Torque Teno Virus Viral Load as a Marker of Immune Function in Allogeneic Haematopoietic Stem Cell Transplantation Recipients
Abstract
:1. Introduction
2. Materials and Methods
2.1. Study Population
2.2. Blood Sampling
2.3. TTV Viral Load Quantification
2.4. T-Cell Proliferation Assay
2.5. Post-Transplant T-Cell Immunophenotyping
2.6. Statistical Analysis
3. Results
3.1. Participant Characteristics
3.2. Plasma TTV Viral Load in Allo-HSCT Recipients and HV
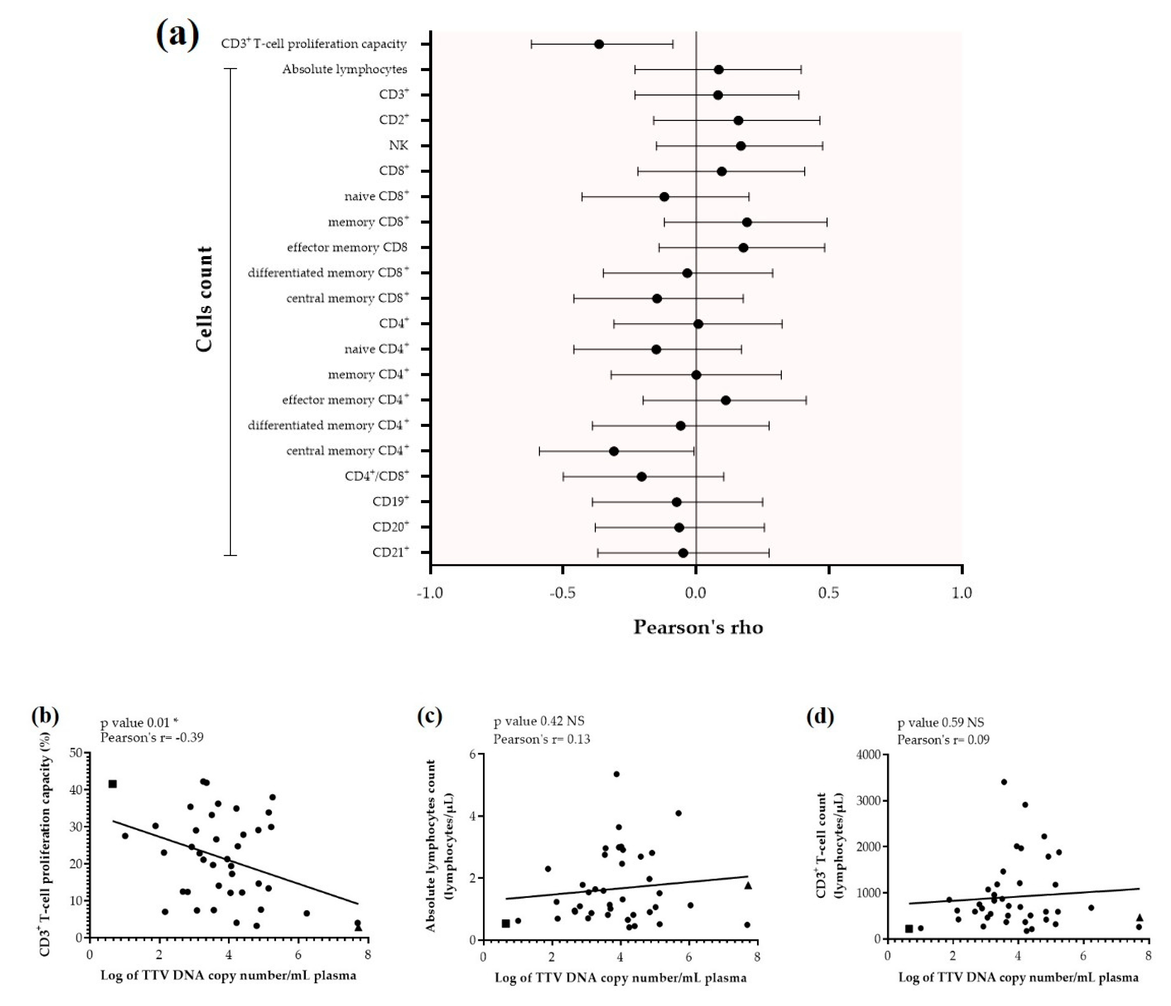
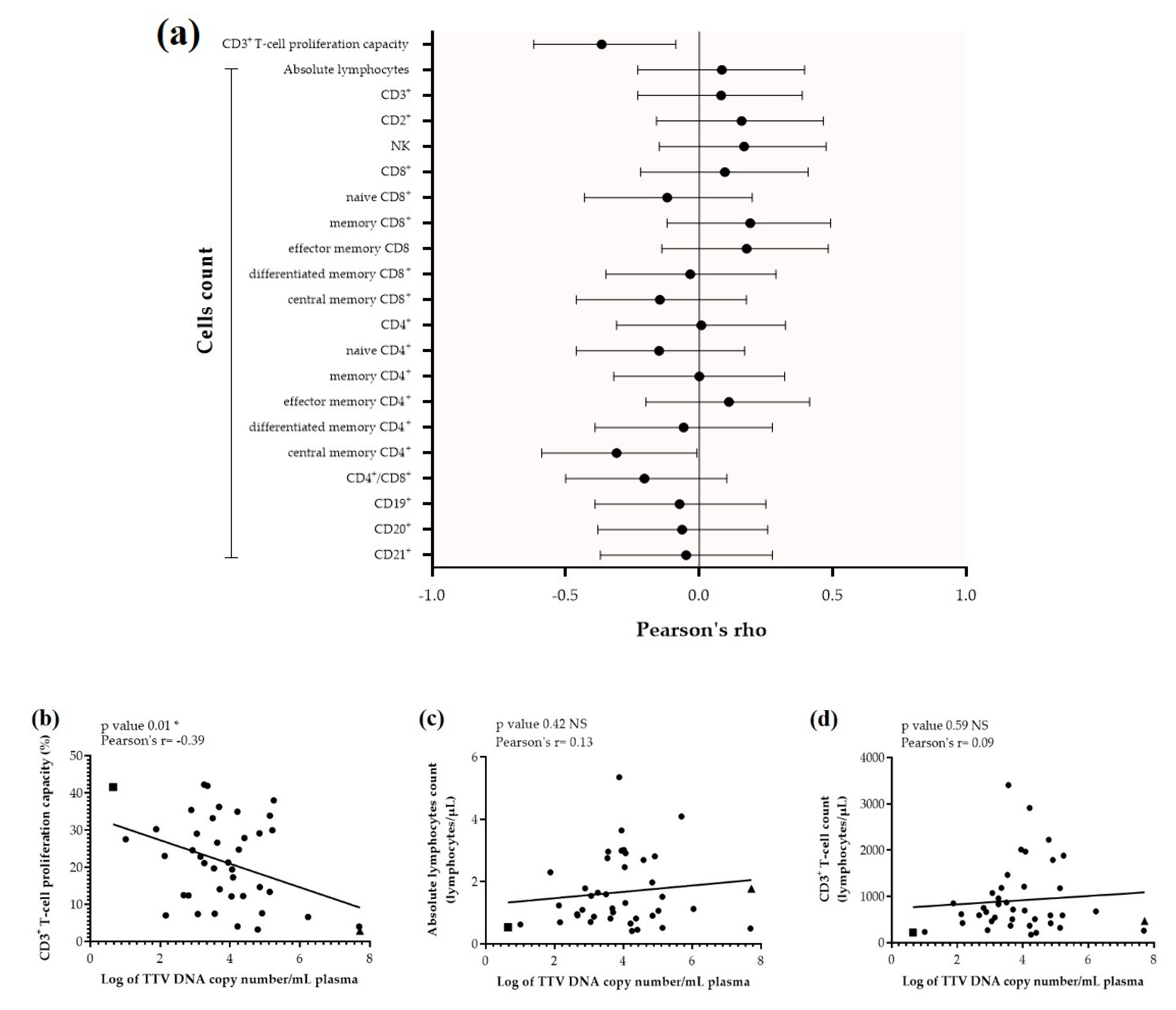
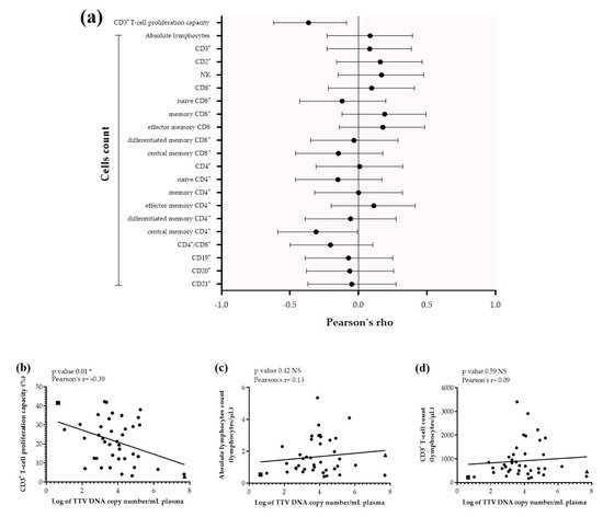
3.3. Correlation between TTV Viral Load and T-Cell Counts or Proliferation Capacity
3.4. Correlation between (Post-)Transplant Characteristics and TTV Viral Load
3.5. Clinical Characteristics of Allo-HSCT Recipients with Extreme Values of TTV Viral Load
4. Discussion
5. Conclusions
Supplementary Materials
Author Contributions
Funding
Acknowledgments
Conflicts of Interest
References
- Bosch, M.; Khan, F.M.; Storek, J. Immune reconstitution after hematopoietic cell transplantation. Curr. Opin. Hematol. 2012, 19, 324–335. [Google Scholar] [CrossRef] [PubMed]
- Ogonek, J.; Kralj Juric, M.; Ghimire, S.; Varanasi, P.R.; Holler, E.; Greinix, H.; Weissinger, E. Immune Reconstitution after Allogeneic Hematopoietic Stem Cell Transplantation. Front. Immunol. 2016, 7. [Google Scholar] [CrossRef] [PubMed] [Green Version]
- De Silva, H.D.; Ffrench, R.A.; Korem, M.; Orlowski, E.; Curtis, D.J.; Spencer, A.; Avery, S.; Patil, S.; Morrissey, C.O. Contemporary analysis of functional immune recovery to opportunistic and vaccine-preventable infections after allogeneic haemopoietic stem cell transplantation. Clin. Transl. Immunol. 2018, 7, e1040. [Google Scholar] [CrossRef]
- Sahin, U.; Toprak, S.K.; Atilla, P.A.; Atilla, E.; Demirer, T. An overview of infectious complications after allogeneic hematopoietic stem cell transplantation. J. Infect. Chemother. 2016, 22, 505–514. [Google Scholar] [CrossRef] [PubMed] [Green Version]
- Pradier, A.; Masouridi-Levrat, S.; Bosshard, C.; Dantin, C.; Vu, D.-L.; Zanella, M.-C.; Boely, E.; Tapparel, C.; Kaiser, L.; Chalandon, Y.; et al. Torque Teno Virus as a Potential Biomarker for Complications and Survival after Allogeneic Hematopoietic Stem Cell Transplantation. Front. Immunol. 2020, 11, 998. [Google Scholar] [CrossRef] [PubMed]
- Hoshina, T.; Ohga, S.; Fujiyoshi, J.; Nanishi, E.; Takimoto, T.; Kanno, S.; Nishio, H.; Saito, M.; Akeda, Y.; Oishi, K.; et al. Memory B-Cell Pools Predict the Immune Response to Pneumococcal Conjugate Vaccine in Immunocompromised Children. J. Infect. Dis. 2016, 213, 848–855. [Google Scholar] [CrossRef] [Green Version]
- Luo, Y.; Xie, Y.; Zhang, W.; Lin, Q.; Tang, G.; Wu, S.; Huang, M.; Yin, B.; Huang, J.; Wei, W.; et al. Combination of lymphocyte number and function in evaluating host immunity. Aging (Albany N. Y.) 2019, 11, 12685–12707. [Google Scholar] [CrossRef]
- Focosi, D.; Antonelli, G.; Pistello, M.; Maggi, F. Torquetenovirus: The human virome from bench to bedside. Clin. Microbiol. Infect. 2016, 22, 589–593. [Google Scholar] [CrossRef] [Green Version]
- Wohlfarth, P.; Leiner, M.; Schoergenhofer, C.; Hopfinger, G.; Goerzer, I.; Puchhammer-Stoeckl, E.; Rabitsch, W. Torquetenovirus Dynamics and Immune Marker Properties in Patients Following Allogeneic Hematopoietic Stem Cell Transplantation: A Prospective Longitudinal Study. Biol. Blood Marrow Transplant. 2018, 24, 194–199. [Google Scholar] [CrossRef] [Green Version]
- Mitchell, A.B.; Glanville, A.R. Kinetics of TTV-DNA Plasma Load: A Global Measure of Immune Suppression? Transplantation 2019, 103, 660–661. [Google Scholar] [CrossRef]
- Focosi, D.; Maggi, F.; Albani, M.; Macera, L.; Ricci, V.; Gragnani, S.; Di Beo, S.; Ghimenti, M.; Antonelli, G.; Bendinelli, M.; et al. Torquetenovirus viremia kinetics after autologous stem cell transplantation are predictable and may serve as a surrogate marker of functional immune reconstitution. J. Clin. Virol. 2010, 47, 189–192. [Google Scholar] [CrossRef] [PubMed]
- De Vlaminck, I.; Khush, K.K.; Strehl, C.; Kohli, B.; Luikart, H.; Neff, N.F.; Okamoto, J.; Snyder, T.M.; Cornfield, D.N.; Nicolls, M.R.; et al. Temporal Response of the Human Virome to Immunosuppression and Antiviral Therapy. Cell 2013, 155, 1178–1187. [Google Scholar] [CrossRef] [PubMed] [Green Version]
- Gilles, R.; Herling, M.; Holtick, U.; Heger, E.; Awerkiew, S.; Fish, I.; Höller, K.; Sierra, S.; Knops, E.; Kaiser, R.; et al. Dynamics of Torque Teno virus viremia could predict risk of complications after allogeneic hematopoietic stem cell transplantation. Med. Microbiol. Immunol. 2017, 206, 355–362. [Google Scholar] [CrossRef]
- Masouridi-Levrat, S.; Pradier, A.; Simonetta, F.; Kaiser, L.; Chalandon, Y.; Roosnek, E. Torque teno virus in patients undergoing allogeneic hematopoietic stem cell transplantation for hematological malignancies. Bone Marrow Transpl. 2016, 51, 440–442. [Google Scholar] [CrossRef] [PubMed] [Green Version]
- Kosulin, K.; Kernbichler, S.; Pichler, H.; Lawitschka, A.; Geyeregger, R.; Witt, V.; Lion, T. Post-transplant Replication of Torque Teno Virus in Granulocytes. Front. Microbiol. 2018, 9, 2956. [Google Scholar] [CrossRef] [PubMed] [Green Version]
- Conrad, A.; Boccard, M.; Valour, F.; Alcazer, V.; Tovar Sanchez, A.-T.; Chidiac, C.; Laurent, F.; Vanhems, P.; Salles, G.; Brengel-Pesce, K.; et al. VaccHemInf project: Protocol for a prospective cohort study of efficacy, safety and characterisation of immune functional response to vaccinations in haematopoietic stem cell transplant recipients. BMJ Open 2019, 9, e026093. [Google Scholar] [CrossRef] [PubMed] [Green Version]
- Cordonnier, C.; Einarsdottir, S.; Cesaro, S.; Di Blasi, R.; Mikulska, M.; Rieger, C.; de Lavallade, H.; Gallo, G.; Lehrnbecher, T.; Engelhard, D.; et al. Vaccination of haemopoietic stem cell transplant recipients: Guidelines of the 2017 European Conference on Infections in Leukaemia (ECIL 7). Lancet Infect. Dis. 2019, 19, e200–e212. [Google Scholar] [CrossRef]
- Haut Conseil de Santé Publique (HCSP). Vaccination des Personnes Immunodéprimées ou Aspléniques. 2014. Available online: http://www.hcsp.fr/explore.cgi/avisrapportdomaine?clefr=504 (accessed on 12 October 2020).
- Kulifaj, D.; Essig, M.; Meynier, F.; Pichon, N.; Munteanu, E.; Moulinas, R.; Joannes, M.; Heckel, D.; Combrissson, J.; Barranger, C.; et al. Torque teno virus (TTV) in immunosuppressed host: Performances studies of TTV R-Gene® kit and donors and recipients kidney samples genotyping. J. Clin. Virol. 2016, 82, S103–S104. [Google Scholar] [CrossRef]
- Kulifaj, D.; Durgueil-Lariviere, B.; Meynier, F.; Munteanu, E.; Pichon, N.; Dubé, M.; Joannes, M.; Essig, M.; Hantz, S.; Barranger, C.; et al. Development of a standardized real time PCR for Torque teno viruses (TTV) viral load detection and quantification: A new tool for immune monitoring. J. Clin. Virol. 2018, 105, 118–127. [Google Scholar] [CrossRef]
- Poujol, F.; Monneret, G.; Friggeri, A.; Rimmelé, T.; Malcus, C.; Poitevin-Later, F.; Pachot, A.; Lepape, A.; Textoris, J.; Venet, F. Flow cytometric evaluation of lymphocyte transformation test based on 5-ethynyl-2′deoxyuridine incorporation as a clinical alternative to tritiated thymidine uptake measurement. J. Immunol. Methods 2014, 415, 71–79. [Google Scholar] [CrossRef]
- Focosi, D.; Spezia, P.G.; Macera, L.; Salvadori, S.; Navarro, D.; Lanza, M.; Antonelli, G.; Pistello, M.; Maggi, F. Assessment of prevalence and load of torquetenovirus viraemia in a large cohort of healthy blood donors. Clin. Microbiol. Infect. 2020, S1198743X20300367. [Google Scholar] [CrossRef] [PubMed]
- Tyagi, A.; Pradier, A.; Baumer, O.; Uppugunduri, C.R.S.; Huezo-Diaz, P.; Posfay-Barbe, K.M.; Roosnek, E.; Ansari, M. Validation of SYBR Green based quantification assay for the detection of human Torque Teno virus titers from plasma. Virol. J. 2013, 10, 191. [Google Scholar] [CrossRef] [PubMed] [Green Version]
- Fernández-Ruiz, M. Torque Teno virus load as a surrogate marker for the net state of immunosuppression: The beneficial side of the virome. Am. J. Transpl. 2020. [Google Scholar] [CrossRef] [PubMed] [Green Version]
- Focosi, D.; Bestagno, M.; Burrone, O.; Petrini, M. CD57+ T lymphocytes and functional immune deficiency. J. Leukoc. Biol. 2010, 87, 107–116. [Google Scholar] [CrossRef] [PubMed]
- Albert, E.; Solano, C.; Giménez, E.; Focosi, D.; Pérez, A.; Macera, L.; Piñana, J.L.; Mateo, E.M.; Boluda, J.C.H.; Maggi, F.; et al. Kinetics of Alphatorquevirus plasma DNAemia at late times after allogeneic hematopoietic stem cell transplantation. Med. Microbiol. Immunol. 2019, 208, 253–258. [Google Scholar] [CrossRef] [PubMed]
- Ljungman, P.; Hakki, M.; Boeckh, M. Cytomegalovirus in hematopoietic stem cell transplant recipients. Hematol. Oncol. Clin. N. Am. 2011, 25, 151–169. [Google Scholar] [CrossRef]
- Liu, L.; Zhang, X.; Feng, S. Epstein-Barr Virus-Related Post-Transplantation Lymphoproliferative Disorders After Allogeneic Hematopoietic Stem Cell Transplantation. Biol. Blood Marrow Transplant. 2018, 24, 1341–1349. [Google Scholar] [CrossRef] [Green Version]
- Albert, E.; Solano, C.; Pascual, T.; Torres, I.; Macera, L.; Focosi, D.; Maggi, F.; Giménez, E.; Amat, P.; Navarro, D. Dynamics of Torque Teno virus plasma DNAemia in allogeneic stem cell transplant recipients. J. Clin. Virol. 2017, 94, 22–28. [Google Scholar] [CrossRef]
- Schmitz, J.; Kobbe, G.; Kondakci, M.; Schuler, E.; Magorsch, M.; Adams, O. The Value of Torque Teno Virus (TTV) as a Marker for the Degree of Immunosuppression in Adult Patients after Hematopoietic Stem Cell Transplantation (HSCT). Biol. Blood Marrow Transplant. 2019, S1083879119307426. [Google Scholar] [CrossRef]
- Focosi, D.; Macera, L.; Boggi, U.; Nelli, L.C.; Maggi, F. Short-term kinetics of torque teno virus viraemia after induction immunosuppression confirm T lymphocytes as the main replication-competent cells. J. Gen. Virol. 2015, 96, 115–117. [Google Scholar] [CrossRef]
- Doberer, K.; Schiemann, M.; Strassl, R.; Haupenthal, F.; Dermuth, F.; Görzer, I.; Eskandary, F.; Reindl-Schwaighofer, R.; Kikić, Ž.; Puchhammer-Stöckl, E.; et al. Torque teno virus for risk stratification of graft rejection and infection in kidney transplant recipients—A prospective observational trial. Am. J. Transpl. 2020, ajt.15810. [Google Scholar] [CrossRef] [PubMed] [Green Version]



| Patients n = 41 | |
|---|---|
| Demographics | 56 (40–64) |
| Age, median (IQR] | 24 (59) |
| Time from transplantation in months, median (IQR) | 6 (5–8) |
| Haematological and transplant-related characteristics. n (%) | |
| Underlying haematological diseases | |
| Myeloid neoplasm and acute leukaemia | 37 (90) |
| Mature lymphoid. histiocytic. and dendritic neoplasms | 4 (10) |
| CR before the engraftment. n (%) | 39 (95) |
| Donor types | |
| Matched related | 23 (56) |
| Unrelated | 18 (44) |
| Fully matched | 15 (37) |
| HLA mismatched | 3 (7) |
| Stem cell source | |
| Peripheral blood cells | 28 (68) |
| Bone marrow | 13 (32) |
| Conditioning regimen | |
| MAC | 17 (41) |
| RIC | 24 (59) |
| TBI | 11 (27) |
| Post-transplant complications. n (%) | |
| Acute GvHD | 30 (73) |
| Grade I/II | 21/9 |
| Chronic GvHD | 7 (17) |
| Limited/Extensive | 5/2 |
| Immunophenotyping. mean (range) | |
| Absolute lymphocytes (NV. 1000–2800/µL) | 1659 (410–5350) |
| CD3+ T-cells (NV. 521–1772/µL) | 915 (175–3406) |
| CD3+ CD4+ T-cells (NV. 336–1126/µL) | 273 (38–876) |
| Naïve CD4+ (CD45+CCR7+) (NV. 121–456/µL) | 45 (0–445) |
| Central Memory CD4+ (CD45RA−CCR7+) (NV. 92–341/µL) | 60 (1–168) |
| Effector Memory CD4+ (CD45RA−CCR7−) (NV. 59–321/µL) | 163 (4–522) |
| Differentiated Memory CD4+ (CD45RA+CCR7−) (NV. 11–102/µL) | 19 (0–147) |
| CD3+ CD8+ T-cells (NV. 125–780/µL) | 602 (60–2779) |
| Naïve CD8+ (CD45+CCR7+) (NV. 86–257µL) | 40 (0–241) |
| Central Memory CD8+ (CD45RA−CCR7+) (NV. 19–93/µL) | 17 (0–127) |
| Effector Memory CD8+ (CD45RA−CCR7−) (NV. 15–162/µL) | 286 (0–1517) |
| Differentiated Memory CD8+ (CD45RA+CCR7−) (NV. 39–212/µL) | 257 (0–1474) |
| CD4+/CD8+ ratio (NV. 0.9–6) | 0.84 (0.13–8.88) |
| Post-transplant immunomodulatory therapy at inclusion, n (%) | |
| IS Therapy | 32 (78) |
| Corticosteroids | 5 (12) |
| IVIG infusion | 23 (56) |
| Time since last IVIG infusion, month (median (IQR)) | 4 (2–5) |
| DLI | 7 (17) |
| ECP | 2 (5) |
| Patient A | Patient B | |
|---|---|---|
| Demographics | ||
| Age | 52 | 57 |
| Sex | Male | Female |
| Haematological and transplant-related characteristics | ||
| Underlying haematological diseases | Mature B cells neoplasm | Acute myeloid leukaemia |
| CR before the engraftment | Yes | Yes |
| Donor types | Geno-identical | Pheno-identical (9/10) |
| Stem cell sources | Bone marrow | Peripheral blood cells |
| Conditioning regimen | MAC | RIC |
| Total body irradiation | Yes | No |
| Post-transplant complications | ||
| Acute GvHD | No | Yes. grade I |
| Chronic GvHD | No | No |
| Post-transplant immunomodulatory therapy | ||
| IS therapy | No | Yes |
| IVIG infusion | No | Yes |
| Number of infections after transplantation | 0 | 5 |
| TTV viral load in Log copies/mL | 0.65 | 7.72 |
| CD3+ T-cell proliferation capacity | 41.6 | 2.9 |
Publisher’s Note: MDPI stays neutral with regard to jurisdictional claims in published maps and institutional affiliations. |
© 2020 by the authors. Licensee MDPI, Basel, Switzerland. This article is an open access article distributed under the terms and conditions of the Creative Commons Attribution (CC BY) license (http://creativecommons.org/licenses/by/4.0/).
Share and Cite
Mouton, W.; Conrad, A.; Bal, A.; Boccard, M.; Malcus, C.; Ducastelle-Lepretre, S.; Balsat, M.; Barraco, F.; Larcher, M.-V.; Fossard, G.; et al. Torque Teno Virus Viral Load as a Marker of Immune Function in Allogeneic Haematopoietic Stem Cell Transplantation Recipients. Viruses 2020, 12, 1292. https://doi.org/10.3390/v12111292
Mouton W, Conrad A, Bal A, Boccard M, Malcus C, Ducastelle-Lepretre S, Balsat M, Barraco F, Larcher M-V, Fossard G, et al. Torque Teno Virus Viral Load as a Marker of Immune Function in Allogeneic Haematopoietic Stem Cell Transplantation Recipients. Viruses. 2020; 12(11):1292. https://doi.org/10.3390/v12111292
Chicago/Turabian StyleMouton, William, Anne Conrad, Antonin Bal, Mathilde Boccard, Christophe Malcus, Sophie Ducastelle-Lepretre, Marie Balsat, Fiorenza Barraco, Marie-Virginie Larcher, Gaëlle Fossard, and et al. 2020. "Torque Teno Virus Viral Load as a Marker of Immune Function in Allogeneic Haematopoietic Stem Cell Transplantation Recipients" Viruses 12, no. 11: 1292. https://doi.org/10.3390/v12111292
APA StyleMouton, W., Conrad, A., Bal, A., Boccard, M., Malcus, C., Ducastelle-Lepretre, S., Balsat, M., Barraco, F., Larcher, M.-V., Fossard, G., Labussière-Wallet, H., Ader, F., Brengel-Pesce, K., Trouillet-Assant, S., & HEMINF Study Group, L. (2020). Torque Teno Virus Viral Load as a Marker of Immune Function in Allogeneic Haematopoietic Stem Cell Transplantation Recipients. Viruses, 12(11), 1292. https://doi.org/10.3390/v12111292

