Do All Critically Ill Patients with COVID-19 Disease Benefit from Adding Tocilizumab to Glucocorticoids? A Retrospective Cohort Study
Abstract
1. Introduction
2. Methods
2.1. Procedures
2.2. Outcome Measures
2.3. Statistical Analysis
3. Results
3.1. Study Population
3.2. Concomitant Treatment
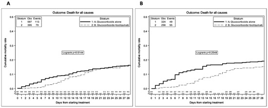
3.3. Replication of the Results of the Recovery Trial
3.4. Subset Analyses
3.5. Adverse Events
4. Discussion
Supplementary Materials
Author Contributions
Funding
Institutional Review Board Statement
Informed Consent Statement
Data Availability Statement
Acknowledgments
Conflicts of Interest
References
- Antonelli, M.; Penfold, R.S.; Merino, J.; Sudre, C.H.; Molteni, E.; Berry, S.; Canas, L.S.; Graham, M.S.; Klaser, K.; Modat, M.; et al. Risk factors and disease profile of post-vaccination SARS-CoV-2 infection in UK users of the COVID Symptom Study app: A prospective, community-based, nested, case-control study. Lancet Infect. Dis. 2022, 22, 43–55. [Google Scholar] [CrossRef] [PubMed]
- The RECOVERY Collaborative Group. Dexamethasone in Hospitalized Patients with COVID-19. N. Engl. J. Med. 2021, 384, 693–704. [Google Scholar] [CrossRef] [PubMed]
- Hennigan S, Kavanaugh A. Interleukin-6 inhibitors in the treatment of rheumatoid arthritis. Ther. Clin. Risk Manag. 2008, 4, 767–775. [Google Scholar] [CrossRef] [PubMed]
- Luo, P.; Liu, Y.; Qiu, L.; Liu, X.; Liu, D.; Li, J. Tocilizumab treatment in COVID-19: A single center experience. J. Med. Virol. 2020, 92, 814–818. [Google Scholar] [CrossRef]
- Bhaskar, S.; Sinha, A.; Banach, M.; Mittoo, S.; Weissert, R.; Kass, J.S.; Rajagopal, S.; Pai, A.R.; Kutty, S. Cytokine Storm in COVID-19-Immunopathological Mechanisms, Clinical Considerations, and Therapeutic Approaches: The REPROGRAM Consortium Position Paper. Front. Immunol. 2020, 11, 1648. [Google Scholar] [CrossRef]
- Zanza, C.; Romenskaya, T.; Manetti, A.C.; Franceschi, F.; La Russa, R.; Bertozzi, G.; Maiese, A.; Savioli, G.; Volonnino, G.; Longhitano, Y. Cytokine Storm in COVID-19: Immunopathogenesis and Therapy. Medicina 2022, 58, 144. [Google Scholar] [CrossRef]
- Obstfeld, A.E.; Frey, N.V.; Mansfield, K.; Lacey, S.F.; June, C.H.; Porter, D.L.; Melenhorst, J.J.; Wasik, M.A. Cytokine release syndrome associated with chimeric-antigen receptor T-cell therapy: Clinicopathological insights. Blood 2017, 130, 2569–2572. [Google Scholar] [CrossRef]
- Rodríguez-Baño, J.; Pachón, J.; Carratalà, J.; Ryan, P.; Jarrín, I.; Yllescas, M.; Arribas, J.R.; Berenguer, J.; Muñoz, E.A.; Gil Divasson, P.; et al. Treatment with tocilizumab or corticosteroids for COVID-19 patients with hyperinflammatory state: A multicentre cohort study (SAM-COVID-19). Clin. Microbiol. Infect. 2021, 27, 244–252. [Google Scholar] [CrossRef]
- Mussini, C.; Cozzi-Lepri, A.; Menozzi, M.; Meschiari, M.; Franceschini, E.; Milic, J.; Brugioni, L.; Pietrangelo, A.; Girardis, M.; Cossarizza, A.; et al. Development and validation of a prediction model for tocilizumab failure in hospitalized patients with SARS-CoV-2 infection. PLoS One 2021, 16, e0247275. [Google Scholar] [CrossRef]
- Guaraldi, G.; Meschiari, M.; Cozzi-Lepri, A.; Milic, J.; Tonelli, R.; Menozzi, M.; Franceschini, E.; Cuomo, G.; Orlando, G.; Borghi, V.; et al. Tocilizumab in patients with severe COVID-19: A retrospective cohort study. Lancet Rheumatol. 2020, 2, e474–e484. [Google Scholar] [CrossRef]
- Hermine, O.; Mariette, X.; Tharaux, P.L.; Resche-Rigon, M.; Porcher, R.; Ravaud, P.; CORIMUNO-19 Collaborative Group. Effect of Tocilizumab vs Usual Care in Adults Hospitalized With COVID-19 and Moderate or Severe Pneumonia: A Randomized Clinical Trial. JAMA Intern. Med. 2021, 181, 32–40. [Google Scholar] [CrossRef] [PubMed]
- Salvarani, C.; Dolci, G.; Massari, M.; Merlo, D.F.; Cavuto, S.; Savoldi, L.; Bruzzi, P.; Boni, F.; Braglia, L.; Turrà, C.; et al. Effect of Tocilizumab vs Standard Care on Clinical Worsening in Patients Hospitalized With COVID-19 Pneumonia: A Randomized Clinical Trial. JAMA Intern. Med. 2021, 181, 24–31. [Google Scholar] [CrossRef] [PubMed]
- Stone, J.H.; Frigault, M.J.; Serling-Boyd, N.J.; Fernandes, A.D.; Harvey, L.; Foulkes, A.S.; Horick, N.K.; Healy, B.C.; Shah, R.; Bensaci, A.M.; et al. Efficacy of Tocilizumab in Patients Hospitalized with COVID-19. N. Engl. J. Med. 2020, 383, 2333–2344. [Google Scholar] [CrossRef] [PubMed]
- Rosas, I.O.; Bräu, N.; Waters, M.; Go, R.C.; Hunter, B.D.; Bhagani, S.; Skiest, D.; Aziz, M.S.; Cooper, N.; Douglas, I.S.; et al. Tocilizumab in Hospitalized Patients with Severe COVID-19 Pneumonia. N. Engl. J. Med. 2021, 384, 1503–1516. [Google Scholar] [CrossRef] [PubMed]
- Salama, C.; Han, J.; Yau, L.; Reiss, W.G.; Kramer, B.; Neidhart, J.D.; Criner, G.J.; Kaplan-Lewis, E.; Baden, R.; Pandit, L.; et al. Tocilizumab in Patients Hospitalized with COVID-19 Pneumonia. N. Engl. J. Med. 2021, 384, 20–30. [Google Scholar] [CrossRef] [PubMed]
- Gordon, A.C.; Mouncey, P.R.; Al-Beidh, F.; Rowan, K.M.; Nichol, A.D.; Arabi, Y.M.; Annane, D.; Beane, A.; Van Bentum-Puijk, W.; Berry, L.R.; et al. Interleukin-6 Receptor Antagonists in Critically Ill Patients with COVID-19. N. Engl. J. Med. 2021, 384, 1491–1502. [Google Scholar] [CrossRef]
- Mussini, C.; Falcone, M.; Nozza, S.; Sagnelli, C.; Parrella, R.; Meschiari, M.; Petrosillo, N.; Mastroianni, C.; Cascio, A.; Iaria, C.; et al. Therapeutic strategies for severe COVID-19: A position paper from the Italian Society of Infectious and Tropical Diseases (SIMIT). Clin. Microbiol. Infect. 2020, 27, 389–395. [Google Scholar] [CrossRef]
- NICE COVID-19 Guidelines. Available online: https://www.nice.org.uk/advice/es33. (accessed on 3 December 2022).
- Horby, P.W.; Pessoa-Amorim, G.; Peto, L.; Brightling, C.E.; Sarkar, R.; Thomas, K.; Jeebun, V.; Ashish, A.; Tully, R.; Chadwick, D.; et al. Tocilizumab in patients admitted to hospital with COVID-19 (RECOVERY): Preliminary results of a randomised, controlled, open-label, platform trial. medRxiv 2021, 19. Available online: https://www.medrxiv.org/content/10.1101/2021.02.11.21249258v1. (accessed on 3 December 2022).
- NIH COVID treatment guidelines. Available online: https://www.covid19treatmentguidelines.nih.gov/therapies/immunomodulators/interleukin-6-inhibitors/. (accessed on 3 December 2022).
- Mariette, X.; Hermine, O.; Tharaux, P.-L.; Resche-Rigon, M.; Steg, P.G.; Porcher, R.; Ravaud, P. Effectiveness of Tocilizumab in Patients Hospitalized With COVID-19. JAMA Intern. Med. 2021, 181, 1241. [Google Scholar] [CrossRef]
- Zhou, F.; Yu, T.; Du, R.; Fan, G.; Liu, Y.; Liu, Z.; Xiang, J.; Wang, Y.; Song, B.; Gu, X.; et al. Clinical course and risk factors for mortality of adult inpatients with COVID-19 in Wuhan, China: A retrospective cohort study. Lancet 2020, 395, 1054–1062. [Google Scholar] [CrossRef]
- Meduri, G.U.; Siemieniuk, R.A.C.; Ness, R.A.; Seyler, S.J. Prolonged low-dose methylprednisolone treatment is highly effective in reducing duration of mechanical ventilation and mortality in patients with ARDS. J. Intensiv. Care 2018, 6, 1–7. [Google Scholar] [CrossRef] [PubMed]
- Steinberg, K.P.; Hudson, L.D.; Goodman, R.B.; Hough, C.L.; Lanken, P.N.; Hyzy, R.; Thompson, B.T.; Ancukiewicz, M. National Heart, Lung, and Blood Institute Acute Respiratory Distress Syndrome (ARDS) Clinical Trials Network Efficacy and Safety of Corticosteroids for Persistent Acute Respiratory Distress Syndrome. N. Engl. J. Med. 2006, 354, 1671–1684. [Google Scholar] [CrossRef] [PubMed]
- Spyropoulos, A.C.; Goldin, M.; Giannis, D.; Diab, W.; Wang, J.; Khanijo, S.; Mignatti, A.; Gianos, E.; Cohen, M.; Sharifova, G.; et al. Efficacy and Safety of Therapeutic-Dose Heparin vs Standard Prophylactic or Intermediate-Dose Heparins for Thromboprophylaxis in High-risk Hospitalized Patients With COVID-19: The HEP-COVID Randomized Clinical Trial. JAMA Intern. Med. 2021, 181, 1612–1620. [Google Scholar] [CrossRef] [PubMed]
- Common Terminology Criteria for Adverse Events (CTCAE). Available online: https://ctep.cancer.gov/protocoldevelopment/electronic_applications/ctc.htm. (accessed on 3 December 2022).
- Hernán, M.; Brumback, B.; Robins, J.M. Marginal Structural Models to Estimate the Causal Effect of Zidovudine on the Survival of HIV-Positive Men. Epidemiology 2000, 11, 561–570. [Google Scholar] [CrossRef]
- Bhimraj, A.; Morgan, R.L.; Shumaker, A.H.; Lavergne, V.; Baden, L.; Cheng, V.C.C.; Edwards, K.M.; Gandhi, R.; Muller, W.J.; O’Horo, J.C.; et al. Infectious Diseases Society of America Guidelines on the Treatment and Management of Patients with COVID-19. Clin. Infect. Dis. 2022, ciac724. [Google Scholar] [CrossRef] [PubMed]
- Ascierto, P.A.; Fu, B.; Wei, H. IL-6 modulation for COVID-19: The right patients at the right time? J. Immunother Cancer. 2021, 9, e002285. [Google Scholar] [CrossRef] [PubMed]
- Rubin, E.J.; Longo, D.L.; Baden, L.R. Interleukin-6 Receptor Inhibition in COVID-19 — Cooling the Inflammatory Soup. N. Engl. J. Med. 2021, 384, 1564–1565. [Google Scholar] [CrossRef] [PubMed]
- Zeng, F.; Huang, Y.; Guo, Y.; Yin, M.; Chen, X.; Xiao, L.; Deng, G. Association of inflammatory markers with the severity of COVID-19: A meta-analysis. Int. J. Infect. Dis. 2020, 96, 467–474. [Google Scholar] [CrossRef]
- Galván-Román, J.M.; Rodríguez-García, S.C.; Roy-Vallejo, E.; Marcos-Jiménez, A.; Sánchez-Alonso, S.; Fernández-Díaz, C.; Alcaraz-Serna, A.; Mateu-Albero, T.; Rodríguez-Cortes, P.; Sánchez-Cerrillo, I.; et al. IL-6 serum levels predict severity and response to tocilizumab in COVID-19: An observational study. J. Allergy Clin. Immunol. 2020, 147, 72–80.e8. [Google Scholar] [CrossRef]
- Suissa, S. Effectiveness of inhaled corticosteroids in chronic obstructive pulmonary disease: Immortal time bias in observational studies. Am. J. Respir. Crit. Care Med. 2003, 168, 49–53. [Google Scholar] [CrossRef]


| Treatment Strategy | ||||
|---|---|---|---|---|
| Characteristics | Glucocorticoids | Glucocorticoids + Tocilizumab | p-Value * | Total |
| N = 597 | N = 395 | N = 992 | ||
| Age, years | 0.428 | |||
| Median (IQR) | 70 (56, 81) | 69 (60, 78) | 69 (57, 80) | |
| Gender, n(%) | 0.543 | |||
| Female | 226 (37.9%) | 142 (35.9%) | 368 (37.1%) | |
| Ethnicity, n(%) | 0.540 | |||
| Caucasian | 564 (94.5%) | 380 (96.2%) | 944 (95.2%) | |
| Black | 10 (1.7%) | 3 (0.8%) | 13 (1.3%) | |
| Asian | 18 (3.0%) | 10 (2.5%) | 28 (2.8%) | |
| Hispanic | 5 (0.8%) | 2 (0.5%) | 7 (0.7%) | |
| Comorbidities, n(%) | ||||
| >=1 | 455 (76.2%) | 307 (77.7%) | 0.582 | 762 (76.8%) |
| Obesity | 81 (34.9%) | 115 (43.6%) | 0.050 | 196 (39.5%) |
| Ischemic cardiomyopathy | 255 (42.7%) | 154 (39.0%) | 0.243 | 409 (41.2%) |
| COPD | 187 (31.3%) | 93 (23.5%) | 0.008 | 280 (28.2%) |
| Connective tissue disease | 163 (27.3%) | 88 (22.3%) | 0.075 | 251 (25.3%) |
| Cerebrovascular disease | 161 (27.0%) | 68 (17.2%) | <0.001 | 229 (23.1%) |
| Mild Liver disease | 4 (1.8%) | 2 (0.9%) | 0.387 | 6 (1.3%) |
| Diabetes | 241 (40.4%) | 162 (41.0%) | 0.840 | 403 (40.6%) |
| Chronic kidney failure | 169 (28.3%) | 85 (21.5%) | 0.017 | 254 (25.6%) |
| Solid tumor | 246 (41.2%) | 122 (30.9%) | <0.001 | 368 (37.1%) |
| Liver failure | 134 (22.4%) | 58 (14.7%) | 0.002 | 192 (19.4%) |
| Hematologic disease | 16 (7.3%) | 9 (3.9%) | 0.120 | 25 (5.6%) |
| Peptic ulcer disease | 8 (3.7%) | 5 (2.2%) | 0.359 | 13 (2.9%) |
| Dementia | 176 (29.5%) | 74 (18.7%) | <0.001 | 250 (25.2%) |
| Arterial hypertension | 207 (34.7%) | 160 (40.5%) | 0.063 | 367 (37.0%) |
| Chronic heart failure | 36 (16.4%) | 30 (13.2%) | 0.339 | 66 (14.7%) |
| Peripheral vascular disease | 50 (22.2%) | 56 (24.0%) | 0.646 | 106 (23.1%) |
| CCI, mean (SD) | 7.2 (10.0) | 7.6 (10.8) | 0.383 | 7.4 (10.3) |
| Vaccination status | 0.825 | |||
| Not vaccinated | 191 (32.0%) | 120 (30.4%) | 311 (31.4%) | |
| One dose | 39 (6.5%) | 22 (5.6%) | 61 (6.1%) | |
| Two doses | 360 (60.3%) | 249 (63.0%) | 609 (61.4%) | |
| Three doses | 7 (1.2%) | 4 (1.0%) | 11 (1.1%) | |
| Treatment Strategy | |||||
|---|---|---|---|---|---|
| Characteristics | N | Glucocorticoids | Glucocorticoids + Tocilizumab | p-Value * | Total |
| Systolic blood pressure | 723 | 0.823 | |||
| Median (IQR) | 130 (120, 145) | 130 (120, 145) | 130 (120, 145) | ||
| Diastolic blood pressure | 722 | 0.512 | |||
| Median (IQR) | 75 (67, 83) | 75 (70, 80) | 75 (70, 81) | ||
| Sofa Score | 359 | 0.019 | |||
| Median (IQR) | 2 (2, 4) | 3 (2, 4) | 2 (2, 4) | ||
| Baseline PaO2/FiO2, mmHg | 573 | <0.001 | |||
| Median (IQR) | 276 (226, 318) | 235 (154, 280) | 261 (200, 303) | ||
| 0–250, n(%) | 130 (35.8%) | 123 (58.6%) | <0.001 | 253 (44.2%) | |
| 0–150, n(%) | 43 (11.8%) | 51 (24.3%) | <0.001 | 94 (16.4%) | |
| HFNO PaO2/FiO2, mmHg | 228 | 0.694 | |||
| Median (IQR) | 102 (65, 158) | 103 (72, 153) | 103 (71, 153) | ||
| & NIV PaO2/FiO2, mmHg | 123 | 0.304 | |||
| Median (IQR) | 115 (61, 150) | 92 (69, 114) | 94 (67, 127) | ||
| & IMV PaO2/FiO2, mmHg | 71 | 0.102 | |||
| Median (IQR) | 109 (68, 169) | 80 (63, 110) | 87 (64, 126) | ||
| & Respiratory rate | 792 | <0.001 | |||
| Median (IQR) | 20 (18, 26) | 24 (20, 28) | 22 (19, 28) | ||
| Treatment Strategy | ||||
|---|---|---|---|---|
| Baseline laboratory parameters | Glucocorticoids | Glucocorticoids + Tocilizumab | p-Value * | Total |
| N = 421 | N = 287 | N = 708 | ||
| Leukocytes, /mm3, Median (IQR) | 7070 (4740, 9750) | 6360 (4870, 9150) | 0.126 | 6740 (4815, 9490) |
| Neutrophils, /mm3, Median (IQR) | 5417 (3470, 8015) | 5204 (3586, 7932) | 0.922 | 5349 (3538, 8012) |
| Lymphocytes, /mm3, Median (IQR) | 938.0 (685.0, 1350) | 835.5 (594.0, 1212) | 0.011 | 903.0 (652.0, 1269) |
| Platelets, 103/mm3, Median (IQR) | 209.0 (156.0, 264.0) | 203.0 (158.0, 258.0) | 0.348 | 207.0 (157.0, 262.5) |
| Alanine amino-transferase (ALT), U/L, Median (IQR) | 26.0 (17.0, 44.0) | 29.0 (19.0, 49.0) | 0.111 | 28.0 (18.0, 47.0) |
| INR, Median (IQR) | 1.0 (1.0, 1.1) | 1.0 (1.0, 1.1) | <0.001 | 1.0 (1.0, 1.1) |
| Creatinine, mg/dL, Median (IQR) | 0.9 (0.8, 1.2) | 0.9 (0.7, 1.1) | 0.208 | 0.9 (0.7, 1.2) |
| eGFR, mL/min, Median (IQR) | 80.3 (52.3, 95.8) | 82.7 (58.9, 94.9) | 0.501 | 81.8 (55.9, 95.6) |
| 60 + mL/min, n(%) | 296 (70.3%) | 213 (74.2%) | 0.355 | 509 (71.9%) |
| 31–60 mL/min, n(%) | 89 (21.1%) | 57 (19.9%) | 146 (20.6%) | |
| 0–30 mL/min, n(%) | 36 (8.6%) | 17 (5.9%) | 53 (7.5%) | |
| C-reactive protein, mg/dL, Median (IQR) | 6.0 (2.0, 14.0) | 7.0 (4.0, 15.0) | <0.001 | 6.0 (3.0, 15.0) |
| IL-6, mg/L, Median (IQR) | 27.6 (6.1, 98.5) | 175.0 (41.5, 716.4) | <0.001 | 71.0 (16.2, 301.5) |
| Procalcitonin, ng/mL, Median (IQR) | 0.1 (0.1, 0.4) | 0.1 (0.1, 0.3) | 0.471 | 0.1 (0.1, 0.4) |
| D-dimer, ng/mL, Median (IQR) | 945.0 (540.0, 2250) | 910.0 (570.0, 1470) | 0.375 | 930.0 (550.0, 1850) |
| 0–500 ng/mL, n(%) | 89 (21.8%) | 52 (18.2%) | 0.041 | 141 (20.3%) |
| 501–4000 ng/mL, n(%) | 268 (65.7%) | 211 (74.0%) | 479 (69.1%) | |
| 4000 + ng/mL, n(%) | 51 (12.5%) | 22 (7.7%) | 73 (10.5%) | |
| Haemoglobin, g/dL | 13.3 (11.9, 14.3) | 13.7 (12.5, 14.6) | 0.004 | 13.4 (12.1, 14.4) |
| Lactate dehydrogenase, U/L | 525.0 (430.0, 660.0) | 622.0 (471.0, 775.0) | <0.001 | 555.0 (450.0, 713.0) |
| Hazard Ratios of Death (95% CI) | p-Value | |
|---|---|---|
| Unadjusted | ||
| Glucocorticoids | 1 | |
| Glucocorticoids + tocilizumab | 0.66 (0.46, 0.95) | 0.024 |
| Adjusted for time-fixed covariates 1 | ||
| Glucocorticoids | 1 | |
| Glucocorticoids + tocilizumab | 0.55 (0.35, 0.86) | 0.009 |
| Adjusted for time-varying covariates 2 | ||
| Glucocorticoids | 1 | |
| Glucocorticoids + tocilizumab | 0.64 (0.40, 1.00) | 0.048 |
| Weighted 3 | ||
| Glucocorticoids | 1 | |
| Glucocorticoids + tocilizumab | 0.59 (0.38, 0.90) | 0.015 |
Disclaimer/Publisher’s Note: The statements, opinions and data contained in all publications are solely those of the individual author(s) and contributor(s) and not of MDPI and/or the editor(s). MDPI and/or the editor(s) disclaim responsibility for any injury to people or property resulting from any ideas, methods, instructions or products referred to in the content. |
© 2023 by the authors. Licensee MDPI, Basel, Switzerland. This article is an open access article distributed under the terms and conditions of the Creative Commons Attribution (CC BY) license (https://creativecommons.org/licenses/by/4.0/).
Share and Cite
Mussini, C.; Cozzi-Lepri, A.; Meschiari, M.; Franceschini, E.; Burastero, G.; Faltoni, M.; Franceschi, G.; Iadisernia, V.; Volpi, S.; Dessilani, A.; et al. Do All Critically Ill Patients with COVID-19 Disease Benefit from Adding Tocilizumab to Glucocorticoids? A Retrospective Cohort Study. Viruses 2023, 15, 294. https://doi.org/10.3390/v15020294
Mussini C, Cozzi-Lepri A, Meschiari M, Franceschini E, Burastero G, Faltoni M, Franceschi G, Iadisernia V, Volpi S, Dessilani A, et al. Do All Critically Ill Patients with COVID-19 Disease Benefit from Adding Tocilizumab to Glucocorticoids? A Retrospective Cohort Study. Viruses. 2023; 15(2):294. https://doi.org/10.3390/v15020294
Chicago/Turabian StyleMussini, Cristina, Alessandro Cozzi-Lepri, Marianna Meschiari, Erica Franceschini, Giulia Burastero, Matteo Faltoni, Giacomo Franceschi, Vittorio Iadisernia, Sara Volpi, Andrea Dessilani, and et al. 2023. "Do All Critically Ill Patients with COVID-19 Disease Benefit from Adding Tocilizumab to Glucocorticoids? A Retrospective Cohort Study" Viruses 15, no. 2: 294. https://doi.org/10.3390/v15020294
APA StyleMussini, C., Cozzi-Lepri, A., Meschiari, M., Franceschini, E., Burastero, G., Faltoni, M., Franceschi, G., Iadisernia, V., Volpi, S., Dessilani, A., Gozzi, L., Conti, J., Del Monte, M., Milic, J., Borghi, V., Tonelli, R., Brugioni, L., Romagnoli, E., Pietrangelo, A., ... Guaraldi, G. (2023). Do All Critically Ill Patients with COVID-19 Disease Benefit from Adding Tocilizumab to Glucocorticoids? A Retrospective Cohort Study. Viruses, 15(2), 294. https://doi.org/10.3390/v15020294

