The Kaposi’s Sarcoma-Associated Herpesvirus (KSHV) gH/gL Complex Is the Predominant Neutralizing Antigenic Determinant in KSHV-Infected Individuals
Abstract
1. Introduction
2. Materials and Methods
2.1. Ethics Statement
2.2. Cell Cultures
2.3. KSHV Serological Assays
2.4. HIV-1 Serology and Plasma Viral Load Quantification by Real-Time PCR
2.5. KSHV Virion in Plasma
2.6. KSHV Envelope Glycoprotein Constructs
2.7. Immunoblot
2.8. Immunohistochemistry (IHC)
2.9. Immunofluorescence Assay for Protein Expression
2.10. rKSHV.219 Production
2.11. KSHV Glycoproteins Transfected 293T Cells Adsorption of nAbs from Plasma
2.12. Statistical Analysis
3. Results
3.1. Study Cohort
3.2. KSHV Envelope Glycoprotein Expression in 293T Cells
3.3. Antigenic Determinant of KSHV-Specific nAbs in the Plasma of KSHV-Infected Individuals
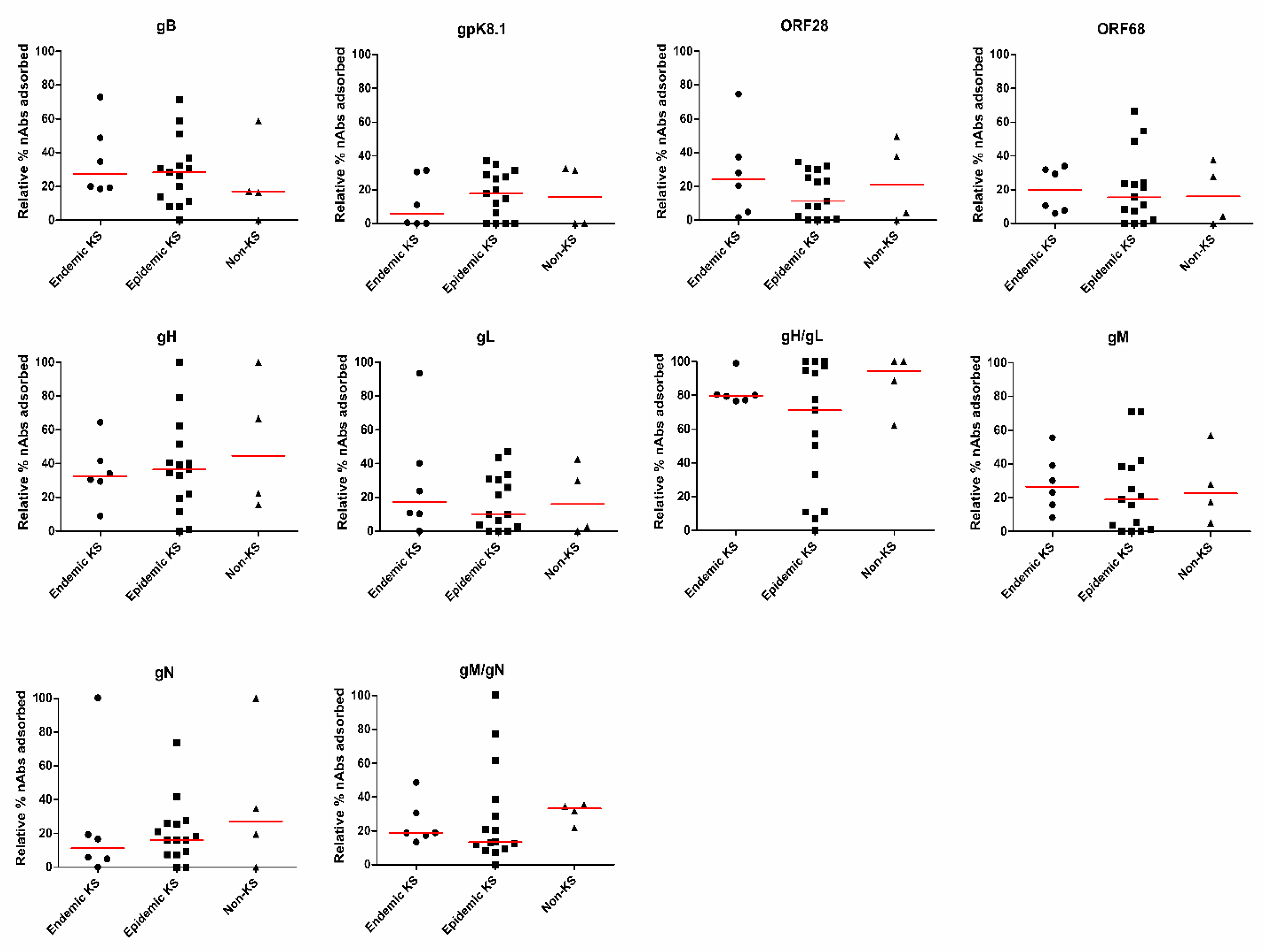
3.4. Similar nAbs Responses towards KSHV Glycoproteins Regardless of KS Status
4. Discussion
Supplementary Materials
Author Contributions
Funding
Acknowledgments
Conflicts of Interest
References
- Chang, Y.; Cesarman, E.; Pessin, M.S.; Lee, F.; Culpepper, J.; Knowles, D.M.; Moore, P.S. Identification of herpesvirus-like DNA sequences in AIDS-associated Kaposi’s sarcoma. Science 1994, 266, 1865–1869. [Google Scholar] [CrossRef]
- Sousa-Squiavinato, A.C.; Silvestre, R.N.; Elgui De Oliveira, D. Biology and oncogenicity of the Kaposi sarcoma herpesvirus K1 protein. Rev. Med. Virol 2015, 25, 273–285. [Google Scholar] [CrossRef]
- Torre, L.A.; Bray, F.; Siegel, R.L.; Ferlay, J.; Lortet-Tieulent, J.; Jemal, A. Global cancer statistics, 2012. CA Cancer J. Clin. 2015, 65, 87–108. [Google Scholar] [CrossRef]
- Blumenthal, M.J.; Schutz, C.; Barr, D.; Locketz, M.; Marshall, V.; Whitby, D.; Katz, A.A.; Uldrick, T.; Meintjes, G.; Schafer, G. The Contribution of Kaposi’s Sarcoma-Associated Herpesvirus to Mortality in Hospitalized Human Immunodeficiency Virus-Infected Patients Being Investigated for Tuberculosis in South Africa. J. Infect. Dis. 2019, 220, 841–851. [Google Scholar] [CrossRef]
- Brower, V. AIDS-related cancers increase in Africa. J. Natl. Cancer Inst. 2011, 103, 918–919. [Google Scholar] [CrossRef]
- Mesri, E.A.; Cesarman, E.; Boshoff, C. Kaposi’s sarcoma and its associated herpesvirus. Nat. Rev. Cancer 2010, 10, 707–719. [Google Scholar] [CrossRef]
- Bray, F.; Ferlay, J.; Soerjomataram, I.; Siegel, R.L.; Torre, L.A.; Jemal, A. Global cancer statistics 2018: GLOBOCAN estimates of incidence and mortality worldwide for 36 cancers in 185 countries. CA Cancer J. Clin. 2018, 68, 394–424. [Google Scholar] [CrossRef]
- Moore, P.S.; Chang, Y. Detection of herpesvirus-like DNA sequences in Kaposi’s sarcoma in patients with and those without HIV infection. N Engl. J. Med. 1995, 332, 1181–1185. [Google Scholar] [CrossRef]
- Moore, P.S.; Chang, Y. Kaposi’s sarcoma (KS), KS-associated herpesvirus, and the criteria for causality in the age of molecular biology. Am. J. Epidemiol. 1998, 147, 217–221. [Google Scholar] [CrossRef]
- Dollard, S.C.; Nelson, K.E.; Ness, P.M.; Stambolis, V.; Kuehnert, M.J.; Pellett, P.E.; Cannon, M.J. Possible transmission of human herpesvirus-8 by blood transfusion in a historical United States cohort. Transfusion 2005, 45, 500–503. [Google Scholar] [CrossRef]
- Krown, S.E. Treatment strategies for Kaposi sarcoma in sub-Saharan Africa: Challenges and opportunities. Curr. Opin. Oncol. 2011, 23, 463–468. [Google Scholar] [CrossRef]
- Wakeham, K.; Johnston, W.T.; Nalwoga, A.; Webb, E.L.; Mayanja, B.N.; Miley, W.; Elliott, A.M.; Whitby, D.; Newton, R. Trends in Kaposi’s sarcoma-associated Herpesvirus antibodies prior to the development of HIV-associated Kaposi’s sarcoma: A nested case-control study. Int. J. Cancer 2015, 136, 2822–2830. [Google Scholar] [CrossRef] [PubMed]
- Kumar, P.; Kuwa, N.Y.; Minhas, V.; Marimo, C.; Shea, D.M.; Kankasa, C.; Wood, C. Higher levels of neutralizing antibodies against KSHV in KS patients compared to asymptomatic individuals from Zambia. PLoS ONE 2013, 8, e71254. [Google Scholar] [CrossRef] [PubMed]
- Van Els, C.; Mjaaland, S.; Naess, L.; Sarkadi, J.; Gonczol, E.; Korsholm, K.S.; Hansen, J.; de Jonge, J.; Kersten, G.; Warner, J.; et al. Fast vaccine design and development based on correlates of protection (COPs). Hum. Vaccin. Immunother. 2014, 10, 1935–1948. [Google Scholar] [CrossRef] [PubMed]
- Soema, P.C.; Kompier, R.; Amorij, J.P.; Kersten, G.F. Current and next generation influenza vaccines: Formulation and production strategies. Eur. J. Pharm. Biopharm. 2015, 94, 251–263. [Google Scholar] [CrossRef]
- Mulama, D.H.; Mutsvunguma, L.Z.; Totonchy, J.; Ye, P.; Foley, J.; Escalante, G.M.; Rodriguez, E.; Nabiee, R.; Muniraju, M.; Wussow, F.; et al. A multivalent Kaposi sarcoma-associated herpesvirus-like particle vaccine capable of eliciting high titers of neutralizing antibodies in immunized rabbits. Vaccine 2019, 37, 4184–4194. [Google Scholar] [CrossRef]
- Barasa, A.K.; Ye, P.; Phelps, M.; Arivudainambi, G.T.; Tison, T.; Ogembo, J.G. BALB/c mice immunized with a combination of virus-like particles incorporating Kaposi sarcoma-associated herpesvirus (KSHV) envelope glycoproteins gpK8.1, gB, and gH/gL induced comparable serum neutralizing antibody activity to UV-inactivated KSHV. Oncotarget 2017, 8, 34481–34497. [Google Scholar] [CrossRef]
- Subramanian, R.; D’Auvergne, O.; Kong, H.; Kousoulas, K.G. The cytoplasmic terminus of Kaposi’s sarcoma-associated herpesvirus glycoprotein B is not essential for virion egress and infectivity. J. Virol. 2008, 82, 7144–7154. [Google Scholar] [CrossRef][Green Version]
- Gao, S.J.; Kingsley, L.; Li, M.; Zheng, W.; Parravicini, C.; Ziegler, J.; Newton, R.; Rinaldo, C.R.; Saah, A.; Phair, J.; et al. KSHV antibodies among Americans, Italians and Ugandans with and without Kaposi’s sarcoma. Nat. Med. 1996, 2, 925–928. [Google Scholar] [CrossRef]
- Zhu, F.X.; Chong, J.M.; Wu, L.; Yuan, Y. Virion proteins of Kaposi’s sarcoma-associated herpesvirus. J. Virol. 2005, 79, 800–811. [Google Scholar] [CrossRef]
- Mohl, B.S.; Chen, J.; Longnecker, R. Gammaherpesvirus entry and fusion: A tale how two human pathogenic viruses enter their host cells. Adv. Virus Res. 2019, 104, 313–343. [Google Scholar] [CrossRef] [PubMed]
- Chandran, B. Early events in Kaposi’s sarcoma-associated herpesvirus infection of target cells. J. Virol. 2010, 84, 2188–2199. [Google Scholar] [CrossRef] [PubMed]
- Chakraborty, S.; Veettil, M.V.; Chandran, B. Kaposi’s Sarcoma Associated Herpesvirus Entry into Target Cells. Front. Microbiol. 2012, 3, 6. [Google Scholar] [CrossRef] [PubMed]
- Naranatt, P.P.; Akula, S.M.; Chandran, B. Characterization of gamma2-human herpesvirus-8 glycoproteins gH and gL. Arch. Virol. 2002, 147, 1349–1370. [Google Scholar] [CrossRef] [PubMed]
- Birkmann, A.; Mahr, K.; Ensser, A.; Yaguboglu, S.; Titgemeyer, F.; Fleckenstein, B.; Neipel, F. Cell surface heparan sulfate is a receptor for human herpesvirus 8 and interacts with envelope glycoprotein K8.1. J. Virol. 2001, 75, 11583–11593. [Google Scholar] [CrossRef] [PubMed]
- Wang, F.Z.; Akula, S.M.; Pramod, N.P.; Zeng, L.; Chandran, B. Human herpesvirus 8 envelope glycoprotein K8.1A interaction with the target cells involves heparan sulfate. J. Virol. 2001, 75, 7517–7527. [Google Scholar] [CrossRef] [PubMed]
- Garrigues, H.J.; Rubinchikova, Y.E.; Dipersio, C.M.; Rose, T.M. Integrin alphaVbeta3 Binds to the RGD motif of glycoprotein B of Kaposi’s sarcoma-associated herpesvirus and functions as an RGD-dependent entry receptor. J. Virol. 2008, 82, 1570–1580. [Google Scholar] [CrossRef]
- Akula, S.M.; Pramod, N.P.; Wang, F.Z.; Chandran, B. Integrin alpha3beta1 (CD 49c/29) is a cellular receptor for Kaposi’s sarcoma-associated herpesvirus (KSHV/HHV-8) entry into the target cells. Cell 2002, 108, 407–419. [Google Scholar] [CrossRef]
- Kerur, N.; Veettil, M.V.; Sharma-Walia, N.; Sadagopan, S.; Bottero, V.; Paul, A.G.; Chandran, B. Characterization of entry and infection of monocytic THP-1 cells by Kaposi’s sarcoma associated herpesvirus (KSHV): Role of heparan sulfate, DC-SIGN, integrins and signaling. Virology 2010, 406, 103–116. [Google Scholar] [CrossRef]
- Veettil, M.V.; Sadagopan, S.; Sharma-Walia, N.; Wang, F.Z.; Raghu, H.; Varga, L.; Chandran, B. Kaposi’s sarcoma-associated herpesvirus forms a multimolecular complex of integrins (alphaVbeta5, alphaVbeta3, and alpha3beta1) and CD98-xCT during infection of human dermal microvascular endothelial cells, and CD98-xCT is essential for the postentry stage of infection. J. Virol. 2008, 82, 12126–12144. [Google Scholar] [CrossRef]
- Vieira, J.; O’Hearn, P.M. Use of the red fluorescent protein as a marker of Kaposi’s sarcoma-associated herpesvirus lytic gene expression. Virology 2004, 325, 225–240. [Google Scholar] [CrossRef] [PubMed]
- Minhas, V.; Crosby, L.N.; Crabtree, K.L.; Phiri, S.; M’Soka T, J.; Kankasa, C.; Harrington, W.J.; Mitchell, C.D.; Wood, C. Development of an immunofluorescence assay using recombinant proteins expressed in insect cells to screen and confirm presence of human herpesvirus 8-specific antibodies. Clin. Vaccine Immunol. 2008, 15, 1259–1264. [Google Scholar] [CrossRef] [PubMed]
- Tso, F.Y.; Kang, G.; Kwon, E.H.; Julius, P.; Li, Q.; West, J.T.; Wood, C. Brain is a potential sanctuary for subtype C HIV-1 irrespective of ART treatment outcome. PLoS ONE 2018, 13, e0201325. [Google Scholar] [CrossRef] [PubMed]
- Lidenge, S.J.; Tso, F.Y.; Ngalamika, O.; Ngowi, J.R.; Mortazavi, Y.; Kwon, E.H.; Shea, D.M.; Minhas, V.; Mwaiselage, J.; Wood, C.; et al. Similar Immunological Profiles Between African Endemic and Human Immunodeficiency Virus Type 1-Associated Epidemic Kaposi Sarcoma (KS) Patients Reveal the Primary Role of KS-Associated Herpesvirus in KS Pathogenesis. J. Infect. Dis. 2019, 219, 1318–1328. [Google Scholar] [CrossRef]
- Dollery, S.J.; Santiago-Crespo, R.J.; Chatterjee, D.; Berger, E.A. Glycoprotein K8.1A of Kaposi’s Sarcoma-Associated Herpesvirus Is a Critical B Cell Tropism Determinant Independent of Its Heparan Sulfate Binding Activity. J. Virol. 2019, 93. [Google Scholar] [CrossRef]
- Hahn, A.; Birkmann, A.; Wies, E.; Dorer, D.; Mahr, K.; Sturzl, M.; Titgemeyer, F.; Neipel, F. Kaposi’s sarcoma-associated herpesvirus gH/gL: Glycoprotein export and interaction with cellular receptors. J. Virol. 2009, 83, 396–407. [Google Scholar] [CrossRef]
- Koyano, S.; Mar, E.C.; Stamey, F.R.; Inoue, N. Glycoproteins M and N of human herpesvirus 8 form a complex and inhibit cell fusion. J. Gen. Virol. 2003, 84, 1485–1491. [Google Scholar] [CrossRef]
- Iwasaki, A. Exploiting Mucosal Immunity for Antiviral Vaccines. Annu. Rev. Immunol. 2016, 34, 575–608. [Google Scholar] [CrossRef]
- Han, T.; Marasco, W.A. Structural basis of influenza virus neutralization. Ann. N Y Acad. Sci. 2011, 1217, 178–190. [Google Scholar] [CrossRef]
- Wrammert, J.; Smith, K.; Miller, J.; Langley, W.A.; Kokko, K.; Larsen, C.; Zheng, N.Y.; Mays, I.; Garman, L.; Helms, C.; et al. Rapid cloning of high-affinity human monoclonal antibodies against influenza virus. Nature 2008, 453, 667–671. [Google Scholar] [CrossRef]
- Sui, J.; Hwang, W.C.; Perez, S.; Wei, G.; Aird, D.; Chen, L.M.; Santelli, E.; Stec, B.; Cadwell, G.; Ali, M.; et al. Structural and functional bases for broad-spectrum neutralization of avian and human influenza A viruses. Nat. Struct. Mol. Biol. 2009, 16, 265–273. [Google Scholar] [CrossRef] [PubMed]
- Whitehead, S.S.; Blaney, J.E.; Durbin, A.P.; Murphy, B.R. Prospects for a dengue virus vaccine. Nat. Rev. Microbiol 2007, 5, 518–528. [Google Scholar] [CrossRef] [PubMed]
- Baghian, A.; Luftig, M.; Black, J.B.; Meng, Y.X.; Pau, C.P.; Voss, T.; Pellett, P.E.; Kousoulas, K.G. Glycoprotein B of human herpesvirus 8 is a component of the virion in a cleaved form composed of amino- and carboxyl-terminal fragments. Virology 2000, 269, 18–25. [Google Scholar] [CrossRef] [PubMed]





| Patient ID | Sex | Age | KS Months | HIV-1 Months | HIV-1 Plasma Viral Load [copies/mL] | ARV Months | 1/IC50 | IFA | Plasma ORF26 PCR | |
|---|---|---|---|---|---|---|---|---|---|---|
| Endemic KS (KSHV+, HIV-1−) | 3096 | M | 27 | 3 | NA | NA | NA | 395.1 | 20480 | − |
| 3111 | M | 24 | 7 | NA | NA | NA | 438.9 | 5120 | − | |
| 3135 | M | 25 | 12 | NA | NA | NA | 1672.4 | 5120 | − | |
| 3137 | M | 51 | NI | NA | NA | NA | 292.2 | 5120 | − | |
| 3139 | M | 27 | 14 | NA | NA | NA | 281.8 | 40960 | + | |
| 21182 | M | 57 | 108 | NA | NA | NA | 115.7 | 10240 | NI | |
| Epidemic KS (KSHV+, HIV-1+) | 3060 | F | 44 | 8 | 12 | BDL | 9 | 1259.4 | 40960 | + |
| 3080 | F | 21 | 3 | 5 | BDL | 1 | 199.9 | 1280 | − | |
| 3122 | M | 34 | 3 | 24 | BDL | 24 | 2779.9 | 40960 | + | |
| 21001 | F | 36 | 18 | 168 | BDL | 10 | 605.3 | 2560 | + | |
| 21009 | M | 36 | 60 | 120 | BDL | 9 | 232.2 | 1280 | − | |
| 21017 | M | 38 | 24 | 36 | BDL | 36 | 845.7 | 1280 | + | |
| 21021 | M | 41 | 60 | NI | 1.16 × 105 | NI | 1606.7 | 1280 | + | |
| 21028 | M | 30 | 24 | 24 | BDL | 24 | 1167.5 | 5120 | − | |
| 21052 | F | 37 | 84 | NI | BDL | 48 | 1971.7 | 2560 | − | |
| 21053 | M | 44 | 9 | 5 | BDL | 4 | 890.4 | 2560 | − | |
| 21062 | M | 68 | 24 | NI | BDL | NI | 715.8 | 5120 | + | |
| TIL002 | M | 68 | 3 | 48 | 2201 | 36 | 285.2 | 5120 | NI | |
| TIL007 | M | 46 | 72 | 72 | 33 | 72 | 407.1 | 5120 | NI | |
| TIL018 | M | 55 | 48 | 120 | BDL | 120 | 1600.5 | 5120 | NI | |
| TIL020 | M | 51 | 2 | 7 | BDL | 7 | 454.4 | 10240 | NI | |
| Non-KS (KSHV+, HIV-1-) | 3067 | F | 60 | NA | NA | NA | NA | 224.6 | 5120 | NI |
| Non-KS (KSHV+, HIV-1+) | 21598 | F | 45 | NA | 36 | NI | NI | 197.1 | 2560 | NI |
| 594 | F | 33 | NA | 18 | NI | 12 | 175.4 | 2560 | NI | |
| 649 | F | 25 | NA | 6 | NI | 4 | 126.1 | 640 | NI |
© 2020 by the authors. Licensee MDPI, Basel, Switzerland. This article is an open access article distributed under the terms and conditions of the Creative Commons Attribution (CC BY) license (http://creativecommons.org/licenses/by/4.0/).
Share and Cite
Mortazavi, Y.; Lidenge, S.J.; Tran, T.; West, J.T.; Wood, C.; Tso, F.Y. The Kaposi’s Sarcoma-Associated Herpesvirus (KSHV) gH/gL Complex Is the Predominant Neutralizing Antigenic Determinant in KSHV-Infected Individuals. Viruses 2020, 12, 256. https://doi.org/10.3390/v12030256
Mortazavi Y, Lidenge SJ, Tran T, West JT, Wood C, Tso FY. The Kaposi’s Sarcoma-Associated Herpesvirus (KSHV) gH/gL Complex Is the Predominant Neutralizing Antigenic Determinant in KSHV-Infected Individuals. Viruses. 2020; 12(3):256. https://doi.org/10.3390/v12030256
Chicago/Turabian StyleMortazavi, Yasaman, Salum J. Lidenge, Tara Tran, John T. West, Charles Wood, and For Yue Tso. 2020. "The Kaposi’s Sarcoma-Associated Herpesvirus (KSHV) gH/gL Complex Is the Predominant Neutralizing Antigenic Determinant in KSHV-Infected Individuals" Viruses 12, no. 3: 256. https://doi.org/10.3390/v12030256
APA StyleMortazavi, Y., Lidenge, S. J., Tran, T., West, J. T., Wood, C., & Tso, F. Y. (2020). The Kaposi’s Sarcoma-Associated Herpesvirus (KSHV) gH/gL Complex Is the Predominant Neutralizing Antigenic Determinant in KSHV-Infected Individuals. Viruses, 12(3), 256. https://doi.org/10.3390/v12030256
