Dynamic Changes in Non-Invasive Markers of Liver Fibrosis Are Predictors of Liver Events after SVR in HCV Patients
Abstract
1. Study Highlights
- Achievement of SVR is associated with clinical benefits, including a reduction in hepatic and extrahepatic manifestations.
- The use of non-invasive scores in patients with HCV infection prior to treatment is well established. Although they may be used to aid disease management after SVR, their application after SVR is uncertain, and is not currently recommended.
- What is new here:
- Determining risk factors for LRE after SVR will optimize patient surveillance after therapy.
- Dynamic assessment of the FIB-4 index, before and after SVR, is an adequate predictor of LRE after SVR in HCV-ACLD patients.
- This study provides cut-offs for the FIB-4 score one and two years after SVR to predict LRE (portal hypertension decompensation and hepatocellular carcinoma) in HCV-ACLD patients.
2. Introduction
3. Materials and Methods
3.1. Study Population
3.2. Non-Invasive Assessment of Fibrosis and Clinical Outcomes
3.3. Statistical Analysis
4. Results
4.1. Study Population
4.2. Follow Up and Liver-Related Events
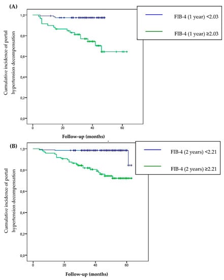
4.3. Factors Associated with Portal Hypertension Decompensation
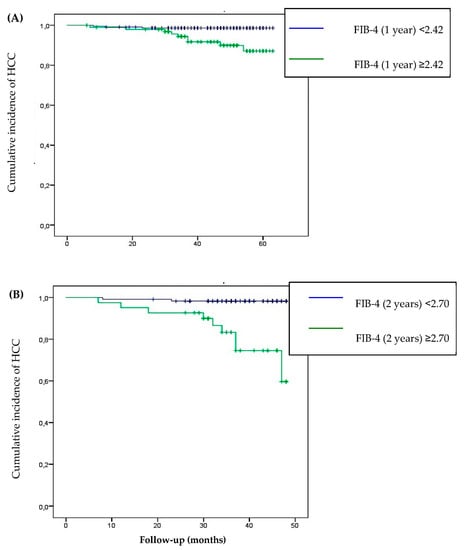
4.4. Factors Associated with HCC
4.5. Implications of Serological Marker Levels after SVR on the Risk of Developing LRE
5. Discussion
Supplementary Materials
Author Contributions
Funding
Institutional Review Board Statement
Informed Consent Statement
Data Availability Statement
Conflicts of Interest
Abbreviations
| SVR | sustained virological response |
| DAAs | direct-acting antivirals |
| LREs | liver-related events |
| ACLD | advanced chronic liver disease |
| HCV | hepatitis C virus |
| HCC | hepatocellular carcinoma |
| TE | transient elastography |
| FIB-4 | Fibrosis-4 |
| APRI | aspartate-to-platelet ratio index |
| SBP | spontaneous bacterial peritonitis |
| VB | variceal bleeding |
| CP | Child–Pugh |
| HVB | hepatitis B virus |
| HIV | human immunodeficiency virus |
| LSM | liver stiffness measurement |
| IQR | interquartile range |
| HT | hypertension (HT) |
| DM | diabetes mellitus |
| HD | heart disease |
| DL | dyslipidemia |
| RCD | chronic kidney disease |
| ROC | receiver operating characteristic |
References
- Razavi, H.; ElKhoury, A.C.; Elbasha, E.; Estes, C.; Pasini, K.; Poynard, T.; Kumar, R. Chronic hepatitis C virus (HCV) disease burden and cost in the United States. Hepatology 2013, 57, 2164–2170. [Google Scholar] [CrossRef]
- Centre for Disease Analysis. Web Annex B: WHO estimates of the prevalence and incidence of hepatitis C virus infection by WHO region, 2015. In Global Hepatitis Report 2017; World Health Organization: Geneva, Switzerland, 2018. [Google Scholar]
- Schinazi, R.; Halfon, P.; Marcellin, P.; Asselah, T. HCV direct-acting antiviral agents: The best interferon-free combinations. Liver Int. Off. J. Int. Assoc. Study Liver 2014, 34, 69–78. [Google Scholar] [CrossRef] [PubMed]
- European Association for the Study of the Liver; Clinical Practice Guideline Panel. EASL Clinical Practice Guidelines on non-invasive tests for evaluation of liver disease severity and prognosis. J. Hepatol. 2021, 75, 659–689. [Google Scholar] [CrossRef] [PubMed]
- European Association for the Study of the Liver. EASL recommendations on treatment of hepatitis C: Final update of the series. J. Hepatol. 2020, 73, 1170–1218. [Google Scholar] [CrossRef] [PubMed]
- Ghany, M.G.; Morgan, T.R.; AASLD-IDSA Hepatitis C Guidance Panel. Hepatitis C Guidance 2019 Update: American Association for the Study of Liver Diseases–Infectious Diseases Society of America Recommendations for Testing, Managing, and Treating Hepatitis C Virus Infection. Hepatology 2020, 71, 686–721. [Google Scholar] [CrossRef]
- European Association for Study of Liver; Asociacion Latinoamericana para el Estudio del Higado. EASL-ALEH Clinical Practice Guidelines: Non-invasive tests for evaluation of liver disease severity and prognosis. J. Hepatol. 2015, 63, 237–264. [Google Scholar] [CrossRef]
- Park, H.; Wang, W.; Henry, L.; Nelson, D.R. Impact of All-Oral Direct-Acting Antivirals on Clinical and Economic Outcomes in Patients with Chronic Hepatitis C in the United States. Hepatology 2019, 69, 1032–1045. [Google Scholar] [CrossRef]
- Alonso López, S.; Manzano, M.L.; Gea, F.; Gutiérrez, M.L.; Ahumada, A.M.; Devesa, M.J.; Olveira, A.; Polo, B.A.; Márquez, L.; Fernández, I.; et al. A Model Based on Noninvasive Markers Predicts Very Low Hepatocellular Carcinoma Risk after Viral Response in Hepatitis C Virus-Advanced Fibrosis. Hepatology 2020, 72, 1924–1934. [Google Scholar] [CrossRef]
- Pons, M.; Rodríguez-Tajes, S.; Esteban, J.I.; Mariño, Z.; Vargas, V.; Lens, S.; Buti, M.; Augustin, S.; Forns, X.; Mínguez, B.; et al. Non-invasive prediction of liver-related events in patients with HCV-associated compensated advanced chronic liver disease after oral antivirals. J. Hepatol. 2020, 72, 472–480. [Google Scholar] [CrossRef]
- Cheung, M.C.M.; Walker, A.J.; Hudson, B.E.; Verma, S.; McLauchlan, J.; Mutimer, D.J.; Brown, A.; Gelson, W.T.H.; MacDonald, D.C.; Agarwal, K.; et al. Outcomes after successful direct-acting antiviral therapy for patients with chronic hepatitis C and decompensated cirrhosis. J. Hepatol. 2016, 65, 741–747. [Google Scholar] [CrossRef]
- El-Sherif, O.; Jiang, Z.G.; Tapper, E.B.; Huang, K.; Zhong, A.; Osinusi, A.; Charlton, M.; Manns, M.; Afdhal, N.H.; Mukamal, K.; et al. Baseline Factors Associated with Improvements in Decompensated Cirrhosis after Direct-Acting Antiviral Therapy for Hepatitis C Virus Infection. Gastroenterology 2018, 154, 2111–2121. [Google Scholar] [CrossRef] [PubMed]
- Kuo, Y.; Kee, K.; Hung, C.; Lu, S.; Hu, T.; Chen, C.; Wang, J. Liver stiffness-based score at sustained virologic response predicts liver-related complications after eradication of hepatitis C virus. Kaohsiung J. Med. Sci. 2022, 38, 268–276. [Google Scholar] [CrossRef] [PubMed]
- Takakusagi, S.; Saito, N.; Ueno, T.; Hatanaka, T.; Namikawa, M.; Tojima, H.; Takizawa, D.; Naganuma, A.; Kosone, T.; Arai, H.; et al. Changes of esophageal varices in hepatitis C patients after achievement of a sustained viral response by direct-acting antivirals. DEN Open 2022, 2, e11. [Google Scholar] [CrossRef]
- Benhammou, J.N.; Moon, A.M.; Pisegna, J.R.; Su, F.; Vutien, P.; Moylan, C.A.; Ioannou, G.N. Nonalcoholic Fatty Liver Disease Risk Factors Affect Liver-Related Outcomes after Direct-Acting Antiviral Treatment for Hepatitis C. Dig. Dis. Sci. 2021, 66, 2394–2406. [Google Scholar] [CrossRef]
- Boursier, J.; Nahon, P.; Guettier, M.; Moreau, C.; Riou, J.; Audureau, E.; Roux, M. The dynamics of FIB4 after sustained viral response predicts the risk of liver-related complication in HCV cirrhosis (ANRS CO12 Cirvir). J. Hepatol. 2020, 73, S104. [Google Scholar] [CrossRef]
- Degasperi, E.; D’ambrosio, R.; Iavarone, M.; Sangiovanni, A.; Aghemo, A.; Soffredini, R.; Borghi, M.; Lunghi, G.; Colombo, M.; Lampertico, P. Factors Associated with Increased Risk of De Novo or Recurrent Hepatocellular Carcinoma in Patients with Cirrhosis Treated with Direct-Acting Antivirals for HCV Infection. Clin. Gastroenterol. Hepatol. Off. Clin. Pract. J. Am. Gastroenterol. Assoc. 2019, 17, 1183–1191.e7. [Google Scholar] [CrossRef]
- van der Meer, A.J.; Feld, J.J.; Hofer, H.; Almasio, P.L.; Calvaruso, V.; Fernández-Rodríguez, C.M.; Aleman, S.; Ganne-Carrié, N.; D’Ambrosio, R.; Pol, S.; et al. Risk of cirrhosis-related complications in patients with advanced fibrosis following hepatitis C virus eradication. J. Hepatol. 2017, 66, 485–493. [Google Scholar] [CrossRef] [PubMed]
- Bugianesi, E.; Salamone, F.; Negro, F. The interaction of metabolic factors with HCV infection: Does it matter? J. Hepatol. 2012, 56 (Suppl. S1), S56–S65. [Google Scholar] [CrossRef]
- Sanduzzi-Zamparelli, M.; Mariño, Z.; Lens, S.; Sapena, V.; Iserte, G.; Pla, A.; Granel, N.; Bartres, C.; Llarch, N.; Vilana, R.; et al. Liver cancer risk after HCV cure in patients with advanced liver disease without non-characterized nodules. J. Hepatol. 2022, 76, 874–882. [Google Scholar] [CrossRef]
- Lockart, I.; Yeo, M.G.H.; Hajarizadeh, B.; Dore, G.J.; Danta, M. HCC incidence after hepatitis C cure among patients with advanced fibrosis or cirrhosis: A meta-analysis. Hepatology 2022, 76, 139–154. [Google Scholar] [CrossRef]
- Ide, T.; Koga, H.; Nakano, M.; Hashimoto, S.; Yatsuhashi, H.; Higuchi, N.; Nakamuta, M.; Oeda, S.; Eguchi, Y.; Shakado, S.; et al. Direct-acting antiviral agents do not increase the incidence of hepatocellular carcinoma development: A prospective, multicenter study. Hepatol. Int. 2019, 13, 293–301. [Google Scholar] [CrossRef] [PubMed]
- Lu, M.-Y.; Yeh, M.-L.; Huang, C.-I.; Wang, S.-C.; Tsai, Y.-S.; Tsai, P.-C.; Ko, Y.-M.; Lin, C.-C.; Chen, K.-Y.; Wei, Y.-J.; et al. Dynamics of cytokines predicts risk of hepatocellular carcinoma among chronic hepatitis C patients after viral eradication. World J. Gastroenterol. 2022, 28, 140–153. [Google Scholar] [CrossRef] [PubMed]
- Miyasaka, A.; Yoshida, Y.; Suzuki, A.; Sawara, K.; Takikawa, Y. A Novel Standard for Hepatocellular Carcinoma Screening Intensity after Hepatitis C Elimination. Int. J. Gen. Med. 2021, 14, 8935–8943. [Google Scholar] [CrossRef] [PubMed]
- Romano, A.; Angeli, P.; Piovesan, S.; Noventa, F.; Anastassopoulos, G.; Chemello, L.; Cavalletto, L.; Gambato, M.; Russo, F.P.; Burra, P.; et al. Newly diagnosed hepatocellular carcinoma in patients with advanced hepatitis C treated with DAAs: A prospective population study. J. Hepatol. 2018, 69, 345–352. [Google Scholar] [CrossRef]
- Li, X.; Xu, H.; Gao, P. Fibrosis Index Based on 4 Factors (FIB-4) Predicts Liver Cirrhosis and Hepatocellular Carcinoma in Chronic Hepatitis C Virus (HCV) Patients. Med. Sci. Monit. 2019, 25, 7243–7250. [Google Scholar] [CrossRef]
- Yongpisarn, T.; Thimphitthaya, C.; Laoveeravat, P.; Wongjarupong, N.; Chaiteerakij, R. Non-invasive tests for predicting liver outcomes in chronic hepatitis C patients: A systematic review and meta-analysis. World J. Hepatol. 2021, 13, 949–968. [Google Scholar] [CrossRef]
- Kanwal, F.; Kramer, J.R.; Asch, S.M.; Cao, Y.; Li, L.; El-Serag, H.B. Long-Term Risk of Hepatocellular Carcinoma in HCV Patients Treated with Direct Acting Antiviral Agents. Hepatology 2020, 71, 44–55. [Google Scholar] [CrossRef]
- Toyoda, H.; Tada, T.; Yasuda, S.; Mizuno, K.; Ito, T.; Kumada, T. Dynamic Evaluation of Liver Fibrosis to Assess the Risk of Hepatocellular Carcinoma in Patients with Chronic Hepatitis C Who Achieved Sustained Virologic Response. Clin. Infect. Dis. Off. Publ. Infect. Dis. Soc. Am. 2020, 70, 1208–1214. [Google Scholar] [CrossRef]
- Ampuero, J.; Carmona, I.; Sousa, F.; Rosales, J.M.; López-Garrido, Á.; Casado, M.; Figueruela, B.; Aparicio-Serrano, A.; Andrade, R.; Guerra-Veloz, M.F.; et al. A 2-Step Strategy Combining FIB-4 with Transient Elastography and Ultrasound Predicted Liver Cancer after HCV Cure. Am. J. Gastroenterol. 2022, 117, 138–146. [Google Scholar] [CrossRef]
- Ioannou, G.N.; Beste, L.A.; Green, P.K.; Singal, A.G.; Tapper, E.B.; Waljee, A.K.; Sterling, R.K.; Feld, J.J.; Kaplan, D.E.; Taddei, T.H.; et al. Increased Risk for Hepatocellular Carcinoma Persists Up to 10 Years after HCV Eradication in Patients with Baseline Cirrhosis or High FIB-4 Scores. Gastroenterology 2019, 157, 1264–1278.e4. [Google Scholar] [CrossRef]
- Tamaki, N.; Kurosaki, M.; Yasui, Y.; Mori, N.; Tsuji, K.; Hasebe, C.; Joko, K.; Akahane, T.; Furuta, K.; Kobashi, H.; et al. Change in Fibrosis 4 Index as Predictor of High Risk of Incident Hepatocellular Carcinoma after Eradication of Hepatitis C Virus. Clin. Infect. Dis. Off. Publ. Infect. Dis. Soc. Am. 2021, 73, e3349–e3354. [Google Scholar] [CrossRef] [PubMed]
- Na, S.K.; Lee, S.J.; Cho, Y.-K.; Kim, Y.N.; Choi, E.K.; Song, B.-C. Aspartate Aminotransferase-to-Platelet Ratio or Fibros-4 Index Predicts the Development of Hepatocellular Carcinoma in Chronic Hepatitis C Patients with Sustained Virologic Response to Interferon Therapy. J. Interf. Cytokine Res. 2019, 39, 703–710. [Google Scholar] [CrossRef] [PubMed]
- Kumada, T.; Toyoda, H.; Yasuda, S.; Tada, T.; Tanaka, J. Usefulness of serial FIB-4 score measurement for predicting the risk of hepatocarcinogenesis after hepatitis C virus eradication. Eur. J. Gastroenterol. Hepatol. 2021, 33, e513–e521. [Google Scholar] [CrossRef] [PubMed]







| Characteristics | N (%)/Me | CI (95%)/P25; P75 | |
|---|---|---|---|
| Sex | Male Female | 221 (68.8) 100 (31.2) | 63.8; 73.9 26.1; 36.3 |
| Age | 57 | 52.0; 67.5 | |
| Alcohol user | Yes Ex | 48 (15.0) 73 (22.9) | 11.1; 19.0 18.3; 27.5 |
| IDUs | Yes Ex-IDUs | 5 (1.6) 77 (24.3) | 0.2; 3.0 19.5; 29.0 |
| HT | 126 (39.3) | 33.9; 44.6 | |
| DM | 69 (21.5) | 17.0; 26.0 | |
| DL | 21 (6.5) | 3.8; 9.3 | |
| CKD | 14 (4.4) | 2.1; 6.6 | |
| HD | 43 (13.4) | 9.7; 17.1 | |
| Genotype | 1 2 3 4 | 249 (77.6) 4 (1.2) 44 (13.7) 24 (7.5) | 73.0; 82.2 0.03; 2.5 9.9; 17.5 4.6; 10.4 |
| DAA treatment | 1. Sofosbuvir + Daclatasvir 2. Simeprevir + Sofosbuvir 3. Sofosbuvir/Ledipasvir 4. Ombitasvir/Paritaprevir/Ritonavir + Dasabuvir 5. Sofosbuvir/Veltapasvir 6. Elbasvir/Grazoprevir 7. Glecaprevir/Pibrentasvir 8. Sofosbuvir/Velpatasvir/Voxilaprevir | 19 (7.6) 30 (12.0) 144 (57.6) 24 (9.6) 9 (3.6) 23 (9.2) 1 (0.4) 0 | 4.3; 10.9 7.9; 16.1 51.4; 63.8 5.9; 13.3 1.3; 5.9 5.6; 12.8 0; 1.2 0 |
| Child–Pugh | A5 A6 B7 B8 | 262 (83.7) 15 (4.8) 28 (8.9) 8 (2.6) | 79.6; 87.8 2.4; 7.2 5.8; 12.1 0.8; 4.3 |
| MELD | 7 | 7; 8 | |
| TE (kPa) | 15.4 | 12.0; 23.0 | |
| FIB-4 | 2.9 | 1.8; 5.3 | |
| APRI | 1.2 | 0.7; 23 | |
| Previous decompensation | 32 (10.0) | 7; 14 | |
| Portal Hypertension Decompensation | ||||
|---|---|---|---|---|
| Characteristics | HR | CI (95%) | p | |
| Model 1 | ||||
| Child–Pugh | A B | 1 4.13 | 1.74; 9.81 | <0.001 |
| FIB-4 (baseline) | 1.12 | 1.03; 1.21 | 0.006 | |
| Model 2 | ||||
| Child–Pugh | A B | 1 3.14 | 1.24; 7.94 | 0.016 |
| FIB-4 (1 year) | 1.31 | 1.15; 1.48 | <0.001 | |
| Model 3 | ||||
| Child–Pugh | A B | 1 2.84 | 1.16; 6.95 | 0.023 |
| FIB-4 (2 years) | 1.42 | 1.23; 1.64 | <0.001 | |
| HCC | ||||
|---|---|---|---|---|
| Characteristics | HR | CI (95%) | p | |
| Model 1 | ||||
| Age | 1.13 | 1.05; 1.22 | 0.001 | |
| Genotype | Others GT 3 | 1 33.18 | 6.24; 176.50 | <0.001 |
| DM | No Yes | 1 4.92 | 1.26; 19.22 | 0.022 |
| FIB-4 (baseline) | 1.15 | 1.04; 1.27 | 0.005 | |
| Model 2 | ||||
| Age | 1.14 | 1.06; 1.23 | 0.001 | |
| Genotype | Others GT 3 | 1 34.86 | 6.29; 193.15 | <0.001 |
| DM | No Yes | 1 4.89 | 1.21; 19.78 | 0.026 |
| FIB-4 (1 year) | 1.38 | 1.09; 1.75 | 0.026 | |
| Model 3 | ||||
| Age | 1.10 | 1.02; 1.18 | 0.010 | |
| Genotype | Others GT 3 | 1 36.69 | 6.73; 199.90 | <0.001 |
| DM | No Yes | 1 6.84 | 1.59; 29.33 | 0.010 |
| FIB-4 (2 years) | 1.53 | 1.21; 1.95 | <0.001 | |
Disclaimer/Publisher’s Note: The statements, opinions and data contained in all publications are solely those of the individual author(s) and contributor(s) and not of MDPI and/or the editor(s). MDPI and/or the editor(s) disclaim responsibility for any injury to people or property resulting from any ideas, methods, instructions or products referred to in the content. |
© 2023 by the authors. Licensee MDPI, Basel, Switzerland. This article is an open access article distributed under the terms and conditions of the Creative Commons Attribution (CC BY) license (https://creativecommons.org/licenses/by/4.0/).
Share and Cite
Fernández-Alvarez, P.; Guerra-Veloz, M.F.; Vilches-Arenas, A.; Cordero-Ruíz, P.; Bellido-Muñoz, F.; Caunedo-Alvarez, A.; Carmona-Soria, I. Dynamic Changes in Non-Invasive Markers of Liver Fibrosis Are Predictors of Liver Events after SVR in HCV Patients. Viruses 2023, 15, 1251. https://doi.org/10.3390/v15061251
Fernández-Alvarez P, Guerra-Veloz MF, Vilches-Arenas A, Cordero-Ruíz P, Bellido-Muñoz F, Caunedo-Alvarez A, Carmona-Soria I. Dynamic Changes in Non-Invasive Markers of Liver Fibrosis Are Predictors of Liver Events after SVR in HCV Patients. Viruses. 2023; 15(6):1251. https://doi.org/10.3390/v15061251
Chicago/Turabian StyleFernández-Alvarez, Paula, María Fernanda Guerra-Veloz, Angel Vilches-Arenas, Patricia Cordero-Ruíz, Francisco Bellido-Muñoz, Angel Caunedo-Alvarez, and Isabel Carmona-Soria. 2023. "Dynamic Changes in Non-Invasive Markers of Liver Fibrosis Are Predictors of Liver Events after SVR in HCV Patients" Viruses 15, no. 6: 1251. https://doi.org/10.3390/v15061251
APA StyleFernández-Alvarez, P., Guerra-Veloz, M. F., Vilches-Arenas, A., Cordero-Ruíz, P., Bellido-Muñoz, F., Caunedo-Alvarez, A., & Carmona-Soria, I. (2023). Dynamic Changes in Non-Invasive Markers of Liver Fibrosis Are Predictors of Liver Events after SVR in HCV Patients. Viruses, 15(6), 1251. https://doi.org/10.3390/v15061251

