Comparison of CRISPR–Cas9 Tools for Transcriptional Repression and Gene Disruption in the BEVS
Abstract
1. Introduction
2. Materials and Methods
2.1. Cells
2.2. Plasmid Construction
2.3. Virus Generation, Amplification, and Quantification
2.4. Infections
2.5. Flow Cytometry and Analysis
2.6. Real-Time Reverse Transcription Polymerase Chain Reaction (RT-PCR)
2.7. Western Blot
2.8. Quantification of Baculovirus Particles Using Flow Cytometry
3. Results
3.1. Development of Recombinant Sf9 Cell Lines for Constitutive Expression of Cas9 and dCas9
3.2. Evaluation of CRISPR-Mediated Repression and Disruption on GFP Production
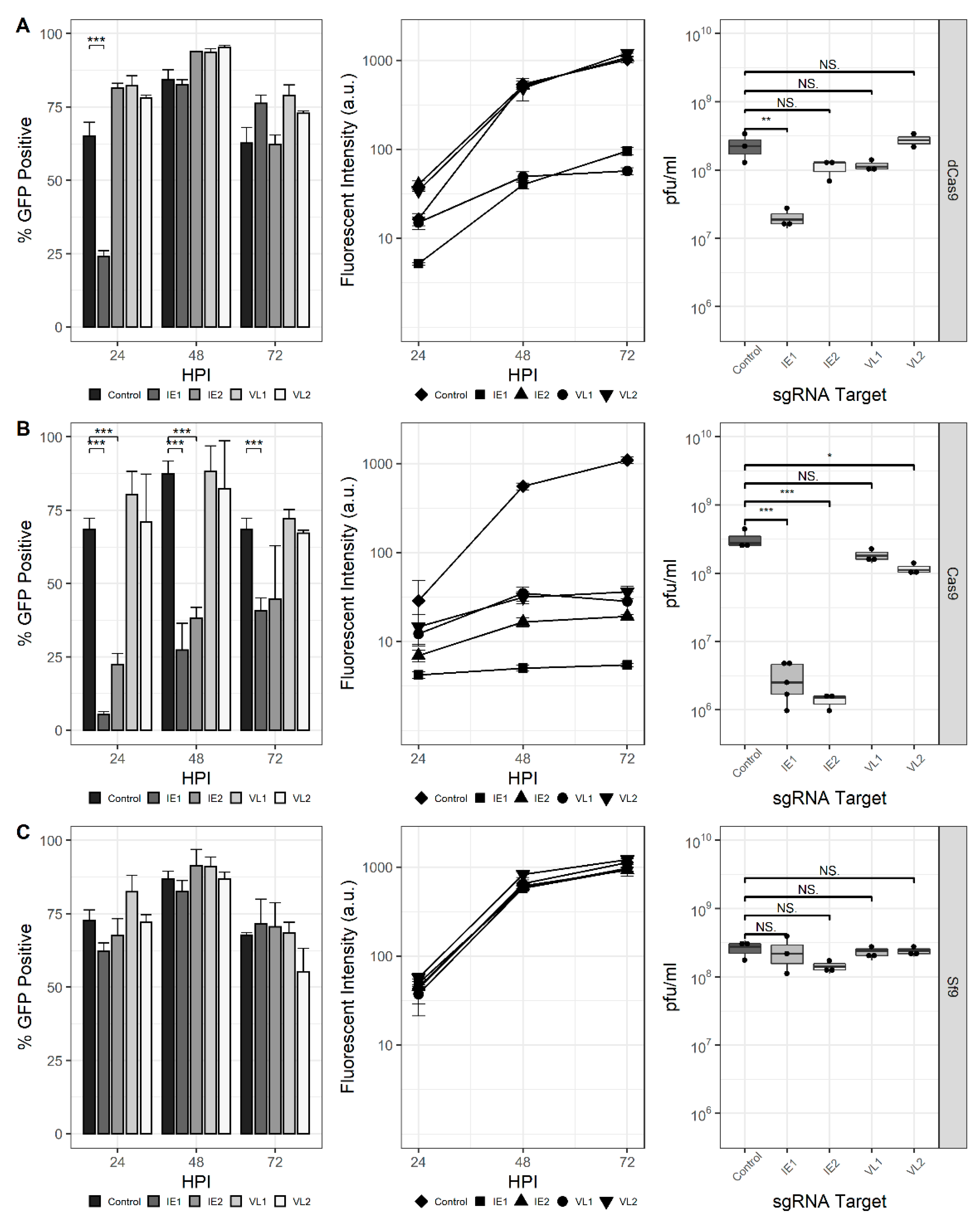
3.3. Extension of CRISPRi and CRISPRd to Endogenous AcMNPV ie-1 and vlf-1
3.4. CRISPRd Is More Effective Than CRISPRi for Obstructing Progeny BV Release
4. Discussion
5. Conclusions
Supplementary Materials
Author Contributions
Funding
Data Availability Statement
Acknowledgments
Conflicts of Interest
References
- Miele, S.A.B.; Garavaglia, M.J.; Belaich, M.N.; Ghiringhelli, P.D. Baculovirus: Molecular Insights on Their Diversity and Conservation. Int. J. Evol. Biol. 2011, 2011, 379424. [Google Scholar] [CrossRef]
- Moscardi, F. Assessment of the Application of Baculoviruses for Control of Lepidoptera. Annu. Rev. Entomol. 1999, 44, 257–289. [Google Scholar] [CrossRef]
- Smith, G.E.; Summers, M.D.; Fraser, M.J. Production of Human Beta Interferon in Insect Cells Infected with a Baculovirus Expression Vector. Mol. Cell. Biol. 1983, 3, 2156–2165. [Google Scholar] [CrossRef]
- van Oers, M.M.; Pijlman, G.P.; Vlak, J.M. Thirty Years of Baculovirus-Insect Cell Protein Expression: From Dark Horse to Mainstream Technology. J. Gen. Virol. 2015, 96, 6–23. [Google Scholar] [CrossRef]
- Luckow, V.A.; Lee, S.C.; Barry, G.F.; Olins, P.O. Efficient Generation of Infectious Recombinant Baculoviruses by Site-Specific Transposon-Mediated Insertion of Foreign Genes into a Baculovirus Genome Propagated in Escherichia Coli. J. Virol. 1993, 67, 4566–4579. [Google Scholar] [CrossRef] [PubMed]
- Datsenko, K.A.; Wanner, B.L. One-Step Inactivation of Chromosomal Genes in Escherichia Coli K-12 Using PCR Products. Proc. Natl. Acad. Sci. USA 2000, 97, 6640–6645. [Google Scholar] [CrossRef] [PubMed]
- Muyrers, J.P.P.; Zhang, Y.; Testa, G.; Stewart, A.F. Rapid Modification of Bacterial Artificial Chromosomes by ET-Recombination. Nucleic Acids Res. 1999, 27, 1555–1557. [Google Scholar] [CrossRef] [PubMed]
- Cohen, D.P.A.; Marek, M.; Davies, B.G.; Vlak, J.M.; van Oers, M.M. Encyclopedia of Autographa Californica Nucleopolyhedrovirus Genes. Virol. Sin. 2009, 24, 359–414. [Google Scholar] [CrossRef]
- McCarthy, C.B.; Theilmann, D.A. AcMNPV Ac143 (Odv-E18) Is Essential for Mediating Budded Virus Production and Is the 30th Baculovirus Core Gene. Virology 2008, 375, 277–291. [Google Scholar] [CrossRef] [PubMed]
- Fang, M.; Dai, X.; Theilmann, D.A. Autographa Californica Multiple Nucleopolyhedrovirus EXON0 (ORF141) Is Required for Efficient Egress of Nucleocapsids from the Nucleus. J. Virol. 2007, 81, 9859–9869. [Google Scholar] [CrossRef]
- Stewart, T.M.; Huijskens, I.; Willis, L.G.; Theilmann, D.A. The Autographa Californica Multiple Nucleopolyhedrovirus Ie0-Ie1 Gene Complex Is Essential for Wild-Type Virus Replication, but Either IE0 or IE1 Can Support Virus Growth. J. Virol. 2005, 79, 4619–4629. [Google Scholar] [CrossRef] [PubMed]
- Lin, G.; Blissard, G.W. Analysis of an Autographa Californica Multicapsid Nucleopolyhedrovirus Lef-6-Null Virus: LEF-6 Is Not Essential for Viral Replication but Appears to Accelerate Late Gene Transcription. J. Virol. 2002, 76, 5503–5514. [Google Scholar] [CrossRef] [PubMed][Green Version]
- Vanarsdall, A.L.; Okano, K.; Rohrmann, G.F. Characterization of a Baculovirus with a Deletion of Vlf-1. Virology 2004, 326, 191–201. [Google Scholar] [CrossRef] [PubMed]
- Kaba, S.A.; Salcedo, A.M.; Wafula, P.O.; Vlak, J.M.; Oers, M.M. van Development of a Chitinase and V-Cathepsin Negative Bacmid for Improved Integrity of Secreted Recombinant Proteins. J. Virol. Methods 2004, 122, 113–118. [Google Scholar] [CrossRef] [PubMed]
- Boogaard, B.; Evers, F.; van Lent, J.W.M.; van Oers, M.M. The Baculovirus Ac108 Protein Is a per Os Infectivity Factor and a Component of the ODV Entry Complex. J. Gen. Virol. 2019, 100, 669–678. [Google Scholar] [CrossRef]
- Zhu, S.; Wang, W.; Wang, Y.; Yuan, M.; Yang, K. The Baculovirus Core Gene Ac83 Is Required for Nucleocapsid Assembly and Per Os Infectivity of Autographa Californica Nucleopolyhedrovirus. J. Virol. 2013, 87, 10573–10586. [Google Scholar] [CrossRef]
- Ros, V.I.D.; Houte, S.; Hemerik, L.; van Oers, M.M. Baculovirus-induced Tree-top Disease: How Extended Is the Role of Egt as a Gene for the Extended Phenotype? Mol. Ecol. 2015, 24, 249–258. [Google Scholar] [CrossRef]
- Westenberg, M.; Soedling, H.M.; Mann, D.A.; Nicholson, L.J.; Dolphin, C.T. Counter-Selection Recombineering of the Baculovirus Genome: A Strategy for Seamless Modification of Repeat-Containing BACs. Nucleic Acids Res. 2010, 38, e166. [Google Scholar] [CrossRef]
- van Oers, M.M. Opportunities and Challenges for the Baculovirus Expression System. J. Invertebr. Pathol. 2011, 107, S3–S15. [Google Scholar] [CrossRef]
- Salem, T.Z.; Zhang, F.; Thiem, S.M. Reduced Expression of Autographa Californica Nucleopolyhedrovirus ORF34, an Essential Gene, Enhances Heterologous Gene Expression. Virology 2013, 435, 225–238. [Google Scholar] [CrossRef]
- Marek, M.; van Oers, M.M.; Devaraj, F.F.; Vlak, J.M.; Merten, O.-W. Engineering of Baculovirus Vectors for the Manufacture of Virion-Free Biopharmaceuticals. Biotechnol. Bioeng. 2011, 108, 1056–1067. [Google Scholar] [CrossRef]
- Monsma, S.A.; Oomens, A.G.; Blissard, G.W. The GP64 Envelope Fusion Protein Is an Essential Baculovirus Protein Required for Cell-to-Cell Transmission of Infection. J. Virol. 1996, 70, 4607–4616. [Google Scholar] [CrossRef]
- Chavez-Pena, C.; Kamen, A.A. RNA Interference Technology to Improve the Baculovirus-Insect Cell Expression System. Biotechnol. Adv. 2018, 36, 443–451. [Google Scholar] [CrossRef] [PubMed]
- Xu, J.; Nagata, Y.; Mon, H.; Li, Z.; Zhu, L.; Iiyama, K.; Kusakabe, T.; Lee, J.M. Soaking RNAi-Mediated Modification of Sf9 Cells for Baculovirus Expression System by Ectopic Expression of Caenorhabditis Elegans SID-1. Appl. Microbiol. Biotechnol. 2013, 97, 5921–5931. [Google Scholar] [CrossRef] [PubMed]
- Zhao, H.-F.; L’Abbé, D.; Jolicoeur, N.; Wu, M.; Li, Z.; Yu, Z.; Shen, S.-H. High-Throughput Screening of Effective SiRNAs from RNAi Libraries Delivered via Bacterial Invasion. Nat. Methods 2005, 2, 967–973. [Google Scholar] [CrossRef] [PubMed]
- Bruder, M.R.; Pyne, M.E.; Moo-Young, M.; Chung, D.A.; Chou, C.P. Extending CRISPR-Cas9 Technology from Genome Editing to Transcriptional Engineering in the Genus Clostridium. Appl. Environ. Microbiol. 2016, 82, 6109–6119. [Google Scholar] [CrossRef]
- Doudna, J.A.; Charpentier, E. The New Frontier of Genome Engineering with CRISPR-Cas9. Science 2014, 346, 1258096. [Google Scholar] [CrossRef]
- Qi, L.S.; Larson, M.H.; Gilbert, L.A.; Doudna, J.A.; Weissman, J.S.; Arkin, A.P.; Lim, W.A. Repurposing CRISPR as an RNA-Guided Platform for Sequence-Specific Control of Gene Expression. Cell 2013, 152, 1173–1183. [Google Scholar] [CrossRef] [PubMed]
- Hsu, P.D.; Lander, E.S.; Zhang, F. Development and Applications of CRISPR-Cas9 for Genome Engineering. Cell 2014, 157, 1262–1278. [Google Scholar] [CrossRef] [PubMed]
- Mabashi-Asazuma, H.; Jarvis, D.L. CRISPR-Cas9 Vectors for Genome Editing and Host Engineering in the Baculovirus-Insect Cell System. Proc. Natl. Acad. Sci. USA 2017, 114, 9068–9073. [Google Scholar] [CrossRef]
- Pazmiño-Ibarra, V.; Mengual-Martí, A.; Targovnik, A.M.; Herrero, S. Improvement of Baculovirus as Protein Expression Vector and as Biopesticide by CRISPR/Cas9 Editing. Biotechnol. Bioeng. 2019, 116, 2823–2833. [Google Scholar] [CrossRef]
- George, S.; Jauhar, A.M.; Mackenzie, J.; Kieβlich, S.; Aucoin, M.G. Temporal Characterization of Protein Production Levels from Baculovirus Vectors Coding for GFP and RFP Genes under Non-Conventional Promoter Control. Biotechnol. Bioeng. 2015, 112, 1822–1831. [Google Scholar] [CrossRef]
- Bassett, A.R.; Tibbit, C.; Ponting, C.P.; Liu, J.L. Mutagenesis and Homologous Recombination in Drosophila Cell Lines Using CRISPR/Cas9. Biol. Open 2014, 3, 42–49. [Google Scholar] [CrossRef]
- Theilmann, D.A.; Stewart, S. Molecular Analysis of the Trans-Activating IE-2 Gene of Orgyia Pseudotsugata Multicapsid Nuclear Polyhedrosis Virus. Virology 1992, 187, 84–96. [Google Scholar] [CrossRef]
- Gibson, D.G.; Young, L.; Chuang, R.-Y.; Venter, J.C.; Hutchison, C.A.I.; Smith, H.O. Enzymatic Assembly of DNA Molecules up to Several Hundred Kilobases. Nat. Methods 2009, 6, 343–345. [Google Scholar] [CrossRef] [PubMed]
- Karasawa, S.; Araki, T.; Yamamoto-Hino, M.; Miyawaki, A. A Green-Emitting Fluorescent Protein from Galaxeidae Coral and Its Monomeric Version for Use in Fluorescent Labeling. J. Biol. Chem. 2003, 278, 34167–34171. [Google Scholar] [CrossRef]
- Port, F.; Chen, H.-M.; Lee, T.; Bullock, S.L. Optimized CRISPR/Cas Tools for Efficient Germline and Somatic Genome Engineering in Drosophila. Proc. Natl. Acad. Sci. USA 2014, 111, E2967–E2976. [Google Scholar] [CrossRef] [PubMed]
- Chari, R.; Yeo, N.C.; Chavez, A.; Church, G.M. SgRNA Scorer 2.0: A Species-Independent Model to Predict CRISPR/Cas9 Activity. ACS Synth. Biol. 2017, 6, 902–904. [Google Scholar] [CrossRef] [PubMed]
- Stemmer, W.P.; Morris, S.K. Enzymatic Inverse PCR: A Restriction Site Independent, Single-Fragment Method for High-Efficiency, Site-Directed Mutagenesis. Biotechniques 1992, 13, 214–220. [Google Scholar] [PubMed]
- Shen, C.F.; Meghrous, J.; Kamen, A. Quantitation of Baculovirus Particles by Flow Cytometry. J. Virol. Methods 2002, 105, 321–330. [Google Scholar] [CrossRef]
- Wang, Y.; Wang, F.; Wang, R.; Zhao, P.; Xia, Q. 2A Self-Cleaving Peptide-Based Multi-Gene Expression System in the Silkworm Bombyx Mori. Sci. Rep. 2015, 5, 16273. [Google Scholar] [CrossRef]
- Ooi, B.G.; Miller, L.K. Regulation of Host RNA Levels during Baculovirus Infection. Virology 1988, 166, 515–523. [Google Scholar] [CrossRef]
- Lin, C.-H.; Jarvis, D.L. Utility of Temporally Distinct Baculovirus Promoters for Constitutive and Baculovirus-Inducible Transgene Expression in Transformed Insect Cells. J. Biotechnol. 2013, 165, 11–17. [Google Scholar] [CrossRef]
- Chen, Y.-R.; Zhong, S.; Fei, Z.; Hashimoto, Y.; Xiang, J.Z.; Zhang, S.; Blissard, G.W. The Transcriptome of the Baculovirus Autographa Californica Multiple Nucleopolyhedrovirus in Trichoplusia Ni Cells. J. Virol. 2013, 87, 6391–6405. [Google Scholar] [CrossRef]
- Guarino, L.A.; Summers, M.D. Functional Mapping of a Trans-Activating Gene Required for Expression of a Baculovirus Delayed-Early Gene. J. Virol. 1986, 57, 563–571. [Google Scholar] [CrossRef]
- Passarelli, A.L.; Miller, L.K. Three Baculovirus Genes Involved in Late and Very Late Gene Expression: Ie-1, Ie-n, and Lef-2. J. Virol. 1993, 67, 2149–2158. [Google Scholar] [CrossRef]
- Rapp, J.C.; Wilson, J.A.; Miller, L.K. Nineteen Baculovirus Open Reading Frames, Including LEF-12, Support Late Gene Expression. J. Virol. 1998, 72, 10197–10206. [Google Scholar] [CrossRef]
- Mistretta, T.-A.; Guarino, L.A. Transcriptional Activity of Baculovirus Very Late Factor 1. J. Virol. 2005, 79, 1958–1960. [Google Scholar] [CrossRef] [PubMed]
- Yang, S.; Miller, L.K. Activation of Baculovirus Very Late Promoters by Interaction with Very Late Factor 1. J. Virol. 1999, 73, 3404–3409. [Google Scholar] [CrossRef] [PubMed]
- Kanginakudru, S.; Royer, C.; Edupalli, S.V.; Jalabert, A.; Mauchamp, B.; Chandrashekaraiah; Prasad, S.V.; Chavancy, G.; Couble, P.; Nagaraju, J. Targeting Ie-1 Gene by RNAi Induces Baculoviral Resistance in Lepidopteran Cell Lines and in Transgenic Silkworms. Insect Mol. Biol. 2007, 16, 635–644. [Google Scholar] [CrossRef] [PubMed]




| rBEV | Target | Protospacer Sequence (5’–3’) | PAM | Strand |
|---|---|---|---|---|
| Control | n/a | caccttgaagcgcatgaact | n/a | n/a |
| GFP1 | gfp | gggcaagggcaacccctacg | agg | Template |
| GFP2 | gfp | gtcgtaggcgaagggcaggg | ggg | Nontemplate |
| GFP3 | gfp | gttgccgtactggaacacgg | tgg | Nontemplate |
| GFP4 | gfp | ccgagggctaccactgggag | agg | Template |
| IE1 | ie-1 | accgtgtcggctccatccgggg | tgg | Nontemplate |
| IE2 | ie-1 | tgatatctgacagcgagactg | cgg | Template |
| VL1 | vlf-1 | acacggactcgaaccggggag | cgg | Nontemplate |
| VL2 | vlf-1 | ggcaacgatgcacgcccgacg | agg | Template |
| VP1 | vp80 | gcccgccgcaatcgccgccg | cgg | Template |
| VP2 | vp80 | gctggatgttacccgcgg | cgg | Nontemplate |
| VP3 | vp80 | tcgatgcggccaggtcgc | tgg | Nontemplate |
| VP4 | vp80 | gcggatcgctaaatgccg | tgg | Nontemplate |
Publisher’s Note: MDPI stays neutral with regard to jurisdictional claims in published maps and institutional affiliations. |
© 2021 by the authors. Licensee MDPI, Basel, Switzerland. This article is an open access article distributed under the terms and conditions of the Creative Commons Attribution (CC BY) license (https://creativecommons.org/licenses/by/4.0/).
Share and Cite
Bruder, M.R.; Walji, S.-D.; Aucoin, M.G. Comparison of CRISPR–Cas9 Tools for Transcriptional Repression and Gene Disruption in the BEVS. Viruses 2021, 13, 1925. https://doi.org/10.3390/v13101925
Bruder MR, Walji S-D, Aucoin MG. Comparison of CRISPR–Cas9 Tools for Transcriptional Repression and Gene Disruption in the BEVS. Viruses. 2021; 13(10):1925. https://doi.org/10.3390/v13101925
Chicago/Turabian StyleBruder, Mark R., Sadru-Dean Walji, and Marc G. Aucoin. 2021. "Comparison of CRISPR–Cas9 Tools for Transcriptional Repression and Gene Disruption in the BEVS" Viruses 13, no. 10: 1925. https://doi.org/10.3390/v13101925
APA StyleBruder, M. R., Walji, S.-D., & Aucoin, M. G. (2021). Comparison of CRISPR–Cas9 Tools for Transcriptional Repression and Gene Disruption in the BEVS. Viruses, 13(10), 1925. https://doi.org/10.3390/v13101925

