Abstract
Stand density directly affects the distribution of ecological factors such as light, heat, and water in forest communities and changes the diversity and structure of undergrowth species, thereby affecting soil health. Fine roots can provide water and nutrients to plants rapidly in the fierce competition of soil resources, so as to get rid of environmental factors. This study examined the fine-root responses of the Populus tomentosa clone S86 to three stand densities (plant × row spacing: 2 × 2 m, 4 × 3 m, 4 × 5 m). We measured the biomass, morphology, and nitrogen content of lower- (1–3 order) and higher-order (>3 order) fine roots, and analyzed soil chemical properties in 10–30 cm. The soil from the density (2 × 2 m) stands showed lower soil organic matter content, available nitrogen, available phosphorous, and available potassium than others. Obviously, lower and higher-order fine roots were different: biomass of the >3 order accounted for 77–87% of the total biomass, 1–3-order fine-root diameter around 0.28–0.38 mm, while >3-order fine root were 1.28–1.69 mm; the length of 1–3-order fine root was longer than the >3 order, and root length density, specific root length, and nutrient content between the 1–3 and >3 orders were different. At 2 × 2 m, 1–3-order fine-root biomass was the highest, 132.5 g/m3, and the 1–3-order fine-root length, diameter, surface, root length density was also the highest; at the same time, the 1–3-order fine-root total nitrogen and organic matter content was also the highest, while the >3 order was highest under 4 × 3 m or 4 × 5 m. The findings of this study show that stand density affected the available nutrient content of the soil. When soil resources were poor, the biomass, morphology, and chemical content of fine roots were adjusted to increase the nutrient absorption rate, particularly in the lower-order roots.
1. Introduction
Nutrients are essential to tree growth and development [1]. Fine roots play an important role in the cycling of water, nutrients, and carbon in terrestrial ecosystems [2]. Trees increase nutrient absorption from soil by increasing the number of fine roots [3,4], typically considered to be those that are 0–1 or 0–2 mm in diameter [2,5,6]. However, the exact mechanism of nutrient uptake, including how fine-root positioning in the soil influences function, is a neglected area of study [7]. Previous research suggests that individual roots should be divided into different orders based on distance away from the plant; thus, distal roots are first-order, originating from second-order (more proximal) roots [2,8], and so on. This categorization is useful for an examination of linkages between fine-root structure and function. For example, specific root length and root nitrogen concentration decrease with increasing root order, suggesting that physiology is relevant to root nitrogen [3,9]. Lower, first-, and second-order roots primarily absorb soil nutrients and water, while third- to fifth-order fine-root transport and store these resources [10,11,12]; hereafter, fine-root categories are referred to using Arabic numerals. For instance, a dissection of fine roots from Phellodendron amurense revealed that 1–3-order (first- to third-order) roots exhibited physiological characteristics related to absorption, whereas 4–5-order (fourth- and fifth-order) roots contained continuous phellem tissue indicative of functions related to conduction [13,14].
Both genetic [8,15,16] and environmental (e.g., soil characteristics) factors [17,18,19,20] influence fine-root behavior. Fine-root architecture, morphology, and chemistry can shift to maximize uptake in response to temporal and spatial resource fluctuations [21,22]. Under poor soil conditions, for example, fine-root biomass increased over a larger area [20,23] or decreased [24,25]. Furthermore, some studies have reported increases in specific root length, presumably to assimilate more nutrients [26,27,28,29,30], although other observations of reduced [31] or unchanged [24] indicate the need for more detailed research [32]. Regardless, root length is especially important for absorbing relatively immobile nutrients [33]. The correlation was not significant for diameter with either mass or length response to fertilization [34].
While trees can adjust leaf phenotype in response to environmental change [22], the fine-root phenotype appears to be more plastic. Some studies have demonstrated variation in fine-root biomass, morphology, and architecture under differing stand densities, which is a major environmental factor in forest communities [35,36]. While the mechanisms for these morphological changes to fine roots are unclear, we know that stand density directly affects the distribution of light, heat, moisture, and other ecological factors in forest communities, resulting in changes to undergrowth species diversity and structure [27,37,38]. Moreover, soil nutrient content is directly proportional to density [39,40]. Thus, all of these variables may interact to influence fine-root plasticity.
When strategically integrated into agroecosystems, fast-growing hybrid poplar plantations are a major source of biomass, wood/pulp production, and ecosystem services (e.g., phytoremediation, habitat creation, soil stabilization, hydrological control, and disturbance regulation) [41,42,43,44]. Populus tomentosa is ideal for research on fine-root responses to stand density. These trees have horizontal slanting roots [45] with a high proportion of fine roots distributed in the topsoil, and soil nutrient content is an important influencing factor for fine-root distribution [1]. Therefore, we studied P. tomentosa under three stand densities. We obtained samples to measure the biomass, morphology, and nutrient content of fine roots, and examined how these variables respond to changing soil resources. We hypothesized that (1) different densities alter available soil nutrients in soil depths of 10–30 cm, (2) fine roots adjust their biomass, morphology, and chemistry in response to different soil nutrients, (3) low-order fine roots are more sensitive to soil nutrient levels than high-order roots, and (4) low- and high-order roots differ significantly in biomass, morphology, and nutrient content.
2. Materials and Methods
2.1. Study Site
The study took place in the Huayang Forest Tree Nursery, located in the heart of Huabei Great Plains (36°50′–37°47′ N, 113°52′–115°49′ E), a flat, alluvial region that experiences a warm-temperate, continental, semi-arid monsoon climate. Elevation ranges from 30 to 50 m. Monthly mean temperatures are −2.5 °C in January and 27.0 °C in July. Average total annual precipitation is approximately 497.7 mm, with 70% of rainfall occurring between July and September. Annual sunshine duration is estimated to be 2575 h, and there are approximately 198 frost-free days, these meteorological conditions come from 50 years (1960–2010) data of Weixian meteorological stations.
As a key plantation for hybrid poplar breeding and large-scale timber production designated by the National Forestry Bureau of China, 26.7 ha of poplar stands were established in spring 2007. These stands began as dormant 2-year-old bare-rooted stem cutting, originating from stem cuttings from four P. tomentosa hybrid clones: P. tomentosa 1316, P. tomentosa B331, P. tomentosa BT17, and P. tomentosa S86 (♀ P. tomentosa × P. bolleana, ♂ P. alba × P. glandulosa). The stands contained seven density levels (2 × 2 m, 2 × 3 m, 3 × 3 m, 4 × 3 m, 4 × 4 m, 4 × 5 m, and 4 × 6 m). The average stem height and base diameter of cuttings were 5.8 m and 6.1 cm, respectively. The experimental soil had a sandy loam texture. Table 1 shows basic physical and chemical properties of the soil [46]. The data was from the average values of four layers (0–20 cm, 20–40 cm, 40–60 cm, and 60–100 cm), that we have dug 500 pits in the experimental site in 2007, and each pit has four layers. Table 2 shows the mean stand properties under three densities.
Table 1.
Soil physical and chemical properties at the experimental site.
Table 2.
Mean stand properties under three densities.
2.2. Experimental Design
The experimental design was a single factor completely randomized design. The factor was P. tomentosa S86 planting density, with three levels (line × row: 2 × 2 m [T1], 4 × 3 m [T2], and 4 × 5 m [T3]; respective areas: 132 m2 (20 plants), 288 m2 (14 plants), and 360 m2 (10 plants). Every level contained three replicates, resulting in nine plots. Each plot was longer on the north–south side and wider on the east–west side, ensuring a more even distribution of light per tree. Tree row direction is along the north–south axis. Two rows of trees were planted for protection at a density of 4 × 3 m.
2.3. Data Collection
Annual growth stages in P. tomentosa can be divided into six phases: germination, spring vegetative, spring capped, summer vegetative, overwintering preparation, and dormancy. Maximum root growth occurs during the summer vegetative phase [47]. After examining the distribution of roots, we found fine roots distributed more at a 10–30 cm level, and we then selected five standard trees from each plot in July 2016. A shovel was used to remove a 20 × 20 cm soil block (sampling at each tree spacing and distance direction) at approximately 80 cm distance from each selected tree, the block was separated into 10–30 cm segments, yielding 90 samples. These root-containing segments were carefully extracted and immediately placed on a white bag to remove soil and loose organic matter. Within several minutes to a few hours, samples were transported to the lab and frozen. Ninety soil samples (without roots) were collected using the quartet method and bagged.
2.4. Fine Root Analysis
Soil particles and fine roots were washed with gauze and dipped in cooled deionized water. Roots were categorized into different orders. The first group contained 1–3-order (0.28–0.38 mm) roots and higher orders (>3; 1.28–1.69 mm) were placed in a second group; the former group contained more subcategories because the first-order fine roots of P. tomentosa are very complex. Samples from both groups were scanned to obtain images for analysis of root diameter, length, surface area, and volume in WinRHIZO (Pro2005c) (Shijiazhuang, Heibei, China). Roots were then wrapped in filter paper, heated for 10–30 min at 85 °C, and dried at 65–70 °C to a constant weight.
The fine root were ground and then were sieved (2 mm) in preparation for nutrient analysis (total nitrogen, total phosphorus, and total potassium) using H2SO4–H2O2 digestion and then N (total nitrogen), P (total phosphorus), K (total potassium) concentrations were measured using a Kjeldahl nitrogen meter (Hangzhou, Zhejiang, China), a vanadium molybdenum yellow colorimetric method, and a flame photometric method, respectively [48]; C (organic carbon) concentrations were measured using a Carlo Erba NA 1500 NC elemental analyzer (Elantech, Lakewood, NJ, USA).
2.5. Soil Analysis
Soil samples were air-dried, ground, and then sieved (2 mm) for measuring available N (an alkali solution diffusion method), P (an NaHCO3 extraction method), and K (an NH4OAc extraction method). Soil organic matter was sieved (0.25 mm) and measured using a heat of dilution method [48]. Hydrolysis nitrogen is abbreviated by available N, available phosphorous is abbreviated by available P, available potassium is abbreviated by available K, and soil organic carbon is abbreviated by SOC.
2.6.Data Analyses
Fine-root morphological variables collected included specific root length (SRL, m/g), root length density (RLD, m/m3), and root C:N, calculated as follows: SRL = fine-root length/fine-root dry mass, RLD = fine-root length/volume of soil block, and C:N = fine-root C content/fine-root N content.
Means and standard deviations of variables per plot were calculated in Excel 2010. Three one-way ANOVAs (in SPSS 20.0, Shanghai, China) were used to determine (1) significant differences between the two fine-root groups in soil nutrient content, (2) significant differences across differing stand densities in total fine-root biomass, morphology, and nutrient content, and (3) significant index differences between the two fine-root groups. Duncan’s multiple comparison tests were employed to separate the means when the main effect of the ANOVA was significant.
3. Results
3.1. Differences in Soil Available Nutrients
Soil organic matter varied from 6.33 ± 0.23 g/kg to 9.90 ± 0.37 g/kg and available N varied from 23.9 ± 0.61 mg/g to 32.65 ± 0.52 mg/g; both exhibited the following density-related pattern: T2 > T3 > T1 (Figure 1a,b). Available P and K peaked at T3 (Figure 1c,d). The ANOVA results indicated that density exerted a significant effect on soil available nutrients, except available P.

Figure 1.
Soil effective nutrient content in three stand densities of Populus tomentosa S86. Data are the soil mean effective nutrient content ± standard deviation. Letters represent differences between densities (α = 0.05). T1 represents the density of 2 × 2 m, T2 represents the density of 4 × 3 m, T3 represents the density 4 × 5 m (line × row spacing). And (a–d) describe the contents of soil organic matter, alkali-hydrolyzed nitrogen, available phosphorus and available potassium under three planting densities, respectively.
3.2. Responses of Fine-Root Biomass
Fine-root biomass significantly differed across the three density levels and between the two root order groups (1–3-order and >3-order roots). Total and >3-order group biomass peaked at T2 (Figure 2), which was significantly higher than at other density levels, and soil available nutrients (organic matter and N) were higher at this density (Figure 1). Interestingly, the biomass of the 1–3-order group increased significantly with increasing density. Biomass of the >3-order group accounted for 77–87% of the total biomass (Figure 3). Thus, P. tomentosa fine roots exhibit differential growth at different stand densities.
Figure 2.
Fine root biomass in three stand densities of Populus tomentosa S86.
Figure 3.
Fine-root biomass ratio in three stand densities of Populus tomentosa S86. Data are the fine-root mean biomass ± standard deviation. Capital letters represent significant differences between the 1–3-order group and the >3-order group under the same density (α = 0.05); lower letters represent differences in the same group between different densities. T1 represents the density of 2 × 2 m, T2 represents the density of 4 × 3 m, T3 represents the density 4 × 5 m (line × row spacing); different groups were the 1–3-order group and >3-order group.
3.3. Differences in Fine-Root Morphology
Fine-root morphology differed across density levels, with numerous 1–3-order fine roots branching and proliferating at T1. No such complexity occurred at T2 and T3.
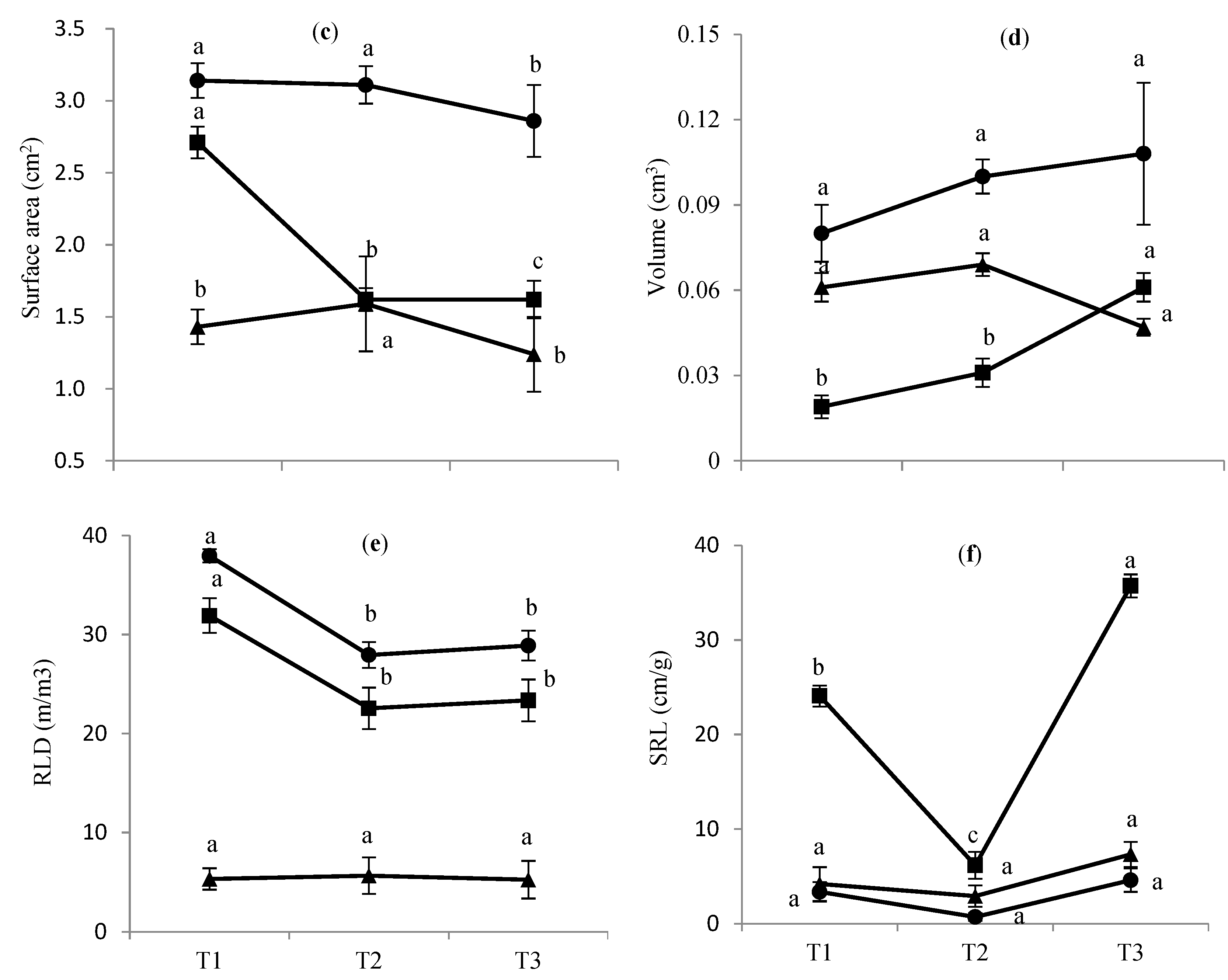
We observed that fine-root length, surface area, RLD, and SRL were significantly higher in the 1–3-order group than in the >3-order group (Figure 4). In contrast, fine-root diameter and volume were significantly higher in the >3-order group than in the 1–3-order group. Finer diameter, longer root length, and greater SRL all indicate stronger absorption capacity, suggesting that the 1–3-order roots can be logically grouped together.

Figure 4.
Fine-root morphology for two groups of roots and all roots combined in three stand densities of Populus tomentosa S86. Data are the fine-root morphology ± standard deviation. Letters represent differences between densities (α = 0.05). T1 represents the density of 2 × 2 m, T2 represents the density of 4 × 3 m, T3 represents the density 4 × 5 m (line × row spacing), different groups were the 1–3-order group and the >3-order group. The root length, surface, and volume per 0.008 m3. SRL represent specific root length, m/g; RLD represent root length density, m/m3. (a–f) describe the root length, diameter, surface, volume, RLD and SRL under three planting densities.
Total root length, surface area, and RLD of all fine roots, 1–3-order roots, and >3-order roots were highest at T1 density, while total diameter, volume, and SRL were highest under T3 (Figure 4). However, SRL was lowest under T2, possibly because of increased soil resources and biomass at that density.
Within the 1–3-order group, the greatest fine-root length, diameter, surface area, and RLD were observed at T1; in the >3-order group, the greatest fine-root length, surface area, and volume were observed at T2 (Figure 4). These results suggest that the >3-order group responded less strongly to density variation than the 1–3-order group.
3.4. Differences in Fine-Root Nutrient Content
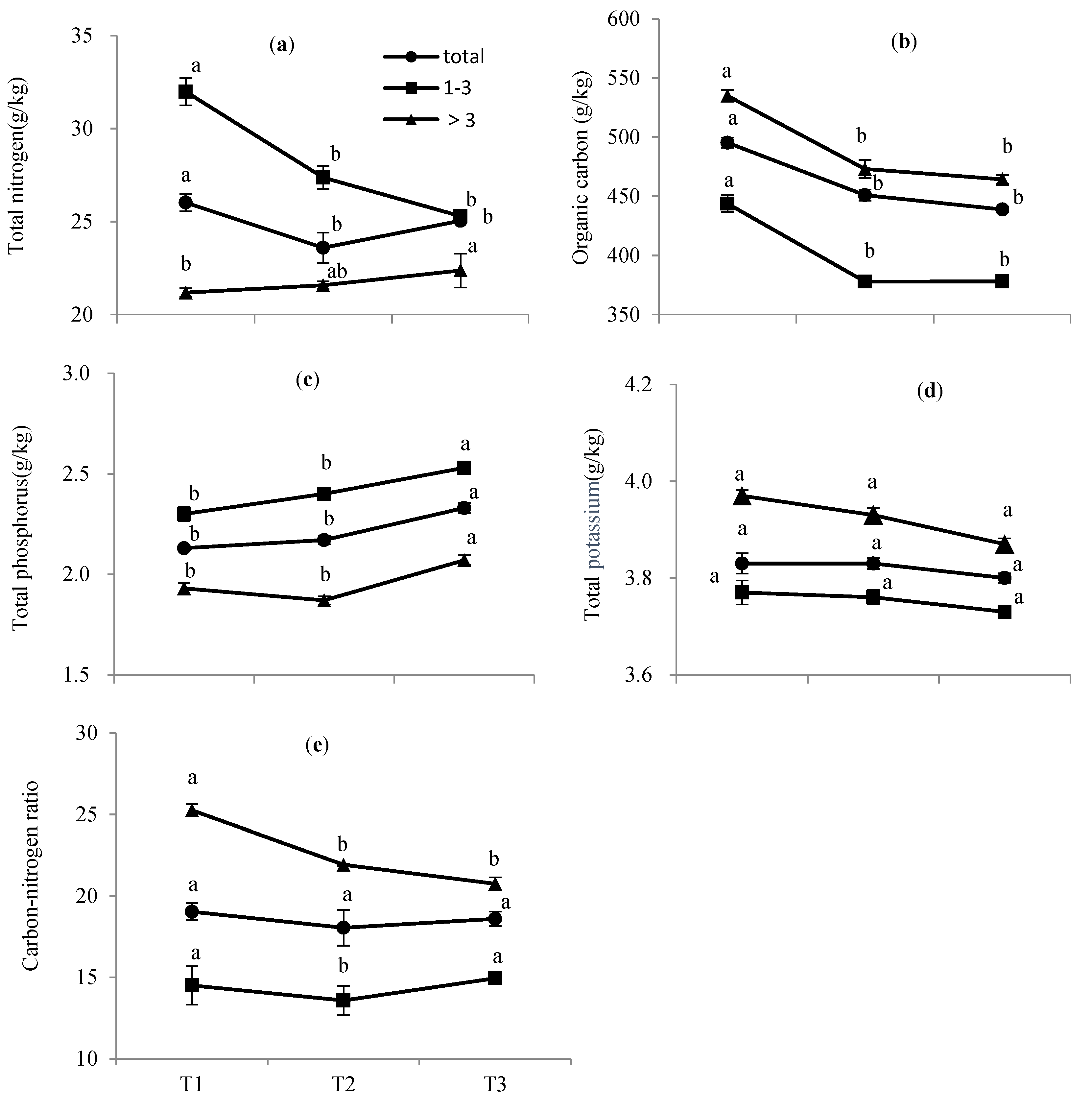
In the >3-order roots, organic C (464.27–534.93 g/kg) and total K (3.87–3.97 g/kg) were higher than in the 1–3-order roots. However, the latter group had significantly higher total N (25.29–31.98 g/kg) and total P (2.30–2.53 g/kg) than the former group. The C:N ratio was significantly higher in the >3-order roots than in the 1–3-order group, possibly due to the nitrogen of the 1–3-order group was higher (Figure 5).
Figure 5.
Total and group fine-root nutrients in three stand densities of Populus tomentosa S86. Data are the fine-root mean nutrient content ± standard deviation. Letters represent significant differences between densities (α = 0.05). T1 represents the density of 2 × 2 m, T2 represents the density of 4 × 3 m, T3 represents the density 4 × 5 m (line × row spacing). And (a–e) describe the contents of total nitrogen, organic carbon, total phosphorus, total potassium and carbon-nitrogen ratio under three planting densities, respectively; different groups were: 1–3-order roots and >3-order roots.
Generally, across all fine roots (total, 1–3 order, and >3 order), T1 density resulted in higher nutrient content (except K), but there was no difference between T2 and T3 (Figure 5). Mean organic C in all fine roots ranged from 438.83 to 495.33 g/kg, increasing as density increased. Average N content ranged from 23.59 to 26.02 g/kg; T1 fine roots had significantly higher N than roots under the other two density levels. Moreover, the total fine-root N of 1–3-order increased as density increased, but N in >3-order roots showed the opposite response. Although soil organic matter was relatively low under T1 (Figure 5), fine-root organic C was highest at this density. This pattern may be the result of fierce competition for limited resources, leading to more C being invested into fine roots.
Total P content in fine roots (total) varied from 2.13 to 2.33 g/kg. Total P from all fine roots was significantly higher under T3 than under the other two densities. Total fine-root K ranged from 3.80 to 3.83 g/kg, and density had no significant effect on this variable.
The C:N ratio in all fine roots ranged from 18.05 to 19.08 and exhibited the following density-related pattern: T1 (19.08) > T3(18.60) > T2(18.05) (Figure 5). However, density did not significantly affect total fine-root C:N. When fine roots were examined by group, we observed that the 1–3-order roots had significantly lower C:N under T2, whereas >3-order roots had significantly higher C:N under T1.
4. Discussion and Conclusions
4.1. Defining Fine Roots
Populus tomentosa has relatively more fibrous roots than other trees (such as Platycladus orientalis, Fraxinus mandshurica, Larix olszensis, Cunninghamia lanceolata) [35,49,50], necessitating a division into the 1–3-order and >3-order groups for analysis. Here, we demonstrated that the two groups are different from their morphology and nutrient content. Previous research indicated that first-, second-, and third-order fine roots do not differ in diameter or length, but SRL changed significantly between third- and fourth-order fine roots [51]. Additionally, an anatomical analysis of fine roots (≤2 mm) revealed that they can be split into at least two groups: non-lignified absorption roots (1–3 mm) and more lignified roots with no absorption capacity (>4 mm) [11,52]. At the same time, they suggested that the fine root should be split into two distinct classes or pools: absorptive fine roots and transport fine roots [2]. Together, these results suggest that existing methods of categorizing fine roots have ecological validity.
Fine root categories also differ strongly in their response to soil resource availability [8]. At a density of 2 × 2 m, the 1–3-order group would show more adaptation in their morphology (Figure 5) and nutrient content than the >3-order group (Figure 5). The mechanism of this plasticity may be an increase in the number of cortical cells for the 1–3-order group, which, when affected by the external environment, would show obvious changes [53,54,55]. Similarly, research on sugar maple roots has shown that roots <0.5 mm in diameter have more N [9] and a higher respiration rate (by 2.4–3.4 times) than thicker roots [9].
4.2. Morphological Characteristics of 1–3-Order and >3-Order Fine Roots
Variation in morphology was noted across the two fine-root groups; biomass, diameter, and volume were lower in the 1–3-order group, but root length, surface area, SRL, and RLD were higher than the >3-order fine roots. Likewise, previous research has demonstrated that, as root order increases, root length, diameter, and biomass also increase, while SRL decreases [56,57,58]. In contrast, a separate study demonstrated that fine-root biomass did not increase with root order [59]. While these studies differ in terms of the tree species examined and the exact response of root morphological characteristics [56], all of them indicate that the majority of fine-root biomass was in senior branch roots. Variations between studies may also be due to methodological difficulties in isolating fine roots from soil without damage, increasing the likelihood of estimation errors.
Our study also showed that low-order fine roots had significantly higher total N than higher-order roots. Similarly, first-order roots in Populus balsamifera had the highest N content, a characteristic closely related to respiration rate [9]. This outcome is possibly attributable to the large amount of secondary tissue in the fourth- and fifth-orders roots; these tissues generally have lower physiological activity and do not require high N investment [11]. However, the 1–3-order group contained significantly less organic matter than the >3-order group—in line with previous results [60]—a pattern that may be due to the shorter life span and rapid turnover of lower-order roots [61]. Finally, the >3-order roots had significantly higher C:N than the 1–3-order roots, probably as a result of the low N content. The value of the C:N ratio indicates that, when organic matter input is low (i.e., ~1 g), low-order roots require more maintenance from the tree.
4.3. Variation in Fine Root Traits under Differing Stand Density
In this study, three different soil environments were constructed by varying stand density, and this variation significantly affected soil available nutrients (Figure 1). The effects of stand density on fine-root biomass have been extensively studied, but the results are inconsistent. Various studies have found increasing, decreasing, or nonlinear trends in fine-root biomass as stand density increases [35,62,63,64]; this inconsistency may be a factor of density-related changes to soil nutrient content. Notably, biomass in the 1–3-order group decreased with decreasing density, possibly because soil resources are relatively abundant at lower densities (4 × 3 m), so more absorptive roots were not necessary for nutrient uptake. Furthermore, the 1–3-order group had greater surface area and volume at high densities (2 × 2 m, where soil resources were lower), suggesting that fine roots stretch as far as possible to increase contact with soil under low nutrient conditions, thereby elevating resource absorption [61].
However, an experiment using Drew nutrient solution sand cultures showed that, under high ammonium, nitrate, and phosphorus concentrations, total root length increased significantly, as did first- and second-order root growth [32]. These opposing findings may be attributable to the fact that a nutrient concentration gradient was not directly measured in this study; instead, we primarily examined the effects of density, which influences nutrient content and affects competition between fine roots, an aspect that the previous study did not consider.
Specific root length is the ratio of fine-root length and biomass; thus, it is closely related to physiological activity. Specifically, absorption capacity in fine roots is higher with greater SRL [65], an adaptive response that allows the tree to invest less in biomass, but absorb more nutrients. In this study, SRL was higher under densities of 2 × 2 m and 4 × 5 m, possibly because of poorer soil resources that require fine-root extension to increase nutrient absorption at relatively low cost.
We also found that when SOC, available N, available P, and available K were high (i.e., in the soil of the 4 × 3 m stand), only total P content of the fine roots increased. Other studies on wheat and grass also showed that fine-root N content did not increase, even under N-rich conditions [66]. An experimental study similarly demonstrated that increasing N in soil did not increase N content in fine roots [9]. These results may be due to the fact that fine-root nutrient content has a threshold value that is not representative of soil nutrient content. Instead, aboveground parts may contain the remaining nutrients.
Forest mycorrhiza can affect the distribution of carbon and the rate of nutrient absorption [67,68]. Although it has been reported that Populus tomentosa and ectomycorrhizal (sclerodermataceae) form the mycorrhizae, which significantly increase the root biomass of poplar [69], but also improve the host tree’s general conditions and stress tolerance [70]. However, the current study was carried out in an artificial forest and there was no mycorrhizal formation.
Despite the strengths of this study, there are some notable limitations. First, variations in soil moisture and temperature may influence fine-root distribution, but examining these factors was beyond the current scope [19,71,72,73]. Second, forest mycorrhiza can affect C distribution and nutrient absorption rates; indeed, a previous study found that mycorrhizae significantly increased P. tomentosa root biomass. As this work was performed in artificial forests, however, mycorrhizal effects were not examined. Thus, further research accounting for soil moisture, temperature, and mycorrhizal presence is recommended to validate fine-root characteristics in response to soil resource variation under differing stand densities.
Plants exhibit high phenotypic plasticity in response to environmental factors. Although the aboveground parts can exhibit differences in size, growth rate, and dry matter distribution even within the same plant [12], variation in tree density can affect growth and biomass partitioning [74,75]. Hyatt et al. found that increased density resulted in higher ratios of stem to leaf biomass in Abution [76]. While Al Afast et al. did not observe significant correlations between fine-root traits and above-ground biomass in Populus [77]. This study showed that soil nutrient content is lowest at high stand density (2 × 2 m), causing fine roots to change drastically in terms of biomass, morphology, and nutrient content. The fine-root biomass of 4 × 3 m increased by over 30% at 2 × 2 m, and the fine-root biomass of 4 × 5 m was 35%, 146.28% less than at 4 × 3 m and 2 × 2 m. The stand volume of 4 × 3 m (86.80 m3/hm2) decreased by over 28% at 2 × 2 m (120.60 m3/hm2), and the fine-root biomass of 4 × 5 m (64.75 m3/hm2) was 25%, 46% less than at 4 × 3 m and 2 × 2 m. In the future, we will carry out the effect of density on aboveground biomass, so as to compare with the underground fine roots. This study suggests that the management of dense forests should include fertilization or thinning to improve soil nutrient content and therefore forest productivity.
Author Contributions
Additional support was provided by the Huayang Forest Tree Nursery. L.N., L.S., and H.B. conceived and designed the experiments; H.B., L.S., and Y.Y. performed the experiments; H.B., C.W., and Y.Y. collected samples and analyzed the data; H.B. wrote the paper.
Funding
This research received no external funding.
Acknowledgments
This work was supported by the Key Technologies R&D Program of China (2015BAD09B02).
Conflicts of Interest
The authors declare no conflict of interest.
References
- Nan, D.; Xi, B.Y.; Jeremiah, R.P. Root biomass distribution of triploid Populus tomentosa under wide-and narrow-roe spacing planting scheme and its responses soil nutrients. Chin. J. Plant Ecol. 2013, 10, 961–971. [Google Scholar]
- McCormack, M.L.; Dickie, I.; Eissenstat, D.M.; Fahey, T.; Fernandez, C.; Guo, D.; Helmisaari, H.-S.; Hobbie, E.; Iversen, C.; Jackson, R.; et al. Redefining fine roots improves understanding of belowground contributions to terrestrial biosphere processes. New Phytol. 2015, 207, 505–518. [Google Scholar] [CrossRef] [PubMed]
- Bilbrough, C.J.; Caldwell, M.M. The effects of shading and N status on root proliferation in nutrient patches by the perennial grass Agropyron desertorum in the field. Oecologia 1995, 103, 10–16. [Google Scholar] [CrossRef] [PubMed]
- Eissenatat, D.M.; Caldwell, M.M. Seasonal timing of root growth in favorable microsites. Ecology 1988, 69, 870–873. [Google Scholar] [CrossRef]
- Majdi, H.; Pregitzer, K.; Moren, A.S. Measuring fine root turnover in forest ecosystems. Plant Soil 2005, 276, 1–8. [Google Scholar] [CrossRef]
- Jagodziński, A.M.; Kałucka, I. Fine root biomass and morphology in an age-sequence of post-agricultural Pinus sylvestris L. stands. Dendrobiology 2011, 66, 71–84. [Google Scholar]
- Vogt, K.A.; Vogt, D.J.; Palmetto, P.A. Review of root dynamics in forest ecosystem grouped by climate, climatic forest type and species. Plant Soil 1996, 187, 159–219. [Google Scholar] [CrossRef]
- Pregizter, K.S.; De Forest, J.L.; Burton, A.J. Fine root architecture of nine North American trees. Ecol. Monogr. 2002, 72, 293–309. [Google Scholar]
- Pregitzer, K.S.; Laskowski, M.J.; Burton, A.J. Variation in sugar maple root respiration with root diameter and soil depth. Tree Physiol. 1998, 18, 665–670. [Google Scholar] [CrossRef] [PubMed]
- Guo, D.L.; Xia, M.X.; Wei, X. Anatomical traits associated with absorption and mycorrhizal colonization are linked to root branch order in twenty-three Chinese temperate tree species. New Phytol. 2008, 18, 673–683. [Google Scholar] [CrossRef] [PubMed]
- Hishi, T. Heterogeneity of individual roots within the fine root architecture: Causal links between physiological and ecosystem functions. J. For. Res. 2007, 12, 126–133. [Google Scholar] [CrossRef]
- Zadworny, M.; Eissenstat, D. Contrasting the morphology, anatomy and fungal colonization of new pioneer and fibrous roots. New Phytol. 2011, 190, 213–221. [Google Scholar] [CrossRef] [PubMed]
- Zadworny, M.; McCormack, M.L.; Rawlik, K.; Jagodziński, A.M. Seasonal variation in chemistry, but not morphology, in roots of Quercus robur growing in different soil types. Tree Physiol. 2015, 35, 644–652. [Google Scholar] [CrossRef] [PubMed]
- Wei, X.; Lin, Y.; Chen, H.B. Anatomical and functional heterogeneity among different root orders of phellodendron amurense. J. Plant Ecol. 2008, 6, 1238–1247. [Google Scholar]
- Espeleta, J.F.; West, J.B.; Donovan, L.A. Tree species fine-root demography parallels habitat specialization across a sand hill soil resource gradient. Ecology 2009, 90, 1773–1787. [Google Scholar] [CrossRef] [PubMed]
- King, J.; Pregitzer, K.; Zak, D.; Holmes, W. Fine root chemistry and decomposition in model communities of nort—Temperate tree species show little response to elevated atmospheric CO2 and varying soil resource availability. Oecologia 2005, 146, 318–328. [Google Scholar] [CrossRef] [PubMed]
- Finer, L.; Helmisaari, H.S.; Lohmus, K. Variation in fine root biomass of three European tree species: Beech (Fagus sylvatica L.), Norway spruce (Picea abies L. Karst.), and Scots pine (Pinus sylvestris L.). Plant Biosyst. 2017, 141, 394–405. [Google Scholar] [CrossRef]
- Hodge, A. The plastic plant: Root responses to heterogeneous supplies of nutrients. New Phytol. 2004, 162, 9–24. [Google Scholar] [CrossRef]
- Schenk, H.J. Vertical vegetation structure below ground: Scaling from root to globe. Prog. Bot. 2005, 66, 341–373. [Google Scholar] [CrossRef]
- Yuan, Z.Y.; Chen, H.Y. Fine root biomass, production, turnover rates, and nutrient contents in Boreal Forest ecosystems in relation to species, climate, fertility, and stand age: Literature review and meta-analyses. Crit. Rev. Plant Sci. 2010, 29, 204–221. [Google Scholar] [CrossRef]
- Bardgett, R.D.; Mommer, L.; Vries, F.T. Going underground: Root traits as drivers of ecosystem process. Trends Ecol. Evol. 2014, 29, 229–238. [Google Scholar] [CrossRef] [PubMed]
- Monique, W.; Frank, J.; Eric, J.W. Fine-root trait plasticity of beech (Fagus sylvatica) and spruce (Picea abies) forests on two contrasting soils. Plant Soil 2017, 415, 175–188. [Google Scholar]
- Hertel, D.; Strecker, T.; Muelle-Haubold, H.; Leuschner, C. Fine root biomass and dynamics in beech forests across a precipitation gradient-is optimal resource partitioning theory applicable to water—Limited mature trees? J. Ecol. 2013, 29, 204–221. [Google Scholar] [CrossRef]
- Brunner, I.; Herzog, C.; Dawes, M.A. How tree roots respond to drought. Front Plant Sci. 2015, 6, 547. [Google Scholar] [CrossRef] [PubMed]
- Leuschner, C.; Hertel, D. Fine root biomass of temperate forests in relation to soil acidity and fertility, climate, age and species. Prog. Bot. 2003, 64, 405–438. [Google Scholar]
- Cui, M.; Caldwell, M.M. Nitrate and phosphate uptake by Agropyron desertorum and Artemisia tridentate from soil patches with balanced and unbalanced nitrate and phosphate supply. New Phytol. 1998, 139, 267–272. [Google Scholar] [CrossRef]
- Jackson, R.B.; Manwaring, J.H.; Caldwell, M.M. Rapid physiological adjustment of roots to localized soil enrichment. Nature 1990, 344, 58–60. [Google Scholar] [CrossRef] [PubMed]
- Jackson, R.B.; Caldwell, M.M. Kinetic responses of Pseudoroegneria roots to localized soil enrichment. Plant Soil 1991, 138, 231–238. [Google Scholar] [CrossRef]
- Ryel, R.J.; Caldwell, M.M.; Manwaring, J.H. Temporal dynamics of soil spatial heterogenity in sage-brush-wheatgrass steppe during a growing season. Plant Soil 1996, 184, 299–309. [Google Scholar] [CrossRef]
- Ryel, R.J.; Caldwell, M.M. Nutrient acquisition from soils with patchy nutrient distributions as assessed with simulation models. Ecology 1998, 79, 2735–2744. [Google Scholar] [CrossRef]
- Ostonen, I.; Puttsepp, U.; Biel, C. Specific root length as an indicator of environmental change. Plant Biosyst. 2007, 141, 426–442. [Google Scholar] [CrossRef]
- Drew, M.C. Comparison of the effects of a localized supply of phosphate, nitrate, ammonium and potassium on the growth of the seminal root system, and the shoot, in barely. New Phytol. 1975, 75, 479–490. [Google Scholar] [CrossRef]
- Eissenstat, D.M. Costs and benefits of constructing roots of small diameter. J. Plant Nutr. 2008, 15, 763–782. [Google Scholar] [CrossRef]
- Eissenstat, D.M.; Kucharski, J.M.; Zadworny, M.; Adams, T.S.; Koide, R.T. Linking root traits to nutrient foraging in arbuscular mycorrhizal trees in a temperate forest. New Phytol. 2015, 208, 114–124. [Google Scholar] [CrossRef] [PubMed]
- Xu, C.Y.; Zhang, H.; Jia, Z.K. Effects of stand density and site types on root characteristics of Platycladus orientalis plantations in Beijing moutains area. J. Beijing For. Univ. 2007, 29, 95–99. [Google Scholar]
- Wang, Z.H.; Li, R.X.; Hao, J.P. Effects of thinning on fine-root morphology in Chinese fir plantations. J. Northeast For. Univ. 2011, 6, 13–19. [Google Scholar]
- Shao, Y.N.; Liu, Y.K.; Li, Y.H. Soil nutrient characteristics in Larix olgensis plantation with different stand densities. J. Cent. South Univ. For. Technol. 2017, 37, 27–31. [Google Scholar]
- Tian, X.H.; Sun, R.X.; Li, J.; Zhao, C.H.; Yang, M.S. Effect of stand density on growth of Populus × euramericana ‘Neva’ plantations. Sci. Silvae Sin. 2011, 3, 184–188. [Google Scholar]
- Zhao, X.M.; Wang, H.Y.; Sun, X.Y. Effects of different clones and growth density of triploid Populus tomentosa on nutrient concentrations in leaf. Hebei J. For. Orchard Res. 2007, 2, 117–121. [Google Scholar]
- Yang, Y.; Liu, B.R.; Song, N.P. Effects of Artificial Caragana shrub density on spatial distribution of soil nutrients in desert steppe. Acta Prataculturae Sin. 2014, 5, 107–115. [Google Scholar]
- FAO. Improving Lives with Poplars and Willows; FAO: Rome, Italy, 2002. [Google Scholar]
- Isebrands, J.G.; Aronsson, P.; Ceulemans, M.C.; Coleman, M.; Dimitriou, N.D.; Doty, S.; Gardiner, E.; Heinsoo, K.; Johnson, J.D.; Koo, Y.B.; et al. Environmental applications of poplars and willows. In Poplars and Willows: Trees for Society and the Environment; Isebrands, J.G., Richardson, J., Eds.; CABI and FAO: Rome, Italy, 2014; pp. 258–336. [Google Scholar]
- Perry, C.H.; Miller, R.C.; Brooks, K.N. Impacts of short-rotation hybrid poplar plantations on regional water yield. For. Ecol. Manag. 2011, 143, 143–151. [Google Scholar] [CrossRef]
- Updegraff, K.; Baughman, M.J.; Taff, S.J. Environmental benefits of cropland conversion to hybrid poplar: Economic and policy considerations. Biomass Bioenerg. 2004, 27, 411–428. [Google Scholar] [CrossRef]
- Wang, W.Q.; Jia, Y.B.; Xu, L.M. Study on the root distribution of Populus tomentosa. J. Agric. Univ. Hebei 1997, 1, 24–29. [Google Scholar]
- Ren, Z.X. The Study of Water-Nitrogen Coupling Effect on Different Populous Tomentosa Clones Plantations. Master’s Thesis, Beijing Forestry University, Beijing, China, 2002. [Google Scholar]
- Zhu, Z.T.; Zhang, Z.Y. Study on the Method of Rapid Propagation of Superior Trees of Populus tomentosa. J. Beijing For. Univ. 1986, 4, 1–17. [Google Scholar]
- Bao, S.D. Soil Agro-Chemistrical Analysis; China Agriculture Press: Beijing, China, 2007. [Google Scholar]
- Wang, Q.C. Fine Roots Responses of Manchunrian Ash and Korean Larch to Soil Nutrients Heterogeneity. Ph.D. Thesis, College of Forestry, Northeast Forestry University, Harbin, China, 2004. [Google Scholar]
- Wang, Z.H.; Li, R.X.; Hao, J.P.; Guan, Q.W. Effects of thinning on fine-root morphology in Cunninghamia Lanceolata plantations. J. Northeast For. Univ. 2011, 39, 13–15. [Google Scholar]
- Zhou, L.M. Root Identification and Varitation in Architecture of Fine Roots of Subtropical Tree Species in Southern China. Master’s Thesis, Central South University of Forestry & Technology, Changsha, China, 2015. [Google Scholar]
- Xu, Y.; Gu, J.C.; Dong, X.Y. Fine root morphology, anatomy and tissue nitrogen and carbon contents of the first five orders in four tropical hardwood species in Hainan Island, China. Chin. J. Plant Ecol. 2011, 9, 955–964. [Google Scholar] [CrossRef]
- Brundrett, M.C. Coevolution of roots and mycorrhizas of land plants. New Phytol. 2002, 154, 275–304. [Google Scholar] [CrossRef]
- Soukup, A.; Mala, J.; Hrubcova, M. Differences in anatomical structure and lignin content of roots of pedunculate oak and wild cherry-tree plantlets during acclimation. Biol. Plant. 2004, 48, 481–489. [Google Scholar] [CrossRef]
- Wells, C.E.; Eissenstat, D.M. Beyond the roots of young seedlings: The influence of age and order on fine root physiology. J. Plant Growth Regul. 2003, 21, 324–334. [Google Scholar] [CrossRef]
- Xiong, D.C.; Huang, J.X.; Yang, Z.J. Fine root architecture and morphology among different branch orders of six subtropical tree species. Acta Ecol. Sin. 2012, 6, 1888–1897. [Google Scholar] [CrossRef]
- Xiong, D.C.; Huang, J.X.; Yang, Z.J. Fine root morphology and respiration among different branch orders in two plantations of young and old Cunninghamia lanceolata. J. Subtrop. Resour. Environ. 2014, 2, 45–51. [Google Scholar]
- Shi, W.; Wang, Z.Q.; Liu, J.L. Fine root morphology of twenty hardwood species in maoershan natural secondary forest in northeastern China. J. Plant Ecol. 2008, 6, 1217–1226. [Google Scholar]
- Li, R.X.; Ling, N.; Guan, Q.W. Effects of stand ages on carbon storage, fine-root morphology and biomass in Platycladus orientalis plantation. J. Nanjing For. Univ. 2013, 2, 21–27. [Google Scholar]
- Xu, T.; Wang, H.T.; Wang, Y.P. Morphological and anatomical traits of poplar fine roots in successive rotation plantations. Sci. Silvae Sin. 2015, 1, 119–126. [Google Scholar]
- Mei, L. Fine Root Distribution and Seasonal Patterns of Manchurian Ash Plantation in Relation to Soil Nutrients Avaialability. Master’s Thesis, Northeast Forestry University, Heilongjiang, China, 2004. [Google Scholar]
- Kerr, G. Effects of spacing on the early growth of planted Fraxinus excelsior L. Can. J. For. Res. 2003, 33, 1196–1207. [Google Scholar] [CrossRef]
- Xie, L.Z.; Li, J.N.; Wang, S.Z. Influence of stem density in Fraxinus chinensis plantation. J. Northeast For. Univ. 2014, 9, 1–5. [Google Scholar]
- Tian, Y.M.; Wang, Q.C. Influence of planting density on biomass accumulation and root growth of Manchurian ash (Fraxinus mandshurica) in 10-year-old plantation stands. Sci. Silvae Sin. 2011, 7, 102–107. [Google Scholar]
- Nan, H.W.; Liu, Q.; Xiao, Q.Y. Root foraging ability of spruce (Oicea asperata) in two growth stages. Chin. J. Appl. Environ. Biol. 2015, 21, 547–554. [Google Scholar]
- Drew, M.C.; Saker, L.R. Nutrient supply and growth of the seminal root system in barely. l. The effect of nitrate concentration on the growth of axes and laterals. J. Exp. Bot. 1973, 24, 1189–1202. [Google Scholar] [CrossRef]
- Allen, M.F. Mycorrhizal Functioning: An Integrative Plant-Fungal Process; Chapman and Hall: New York, NY, USA, 1992. [Google Scholar]
- Smith, S.E.; Read, D.J. Mycorrhizal Symbiosis, 2nd ed.; Academic Press: San Diego, CA, USA, 1997. [Google Scholar]
- Sun, J.J.; Sun, Y.Z. Interactions between tree roots and soil microorganisms in Rhizosphere. World For. Res. 2015, 2, 14–18. [Google Scholar]
- Szuba, A. Ectomycorrhiza of Populus. For. Ecol. Manag. 2015, 347, 156–169. [Google Scholar] [CrossRef]
- Achat, D.; Bakker, M.; Trichet, P. Rooting patterns and fine root biomass of Pinus pinaster assessed by trench wall and core methods. J. For. Res. 2008, 13, 165–175. [Google Scholar] [CrossRef]
- Ceccon, C.; Panzacchi, P.; Scandellari, F.; Prandi, L.; Ventura, M.; Russo, B.; Millard, P.; Tagliavini, M. Spatial and temporal effects of soil temperature and moisture and the relation to fine root density on root and soil respiration in a mature apple orchard. Plant Soil 2011, 342, 195–206. [Google Scholar] [CrossRef]
- Yan, X.L.; Dai, T.F.; Jia, L.M. Responses of fine-root morphology and vertical distribution of Populus × euramericana ‘Guariento’ to the coupled effect of water and nitrogen. Chin. J. Plant Ecol. 2015, 08, 825–837. [Google Scholar]
- Donnelly, L.; Jagodziński, A.M.; Grant, O.M.; O’Reilly, C. Above- and below-ground biomass partitioning and fine-root morphology in juvenile Sitka spruce clones in monoclonal and polyclonal mixtures. For. Ecol. Manag. 2016, 373, 17–25. [Google Scholar] [CrossRef]
- Jagodziński, A.M.; Oleksyn, J. Ecological consequences of silviculture at variable stand densities. II. Biomass production and allocation, nutrient retention. Sylwan 2009, 153, 147–157. [Google Scholar]
- Hyatt, L.A.; Cahill, J.F.; Casper, B.B. Above-ground competition does not alter biomass allocated to roots in Abutilon theophrasti. New Phytol. 1998, 140, 231–238. [Google Scholar]
- Al Afas, N.; Marron, N.; Zavalloni, C.; Ceulemans, R. Growth and production of a short-rotation coppice culture of poplar: Fine root characteristics of five poplar clones. Biol. Bioenerg. 2008, 32, 494–502. [Google Scholar] [CrossRef]
© 2018 by the authors. Licensee MDPI, Basel, Switzerland. This article is an open access article distributed under the terms and conditions of the Creative Commons Attribution (CC BY) license (http://creativecommons.org/licenses/by/4.0/).






