Investigations on the Effects of Seasonal Temperature Changes on the Electrical Resistance of Living Trees
Abstract
1. Introduction
2. Materials and Methods
2.1. Selection of Sample Wood
2.2. Test Equipment
2.3. Test Methods
3. Data Processing Methods
3.1. Calculation of Resistance Values
3.2. Correction of the Moisture Content
4. Results
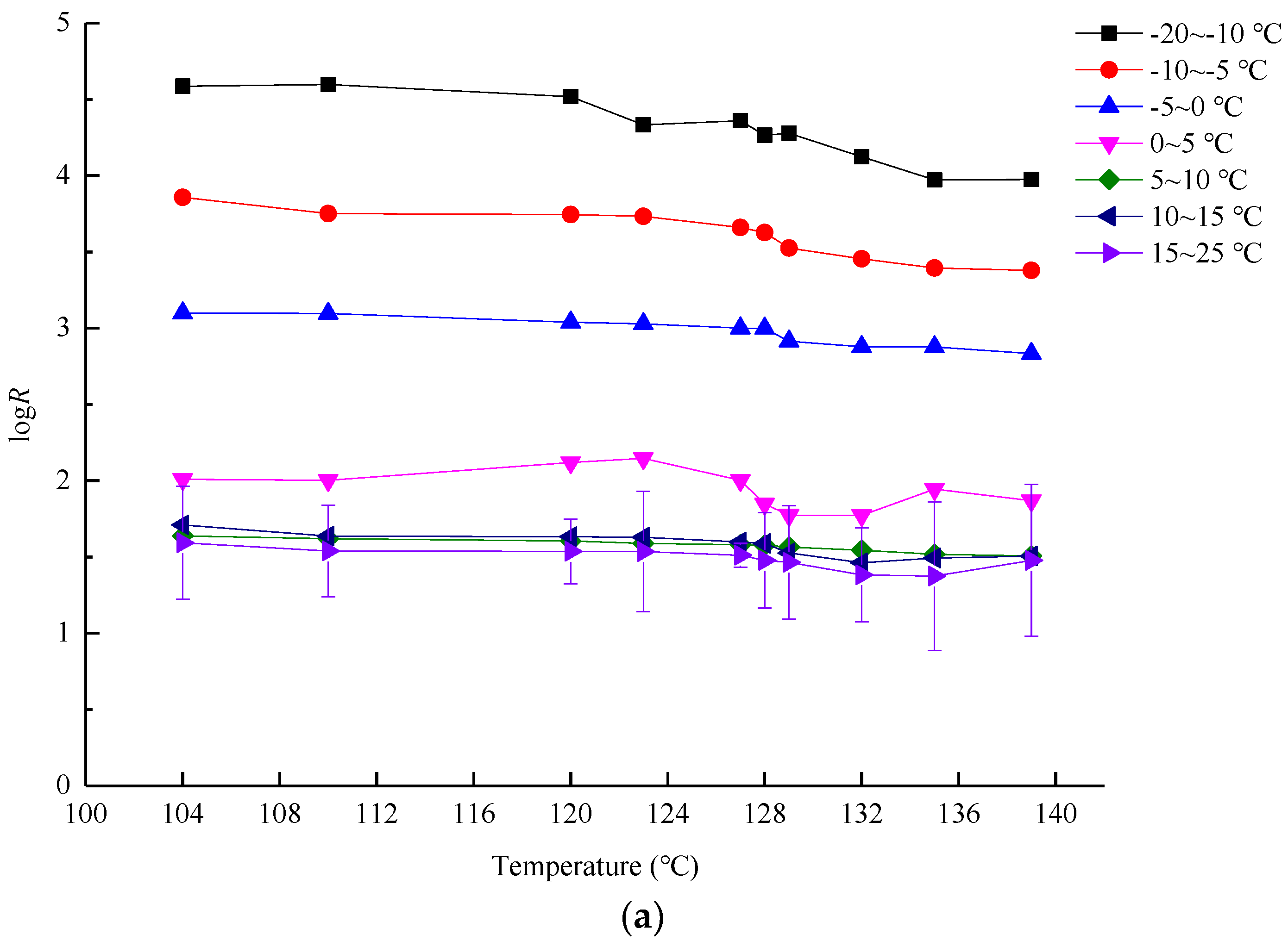
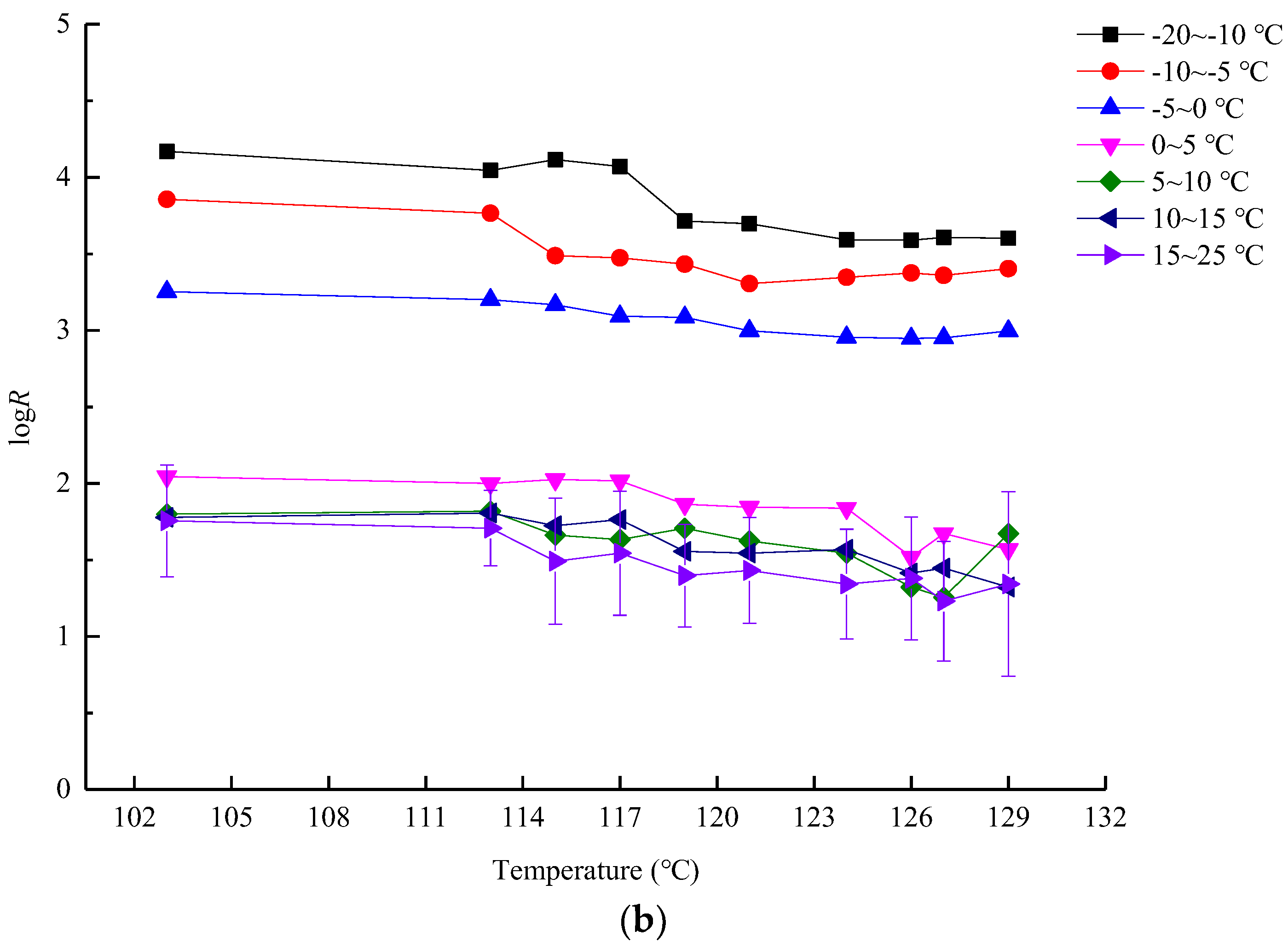
4.1. The Variation of Electrical Resistance in the Cross-Section of Living Trees with Seasonal Temperature under Different Moisture Contents
4.2. The Variation of Electrical Resistance in the Cross-Section of Living Trees with Moisture Content under Different Seasonal Temperatures
4.3. The Combined Effects of Seasonal Temperature and Moisture Content on the Electrical Resistance in the Cross-Section of Living Trees
5. Conclusions
- (1)
- No matter whether it was solid or decayed, ambient temperature had a significant effect on electrical resistance in the cross-section of living trees when the temperature was below the freezing point of water. The electrical resistance in the cross-sections of measured in winter was more than 15 times higher than when it was obtained above 0 °C. The increase of electrical resistance measured in winter was attributed to the phase change of free water in wood cells and the increased number of ice crystals in the wood.
- (2)
- When the temperature was below the freezing point, logR decreased with increasing temperature. Near the freezing point, logR changed rapidly with increasing temperature. Above the freezing point, logR changed slowly with the variations in the temperature and then became stable. At different temperatures, logR in the cross-sections of two trees species changed slowly with a change in the moisture content (moisture content was above the fiber saturation point). This value tended to be smooth with a further change in the moisture content.
- (3)
- The changes in the trends of logR in the cross-sections of solid and decayed trees were similar with the changes in temperature. At the same temperature, logR in the cross-sections of sound trees of the same tree species was slightly higher compared to the decayed ones. Although not too much difference between the sound and decayed trees was seen in this study, it is possible to detect decay in tree stems with the technique applied, confirming the results of previous studies. In this study, we used the average value of the electrical resistance obtained in the cross-section of the standing trees, which was likely the reason why the difference between sound and decayed trees was not obvious. However, to improve confidence in the application of ERT to trees, a more detailed investigation that separates sound and decayed sections of each tree should be performed in further studies.
- (4)
- Seasonal changes in the temperature and moisture content had interactive effects on logR, and the established linear regression model between the moisture content, temperature, and logR both had a high degree of fitting and a good determination coefficient with R2 above 0.8. For practical work, it is important to estimate the effect of changing moisture content or temperature, and predictions could be made using the linear regression model.
Author Contributions
Funding
Acknowledgments
Conflicts of Interest
References
- Sanchez-Montero, R.; Lopez-Espi, P.L.; Martinez-Rojas, J.A.; Alpuente-Hermosillaand, J.; Alen-Cordero, C. Numerical Study of Focusing Effects of Microwaves inside Wood Due to Timber Ring Structure. Forests 2018, 9, 106. [Google Scholar] [CrossRef]
- Proto, A.R.; Macrì, G.; Bernardini, V.; Russo, D. Acoustic evaluation of wood quality with a non-destructive method in standing trees: A first survey in Italy. iForest-Biogeosci. For. 2017, 10, 700–706. [Google Scholar] [CrossRef]
- Huan, Z.; Jiao, Z.; Li, G.; Wu, X. Velocity Error Correction Based Tomographic Imaging for Stress Wave Nondestructive Evaluation of Wood. BioResources 2018, 13, 2530–2545. [Google Scholar] [CrossRef]
- Tattar, T.A.; Shigo, A.L.; Chase, T. Relationship between the degree of resistance to a pulsed electric current and wood in progressive stages of discoloration and decay in living trees. Can. J. For. Res. 1972, 2, 236–243. [Google Scholar] [CrossRef]
- Skutt, H.R.; Shigo, A.L.; Lessard, R.A. Detection of discolored and decayed wood in living trees using a pulsed electric current. Can. J. For. Res. 1972, 2, 54–56. [Google Scholar] [CrossRef]
- Shigo, A.L.; Shigo, A. Detection of Discoloration and Decay in Living Trees and Utility Poles; Forest Service of the US Department of Agriculture: Upper Darby, PA, USA, 1974; Volume 29, pp. 3–10.
- Shigo, A.L.; Shortle, W.C.; Ochrymowych, J. Detection of active decay at ground line in utility poles. Forest 1977, 2, 77. [Google Scholar]
- Bengtsson, B. Anordning och Användning vid Detektering Avröta-Angrepp i Biologiskt Material, Företrädesvis Träd. Swedish Patent No. 9703540-6, 20 September 1997. [Google Scholar]
- Larsson, B.; Bengtsson, B.; Gustafsson, M. Nondestructive detection of decay in living trees. Tree Physiol. 2004, 24, 853–858. [Google Scholar] [CrossRef] [PubMed]
- Weihs, U.; Dubbel, V.; Krummheuer, F.; Just, A. The electrical resistivity tomography—A promising technique for the detection of colored heart wood on standing beech trees. Forst und Holz 1999, 54, 166–170. [Google Scholar]
- Nicolotti, G.; Socco, L.; Martinis, R.; Sambuelli, L. Application and comparison of three tomographic techniques for detection of decay in trees. J. Arboric. 2003, 29, 66–78. [Google Scholar]
- Al Hagrey, S.A. Electrical resistivity imaging of tree trunks. Near Surf. Geophys. 2006, 4, 179–187. [Google Scholar] [CrossRef]
- Bieker, D.; Rust, S. Electric resistivity tomography shows radial variation of electrolytes in Quercus robur. Can. J. For. Res. 2010, 40, 1189–1193. [Google Scholar] [CrossRef]
- Guyot, A.; Ostergaard, K.T.; Lenkopane, M.; Fan, J.; Lockington, D.A. Using electrical resistivity tomography to differentiate sapwood from heartwood: Application to conifers. Tree Physiol. 2013, 33, 187–194. [Google Scholar] [CrossRef] [PubMed]
- Lin, C.J.; Chung, C.H.; Yang, T.H.; Lin, F.-C. Detection of Electric Resistivity Tomography and Evaluation of the Sapwood-Heartwood Demarcation in Three Asia Gymnosperm Species. Silva Fennica 2012, 46, 415–424. [Google Scholar] [CrossRef]
- Elliott, M.L.; Broschat, T.K.; Göcke, L. Preliminary Evaluation of Electrical Resistance Tomography for Imaging Palm Trunks. Arboric. Urban For. 2016, 42, 111–119. [Google Scholar]
- Lin, C.J.; Yang, T.H. Detection of acoustic velocity and electrical resistance tomographies for evaluation of peripheral-inner wood demarcation in urban royal palms. Urban For. Urban Green. 2015, 14, 583–589. [Google Scholar] [CrossRef]
- Yue, X.Q.; Wang, L.H.; Wang, X.L.; Rong, B.; Ge, X.; Liu, Z.; Chen, Q. Quantitative Detection of Internal Decay Degree for Standing Trees Based on Three NDT Methods-Electrical Resistance Tomography, Stress Wave Imaging and Resistograph Techniques. Sci. Silv. Sin. 2017, 53, 138–146. (In Chinese) [Google Scholar]
- Kollmann, F.P. “Physics of Wood.” Principles of Wood Science and Technology; Springer: Berlin/Heidelberg, Germany, 1968; pp. 160–291. [Google Scholar]
- Li, J. Wood Science. In The Scientific Preservation of Wood; Higher Education Press: Beijing, China, 2014; pp. 201–230. (In Chinese) [Google Scholar]
- Hiruma, J. Experiment of Electrical Resistance in Wood; Extracts from the Bulletin of the Forest Experiment Station, Meguro, Tokyo; Bureau of Forestry, Department of Agriculture and Commerce: Tokyo, Japan, 1915; Volume 2, pp. 59–65. [Google Scholar]
- Hasselblatt, M. Der Wasserdampfdruck und die elektrische Leitfähigkeit des Holzes in Abhängigkeit von seinem Wassergehalt. Zeitschrift für Anorganische und Allgemeine Chemie 1926, 154, 375–385. [Google Scholar] [CrossRef]
- Stamm A, J. An electrical conductivity method for determining the moisture content of wood. Ind. Eng. Chem. Anal. Ed. 1930, 2, 240–244. [Google Scholar] [CrossRef]
- Dunlap, M.E. Methods Used for the Measurement of the Moisture Content of Wood; Proceedings of American Society for Testing Materials, Committee Reports; Research Division: Beecroft, Australia, 1945; Volume 45, pp. 269–274. [Google Scholar]
- James, W.L. Electric Moisture Meters for Wood; Department of Agriculture, Forest Service, Forest Products Laboratory: Madison, WI, USA, 1963. [Google Scholar]
- Du, Q.P.; Geissen, A.; Noack, D. Widerstandskennlinien einiger Handelshölzer und ihre Meßbarkeit bei der elektrischen Holzfeuchtemessung. Holz als Roh-und Werkstoff 1991, 49, 305–311. [Google Scholar] [CrossRef]
- Du, Q.P.; Geissen, A.; Noack, D. Die Genauigkeit der elektrischen Holzfeuchtemessung nach dem Widerstandsprinzip. Holz als Roh-und Werkstoff 1991, 49, 1–6. [Google Scholar] [CrossRef]
- Fredriksson, M.; Wadsö, L.; Johansson, P. Small resistive wood moisture sensors: A method for moisture content determination in wood structures. Eur. J. Wood Wood Prod. 2013, 71, 515–524. [Google Scholar] [CrossRef]
- Nadler, A.; Tyree, M.T. Substituting stem’s water content by electrical conductivity for monitoring water status changes. Soil Sci. Soc. Am. J. 2008, 72, 1006–1013. [Google Scholar] [CrossRef]
- Yue, X.Q.; Wang, L.H.; Liu, Z.X.; Wang, X.L.; Rong, B.B. Electrical resistance tomography and stress wave tomography to quantitatively detect wood decay under different moisture contents. J. Fujian Agric. For. Univ. North-East For. Univ. 2016, 45, 593–598. (In Chinese) [Google Scholar]
- Brischke, C.; Rapp, A.O.; Bayerbach, R. Measurement system for long-term recording of wood moisture content with internal conductively glued electrodes. Build. Sci. 2008, 43, 1566–1574. [Google Scholar] [CrossRef]
- Carll, C.; TenWolde, A. Accuracy of wood resistance sensors for measurement of humidity. J. Test. Eval. 1996, 24, 154–160. [Google Scholar]
- Du, H.S.; Li, R.; Xiu, H.B.; Sun, J.J.; Chen, Y.H.; Zhao, Y. Relations among resistance percentage, temperature and moisture of Oak in the seasoning process. J. Beihua Univ. (Nat. Sci.) 2002, 3, 349–351. (In Chinese) [Google Scholar]
- Wang, Y.T.; Xu, H.D.; Wang, L.H.; Wang, X.L.; Sun, Y.T. Effects of environmental temperature on the electrical resistance on the cross section in standing tree. J. Nanjing For. Univ. (Nat. Sci. Ed.) 2016, 40, 143–148. (In Chinese) [Google Scholar]
- Wang, X.L.; Wang, L.H. Effects of electrode quantity on log defect test based on electrical resistance tomography. J. For. Eng. 2015, 6, 99–103. (In Chinese) [Google Scholar]
- Ma, H.B.; Wei, J.S.; Zhou, M.; Wu, H. The Correlation Analysis of DBH and Sapwood in Virgin Forest of Larix Gmelinii; Natural Science Academic Paper; Soil and fertilizer society: Beijing, China, 2007. (In Chinese) [Google Scholar]
- Liu, J.L.; Wang, C.K.; Zhang, Q.Z. Spatial variations in stem heartwood and sapwood for Larix gmelinii trees with various differentiation classes. Sci. Silv. Sin. 2014, 50, 114–121. (In Chinese) [Google Scholar]
- ANSI. QSIQ, SAC GB/T 1927–2009 Method of Sample Tree Collection for Physical and Mechanical Tests of Wood; American National Standards Institute (ANSI): Washington, DC, USA, 2009. [Google Scholar]
- ANSI. QSIQ, SAC GB/T 1931–2009 Method for Determination of the Moisture Content of Wood; American National Standards Institute (ANSI): Washington, DC, USA, 2009. [Google Scholar]
- Lin, R.T. A study on the electrical conduction in wood. For. Prod. 1965, 15, 506–551. [Google Scholar]











| Species | Regression Model | R2 | R |
|---|---|---|---|
| Populus simonii Carr. | y = 0.9836x + 83.737 | 0.782 | 0.884 |
| Larix gmelinii (Rupr.) Rupr. | y = 1.5004x + 50.162 | 0.743 | 0.862 |
| Species | Regression Model y = ax1 + bx2 + c | ||||||||
|---|---|---|---|---|---|---|---|---|---|
| y | x1 | x2 | c | b | a | R2 | F | sig | |
| Populus simonii | logR | T | MC | 6.34 | −0.02 | −0.50 | 0.89 | 315.9 | 0 |
| Larix gmelinii | logR | T | MC | 6.87 | −0.02 | −0.52 | 0.86 | 198.83 | 0 |
| Species | Regression Model y = ax1 + bx2 + c | ||||||||
|---|---|---|---|---|---|---|---|---|---|
| y | x1 | x2 | c | b | a | R2 | F | sig | |
| Populus simonii | logR | T | MC | 5.93 | −0.01 | −0.44 | 0.88 | 246.61 | 0 |
| Larix gmelinii | logR | T | MC | 5.46 | −0.01 | −0.36 | 0.88 | 234.53 | 0 |
© 2018 by the authors. Licensee MDPI, Basel, Switzerland. This article is an open access article distributed under the terms and conditions of the Creative Commons Attribution (CC BY) license (http://creativecommons.org/licenses/by/4.0/).
Share and Cite
Yue, X.; Wang, L.; Shi, X.; Xu, M.; Zhu, Z. Investigations on the Effects of Seasonal Temperature Changes on the Electrical Resistance of Living Trees. Forests 2018, 9, 550. https://doi.org/10.3390/f9090550
Yue X, Wang L, Shi X, Xu M, Zhu Z. Investigations on the Effects of Seasonal Temperature Changes on the Electrical Resistance of Living Trees. Forests. 2018; 9(9):550. https://doi.org/10.3390/f9090550
Chicago/Turabian StyleYue, Xiaoquan, Lihai Wang, Xiaolong Shi, Mingxian Xu, and Zhiming Zhu. 2018. "Investigations on the Effects of Seasonal Temperature Changes on the Electrical Resistance of Living Trees" Forests 9, no. 9: 550. https://doi.org/10.3390/f9090550
APA StyleYue, X., Wang, L., Shi, X., Xu, M., & Zhu, Z. (2018). Investigations on the Effects of Seasonal Temperature Changes on the Electrical Resistance of Living Trees. Forests, 9(9), 550. https://doi.org/10.3390/f9090550

