.; Bahatungire, R.; Kalungi, S.; Bakamutumaho, B.; Muruta, A.; Kagirita, A.; Muwonge, H.; et al. Sudan Ebola virus disease outbreak in Uganda—A role for cryptic transmission? Nat. Med. 2025. epub ahead of print. [Google Scholar] [CrossRef] [PubMed]
- Okware, S.I.; Omaswa, F.G.; Zaramba, S.; Opio, A.; Lutwama, J.J.; Kamugisha, J.; Rwaguma, E.B.; Kagwa, P.; Lamunu, M. An outbreak of Ebola in Uganda. Trop. Med. Int. Health 2002, 7, 1068–1075. [Google Scholar] [CrossRef] [PubMed]
- Lamunu, M.; Lutwama, J.J.; Kamugisha, J.; Opio, A.; Nambooze, J.; Ndayimirije, N.; Okware, S. Containing a haemorrhagic fever epidemic: The Ebola experience in Uganda (October 2000–January 2001). Int. J. Infect. Dis. 2004, 8, 27–37. [Google Scholar] [CrossRef] [PubMed]
- Eller, L.A.; Eller, M.A.; Ouma, B.; Kataaha, P.; Kyabaggu, D.; Tumusiime, R.; Wandege, J.; Sanya, R.; Sateren, W.B.; Wabwire-Mangen, F.; et al. Reference intervals in healthy adult Ugandan blood donors and their impact on conducting international vaccine trials. PLoS ONE 2008, 3, e3919. [Google Scholar] [CrossRef]
- Stevens, W.; Kamali, A.; Karita, E.; Anzala, O.; Sanders, E.J.; Jaoko, W.; Kaleebu, P.; Mulenga, J.; Dally, L.; Fast, P.; et al. Baseline morbidity in 2,990 adult African volunteers recruited to characterize laboratory reference intervals for future HIV vaccine clinical trials. PLoS ONE 2008, 3, e2043. [Google Scholar] [CrossRef]
- Serwanga, J.; Kaweesa, R.E.; Ssebwana, J.K.; Odoch, G.; Wayesu, R.R.; Ntabadde, A.D.; Mukisa, D.; Ejou, P.; Team, F.; Lutwama, J.J.; et al. Thirteen-Year Sequelae of Marburg Virus Disease Survival: Persistent Cardiometabolic, Immunometabolic, and Haematological Alterations in the Absence of Psychological Morbidity. Pathogens 2025, 14, 678. [Google Scholar] [CrossRef]
- Smarr, K.L.; Keefer, A.L. Measures of depression and depressive symptoms: Beck Depression Inventory-II (BDI-II), Center for Epidemiologic Studies Depression Scale (CES-D), Geriatric Depression Scale (GDS), Hospital Anxiety and Depression Scale (HADS), and Patient Health Questionnaire-9 (PHQ-9). Arthritis Care Res. 2011, 63, S454–S466. [Google Scholar]
- Breeman, S.; Cotton, S.; Fielding, S.; Jones, G.T. Normative data for the Hospital Anxiety and Depression Scale. Qual. Life Res. 2015, 24, 391–398. [Google Scholar] [CrossRef] [PubMed]
- Onyeneho, N.G.; Aronu, N.I.; Igwe, I.; Okeibunor, J.; Diarra, T.; Anoko, J.N.; Djingarey, M.H.; Yoti, Z.; Chamla, D.; Gueye, A.S. The Impact of the Ebola Virus Disease Epidemic among Women in the Provinces of North Kivu and Ituri in the Democratic Republic of the Congo. J. Immunol. Sci. 2023, (Suppl. S3), 11–19. [Google Scholar] [CrossRef] [PubMed] [PubMed Central]
- Klein, S.L.; Flanagan, K.L. Sex differences in immune responses. Nat. Rev. Immunol. 2016, 16, 626–638. [Google Scholar] [CrossRef]
- Pennell, L.M.; Galligan, C.L.; Fish, E.N. Sex affects immunity. J. Autoimmun. 2012, 38, J282–J291. [Google Scholar] [CrossRef] [PubMed]
- Fink, A.L.; Klein, S.L. The evolution of greater humoral immunity in females than males: Implications for vaccine efficacy. Curr. Opin. Physiol. 2018, 6, 16–20. [Google Scholar] [CrossRef]
- Bouman, A.; Schipper, M.; Heineman, M.J.; Faas, M.M. Gender difference in the non-specific and specific immune response in humans. Am. J. Reprod. Immunol. 2004, 52, 19–26. [Google Scholar] [CrossRef]
- Scott, J.T.; Sesay, F.R.; Massaquoi, T.A.; Idriss, B.R.; Sahr, F.; Semple, M.G. Post-Ebola Syndrome, Sierra Leone. Emerg. Infect. Dis. 2016, 22, 641–646. [Google Scholar] [CrossRef]
- Varkey, J.B.; Shantha, J.G.; Crozier, I.; Kraft, C.S.; Lyon, G.M.; Mehta, A.K.; Kumar, G.; Smith, J.R.; Kainulainen, M.H.; Whitmer, S.; et al. Persistence of Ebola Virus in Ocular Fluid during Convalescence. N. Engl. J. Med. 2015, 372, 2423–2427. [Google Scholar] [CrossRef] [PubMed]
- Jalloh, M.F.; Li, W.; Bunnell, R.E.; Ethier, K.A.; O’Leary, A.; Hageman, K.M.; Sengeh, P.; Jalloh, M.B.; Morgan, O.; Hersey, S.; et al. Impact of Ebola experiences and risk perceptions on mental health in Sierra Leone, July 2015. BMJ Glob. Health 2018, 3, e000471. [Google Scholar] [CrossRef] [PubMed]





Disclaimer/Publisher’s Note: The statements, opinions and data contained in all publications are solely those of the individual author(s) and contributor(s) and not of MDPI and/or the editor(s). MDPI and/or the editor(s) disclaim responsibility for any injury to people or property resulting from any ideas, methods, instructions or products referred to in the content. |
© 2025 by the authors. Licensee MDPI, Basel, Switzerland. This article is an open access article distributed under the terms and conditions of the Creative Commons Attribution (CC BY) license (https://creativecommons.org/licenses/by/4.0/).
Share and Cite
Kaweesa, R.E.; Katende, J.S.; Odoch, G.; Ntabadde, A.D.; Wayesu, R.R.; Mukisa, D.; Ejou, P.; on behalf of the FiloStudy Team; Kaleebu, P.; Serwanga, J. Two Decades Later: Long-Term Multisystem Sequelae and Subclinical Organ Dysfunction in Sudan Ebola Virus (SUDV) Survivors of the 2000 Outbreak. Viruses 2025, 17, 1410. https://doi.org/10.3390/v17111410
Kaweesa RE, Katende JS, Odoch G, Ntabadde AD, Wayesu RR, Mukisa D, Ejou P, on behalf of the FiloStudy Team, Kaleebu P, Serwanga J. Two Decades Later: Long-Term Multisystem Sequelae and Subclinical Organ Dysfunction in Sudan Ebola Virus (SUDV) Survivors of the 2000 Outbreak. Viruses. 2025; 17(11):1410. https://doi.org/10.3390/v17111410
Chicago/Turabian StyleKaweesa, Raymond Ernest, Joseph Ssebwana Katende, Geoffrey Odoch, Annie Daphine Ntabadde, Raymond Reuel Wayesu, Deborah Mukisa, Peter Ejou, on behalf of the FiloStudy Team, Pontiano Kaleebu, and Jennifer Serwanga. 2025. "Two Decades Later: Long-Term Multisystem Sequelae and Subclinical Organ Dysfunction in Sudan Ebola Virus (SUDV) Survivors of the 2000 Outbreak" Viruses 17, no. 11: 1410. https://doi.org/10.3390/v17111410
APA StyleKaweesa, R. E., Katende, J. S., Odoch, G., Ntabadde, A. D., Wayesu, R. R., Mukisa, D., Ejou, P., on behalf of the FiloStudy Team, Kaleebu, P., & Serwanga, J. (2025). Two Decades Later: Long-Term Multisystem Sequelae and Subclinical Organ Dysfunction in Sudan Ebola Virus (SUDV) Survivors of the 2000 Outbreak. Viruses, 17(11), 1410. https://doi.org/10.3390/v17111410

