Baseline Plasma Osteopontin Protein Elevation Predicts Adverse Outcomes in Hospitalized COVID-19 Patients
Abstract
1. Introduction
2. Patients and Methods
2.1. Patients
2.1.1. SARS-CoV-2 Variants
2.1.2. Circulating OPN Levels Determination
2.1.3. Endpoint Definition
2.1.4. Blood Sample
2.1.5. Routine Laboratory Evaluation
2.1.6. Data Collection
2.1.7. Statistical Analyses
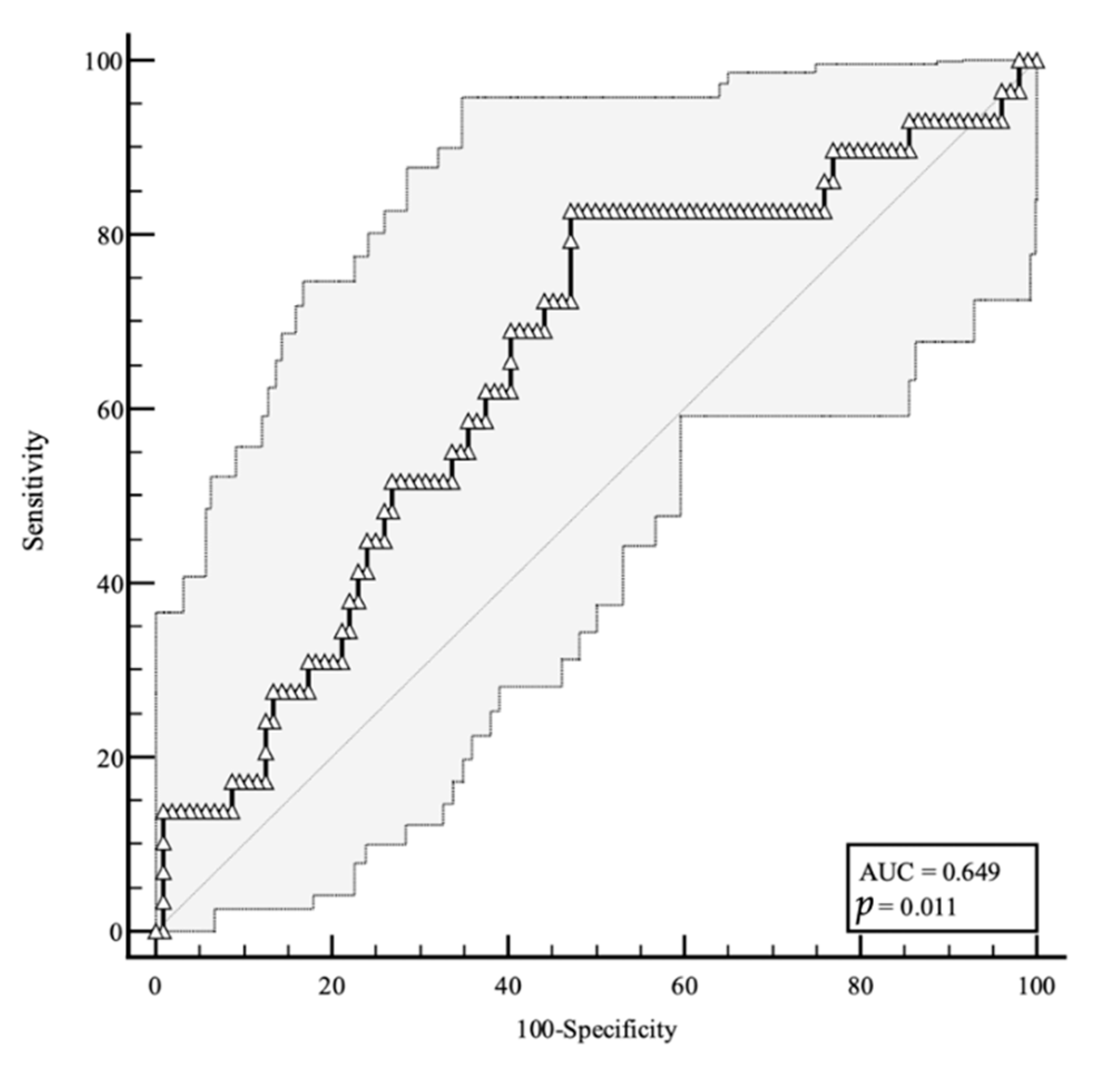
3. Results
4. Discussion
5. Conclusions
Author Contributions
Funding
Institutional Review Board Statement
Informed Consent Statement
Data Availability Statement
Conflicts of Interest
References
- Wang, K.X.; Denhardt, D.T. Osteopontin: Role in immune regulation and stress responses. Cytokine Growth Factor Rev. 2008, 19, 333–345. [Google Scholar] [CrossRef]
- Lund, S.A.; Giachelli, C.M.; Scatena, M. The role of osteopontin in inflammatory processes. J. Cell Commun. Signal. 2009, 3, 311–322. [Google Scholar] [CrossRef] [PubMed]
- O’Regan, A.; Berman, J.S. Osteopontin: A key cytokine in cell-mediated and granulomatous inflammation. Int. J. Exp. Pathol. 2000, 81, 373–390. [Google Scholar] [CrossRef] [PubMed]
- Kazanecki, C.C.; Kowalski, A.J.; Ding, T.; Rittling, S.R.; Denhardt, D.T. Characterization of anti-osteopontin monoclonal antibodies: Binding sensitivity to post-translational modifications. J. Cell. Biochem. 2007, 102, 925–935. [Google Scholar] [CrossRef] [PubMed]
- Kahles, F.; Findeisen, H.M.; Bruemmer, D. Osteopontin: A novel regulator at the cross roads of inflammation, obesity and diabetes. Mol. Metab. 2014, 3, 384–393. [Google Scholar] [CrossRef]
- Reisner, A.; Blackwell, L.S.; Sayeed, I.; Myers, H.E.; Wali, B.; Heilman, S.; Figueroa, J.; Lu, A.; Hussaini, L.; Anderson, E.J.; et al. Osteopontin as a biomarker for COVID-19 se-verity and multisystem inflammatory syndrome in children: A pilot study. Exp. Biol. Med. 2022, 247, 145–151. [Google Scholar] [CrossRef]
- Hattori, T.; Iwasaki-Hozumi, H.; Bai, G.; Chagan-Yasutan, H.; Shete, A.; Telan, E.F.; Takahashi, A.; Ashino, Y.; Matsuba, T. Both full-length and protease-cleaved products of osteopontin are elevated in infectious diseases. Biomedicines 2021, 9, 1006. [Google Scholar] [CrossRef]
- Chen, F.; Liu, H.; Shen, Q.; Yuan, S.; Xu, L.; Cai, X.; Lian, J.; Chen, S.Y. Osteopontin: Participation in inflammation or mucosal protection in inflammatory bowel diseases? Dig. Dis. Sci. 2013, 58, 1569–1580. [Google Scholar] [CrossRef]
- Kaleta, B. Role of Osteopontin in Systemic Lupus Erythematosus. Arch. Immunol. Ther. Exp. 2014, 62, 475–482. [Google Scholar] [CrossRef]
- Zhang, F.; Luo, W.; Li, Y.; Gao, S.; Lei, G. Role of osteopontin in rheumatoid arthritis. Rheumatol. Int. 2015, 35, 589–595. [Google Scholar] [CrossRef]
- Bellan, M.; Piccinino, C.; Tonello, S.; Minisini, R.; Giubertoni, A.; Sola, D.; Pedrazzoli, R.; Gagliardi, I.; Zecca, E.; Calzaducca, E.; et al. Role of osteopontin as a potential biomarker of pulmonary arterial hypertension in patients with systemic sclerosis and other connective tissue diseases (CTDS). Pharmaceuticals 2021, 14, 394. [Google Scholar] [CrossRef] [PubMed]
- Shevde, L.A.; Samant, R.S. Role of osteopontin in the pathophysiology of cancer. Matrix Biol. 2014, 37, 131–141. [Google Scholar] [CrossRef] [PubMed]
- Giachelli, C.M.; Steitz, S. Osteopontin: A versatile regulator of inflammation and biomineralization. Matrix Biol. 2000, 19, 615–622. [Google Scholar] [CrossRef] [PubMed]
- Rittling, S.R. Osteopontin in macrophage function. Expert Rev. Mol. Med. 2011, 13, e15. [Google Scholar] [CrossRef]
- Lotfi, M.; Hamblin, M.R.; Rezaei, N. COVID-19: Transmission, prevention, and potential therapeutic opportunities. Clin. Chim. Acta 2020, 508, 254–266. [Google Scholar] [CrossRef]
- Available online: https://covid19.who.int/ (accessed on 26 January 2023).
- Corradini, E.; Ventura, P.; Ageno, W.; Cogliati, C.B.; Muiesan, M.L.; Girelli, D.; Pirisi, M.; Gasbarrini, A.; Angeli, P.; Querini, P.R.; et al. Clinical factors associated with death in 3044 COVID-19 patients managed in internal medicine wards in Italy: Results from the SIMI-COVID-19 study of the Italian Society of Internal Medicine (SIMI). Intern. Emerg. Med. 2021, 16, 1005–1015. [Google Scholar] [CrossRef]
- Polverino, F.; Stern, D.A.; Ruocco, G.; Balestro, E.; Bassetti, M.; Candelli, M.; Cirillo, B.; Contoli, M.; Corsico, A.; D’Amico, F.; et al. Comorbidities, cardiovascular therapies, and COVID-19 mortality: A nationwide, italian observational study (ItaliCO). Front. Cardiovasc. Med. 2020, 7, 585866. [Google Scholar] [CrossRef]
- Gavelli, F.; Castello, L.M.; Bellan, M.; Azzolina, D.; Hayden, E.; Beltrame, M.; Galbiati, A.; Gardino, C.A.; Gastaldello, M.L.; Giolitti, F.; et al. Clinical stability and in-hospital mortality prediction in COVID-19 patients presenting to the Emergency Department. Minerva Med. 2021, 112, 118–123. [Google Scholar] [CrossRef]
- Fnu, G.; Hudock, K.; Powers-Fletcher, M.; Huang, R.; Weber, G.F. Induction of a Cytokine Storm Involves Suppression of the Osteopontin-Dependent TH1 Response. Immunology 2022, 67, 165–180. [Google Scholar] [CrossRef]
- da Silva-Neto, P.V.; Do Valle, V.B.; Fuzo, C.A.; Fernandes, T.M.; Toro, D.M.; Fraga-Silva, T.F.C.; Basile, P.A.; de Carvalho, J.C.S.; Pimentel, V.E.; Pérez, M.M.; et al. Matrix Metalloproteinases on Severe COVID-19 Lung Disease Pathogenesis: Cooperative Actions of MMP-8/MMP-2 Axis on Immune Response through HLA-G Shedding and Oxidative Stress. Biomolecules 2022, 12, 604. [Google Scholar] [CrossRef]
- Bellan, M.; Patti, G.; Hayden, E.; Azzolina, D.; Pirisi, M.; Acquaviva, A.; Aimaretti, G.; Aluffi Valletti, P.; Angilletta, R.; Arioli, R.; et al. Fatality rate and predictors of mortality in an Italian cohort of hospitalized COVID-19 patients. Sci. Rep. 2020, 10, 20731. [Google Scholar] [CrossRef] [PubMed]
- Soy, M.; Keser, G.; Atagündüz, P.; Tabak, F.; Atagündüz, I.; Kayhan, S. Cytokine storm in COVID-19: Pathogenesis and overview of anti-inflammatory agents used in treatment. Clin. Rheumatol. 2020, 39, 2085–2094. [Google Scholar] [CrossRef] [PubMed]
- Tang, N.; Bai, H.; Chen, X.; Gong, J.; Li, D.; Sun, Z. Anticoagulant treatment is associated with decreased mortality in severe coronavirus disease 2019 patients with coagulopathy. J. Thromb. Haemost. 2020, 18, 1094–1099. [Google Scholar] [CrossRef] [PubMed]
- Guglielmetti, G.; Quaglia, M.; Sainaghi, P.P.; Castello, L.M.; Vaschetto, R.; Pirisi, M.; Corte, F.D.; Avanzi, G.C.; Stratta, P.; Cantaluppi, V. “war to the knife” against thromboinflammation to protect endothelial function of COVID-19 patients. Crit. Care 2020, 24, 365. [Google Scholar] [CrossRef]
- Shirakawa, K.; Sano, M.; Cameli, M. Osteopontin in Cardiovascular Diseases. Biomolecules. 2021, 11, 1047. [Google Scholar] [CrossRef]
- Kölmel, S.; Hobohm, L.; Käberich, A.; Krieg, V.J.; Bochenek, M.L.; Wenzel, P.; Wiedenroth, C.B.; Liebetrau, C.; Hasenfuß, G.; Mayer, E.; et al. Potential Involvement of Osteopontin in Inflammatory and Fibrotic Processes in Pulmonary Embolism and Chronic Thromboembolic Pulmonary Hypertension. Thromb. Haemost. 2019, 119, 1332–1346. [Google Scholar] [CrossRef]
- Hosseini, A.; Hashemi, V.; Shomali, N.; Asghari, F.; Gharibi, T.; Akbari, M.; Gholizadeh, S.; Jafari, A. Innate and adaptive immune responses against coronavirus. Biomed. Pharmacother. 2020, 132, 110859. [Google Scholar] [CrossRef]
- Bai, G.; Furushima, D.; Niki, T.; Matsuba, T.; Maeda, Y.; Takahashi, A.; Hattori, T.; Ashino, Y. High levels of the cleaved form of galectin-9 and osteopontin in the plasma are associated with inflammatory markers that reflect the severity of COVID-19 pneumonia. Int. J. Mol. Sci. 2021, 22, 4978. [Google Scholar] [CrossRef]
- Xu, C.; Wu, Y.; Liu, N. Osteopontin in autoimmune disorders: Current knowledge and future perspective. Inflammopharmacology 2022, 30, 385–396. [Google Scholar] [CrossRef]
- Ruhl, L.; Pink, I.; Kühne, J.F.; Beushausen, K.; Keil, J.; Christoph, S.; Sauer, A.; Boblitz, L.; Schmidt, J.; David, S.; et al. Endothelial dysfunction contributes to severe COVID-19 in combination with dysregulated lymphocyte responses and cytokine networks. Signal Transduct. Target. Ther. 2021, 6, 418. [Google Scholar] [CrossRef]
- Wang, X.; Louden, C.; Ohlstein, E.H.; Stadel, J.M.; Gu, J.L.; Yue, T.L. Osteopontin expression in platelet-derived growth factor-stimulated vascular smooth muscle cells and carotid artery after balloon angioplasty. Arterioscler. Thromb. Vasc. Biol. 1996, 16, 1365–1372. [Google Scholar] [CrossRef]
- Wang, J.; Jiang, M.; Chen, X.; Montaner, L.J. Cytokine storm and leukocyte changes in mild versus severe SARS-CoV-2 infection: Review of 3939 COVID-19 patients in China and emerging pathogenesis and therapy concepts. J. Leukoc. Biol. 2020, 108, 17–41. [Google Scholar] [CrossRef]
- Bhaskar, S.; Sinha, A.; Banach, M.; Mittoo, S.; Weissert, R.; Kass, J.S.; Rajagopal, S.; Pai, A.R.; Kutty, S. Cytokine Storm in COVID-19—Immunopathological Mechanisms, Clinical Considerations, and Therapeutic Approaches: The REPROGRAM Consortium Position Paper. Front. Immunol. 2020, 11, 1648. [Google Scholar] [CrossRef] [PubMed]
- Hu, B.; Huang, S.; Yin, L. The cytokine storm and COVID-19. J. Med. Virol. 2021, 93, 250–256. [Google Scholar] [CrossRef] [PubMed]
- Van Den Borne, P.; Quax, P.H.A.; Hoefer, I.E.; Pasterkamp, G. The multifaceted functions of CXCL10 in cardiovascular disease. Biomed Res. Int. 2014, 2014, 893106. [Google Scholar] [CrossRef] [PubMed]
- Chen, Y.; Wang, J.; Liu, C.; Su, L.; Zhang, D.; Fan, J.; Yang, Y.; Xiao, M.; Xie, J.; Xu, Y.; et al. IP-10 and MCP-1 as biomarkers associated with disease severity of COVID-19. Mol. Med. 2020, 26, 97. [Google Scholar] [CrossRef]
- Yang, Y.; Shen, C.; Li, J.; Yuan, J.; Wei, J.; Huang, F.; Wang, F.; Li, G.; Li, Y.; Xing, L.; et al. Plasma IP-10 and MCP-3 levels are highly associated with disease severity and predict the progression of COVID-19. J. Allergy Clin. Immunol. 2020, 146, 119–132. [Google Scholar] [CrossRef] [PubMed]
- Lev, S.; Gottesman, T.; Levin, G.S.; Lederfein, D.; Berkov, E.; Diker, D.; Zaidman, A.; Nutman, A.; Ber, T.I.; Angel, A.; et al. Observational cohort study of IP-10′s potential as a biomarker to aid in inflammation regulation within a clinical decision support protocol for patients with severe COVID-19. PLoS ONE 2021, 16, e0245296. [Google Scholar] [CrossRef]
- Rizzi, M.; Costanzo, M.; Tonello, S.; Matino, E.; Casciaro, F.G.; Croce, A.; Rizzi, E.; Zecca, E.; Pedrinelli, A.; Vassia, V.; et al. Prognostic Markers in Hospitalized COVID-19 Patients: The Role of IP-10 and C-Reactive Protein. Dis. Markers 2022, 2022, 3528312. [Google Scholar] [CrossRef]
- Icer, M.A.; Gezmen-Karadag, M. The multiple functions and mechanisms of osteopontin. Clin. Biochem. 2018, 59, 17–24. [Google Scholar] [CrossRef]
- Liu, H.B.; Chen, Q.Y.; Wang, X.Y.; Zhang, L.J.; Hu, L.P.; Harrison, T.J.; Wang, C.; Fang, Z.L. Infection with Hepatitis B Virus May Increase the Serum Concentrations of Osteopontin. Intervirology 2021, 64, 126–134. [Google Scholar] [CrossRef] [PubMed]
- Baricich, A.; Borg, M.B.; Cuneo, D.; Cadario, E.; Azzolina, D.; Balbo, P.E.; Bellan, M.; Zeppegno, P.; Pirisi, M.; Cisari, C.; et al. Midterm functional sequelae and implications in rehabilitation after coVid-19: A cross-sectional study. Eur. J. Phys. Rehabil. Med. 2021, 57, 199–207. [Google Scholar] [CrossRef] [PubMed]
- Bellan, M.; Baricich, A.; Patrucco, F.; Zeppegno, P.; Gramaglia, C.; Balbo, P.E.; Carriero, A.; Amico, C.S.; Avanzi, G.C.; Barini, M.; et al. Long-term sequelae are highly prevalent one year after hospitalization for severe COVID-19. Sci. Rep. 2021, 11, 22666. [Google Scholar] [CrossRef] [PubMed]
- Varım, C.; Demirci, T.; Cengiz, H.; Hacıbekiroğlu, İ.; Tuncer, F.B.; Çokluk, E.; Toptan, H.; Karabay, O.; Yıldırım, İ. Relationship between serum osteopontin levels and the severity of COVID-19 infection. Wien. Klin. Wochenschr. 2021, 133, 298–302. [Google Scholar] [CrossRef] [PubMed]
- Cappellano, G.; Abreu, H.; Raineri, D.; Scotti, L.; Castello, L.; Vaschetto, R.; Chiocchetti, A. High levels of circulating osteopontin in inflammatory lung disease regardless of SARS-CoV-2 infection. EMBO Mol. Med. 2021, 13, e14124. [Google Scholar] [CrossRef]
- Hayek, S.S.; Roderburg, C.; Blakely, P.; Launius, C.; Eugen-Olsen, J.; Tacke, F.; Ktena, S.; Keitel, V.; Luedde, M.; Giamarellos-Bourboulis, E.J.; et al. Circulating osteopontin levels and outcomes in patients hospitalized for COVID-19. J. Clin. Med. 2021, 10, 3907. [Google Scholar] [CrossRef]
- Tonello, S.; Rizzi, M.; Matino, E.; Costanzo, M.; Casciaro, G.F.; Croce, A.; Rizzi, E.; Zecca, E.; Pedrinelli, A.; Vassia, V.; et al. Baseline Plasma Gas6 Protein Elevation Predicts Adverse Outcomes in Hospitalized COVID-19 Patients. Dis. Markers 2022, 2022, 1568352. [Google Scholar] [CrossRef]
- Bellan, M.; Azzolina, D.; Hayden, E.; Gaidano, G.; Pirisi, M.; Acquaviva, A.; Aimaretti, G.; Valletti, P.A.; Angilletta, R.; Arioli, R.; et al. Simple parameters from complete blood count predict in-hospital mortality in COVID-19. Dis. Markers 2021, 2021, 8863053. [Google Scholar] [CrossRef]
- Barberis, E.; Amede, E.; Tavecchia, M.; Marengo, E.; Cittone, M.G.; Rizzi, E.; Pedrinelli, A.R.; Tonello, S.; Minisini, R.; Pirisi, M.; et al. Understanding protection from SARS-CoV-2 using metabolomics. Sci. Rep. 2021, 11, 13796. [Google Scholar] [CrossRef]
- Rizzi, M.; Patrucco, F.; Trevisan, M.; Faolotto, G.; Mercandino, A.; Strola, C.; Ravanini, P.; Costanzo, M.; Tonello, S.; Matino, E.; et al. Baseline plasma SARS-CoV-2 RNA detection predicts an adverse COVID-19 evolution in moderate to severe hospitalized patients. Panminerva Med. 2022, 64, 465–471. [Google Scholar] [CrossRef]



| Demographics, Parameters, and Clinical Scores | Median (IQR) |
|---|---|
| Gender | 81 males (60.9%)–52 females (39.1%) |
| Age (years) | 63.8 (56.0–72.0) |
| Heart rate (beats/min) | 85 (75–95) |
| Respiratory rate (breaths/min) § | 21 (18–26) |
| SpO2 (%) § | 96 (94–98) |
| Temperature (°C) | 36.5 (36.1–36.7) |
| Systolic pressure (mm Hg) | 129 (120–140) |
| Diastolic pressure (mm Hg) | 75 (70–85) |
| NEWS2 | 5 (4–6) |
| Days from illness onset to hospital admission | 6 (4–8) |
| Hemoglobin (g/dL) | 14.2 (12.6–15.1) |
| RDW-CV (%) | 13.4 (12.9–14) |
| White blood cells (cell count × 103/µL) | 7.39 (5.09–9.52) |
| Neutrophils (cell count × 103/µL) | 5.7 (5.09–9.52) |
| Lymphocytes (cell count × 103/µL) | 0.71 (0.54–0.97) |
| Platelets (cell count × 103/µL) | 205 (162–256) |
| ALT (U/L) | 37 (28–55) |
| AST (U/L) | 42 (32–57) |
| Bilirubin (mg/dL) | 0.6 (0.5–0.8) |
| Creatinine (mg/dL) | 0.81 (0.64–0.96) |
| Glomerular filtration rate (mL/min) | 89 (70–103) |
| CRP (mg/dL) | 8.26 (4.4–12.97) |
| LDH (U/L) | 718 (550–887) |
| Erythrocyte sedimentation rate (mm/h) | 40 (26–54) |
| Troponin I (ng/mL) | 7 (3–15) |
| Ferritin (ng/mL) | 838.5 (413.0–1354) |
| D-dimer (µg/L) | 721 (517–1328) |
| Albumin (g/dL) | 4.0 (3.7–4.2) |
| IL-6 (pg/mL) | 11.5 (5–31.5) |
| pO2 (mm Hg) | 70.0 (59.5–80) |
| pH | 7.46 (7.44–7.49) |
| pCO2 (mm Hg) | 37 (31.1–39.0) |
| PiO2/FiO2 | 146 (119.2–176.67) |
| Negative Disease Evolution (ng/mL) | All Other Patients (ng/mL) | Z | p-Value | |
|---|---|---|---|---|
| t0 | (N = 29) 563 (439–720) | (N = 104) 424 (328–587) | 2.4494 | 0.0143 |
| t7 | (N = 12) 568 (402–732) | (N = 70) 410 (284–649) | 1.2398 | 0.2151 |
| Faster Clinical Recovery (ng/mL) | All Other Patients (ng/mL) | Z | p-Value | |
|---|---|---|---|---|
| t0 | (N = 85) 427 (339–563) | (N = 48) 527 (324–733) | −1.6233 | 0.1045 |
| t7 | (N = 53) 400 (275–649) | (N = 29) 498 (363–699) | −0.8050 | 0.4208 |
| Predictors | Coefficient | Standard Error | p-Value | Odds Ratio | 95% Confidence Interval |
|---|---|---|---|---|---|
| OPN ng/mL | 0.0019 | 0.0009 | 0.0422 | 1.0100 | 1.0010–1.0138 |
| Age | 0.0788 | 0.0232 | 0.0007 | 1.0819 | 1.0339–1.1322 |
| Sex (female) | −1.7330 | 0.5782 | 0.0027 | 0.1768 | 0.0569–0.5490 |
| Laboratory Parameters (Determined as) | Correlation Coefficient (OPN vs. Lab. Parameter) | p-Value | R2 |
|---|---|---|---|
| Hemoglobin (g/dL) | −0.1032 | 0.237 | 0.011 |
| RDW-CV (%) | 0.1624 | 0.062 | 0.026 |
| White blood cells (cell count × 103/µL) | −0.1620 | 0.062 | 0.026 |
| Neutrophils (cell count × 103/µL) | −0.1457 | 0.094 | 0.021 |
| Eosinophils (cell count × 103/µL) | 0.0535 | 0.540 | 0.003 |
| Lymphocytes (cell count × 103/µL) | 0.0008 | 0.992 | 0.000 |
| Platelets (cell count × 103/µL) | −0.1485 | 0.088 | 0.022 |
| ALT (U/L) | −0.1145 | 0.193 | 0.013 |
| AST (U/L) | −0.0626 | 0.482 | 0.004 |
| Bilirubin (mg/dL) | 0.0115 | 0.898 | 0.000 |
| Creatinine (mg/dL) | −0.0641 | 0.464 | 0.004 |
| Glomerular filtration rate (mL/min) | −0.0409 | 0.640 | 0.002 |
| CRP (mg/dL) | 0.1728 | 0.047 | 0.030 |
| LDH (U/L) | 0.129 | 0.885 | 0.000 |
| Erythrocyte sedimentation rate (mm/h) | −0.0204 | 0.835 | 0.000 |
| Troponin I (ng/mL) | −0.1365 | 0.123 | 0.019 |
| Ferritin (ng/mL) | 0.0678 | 0.451 | 0.005 |
| D-dimer (µg/L) | 0.0808 | 0.366 | 0.007 |
| Albumin (g/dL) | 0.0638 | 0.480 | 0.004 |
| IP-10 (pg/mL) | 0.1703 | 0.050 | 0.029 |
| Eotaxin (pg/mL) | −0.0653 | 0.455 | 0.004 |
| FGF (pg/mL) | −0.0635 | 0.468 | 0.004 |
| G-CSF (pg/mL) | −0.0380 | 0.664 | 0.001 |
| GM-CSF (pg/mL) | −0.0542 | 0.536 | 0.003 |
| IFN-γ (pg/mL) | −0.1133 | 0.194 | 0.013 |
| IL−1 (pg/mL) | −0.0556 | 0.525 | 0.003 |
| IL-1 Ra (pg/mL) | −0.0771 | 0.378 | 0.006 |
| IL-2 (pg/mL) | −0.0493 | 0.573 | 0.002 |
| IL-4 (pg/mL) | −0.0533 | 0.543 | 0.003 |
| IL-5 (pg/mL) | −0.0869 | 0.320 | 0.008 |
| IL-6 (pg/mL) | −0.0329 | 0.707 | 0.001 |
| IL-7 (pg/mL) | −0.0397 | 0.650 | 0.002 |
| IL-8 (pg/mL) | 0.0154 | 0.861 | 0.000 |
| IL-9 (pg/mL) | −0.0137 | 0.876 | 0.000 |
| IL-10 (pg/mL) | −0.0410 | 0.639 | 0.002 |
| IL-12 (pg/mL) | −0.0720 | 0.410 | 0.005 |
| IL-13 (pg/mL) | −0.0783 | 0.370 | 0.006 |
| IL-15 (pg/mL) | −0.0405 | 0.644 | 0.002 |
| IL-17 (pg/mL) | −0.0550 | 0.530 | 0.003 |
| MCP-1 (pg/mL) | 0.1856 | 0.032 | 0.034 |
| MIP-1α (pg/mL) | −0.0186 | 0.832 | 0.000 |
| MIP-1β (pg/mL) | −0.0003 | 0.997 | 0.000 |
| PDGF (pg/mL) | 0.0498 | 0.569 | 0.002 |
| RANTES (pg/mL) | −0.1265 | 0.147 | 0.016 |
| TNF-α (pg/mL) | −0.0599 | 0.493 | 0.004 |
| VEGF (pg/mL) | 0.1308 | 0.1332 | 0.017 |
| Fibrinogen | −0.3314 | 0.056 | 0.110 |
Disclaimer/Publisher’s Note: The statements, opinions and data contained in all publications are solely those of the individual author(s) and contributor(s) and not of MDPI and/or the editor(s). MDPI and/or the editor(s) disclaim responsibility for any injury to people or property resulting from any ideas, methods, instructions or products referred to in the content. |
© 2023 by the authors. Licensee MDPI, Basel, Switzerland. This article is an open access article distributed under the terms and conditions of the Creative Commons Attribution (CC BY) license (https://creativecommons.org/licenses/by/4.0/).
Share and Cite
Tonello, S.; D’Onghia, D.; Apostolo, D.; Matino, E.; Costanzo, M.; Casciaro, G.F.; Croce, A.; Rizzi, E.; Zecca, E.; Pedrinelli, A.R.; et al. Baseline Plasma Osteopontin Protein Elevation Predicts Adverse Outcomes in Hospitalized COVID-19 Patients. Viruses 2023, 15, 630. https://doi.org/10.3390/v15030630
Tonello S, D’Onghia D, Apostolo D, Matino E, Costanzo M, Casciaro GF, Croce A, Rizzi E, Zecca E, Pedrinelli AR, et al. Baseline Plasma Osteopontin Protein Elevation Predicts Adverse Outcomes in Hospitalized COVID-19 Patients. Viruses. 2023; 15(3):630. https://doi.org/10.3390/v15030630
Chicago/Turabian StyleTonello, Stelvio, Davide D’Onghia, Daria Apostolo, Erica Matino, Martina Costanzo, Giuseppe Francesco Casciaro, Alessandro Croce, Eleonora Rizzi, Erika Zecca, Anita Rebecca Pedrinelli, and et al. 2023. "Baseline Plasma Osteopontin Protein Elevation Predicts Adverse Outcomes in Hospitalized COVID-19 Patients" Viruses 15, no. 3: 630. https://doi.org/10.3390/v15030630
APA StyleTonello, S., D’Onghia, D., Apostolo, D., Matino, E., Costanzo, M., Casciaro, G. F., Croce, A., Rizzi, E., Zecca, E., Pedrinelli, A. R., Vassia, V., Ravanini, P., Crobu, M. G., Rizzi, M., Landi, R., Castello, L. M., Minisini, R., Avanzi, G. C., Pirisi, M., ... Sainaghi, P. P. (2023). Baseline Plasma Osteopontin Protein Elevation Predicts Adverse Outcomes in Hospitalized COVID-19 Patients. Viruses, 15(3), 630. https://doi.org/10.3390/v15030630

